Through a literature review, it is found that most of the existing studies have two deficiencies. Firstly, only the key complex products that have been successfully broken through are studied, while the potential independent and controllable key products that have not been listed in the US Export Control Regulations but may face the risk of being cut off from the supply chain lack attention and systematic identification. Secondly, the existing research mainly focuses on the analysis of successful cases, and most of them are ex-post explanatory studies, and thus lack the complex adaptability to the breakthroughs of independent and controllable key products with the characteristic of multi-industry and multi-technology fusion. The breakthroughs of key products not only depend on existing product capabilities, but also often rely on the priority breakthrough of their indirectly related cross-industry core products or components, and thus there should be a cross-industry independent and controllable key product breakthrough link.
This paper selects 243 countries' export product data from 1995 to 2021 and constructs a global product space network with products as nodes, and the size of the nodes represents the global trade volume of the products; the relationship between nodes is the proximity of the comprehensive capabilities required for exporting two products. The model is used to identify global core products and China's potential independent and controllable key products. The priority index is constructed based on product capability and network core to analyze the breakthrough path of potential independent and controllable key products.
Research shows that among the 1 242 global core products in 2021, there are 54 potential independent and controllable key products in China, and they are mainly distributed in 9 fields, including machinery and electrical equipment, basic metal products, optical and medical precision instruments, chemical products and plastic and rubber products. Among them, the products in urgent need of technology breakthroughs are mainly high-end core products in the field of mechanical and electrical equipment and basic metal products, as well as basic core products in the fields of plastic and rubber products and chemical products. By further analyzing the characteristics of China's potential independent and controllable key products, it is found that China's dominant comparative advantage gap with the United States, Germany and Japan is small overall in terms of low-grade core products in the fields of chemical products, plastic and rubber products, and a few low-grade core products in the fields of basic metal products, machinery and