实质性转型还是策略性回应
——绿色并购对企业绿色技术创新的影响

章 砚1, 孙自愿1,盛安琪2

(1.中国矿业大学 经济管理学院,江苏 徐州 221100;2.南京农业大学 经济管理学院,江苏 南京 210000)

摘 要:绿色并购是促进企业实质性绿色转型还是沦为策略性回应的工具?为了解答这一问题,采用内容分析法手工收集重污染企业2007-2019年的绿色并购数据,运用多时点PSM-DID方法检验绿色并购对企业绿色技术创新的影响及内在作用机理。研究发现,绿色并购有效激励了企业绿色技术创新,经过平行趋势检验、安慰剂检验、熵平衡匹配等一系列稳健性检验后,该结论依然成立。机制分析发现,虽然绿色并购会消耗企业资源,但企业可以通过从内部挤出其它技术创新和从外部享受更多绿色创新补助两种途径为绿色技术创新提供资源支持。此外,绿色并购还具有改善媒体评价、提高企业社会责任绩效和提振投资者信心等溢出效应。上述证据表明,重污染企业绿色并购对绿色技术创新的激励效应并非是单一维度的,而是可以实现实质性绿色转型和绿色印象管理的“双赢”局面。拓展性分析发现,在政府环境规制力度强和媒体监督较为健全的地区,绿色并购对绿色技术创新的激励效应更显著。上述研究结论丰富了绿色并购与绿色技术创新的理论研究,同时,可为碳中和背景下重污染企业如何通过绿色并购实现实质性绿色转型提供决策参考。

关键词:绿色并购;绿色技术创新;多时点PSM-DID;资源支持;溢出效应

Substantial Transformation or Strategic Response? The Impact of Green Mergers and Acquisitions on Enterprise Green Technology Innovation

Zhang Yan1, Sun Ziyuan1, Sheng Anqi2

(1. School of Economics and Management, China University of Mining and Technology, Xuzhou 221100, China;2. School of Economics and Management, Nanjing Agricultural University, Nanjing 210000, China)

Abstract:Green technology innovation has become the new engine for high-quality economic development. For heavily polluting enterprises, there are two main paths to green technology innovation: internal environmental investment and green mergers and acquisitions (M&A). Herein, internal environmental investment refers to the enterprise's internal increase in green innovation investment, self-development of energy saving and emission reduction, clean production, and other areas of technology or energy to achieve green development. Green M&A is a type of M&A that incorporates green sustainable development into traditional technology M&A with the goal of energy conservation and environmental protection, as well as green and low-carbon development. In contrast to internal environmental investment, which has long cycles and uncertain outcomes, green M&A is faster and can quickly acquire the target enterprise in clean production. Simultaneously, as the Chinese government pays ongoing attention to environmental protection, more and more heavily polluting enterprises are keen on conducting green M&A.

However, the real intentions of heavily polluting enterprises' green M&A are vague. On the one hand, green M&A is essentially a major strategic reorganization behavior of enterprises, and it is a key approach to integrate various resources of the enterprises, modify the development mode, and promote social responsibility. On the other hand, the development of the Chinese capital market has not yet reached the stage of strong effectiveness, and severe information asymmetry still remains for investors, making flimsy M&A possible. As a consequence, the existing literature has not reached a consensus on whether green M&A is to achieve substantial green transformation or merely serve as a tool for strategic response.

To address this issue, this study compiles green M&A data from China's heavily polluting industries from 2007 to 2019.It constructs a staggered PSM-DID model to investigate the impact of green M&A on enterprises' green technology innovation and explore if green M&A can affect green technology innovation from the perspectives of internal and external resource support, adopting the green M&A event as a quasi-natural experiment. Furthermore, this study examines whether green M&A has other spillover effects in terms of media coverage, corporate social responsibility, and investor confidence. Taking into account the asymmetry impact of the external environment on the green innovation incentive effect of green M&A, this study also confirms the cross-sectional impact difference of green M&A on enterprise green technology innovation from the perspectives of environmental regulations and media supervision.