electrical equipment. This shows that China already has the corresponding capacity foundation for primary products in the four fields of machinery and electrical equipment, basic metal products, chemical products, plastic and rubber products. Therefore, after fully considering the urgency of the overall product development strategy and the internal relevance of cross industry products, it is verified that the breakthrough path of China's potential independent and controllable key products is to make full use of the existing primary product capability foundation in the fields of mechanical and electrical equipment, basic metal products, chemical products, plastic and rubber products, and give priority to the breakthrough of basic key products in the fields of optical development and metal technology; if the product capability foundation and product core degree in these fields can be significantly improved, further breakthroughs will be made in high-end key products in these field, such as machinery and electrical equipment, optical and medical precision instruments, plastic and rubber products.
在20世纪80年代中期以来的经济全球化进程中,中国通过深度融入全球产品贸易网络形成较为完备的产业体系,在高速列车、核电装备等关键产品领域突破能力不断提高[1]。然而,由于一些关键产业缺乏自主创新能力,高端装备、核心零部件和基础软件产品对外依存度高,导致在近年愈演愈烈的中美贸易冲突中,我国集成电路、精密光学仪器及高精度机床等重要领域产品和企业不断被美国列入“长臂管辖”和《出口管制条例》实体清单,关键产业发展受人掣肘。这表明我国核心技术及关键产品亟待突破,同时也暴露出在全球产品贸易网络中处于低端地位而产生的巨大系统性风险。为突破当前“卡脖子”关键核心产品,政府通过“揭榜挂帅”制度加大投资,开展针对性研发攻关,不断在手机射频器件[2]、光刻机核心光学器件[3]等关键产品上实现较大突破,但如何在这些应急性、局部化攻关措施的基础上,基于“卡脖子”关键产品的复杂性及不同行业产品间的高度关联性,系统识别我国当前迫切需要突破的潜在自主可控关键产品体系,充分发挥我国产业体系完备、特定行业产品能力强的优势,科学分析突破路径,避免“头痛医头脚痛医脚”,是从根本上化解我国因潜在关键产品缺失而产生系统性风险的关键,也是亟待解决的重要学术问题。
针对当前中国所属各产业关键核心产品“卡脖子”技术难题,以及关键核心产品高度复杂性和行业产品间高度关联性特征,本研究聚焦“中国潜在自主可控关键产品系统识别与突破路径”这一核心议题,基于产品空间理论,运用1995—2021年243个国家(地区)产品出口贸易数据构建产品空间网络模型,系统识别中国潜在自主可控关键产品内在特征,构建中国潜在自主可控关键产品突破路径,为化解中国在全球产品贸易体系中的潜在风险提供建议。
当前文献主要从后发国家产品突破和技术追赶成功案例以及微观产品贸易网络特征两个维度展开分析。针对后发国家如何开发先进产品并实现技术追赶的问题,相关研究持有不同观点,部分学者认为后发国家应采取渐进模式。Hobday[4]对韩国和新加坡等典型国家电子产品企业通过分包和代工进行新产品突破的分析、苏敬勤等[5]对华松电力和吉利汽车集团从引进到自主性创新的实证研究、赵福全等(2016)对中国汽车产业从技术到零部件、集成模块再到产品逐次衔接的研究均表明不存在“跨越式发展”或“弯道超车”的可能。但另有研究认为,后发国家可根据自身后发优势实现“跨越式”赶超。Brezis &Krugman[6]基于产品生命周期理论构建后发国家技术跨越“蛙跳模型”,认为先发国家会因资产专用性和技术转换等高机会成本而锁定在原有技术轨道,后发国家可通过把握新技术形成潜在技术优势,实现“跨越式”赶超。在此基础上,Perez[7]提出“两种机会窗口”理论,认为后发国家可依托自主技术创新和国内市场规模实现跨越式发展。尽管上述学者对技术追赶模式持有不同观点,但均将后发国家具备一定技术创新能力作为渐进式或跨越式产品突破或技术追赶的前提。
较多研究从微观贸易产品视角出发,基于各国在全球产品贸易网络中的位置分析后发国家如何实现产品突破的问题。Hausmann &Klinger[8]提出产品空间理论,指出一国产品结构转型遵循邻近原则,会优先向附近产品转移,且转型成功的机会取决于周边产品结构;Hidalgo等[9]研究发现,技术复杂产品主要位于连接紧密的产品核心位置,而简单产品则更多位于连接稀疏的产品外围,各国更容易发展距离本国产品技术能力较近的产品以实现产品空间位置转移,但很难直接发展核心技术复杂产品。基于产品空间理论,刘守英等[10]运用1995—2016年出口数据梳理中国产品空间网络演变和产业转型升级过程,发现中国具有出口优势的产品逐渐从产品空间外围向中心转移,且会优先发展距离中国产品空间较近的产品;Bahar[11]进一步指出,各国发展新产品通常存在路径依赖,即更倾向于发展距离本国出口篮子较近的产品;Zhu等[12]认为,发展中国家应通过不断改善基础设施、提供政府支持、加大投资力度等途径克服技术路径依赖,实现从外围到核心的跳跃。
近年来,针对中美贸易冲突出现的“卡脖子”技术难题,较多研究聚焦于核心技术及复杂产品突破问题。张宇飞等(2022)以三一集团为研究对象,采用纵向探索式案例研究方法解析产学研深度融合突破关键核心技术的演进路径;王昶等[13]对关键核心技术国产替代路径进行研究,指出国产替代路径应随国家所处赶超周期与外部环境的改变而改变。针对中国特定复杂产品的案例分析主要从追赶路径和突破模式展开。李显君等[14]对3个中国高铁企业核心技术突破路径进行纵向案例分析;欧阳桃花等(2021)借助中国盾构机赶超双循环创新组织模式对C919干线客机研制过程进行分析;曾德麟等(2021)提出复杂产品突破“主供模式”。
综上所述,现有研究存在如下不足:一是仅研究已经成功突破的关键复杂产品,对未被列入美国《出口管制条例》且面临“卡脖子”技术风险的潜在自主可控关键产品缺乏关注,而这是从根本上化解“卡脖子”技术风险的前提;二是主要聚焦于后发国家技术追赶路径或特定产品创新模式,以及针对中国核心技术、复杂产品突破的成功案例,缺乏对多行业、多技术融合自主可控关键产品复杂适应性的分析。“卡脖子”关键产品突破不仅依赖于既有产品能力,而且还取决于潜在、隐性关联跨行业核心产品或零部件等关键产品的率先突破,而不只是“头痛医头”的单一孤立事件。因此,本文基于全球产品贸易数据,系统梳理我国潜在自主可控关键产品,考察产品突破的紧迫性和已经具备的产品能力基础,挖掘我国潜在自主可控关键产品突破路径。
从当前中国面临的美国禁售产品可以看出,中国潜在自主可控关键产品具有高技术含量、高附加值和高复杂度特征。研究表明,这类需要投入高端要素、具有高技术水平和高附加值的复杂产品通常占据全球贸易产品空间网络核心位置[9]。因此,中国潜在自主可控关键产品首先应是全球贸易产品空间网络的核心产品。为此,本文首先基于产品空间理论构建全球产品空间网络模型,定量测度反映产品网络空间的产品接近中心度和产品复杂度,用以识别全球核心产品,为中国潜在自主可控关键产品识别奠定基础。
本文在联合国商品贸易数据库(UN Comtrade Database)中选取1995—2021年HS四位码分类全球商品贸易数据,共包含243个国家(地区)的1 242种产品,以产品为节点,节点大小代表产品全球贸易额,节点间关系代表出口两个产品所需综合能力的接近性,以此构建全球产品空间网络。
具体而言,对于c国产品p与产品q间的接近性程度,采用基于显性比较优势指数[15](RCA指数)的邻近度[10]进行测量。经济体c在产品p中的显性比较优势指数RCAc,p反映经济体c出口产品与世界平均水平相比的相对比较优势,计算公式如下:

(1)
其中,x(c,p)表示经济体c出口产品p所得的贸易额,∑px(c,p)表示经济体c出口所有产品所得的贸易额,∑cx(c,p)表示所有经济体出口产品p的贸易额,∑c,px(c,p)表示所有经济体出口所有产品的贸易总额。当RCAc,p>1时,说明经济体c在产品p上具有显性比较优势,此时xc,p=1;反之,则说明经济体c在产品p上不具有显性比较优势,此时xc,p=0,如式(2)所示。
![]()
(2)
基于反映经济体c在产品p上是否具有显性比较优势的变量xc,p,计算经济体c同时出口产品p和产品q的最小概率条件,得到表示产品p和产品q之间的邻近度∅p,q,如式(3)所示。
![]()
(3)
其中,由于出口优势产品p的国家同时出口优势产品q的可能性与出口优势产品q的国家同时出口优势产品p的可能性不一定相等,且两种产品邻近度应该相等,所以取两个条件概率的最小值衡量产品邻近度。若同时生产或出口两个优势产品的国家越多,表明这两个产品所需生产能力越相似,产品邻近度越高,由其中一种产品转型升级到另一种产品的难度也就越小;反之亦反。
本文利用产品节点和产品邻近度测度全球产品空间网络,以连接所有产品节点的最大生成树构建全球产品空间网络。
基于核心产品网络中心性和产品复杂度高的特征,选取产品空间网络接近中心度衡量核心产品网络中心性,并利用产品复杂度衡量核心产品复杂性,进而构建产品p的核心度CIp:
CIp=CCp*PCIp,CIP∈R
(4)
其中,CCp表示产品p的接近中心度,用以衡量产品p与其它产品出口所需综合能力的相似程度,计算公式如下:
![]()
(5)
式(5)中,N表示节点总数;dpq表示产品p与产品q的距离,![]()
其次,PCIp表示产品p的复杂度。基于上述构建的全球产品空间网络,即反映所有经济体与所有产品联系的矩阵Xc,p,通过反射算法度量产品p的复杂度PCIp[16]。
![]()
(6)
其中,
是反映产品复杂性特征的列向量,
表示向量
中产品p的复杂度原始值。为将不同量级产品复杂度数据统一转化为同一量级,采用Z-score标准化方法对
进行处理,得到产品p的复杂度PCIp,以保证数据之间的可比性。
产品核心度CIp由产品接近中心度CCp与产品复杂度PCIp的乘积衡量。当产品p的接近中心度CCp越大且产品复杂度PCIp越高时,产品核心度CIp也越高;同时,由于CCp和PCIp都已作出标准化处理,因此能够保证不同年份之间CIp的可比性。
本文利用1995—2021年全球产品贸易数据计算每年产品核心度并分析其分布特征,图1从两个维度展示每隔5年的产品核心度分布情况。图1a显示,每年CI>0的产品数量约占当年总产品数量的一半,且随着时间增长呈下降趋势。由此可见,有近50%的产品核心度高于总体平均水平,从这部分产品中可识别全球核心产品。具体而言,CI>0的产品核心度分布特征如图1b所示,其中有近90%的产品CI值分布在0~0.18之间,仅有近1/10种产品的CI值超出0.18,且频数分布呈直线下降趋势。可见,每年具有高核心度的产品种类较少,大部分产品核心度处于中低水平。鉴于此,本文将属于核心产品的CI阈值设定为全部产品数量的10%,即选取每年CI值排名前124的产品作为当年的全球核心产品。
a 全球产品核心度总体分布 b CI>0时全球产品核心度分布
图1 全球产品核心度总体分布
Fig.1 Overall distribution of global product core degrees