It is concluded that firstly, green M&A enterprises possess much higher levels of green technology innovation than non-green M&A enterprises. Following a series of robustness tests, it discovers that green M&A greatly boosts green technology innovation and appears to be sustainable. Second, despite consuming large amounts of resources, green M&A can motivate enterprise green technology innovation primarily by squeezing out other technological innovations (internal resource support) and enjoying increased government green innovation subsidies (external resource support). Thirdly, green M&A also has other spillover effects, which can improve media coverage, enhance social responsibility performance, and boost investor confidence, showing the role of impression management. In addition, stricter environmental regulations and more media coverage can reinforce the relationship between green M&A and green innovation.

Different from the existing studies, the marginal contributions are reflected in the following aspects.First, this study examines the objective manifestations of green M&A affecting enterprise green technology innovation, enriching the literature of the influence factors of green technology innovation and simultaneously providing micro-level evidence for the debate on the “synergy” or “constraint” between green M&A and green technology innovation. Second, by employing the staggered PSM-DID method to reveal the relationship between green M&A and green technology innovation, this study effectively controls the potential endogeneity problems, avoiding the limitations of the existing studies that directly adopt dummy variables as a substitute for green M&A for ordinary regression analysis, thereby improving the accuracy of the conclusions. Third, from the “competition perspective” of green technology innovation and other technology innovation, and the “impression management perspective” of green innovation subsidies, along with the heterogeneity analysis of environmental regulations and media supervision, this study reveals the mechanism of green M&A in influencing enterprise green technology innovation. Overall, this study provides scientific evidence for the role of green M&A in stimulating green innovation in the context of carbon neutrality for heavily polluting enterprises.

Key Words:Green M&A; Green Technology Innovation; Staggered PSM-DID; Resource Support; Spillover Effects

DOI:10.6049/kjjbydc.2022050775

开放科学(资源服务)标识码(OSID):

中图分类号:F271.4

文献标识码:A

文章编号:1001-7348(2023)07-0068-11

收稿日期:2022-05-26

修回日期:2022-07-21

基金项目:国家自然科学基金项目(L2124032);江苏省社科基金重大项目(22ZDA005);江苏省研究生科研创新计划项目(KYCX21_2089)

作者简介:章砚(1990-),女,安徽池州人,中国矿业大学经济管理学院博士研究生,研究方向为并购整合与企业创新;孙自愿(1978-),男,江苏徐州人,博士,中国矿业大学经济管理学院教授、博士生导师,研究方向为能源资源管理;盛安琪(1990-),女,安徽蚌埠人,南京农业大学经济管理学院博士研究生,研究方向公司治理与产业组织治理。本文通讯作者: 孙自愿。

0 引言

2020年,中国在第75届联合国大会上提出“碳达峰、碳中和”的远景目标,此举彰显了我国在环境保护和应对全球气候变化问题上的远观责任与大国担当。2021年2月,国务院发布《关于加快建立健全绿色低碳循环发展经济体系的指导意见》,指出要“加快实施钢铁、石化、化工、有色、建材、纺织、造纸、皮革等行业绿色化改造”。由于“碳达峰、碳中和”目标任务重、时间紧、压力大,重污染企业仅仅依靠自主绿色技术创新、按部就班地推进绿色发展,难以如期完成既定任务。因此,部分重污染企业突破企业边界积极开展绿色并购。据国泰安数据统计显示,2006-2019年重污染行业累计发生1 646起并购事件,其中,绿色并购451起,占27.40%。

相比于自主绿色技术创新,绿色并购具有“眼球”效应和速度优势[1],然而该举措是否真能实现企业绿色技术创新并促进绿色转型呢?围绕该话题学者们展开了大量研究,但目前尚未达成共识。为推动企业绿色转型升级,国家出台了一系列绿色产业政策,满足政策要求的企业可以享受丰厚的奖励或补贴,因此受到绿色产业政策支持的企业成为理想的并购标的[2]。尤其是未受到产业政策支持的企业,其绿色并购倾向更强烈。但这种动机下的绿色并购主要是为了享受更多的财政补贴和税收优惠,无益于实质性绿色转型,并可能最终沦为政策套利的工具[3]。类似地,潘爱玲等[1]基于“市场压力”假说,发现媒体监督下的绿色并购仅充当重污染企业转移舆论焦点的工具而不能促进实质性绿色转型。与工具论相反,Li等[4]发现,绿色并购活动提高了重污染企业的组织合法性,使它们更容易获得资源,从而提高了它们的风险承担能力;Lu[5]同样基于中国重污染企业的研究样本,发现绿色并购鼓励企业环保投资从而推动转型升级。作为企业的绿色管理行动,绿色并购还能够显著减少企业环境违规行为[6]。现有文献关于绿色并购效果的结论褒贬不一,这为本研究提供了重要启示:在当前中国“碳达峰、碳中和”背景下,绿色并购对绿色技术创新的影响到底如何,是有效激发了企业绿色技术创新活力,带来了预期的技术协同效应从而实现绿色转型,还是沦为企业策略性回应工具?其中的作用机制又是什么?绿色并购在影响企业绿色技术创新的同时,是否存在其它溢出效应?面对更加严格的环境规制和更有效的媒体监督,绿色并购对绿色技术创新的影响是否会产生异化?