根据产品核心度分析刻画核心产品分布演化过程。为能够清晰展示,分别选取1995年、2000年、2005年、2010年、2015年和2021年的全球产品空间网络,根据核心度阈值确定每年CI值排在前124位的产品作为当年核心产品,进而绘制核心产品网络分布图。其中,参考国际贸易产品HS四位编码表,按产品所属行业不同,将全球产品划分为动物产品、植物产品、基本金属制品等22大类产品,节点大小表示产品核心度。
由图2可知,核心产品在全球产品空间网络中整体呈从网络边缘逐步转向网络核心的趋势。在全球核心产品中,1995年、2000年和2010年动植物产品、矿产品、纺织原料及纺织制品等前14类领域核心产品数量占比超过90%,分布在网络边缘位置;2005年、2015年、2021年低技术初级类核心产品数量显著下降,占比分别为40%、33.9%和35.5%,而基本金属制品、机械与电力设备、光学与医疗精密仪器等后7类领域核心产品数量显著增加,占比均超过60%,占据产品空间网络核心位置。这表明,随着全球工业水平的不断提升,世界各国的产品竞争已从植物产品、矿产品、纺织原料及纺织制品等低技术初级产品逐步转向基本金属制品、机械与电力设备、光学与医疗精密仪器等高技术含量、高附加值核心产品。
图2 1995—2021年核心产品在全球产品空间网络中的分布演化趋势
Fig.2 Distribution and evolution of core products in the global product space network from 1995 to 2021
中国潜在自主可控关键产品是指与发达经济体相比,我国在全球贸易网络中不具备较强显性比较优势的核心产品。因此,在识别全球核心产品的基础上,通过对比分析与代表性发达国家(美、德、日)在高核心度产品上的显性比较优势差异确定中国潜在自主可控关键产品,进而分析我国面向潜在自主可控关键产品突破的紧迫性以及已具备的产品能力基础。
2019年以来,我国多家高科技企业(华为及其68家关联公司、海康威视、科大讯飞等)陆续被美国商务部工业和安全局(BIS)列入出口管制“实体清单”,2020—2021年我国近400家企业接连被BIS纳入贸易“黑名单”。因此,本文选取涵盖全球贸易产品比较完整的2021年为样本年份,对于识别中国潜在自主可控关键产品具有重要参考价值。
本文将2021年核心度10%的124种全球核心产品记为W={Pi},其中Pi表示第i个核心产品,i=1,2,…,124,以W为基础识别中国潜在自主可控关键产品。以美国、德国和日本等代表性发达国家为对标国家,记为E={USA、DEU、JPN}。当我国核心产品Pi的显性比较优势小于所有对标经济体该产品的显性比较优势时,即当RCA_RCA_C_Pi≤min {RCA_EUSA_Pi,RCA_EDEU_Pi, RCA_EJPN_Pi}时,Pi为我国潜在自主可控关键产品,据此识别出54种我国潜在自主可控关键产品。
从产品所属行业类型看,我国潜在自主可控关键产品主要分布在机械与电力设备(13种)、化工产品(12种)、光学与医疗等精密仪器(11种)、基本金属制品(6种)和塑料及橡胶制品(6种)领域,少部分产品分布在石料、陶瓷、玻璃制品(3种)、木浆与纸制品(1种)、纺织原料及纺织制品(1种)和武器(1种)领域。这表明,与先进发达国家相比,我国缺乏竞争力的核心产品集中在具有高技术水平特征的机械与电力设备、光学与医疗等精密仪器和基本金属制品领域,以及具有资金密集型特征的化工产品、塑料及橡胶制品领域。中国潜在自主可控关键产品与所属类型分布如表1所示。
表1 中国潜在自主可控关键产品与所属类型分布
Table 1 Distribution of China's potential independent and controllable key products and their types
产品所属类型产品编码产品名称化工产品2812非金属卤化物及卤氧化物2843胶态贵金属;贵金属无机或有机化合物,无论是否已有化学定义;贵金属汞齐2910三节环环氧化物,环氧醇(酚,醚)等2940化学纯糖、但蔗糖、果糖、葡萄糖除外;糖醚糖酯及其盐3403润滑剂及用于纺织材料或其它材料油脂处理的制剂3506其它编号未列名的调制胶,粘合剂3701未曝光的摄影感光硬片及平面软片;未曝光的一次成像感光平面软片3705已曝光已冲洗的摄影硬片及软片3707摄影用化学制剂3810金属表面酸洗剂焊粉或焊膏;焊接用的焊剂及其它辅助剂等3821制成的供微生物(病毒及类似品)生长或维持用培养基3822诊断或实验用复合试剂,但编号3002及3006的货物除外塑料与橡胶制品3905初级形状的乙酸乙烯酯或其它乙烯酯聚合物3906初级形状的丙烯酸聚合物3908初级形状的聚酰胺3910初级形状的聚硅氧烷3914初级形状的离子交换剂3919胶粘的塑料板、片、膜、箔、扁条及其它扁平形状材料,无论是否成卷木浆与纸制品4904乐谱原稿或印本,无论是否装订或印有插图纺织原料及纺织制品5911专门技术用途纺织产品及制品石料、陶瓷、玻璃制品6805砂布、砂纸及其它材料为底的类似品7014未经光学加工的信号玻璃器及玻璃制光学原件7017实验室、卫生及配药用的玻璃器皿,无论有无刻度或标量基本金属制品7222不锈钢其它条、杆7226其它合金钢平板轧材宽度小于600mm7419其它铜制品7506镍板、片、带、箔8113金属陶瓷及其制品8209未装配的工具用硬质合金机械与电力设备8408压燃式活塞内燃发动机8413液体泵;液体提升机8457加工金属的加工中心、组合机床8458切削金属的车床8466主要用于编号8456-8465所列机器的零配件8475其它玻璃及制品的制造加工机器8479本章其它未列名的具有独立功能的机器及机械器具8481龙头、旋塞、阀门及类似装置8483传动轴及曲柄;轴承座及滑动轴承8484密封垫或类似接合衬垫(用金属材料或其它材料制成)8486主要用于制造半导体单晶柱或晶圆、半导体器件、集成电路或平板显示器的机器及装置8523制成供灌(录)音或录制其它信息用的未录制媒体,但第37章产品除外8540热电子管、冷阴极管或光阴极管光学与医疗等精密仪器9022X射线或α、β、γ射线应用设备,包括射线照相及射线治疗设备9001光导纤维及光导纤维束;光缆;偏振材料制片及制板9011复式光学显微镜,包括用于微缩照相、显微电影摄影及显微投影的9012显微镜、衍射设备9024各种材料硬度、强度或其它机械性能试验用机器及器具9026液体或气体的流量、液位或其它变化量的测量或检测仪器及装置9027理化分析仪器及装置;检镜切片机9030示波器、频谱分析仪及其它用于电量测量或检验的仪器和装置9031半导体器件检测仪器及各种测量仪9032自动调节或控制仪器及装置9209乐器零件、附件、节拍器、音叉及各种定音管武器9305军用武器左轮手枪及其它武器零件、附件
潜在自主可控关键产品核心度反映产品在全球产品贸易网络中的综合影响力,核心度越高,说明该产品在全球产品贸易中的地位越重要,突破该产品就越紧迫。中国与发达经济体在潜在自主可控关键产品上的显性比较优势差距反映国家产品能力基础差距,若在某领域产品显性比较优势差距较大,说明我国在该领域的产品能力基础比较薄弱。因此,需要深入分析潜在自主可控关键产品的核心度分布差异,明确不同潜在自主可控关键产品突破的紧迫性程度,并找出我国与美德日潜在自主可控关键产品显性比较优势差距,掌握我国已具备的产品能力基础,以有序、高效地突破我国潜在自主可控关键产品。
3.2.1 中国潜在自主可控关键产品核心度分布
根据全球核心产品核心度分布特征,将全球核心产品划分为高度核心产品、中度核心产品和低度核心产品,54种中国潜在自主可控关键产品也相应被划分为不同等级核心产品。具体而言,将2021年124种全球核心产品按核心度值(CI)进行排序,核心度范围介于[0.245,0.311)之间的产品占所有产品的1/4,在所有核心产品中核心度值偏高,本文将该范围核心产品定义为高度核心产品;有一半数量核心产品的核心度值介于[0.195,0.245)之间,在所有核心产品核心度中处于中等水平,本文将其定义为中度核心产品;剩余核心产品的核心度值在所有核心产品中处于较低水平,核心度值分布在[0.174,0.195)之间,本文将此类核心产品定义为低度核心产品。相应地,将54种中国潜在自主可控关键产品划分为14种高度核心产品、27种中度核心产品和13种低度核心产品。可见,在54种潜在自主可控关键产品中,超过1/4是最迫切需要突破的产品。不同核心度下潜在自主可控关键产品数量分布如图3所示。
图3 不同核心度下潜在自主可控关键产品数量分布
Fig.3 Quantity distribution of China′s potential independent and controllable key products under different core degrees
对我国最迫切需要突破的自主可控关键产品行业分布情况进行分析,发现机械与电力设备、光学与医疗等精密仪器领域高端类核心产品以及基本金属制品、塑料与橡胶制品、化工产品领域基础类核心产品竞争优势不足是导致我国在全球产品贸易网络中不能自主可控的主要原因。具体而言,在高度核心自主可控关键产品中不仅有高复杂性的机械与电力设备、光学与医疗等精密仪器,如8457(加工金属的加工中心、组合机床)、8486(主要用于制造半导体单晶柱或晶圆、半导体器件、集成电路或平板显示器的机器及装置)、9022(X射线或α、β、γ射线应用设备,包括射线照相及射线治疗设备)和9031(半导体器件检测仪器及各种测量仪)等,还有通用性强的基础类产品,如属于基本金属制品领域的8209(未装配的工具用硬质合金)和属于化工领域的3403(润滑剂及用于纺织材料或其它材料油脂处理的制剂)、3707(摄影用化学制剂)等。属于高度核心产品的14种我国潜在自主可控关键产品如表2所示。
表2 属于高度核心产品的14种中国潜在自主可控关键产品
Table 2 China′s fourteen potential independent and controllable key products belonging to highly key products
排名产品编号产品名称核心度18209未装配的工具用硬质合金0.31122843胶态贵金属;贵金属无机或有机化合物,无论是否已有化学定义;贵金属汞齐0.28838457加工金属的加工中心、组合机床0.28443705已曝光已冲洗的摄影硬片及软片0.2853403润滑剂及用于纺织材料或其它材料油脂处理的制剂0.27169022X射线或α、β、γ射线应用设备,包括射线照相及射线治疗设备0.26778466主用于编号8456-8465所列机器的零配件0.26688475其它玻璃及制品制造加工机器0.26398486主要用于制造半导体单晶柱或晶圆、半导体器件、集成电路或平板显示器的机器及装置0.262109031半导体器件检测仪器及各种测量仪0.258118458切削金属的车床0.258129030示波器、频谱分析仪及其它用于电量测量或检验的仪器和装置0.256133906初级形状的丙烯酸聚合物0.247149027理化分析仪器及装置;检镜切片机0.245
3.2.2 中国与对标国家潜在自主可控关键产品显性比较优势差距
根据上述产品空间网络模型构建2021年中国、美国、德国和日本产品空间网络图。其中,节点大小表示4个国家54种产品的显性比较优势值。研究发现,在54种潜在自主可控关键产品中,我国与美德日的显性比较优势存在显著差距,所有产品显性比较优势差值的均值分别为0.99、1.33和2.38,表明我国与美国产品空间网络结构较为接近,而与德国和日本产品空间网络结构差距较大。进一步分析,我国与美国在位于产品空间网络核心位置的机械与电力设备和基本金属制品领域产品显性比较优势差距较小,在少数位于网络边缘位置的化工产品和光学与医疗等精密仪器领域产品显性比较优势差距较大;我国与德国在位于网络核心位置的高精尖机械设备、高质量光学与医疗器械产品优势差距较大,仅在位于网络边缘位置的化工产品、塑料与橡胶制品领域少数产品上两国具有相似的出口优势;在机械与电力设备、化工产品、光学与医疗等精密仪器领域高度核心产品上,日本掌握的显性比较优势远高于我国,产品3707(摄影用化学制剂)显性比较优势差值高达14.55。这说明,我国与美国、德国、日本相比,在机械与电力设备、化工产品、光学与医疗等精密仪器领域大部分高核心度潜在自主可控关键产品显性比较优势差距较大,高级产品能力基础薄弱,仅在塑料与橡胶制品、化工产品领域低度核心产品,以及基本金属制品、机械与电力设备领域少部分高度核心产品上显性比较优势差距较小,具有相似的初级产品能力基础。2021年,中美德日4国产品显性比较优势分布如图4所示。
图4 2021年中美德日4国产品显性比较优势分布