为解答上述问题,本文以企业绿色并购活动为准自然实验,利用重污染企业2007-2019年的绿色专利数据,重点考察绿色并购对企业绿色技术创新的影响效应与传导路径,并进一步从媒体评价、企业社会责任绩效和投资者信心3个角度分析其溢出效应,以及外部监督环境的异质性影响。本文的边际贡献在于:第一,考察绿色并购影响企业绿色技术创新的客观表现,丰富企业绿色技术创新的影响因素研究,同时,为绿色并购与绿色技术创新之间是“协同”还是“掣肘”的争论提供微观层面的证据;第二,采用多时点PSM-DID方法揭示绿色并购与绿色技术创新关系,有效控制了潜在的内生性问题,规避了既有研究直接采用虚拟变量度量绿色并购并进行普通回归分析的局限性,有助于提高研究结论的准确性;第三,分别从绿色技术创新与其它技术创新的竞合视角、与政府绿色创新补助的印象管理视角揭示绿色并购影响企业绿色技术创新的作用路径,并基于环境规制和媒体监督两种情境探讨绿色并购对企业绿色技术创新的异质性影响,挖掘绿色并购影响绿色技术创新的潜在机制,打开其中的路径“黑箱”。

1 理论分析与研究假设

绿色并购是指将传统技术并购与环境保护理念相结合的一种绿色投资模式,在公司进行并购决策时,充分考虑绿色发展问题,以企业绿色可持续发展为根本并购目标,通过对绿色领域和创新活动的多元化投资帮助重污染企业转变为能效更高、能耗更少的企业[7,8]。为应对政府和社会公众的环境监督压力,越来越多的重污染企业倾向于实施绿色并购活动,但该行为背后的真实意图耐人寻味。一方面,绿色并购活动本质上属于企业的重大战略重组行为,是企业存量资源整合、发展模式转变和社会责任提升的重要途径;另一方面,目前我国资本市场尚未达到强势有效阶段,投资者与并购重组企业间的信息不对称程度仍然较高,这让忽悠式并购有机可乘。因此,企业开展绿色并购究竟是为了实现实质性绿色转型还是仅沦为策略性回应工具有待深入分析。

1.1 绿色并购与绿色技术创新:实质性转型

绿色并购是企业环保理念与并购活动的有机整合,体现了企业对社会责任的积极履行。绿色技术创新研发周期长、资金投入大、结果不确定,具有较大风险[9,10],而绿色并购恰好可以有效克服绿色技术创新的上述瓶颈。

首先,绿色并购可以显著降低企业绿色技术创新风险。根据知识基础理论,知识是企业竞争优势的重要来源之一,但长期以来重污染企业过度依赖粗放型发展模式,过去积累的经验主要集中于高污染、高能耗或高排放生产领域,在企业内部容易形成传统思维方式锁定,难以突破现有知识基础来开展绿色技术创新。绿色并购中的标的企业是重污染企业精心挑选的收购对象,具备一定的绿色可持续发展优势。通过绿色并购,并购方可以有效吸收标的方在绿色生产、绿色服务以及绿色管理等领域积累的经验,帮助自身克服在绿色创新过程中遇到的各种技术瓶颈,弥补并购前的绿色技术缺陷,进而降低企业绿色技术创新风险。

其次,绿色并购可以有效提升企业绿色技术创新效率。如果自主开展绿色技术创新,重污染企业需要从头配置创新过程中涉及到的各种机器设备和专业技术人才,从设备采购安装到人员培训,将是一项耗时费力的前期投入。根据并购协同效应理论,成功的并购活动可以实现交易双方的资源优势互补,形成“1+1>2”的并购协同效应[5]。标的企业已经在绿色技术创新领域储备了必要的绿色创新设施和人才,因此主并企业可以在短期内获取这些资源,迅速开展绿色技术创新活动,从而提升企业绿色技术创新效率。