Fig.4 Distribution of RCA of products from China, America, Germany and Japan in 2021
总体来看,由我国潜在自主可控关键产品核心度分布可见,有超过1/4的潜在自主可控关键产品是最迫切需要突破的产品,主要包括机械与电力设备、光学与医疗等精密仪器领域以及基本金属制品、塑料与橡胶制品、化工产品领域高度核心产品。其次,在潜在自主可控关键产品中,我国与美德日相比显性比较优势差距表明,我国在机械与电力设备、化工产品、光学与医疗等精密仪器领域高级产品能力基础比较薄弱,但在塑料与橡胶制品、化工产品、基本金属制品、机械与电力设备领域已具有初级产品能力基础。
演化经济学理论指出,产品空间演化存在显著路径依赖,即潜在自主可控关键产品与现有优势产品能力基础越接近,则产品突破成功概率越大。同时,潜在自主可控关键产品也是全球核心产品,核心度越高,表明其在全球产品贸易体系中越重要,越迫切需要突破该产品。因此,受资源有限和发展需求紧迫的约束,需要综合考虑我国现有产品能力和潜在自主可控关键产品的核心性,以逐步实现我国潜在自主可控关键产品突破。
寻求我国潜在自主可控关键产品突破路径,需要考虑已有产品能力和潜在自主可控关键产品在全球产品空间的核心性,即根据潜在自主可控关键产品与我国现有产品能力的相似程度以及潜在自主可控关键产品核心度确定先后突破次序。
潜在自主可控关键产品突破概率和产品空间网络核心度影响产品突破先后次序(潜在自主可控关键产品突破优先度),因此将潜在自主可控关键产品p突破的优先度βp定义为自主可控关键产品p与我国目前具有显性比较优势的产品平均接近度wp,将其与产品p在产品空间网络中的核心度CIp相乘,如式(7)。
βp=wp*CIp
(7)
参考Hausmann等[17]的研究,采用产品显性比较优势指数度量自主可控关键产品p与我国目前具有显性比较优势的产品平均接近程度wp,如公式(8)和公式(9)所示。
![]()
(9)
![]()
(9)
其中,wp值越大,说明我国突破潜在自主可控关键产品p所需能力与现有优势产品能力基础越相似,我国越有可能突破该产品;xq表示我国在产品q上是否具有显性比较优势。
根据产品优先度对54种我国潜在自主可控关键产品进行降序排列,得到中国潜在自主可控关键产品突破路径。总体来看,我国需要优先主攻化工产品、基本金属制品和机械与电力设备等关键领域基础类核心产品,再突破机械与电力设备、光学与医疗等精密仪器、塑料与橡胶制品等领域高端类核心产品,逐步实现我国自主可控关键产品突破。
我国需要优先突破的基础类核心产品具有核心度高、通用性强的特征,主要涉及化工产品、基本金属制品、机械与电力设备等领域的关键基础材料、基础零部件和基础设备,具体包括化工产品领域光学显影化工品(产品2843、3705、3707)、基本金属制品领域基础金属材料(产品7506、8113、8209)、机械与电力设备领域制造机器及装置(产品8457、8486)以及光学与医疗精密仪器领域基础光学精密检测仪器(产品9011、9012、9030)等一批优先度高的产品。在后期,我国可进一步突破高端类核心产品,此类产品以核心度较低、专用性较强为主要特征,如机械与电力设备、光学与医疗等精密仪器、塑料与橡胶制品等领域的大型设备和优质材料,具体包括机电行业领域利用温度变化处理材料的设备、与轴承、发动机相关的零部件(产品8408、8483、8484)、光学与医疗等精密仪器领域自动控制装置(产品9032)以及塑料与橡胶制品领域优质尼龙材料(产品3905、3908)。中国潜在自主可控关键产品突破路径如表3所示。
表3 中国潜在自主可控关键产品突破路径
Table 3 Breakthrough path of China's potential independent and controllable key products
突破次序产品编码CIpwp优先度突破次序产品编码CIpwp优先度128430.2880.4390.1262839100.1980.3150.062281130.2310.5160.1192938100.1900.3200.061337070.2240.5290.1193037010.2030.2980.061437050.2800.4170.1173190010.1950.3090.060590120.2430.4290.1043290260.2150.2810.060682090.3110.3330.1033339060.2470.2420.060784570.2840.3450.0983438220.2190.2730.060884860.2620.3680.0963535060.2430.2280.055990110.2400.3980.0963684830.2350.2360.0551085230.1980.4650.0923792090.2430.2240.0541128120.2320.3920.0913870170.1860.2830.0531290300.2560.3230.0833984130.2230.2350.0531390220.2670.3060.0824085400.1930.2710.0521429100.2110.3780.0804168050.2290.2260.0521549040.1970.4050.0804239190.1880.2740.0521670140.2410.3300.0804384810.2330.2190.0511775060.2380.3200.0764490320.1810.2730.0491834030.2710.2770.0754529400.1990.2490.0491939140.2350.3100.0734684840.1850.2600.0482084580.2580.2760.0714739080.1960.2380.0472184750.2630.2670.0704838210.1910.2430.0462290310.2580.2720.0704939050.1870.2450.0462384660.2660.2530.0675072220.1950.2330.0452490240.2090.3220.0675193050.1820.2420.0442590270.2450.2730.0675284080.1870.2320.0442684790.2290.2820.0645359110.1910.2260.0432772260.2190.2940.0645474190.1750.2290.040
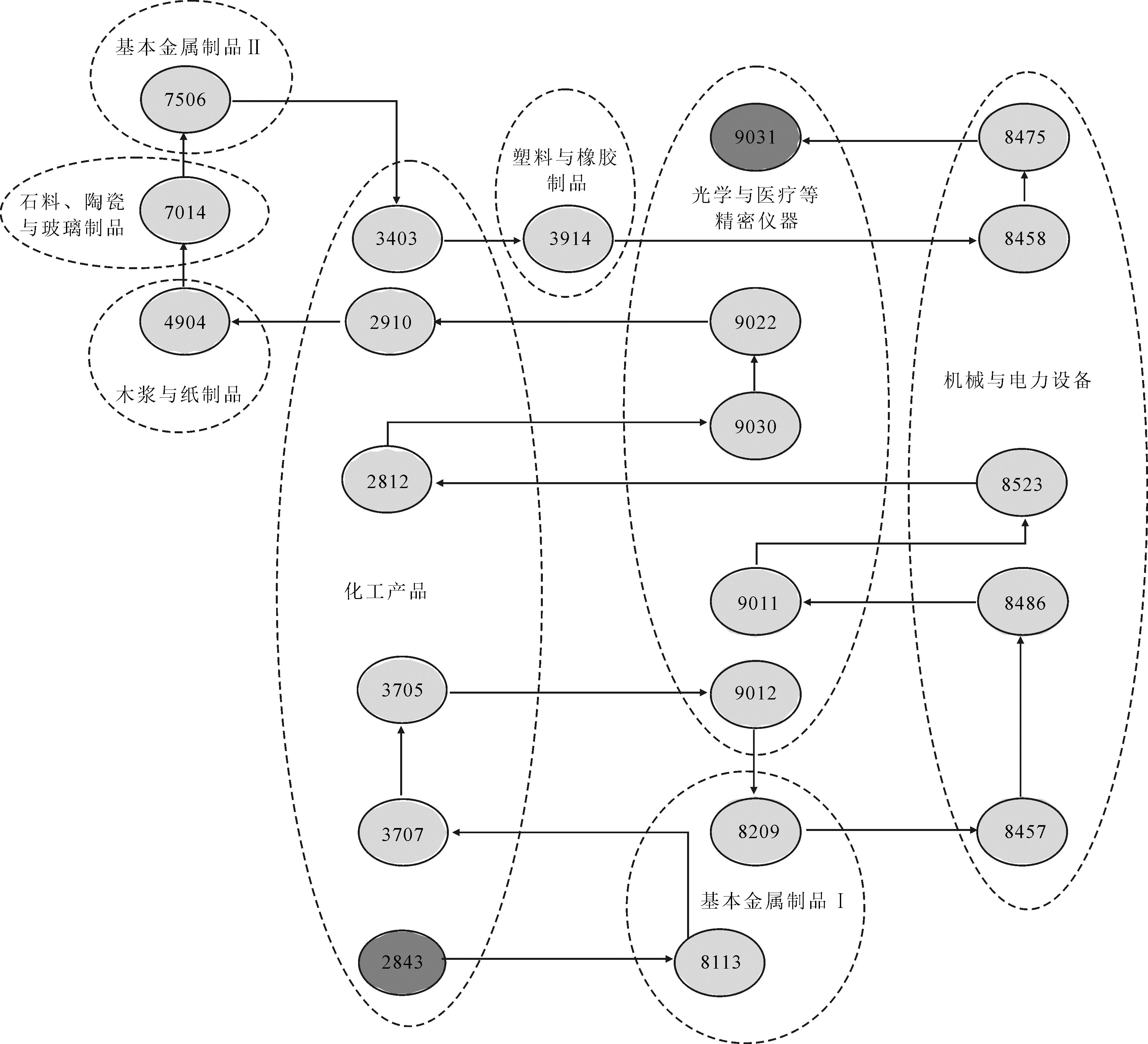
进一步研究发现,我国潜在自主可控关键产品突破路径具有跨行业特征。具体而言,潜在自主可控关键产品9031(半导体器件检测仪器及其它测量仪器)是半导体器件的重要配件,也是当前中美贸易战过程中引发双方科技争端的核心产品之一,对于半导体产业具有关键意义。产品9031突破路径需要遵循从产品2843(胶态贵金属等)→8113(金属陶瓷及其制品)→3707(摄影用化学制剂)→9012(显微镜、衍射设备)→8209(未装配的工具用硬质合金)→8457(加工金属的加工中心、组合机床)→8486(主要用于制造半导体单晶柱或晶圆、半导体器件、集成电路等的机器及装置)→9011(复式光学显微镜)→8523(制成供录音或录制其它信息用的未录制媒体)→2812(非金属卤化物及卤氧化物)→3705(已曝光已冲洗的摄影硬片及软片)→9022(X射线或α、β、γ射线应用设备)→2910(三节环环氧化物等)→4904(乐谱原稿或印本)→7014(未经光学加工的信号玻璃器及玻璃制光学元件)→7506(镍板、片、带、箔)→3403(润滑剂及用于纺织材料或其它材料油脂处理的制剂)→3914(初级形状离子交换剂)→8458(切削金属的车床)→8475(其它玻璃及制品制造加工机器)→9031(半导体器件检测仪器及各种测量仪)的次序,即需要从化工产品、基础金属制品、机械与电力设备、光学与医疗等精密仪器、塑料与橡胶制品等跨行业领域路径进行产品突破。这是因为:一方面,这22种产品平均核心度为0.25,显著高于路径后半部分产品核心度值,优先突破这些产品有助于提升我国跨行业其它自主可控关键产品技术突破能力;另一方面,我国在机械与电力设备、塑料与橡胶制品、化工产品和基本金属制品4个行业领域已经具有一定的初级产品能力基础,只有充分利用这些跨行业领域产品综合能力,才能实现这些领域自主可控关键产品快速突破。中国潜在自主可控关键产品9031的突破路径如图5所示。
图5 中国潜在自主可控关键产品9031的突破路径
Fig.5 Breakthrough path of China's potential independent and controllable key product-9031
选择我国54种潜在自主可控关键产品跨行业突破路径需要充分利用在机械与电力设备、塑料与橡胶制品、化工产品和基本金属制品等领域已具备的初级产品能力基础,优先突破光学显影领域基础化学物质、金属工艺领域基础金属材料和金属加工设备、光学与医疗仪器领域基础光学精密检测仪器等通用性强的基础类核心产品;其次,在提升这些领域能力基础和产品核心度后,进一步突破机械与电力设备、光学与医疗等精密仪器、塑料与橡胶制品业等领域的优质材料、大型设备等专用性强的高端类核心产品,从根本上消除我国在全球产品贸易中被“卡脖子”的安全隐患,改善我国低端供给过剩、高端供应不足的现状,提升我国在全球产品空间网络中的核心竞争力。
本文利用1995—2021年243个国家(地区)出口产品数据构建产品空间网络模型,识别全球核心产品及当前我国潜在自主可控关键产品,通过对比我国潜在自主可控关键产品与美德日的显性比较优势差距,识别我国潜在自主可控关键产品突破路径,得出如下结论:
(1)在当前全球产品贸易网络中,我国主要在机械与电力设备、基本金属制品、光学与医疗等精密仪器、化工产品和塑料及橡胶制品领域54种核心产品出口优势弱于对标国家,这些产品是我国当前迫切需要突破的潜在自主可控关键产品。其中,有14种产品是我国最迫切需要突破的产品,即机械与电力设备、光学与医疗等精密仪器、基本金属制品、塑料与橡胶制品、化工产品领域的高度核心产品,突破此类产品能够显著提高我国在全球产品体系中的核心竞争力。
(2)我国机械与电力设备、化工产品、光学与医疗等精密仪器高度核心产品与美德日的显性比较优势差距较大,相应高级产品能力基础薄弱,塑料与橡胶制品、化工产品领域低度核心产品以及基本金属制品、机械与电力设备领域少数高度核心产品与美德日的显性比较优势差距较小,表明我国在机械与电力设备、基本金属制品、化工产品、塑料与橡胶制品4个领域具备相应初级产品能力基础。
(3)面对我国亟待突破的潜在自主可控关键产品,不仅需要考虑全局产品发展战略的紧迫性,也需要考虑跨行业产品的内在关联性,结合我国现有跨行业产品能力基础,寻求突破我国潜在自主可控关键产品的时序路径。即充分利用机械与电力设备、基本金属制品、化工产品、塑料与橡胶制品领域已经具备的初级产品能力基础,率先突破光学显影领域基础化学物质、金属工艺领域基础金属材料和加工设备、光学与医疗仪器领域基础光学精密检测仪器等基础类核心产品,当这些产品能力基础和产品核心度得到显著提升后,进一步突破机械与电力设备、光学与医疗等精密仪器、塑料与橡胶制品业等领域优质材料、大型设备等高端类核心产品。
根据上述研究结论,本文提出如下启示:
(1)统揽产品发展全局,全力攻关我国不具备明显显性比较优势的高度核心产品。针对我国亟需突破的潜在自主可控关键产品,政府需要完善现有重点领域“揭榜挂帅”制度,全面发展机械与电力设备、光学与医疗等精密仪器、基本金属制品和塑料及橡胶制品等9个领域的全球核心产品,增强我国这类产品显性比较优势,化解我国在全球产品体系中的系统性风险。
(2)提高我国在塑料与橡胶制品、化工产品、基本金属制品、机械与电力设备领域的全球竞争力。我国在塑料与橡胶制品、化工产品领域低度核心产品以及基本金属制品、机械与电力设备领域少数高度核心产品与美德日之间的显性比较优势差距较小,具备初级产品能力基础。因此,政府应从全局角度出发,引导产品发展战略制定,向塑料与橡胶制品、化工产品、基本金属制品、机械与电力设备领域已有显性比较优势产品投入发展资源,巩固现有产品能力基础,高效突破相应领域未具备显性比较优势的核心产品,提升我国核心竞争力。