最后,绿色并购可以提升组织合法性,为绿色技术创新获取资源。企业是内嵌于制度环境的有机体,因此必须重视和获取组织合法性。近年来国家不断强调要淘汰落后产能和优化产业结构,重污染企业的绿色并购活动不仅是对政府环境规制号召的响应,还可以向政府传递其积极践行绿色可持续发展理念的信号,营造企业绿色发展的良好形象,有利于提高组织合法性[4]。组织合法性理论指出,当组织赢得合法性之后,它更容易被利益相关者所接受,进而更易于获取各种经济资源,从而为绿色技术创新提供资源支持。

1.2 绿色并购与绿色技术创新:策略性回应

与实质性转型不同,企业开展绿色并购活动有可能是为了规避各种环境监管、进行策略性回应的一时之选,因此不会带来实质性绿色技术创新。

一方面,根据工具主义假说,绿色并购仅是企业进行策略性环境管理的工具[1,3]。重污染企业大多属于资本密集型企业,资产专用性强,转变生产方式的成本巨大,进行绿色创新意味着根本性的生产变革。此外,绿色技术创新研发周期长、收益不确定的特点会使企业面临较高的风险并付出高昂成本。一旦绿色转型失败,前期的绿色创新投入将无法得到补偿,会导致企业业绩滑坡甚至面临破产风险。同时,重污染企业具有显著的规模优势,以往积累的生产经验会产生路径锁定和依赖[11],因此重污染企业绿色创新成功的概率很低[12]。只要环境规制产生的污染治理成本小于其获取的收益,企业就不太愿意进行绿色技术创新。因此,在环境规制趋严和绿色创新成功率较低的情况下,重污染企业开展绿色并购很可能是为塑造绿色形象的“漂绿”行为,无益于实质性绿色创新。

另一方面,根据资源基础理论,企业是各种资源的集合体,这些独特资源是形成企业竞争优势的源泉。与其它技术创新相类似,绿色技术创新需要企业持续的资源投入。但企业在绿色并购过程中已经消耗了大量资源,这将导致能够投向绿色创新领域的资源匮乏,企业的绿色技术创新自然犹如无源之水。

综上,本文提出如下竞争性研究假设:

H1a:绿色并购具有实质性转型效应,能够激励重污染企业进行绿色技术创新;

H1b:绿色并购仅为企业策略性回应工具,不会真正激励重污染企业进行绿色技术创新。

2 样本选择与研究设计

2.1 样本选择

本文以2007-2019年中国重污染上市公司并购事件为研究对象,考察绿色并购对企业绿色创新的影响。与黄维娜等[3]、Lu等[5]的做法类似,按如下标准对样本进行筛选:①剔除并购交易失败的样本;②只保留上市公司交易地位为买方的样本;③只保留股权收购样本,剔除重组类型为资产剥离、债务重组、资产置换、要约收购等交易样本;④剔除并购标的为境外公司的样本;⑤对同一年度进行多次并购且并购标的相同的交易进行合并;⑥剔除并购交易数据缺失的样本。筛选后共得到510家重污染企业的5 020个观测值,为非平衡面板数据。此外,为消除极端值影响,对所有连续变量进行上下1%的Winsorize 处理。本文并购数据来源于CSMAR数据库,为确保准确性,同时与Wind数据库进行比对;其它数据来源于CSMAR数据库、CNRDS数据库。部分缺失数据通过上海证券交易所、深圳证券交易所、公司官网和天眼查官网手工整理得到。

2.2 变量定义

(1)解释变量:绿色并购(GMA)。借鉴Lu[5]和潘爱玲等[13]的思路,对绿色并购的界定是重污染企业为了提高环境保护水平,实现向低污染、低能耗领域转型,向清洁生产行业发起的并购活动,其并购意图主要为获取标的方的节能减排技术、绿色生产设备、绿色创新人才以及绿色管理经验等。例如,赤峰黄金(Code:600988)的主营业务为有色金属矿采选业,2014年收购了雄风稀贵金属材料股份有限公司的全部股份。该标的公司的主营业务为从有色金属冶炼废渣等物料中综合回收铋、银、金、钯等多种金属。通过该笔并购交易,赤峰黄金获取了金属废物处置技术,生产工艺由高污染排放转向清洁生产,因此该交易被认定为绿色并购。本研究从上海和深圳证券交易所网站手工查阅企业并购公告,采用内容分析法,对每次并购事件的并购范围、并购目标、主并方和标的方的主要经营范围、并购可能产生的影响等进行综合分析,逐一判断该并购事件是否属于绿色并购。同时,为确保判断准确性,通过上市公司与标的公司官网以及天眼查官网,对标的方的主要经营范围进行复核。若本次并购属于绿色并购,则GMA取值为1,否则为0。

(2)被解释变量:绿色技术创新(Green_inv)。根据世界知识产权组织发布的《国际专利分类绿色清单》中的 IPC 代码识别企业申请的绿色专利数[9,10]。相比于实用新型专利,发明专利的难度更大、技术含量更高,更能代表企业的实质性技术创新[14,15]。因此,在实证过程中,采用绿色发明专利申请量加 1 的自然对数衡量企业的实质性绿色技术创新(Green_inv)。

(3)控制变量。参考已有文献[13,16],选取可能影响企业绿色并购决策的因素,包括:①企业规模(Size),采用企业期末总资产的自然对数衡量;②产权性质(SOE),国有企业取值为1,否则取0;③董事会规模(Board),通过计算董事会人数的自然对数衡量;④财务杠杆(Lev),采用期末总负债除以期末总资产的值衡量;⑤资产收益率(Roa),采用企业税后净利润除以期末总资产的值衡量;⑥企业年龄(Age),通过当年会计年度减去企业上市年份加1后取对数得到;⑦成长性(Grow),为企业主营业务收入的增长率;⑧融资约束(SA),与李青原等[17]的做法相同,根据Hadlock等[18]提出的SA指数加以度量,SA=-0.737* Size+0.043* Size2-0.04* Age,其中,Size为企业规模,Age为企业年龄;⑨账面市值比(Bm),通过计算总资产账面价值与总市值的比例得到;第一大股东持股(Top1),为第一大股东持股数量占总股本的比例;高管薪酬(Salary),等于公司前三名高管薪酬之和取自然对数。具体定义见表1。

表1 变量定义
Tab.1 Variable definitions

变量类型变量名称变量符号变量定义被解释变量绿色技术创新Green_inv绿色发明专利申请数量加1取自然对数解释变量绿色并购GMA属于绿色并购取1,否则取0并购时间Post绿色并购前取0,并购后取1控制变量企业规模Size年末总资产账面价值的自然对数产权性质SOE国有企业取0,非国有企业取1董事会规模Board董事会人数取自然对数财务杠杆Lev总负债/总资产资产收益率Roa税后净利润/总资产企业年龄Age (当年年份-上市年份+1)取自然对数成长性Grow(本期末总资产-上期末总资产)/上期末总资产融资约束SA-0.737* Size+0.043* Size2-0.04* Age 账面市值比Bm总资产账面价值/市值第一大股东持股Top1第一大股东持股数量/总股本高管薪酬Salary公司前三名高管年薪之和取自然对数

2.3 模型设定

为精准识别绿色并购与重污染企业绿色技术创新之间的因果关系,参考Beck等[19]、孙自愿等[20]的研究,构建政策时点不同的双重差分模型(多时点DID)如下:

GMAi,t=α0+α1Sizei,t+α2Roai,t+α3Boardi,t+α4Levi,t+α5Agei,t+α6Growi,t+α7SAi,t

+α8Bmi,t+α9Salaryi,t+α10SOEi,t+α11Top1i,t+ηi,t

(1)

(2)

其中,模型(1)是用于PSM匹配的Logit回归模型。被解释变量(GMA)为是否发生过绿色并购的虚拟变量,若企业i发生过绿色并购为1,否则为0;Post为时间变量,绿色并购前取0,绿色并购后取1。在模型(2)中,μi代表个体固定效应,λt代表时间效应,为前文定义的一系列控制变量,εi,t代表随机扰动项。GMAi×Posti,t为核心解释变量,若其系数β1显著为正,则说明绿色并购有效激励了企业绿色技术创新,假设H1a得证,反之则为绿色并购并未发挥激励作用,与假设H1b对应。