(3)优先突破距离我国现有产品能力基础较近且与我国产品发展战略密切相关的产品。从我国以往产品发展实践看,产品技术突破经历从模仿、跟跑、并跑到领跑的过程,我国也逐渐从全球产品价值链低端地位迈向中高端地位,合理有序突破各领域潜在自主可控关键产品是我国在全球产品体系迅速提升的关键。根据中国潜在自主可控关键产品突破路径,政府应优先取得与我国现有优势产品能力基础接近且占据全球产品体系核心位置的基础核心产品主导权,加强对从事光学显影领域基础化学物质、金属工艺领域基础金属材料和加工设备、光学与医疗仪器领域基础光学精密检测仪器等研发与生产企业的政策引导与支持,进一步加大机械与电力设备、光学与医疗等精密仪器、塑料与橡胶制品业等领域专用性强的高端核心产品研发投入力度,给予积极的政策导向和配套支持。
本文存在以下不足:①识别当前我国潜在自主可控关键产品突破路径,未从时间维度上全面考察我国潜在自主可控关键产品的演化特征,未来应梳理多个年份我国自主可控关键产品演化特征,并探寻更具体的突破路径;②对我国与对标国家产品空间网络进行静态比较,未来应分析我国潜在自主可控关键产品在对标国家产品空间网络中的动态发展路径,以全面考察产品突破的内在规律。
[1] 谭劲松,宋娟,王可欣,等.创新生态系统视角下核心企业突破关键核心技术“卡脖子”——以中国高速列车牵引系统为例[J/OL]. 南开管理评论:1-28[2022-06-16].http://kns.cnki.net/kcms/detail/12.1288.f.20220311.1333.002.html.
[2] 电科技.深圳富满微公司宣布量产射频芯片,华为Mate 50系列或重归5G序列[EB/OL].(2022-1-18)[2022-7-1]. https://baijiahao.baidu.com/s?id=1722270511502219864 &wfr=spider&for=pc.
[3] 央视新闻客户端.多项技术实现突破,上海光机所疫情期间封闭攻关[EB/OL].(2022-5-6)[2022-7-1]. https://content-static.cctvnews.cctv.com/snow-book/index.html?item_id=10958322284125934585.
[4] HOBDAY M.East-asian latecomer firms:learning the technology of electronics[J]. World Development, 1995,23(7):1171-1193.
[5] 苏敬勤,洪勇.后发国家企业技术能力发展理论与实证研究[J]. 管理评论, 2008,20(3):31-38.
[6] BREZIS E S, KRUGMAN P R, TSIDDON D. Leapfrogging in international competition: a theory of cycles in national technological leadership[J]. American Economic Review, 1993(5):1211-1219.
[7] PEREZ C. Technological change and opportunities for development as a moving target[J]. Cepal Review, 2003(8):113-117.
[8] HAUSMANN R, KLINGER B. The structure of the product space and the evolution of comparative advantage[R]. Cambridge, MA: Center for International Development at Harvard University, 2007.
[9] HIDALGO C A,KLINGER B,BARABASI AL,et al. The product space conditions the development of nations[J]. Science, 2007,317(5837):482-487.
[10] 刘守英,杨继东.中国产业升级的演进与政策选择——基于产品空间的视角[J]. 管理世界, 2019,35(6):81-94.
[11] BAHAR D, HAUSMANN R, HIDALGO C A. Neighbors and the evolution of the comparative advantage of nations: evidence of international knowledge diffusion[J]. Journal of International Economics, 2014,92(1):111-123.
[12] ZHU S J, HE C F, ZHOU Y. How to jump further and catch up? path-breaking in an uneven industry space[J]. Journal of Economic Geography, 2017,17(3):521-545.
[13] 王昶,何琪,耿红军,等.关键核心技术国产替代的逻辑、驱动因素与实现路径[J]. 经济学家, 2022,34(3):99-108.
[14] 李显君,熊昱,冯堃.中国高铁产业核心技术突破路径与机制[J]. 科研管理, 2020,41(10):1-10.
[15] BALASSA B. Trade liberalization and revealed comparative advantage[J].Manchester School, 1965(2):99-123.
[16] HAUSMANN R, HIDALGO C A, BUSTOS M, et al. The atlas of economic complexity:mapping paths to prosperity[M]. Massachusetts: MIT Press,2013.
[17] HAUSMANN R, KLINGER B. The evolution of comparative advantage: the impact of the structure of the product space[R]. Center for International Development and Kennedy School of Government, Harvard University, 2006.