3 实证结果与分析

3.1 描述性统计

表2列示了本文主要变量的描述性统计。绿色并购(GMA)的均值为0.336,即重污染企业发起的并购活动中有30%以上是绿色并购,日益成为重污染企业在资本市场崭露头角的重要经济活动,这也间接证明开展重污染企业绿色并购行为研究具有重要的现实意义。绿色技术创新(Green_inv)的均值和中位数分别是0.462与0,最大值是3.555,说明重污染企业的高质量绿色发明专利申请数存在一定差异,大部分的重污染企业没有绿色创新产出,重污染企业的整体绿色创新水平较低[17]。产权性质(SOE)的均值为0.550,表明样本中有55%的企业为国有企业。平均企业规模为22.424,说明样本分布较为均衡。

表2 主要变量描述性统计结果
Tab.2 Descriptive statistics of the main variables

变量N均值标准差p25中位数p75最小值最大值GMA5 0100.3360.4720.0000.0001.0000.0001.000Green_inv5 0100.4620.8190.0000.0000.6930.0003.555Size5 01022.4241.39621.40122.19223.31619.86526.331SOE5 0100.5500.4970.0001.0001.0000.0001.000Board5 0102.2950.1852.1972.3032.3031.7922.773Lev5 0100.4810.2030.3220.4990.6360.0560.908Roa5 0100.0600.1350.0220.0650.119-0.6390.405Age5 0102.7800.3542.5652.8333.0451.6093.434Grow5 0100.1700.393-0.0260.1020.276-0.5192.521A5 0103.5070.2713.3073.5073.7122.9034.072Bm5 0100.6810.2450.4930.6910.8790.1571.167Top15 0100.3670.1560.2510.3540.4770.0910.773alary5 01014.1700.72913.72914.17714.64412.19216.119

3.2 组间差异检验

本文按照重污染企业是否发生绿色并购行为分组进行均值差异性检验,结果如表3所示。可以发现,绿色并购组Green_inv的均值为0.569 8,非绿色并购组Green_inv的均值为0.460 1,绿色并购组的均值高于非绿色并购组,并且均值差异在1%的水平上显著,初步支持H1a

表3 匹配后样本均值差异性检验结果
Tab. 3 Test of mean difference after PSM

变量均值绿色并购组(N=1666)标准差均值非绿色并购组(N=1666)标准差均值T检验均值差(t值)Green_inv0.569 80.907 10.460 10.804 60.109 7***(t= 3.692 8)

3.3 绿色并购对企业绿色技术创新的影响

为探究绿色并购对企业绿色技术创新的影响,首先,根据全样本对模型(2)直接回归,结果如表4的列(1)和列(2)所示。可以发现,无论是否引入控制变量,核心解释变量GMA×Post的系数至少在5%的水平上显著为正;其次,根据模型(1),采用逐年1∶1无放回最近邻匹配法对全样本进行倾向得分匹配,平衡性检验结果表明,匹配后实验组与对照组间的差异性显著降低,匹配效果良好;最后,根据匹配后的样本对模型(2)重新回归,GMA×Post的系数依然显著为正。表4的回归结果表明,绿色并购有助于促进重污染企业的实质性绿色技术创新,与未进行绿色并购的企业相比,绿色并购企业的绿色技术创新水平得到显著提升,即假设H1a得到验证。

上述结果表明通过绿色并购,重污染企业与精心挑选的标的方进行了有效的资源整合,一方面充分吸收了标的方在绿色生产、绿色管理等领域的经验,降低了绿色创新风险;另一方面高效利用标的方已有的绿色创新专用设备和专业人才储备,大大提升了绿色创新效率。而在创新资源方面,虽然绿色并购消耗了企业的稀缺资源,但在国家大力倡导绿色发展的背景下,政府会对环境表现良好的企业进行奖励,绿色并购无疑对外释放了企业环境友好的信号,因此企业可以从外部获取资源支持。同时,企业可以对资源重新配置,协调其它技术创新行为,从而为绿色技术创新提供资源保障。因此,假设H1b未得到验证。

3.4 稳健性检验

本文研究结论可能受到实验组与对照组的共同趋势、变量测量误差、遗漏变量等问题干扰。为克服上述问题对研究结论的不利影响,需要进行稳健性检验。

3.4.1 平行趋势检验

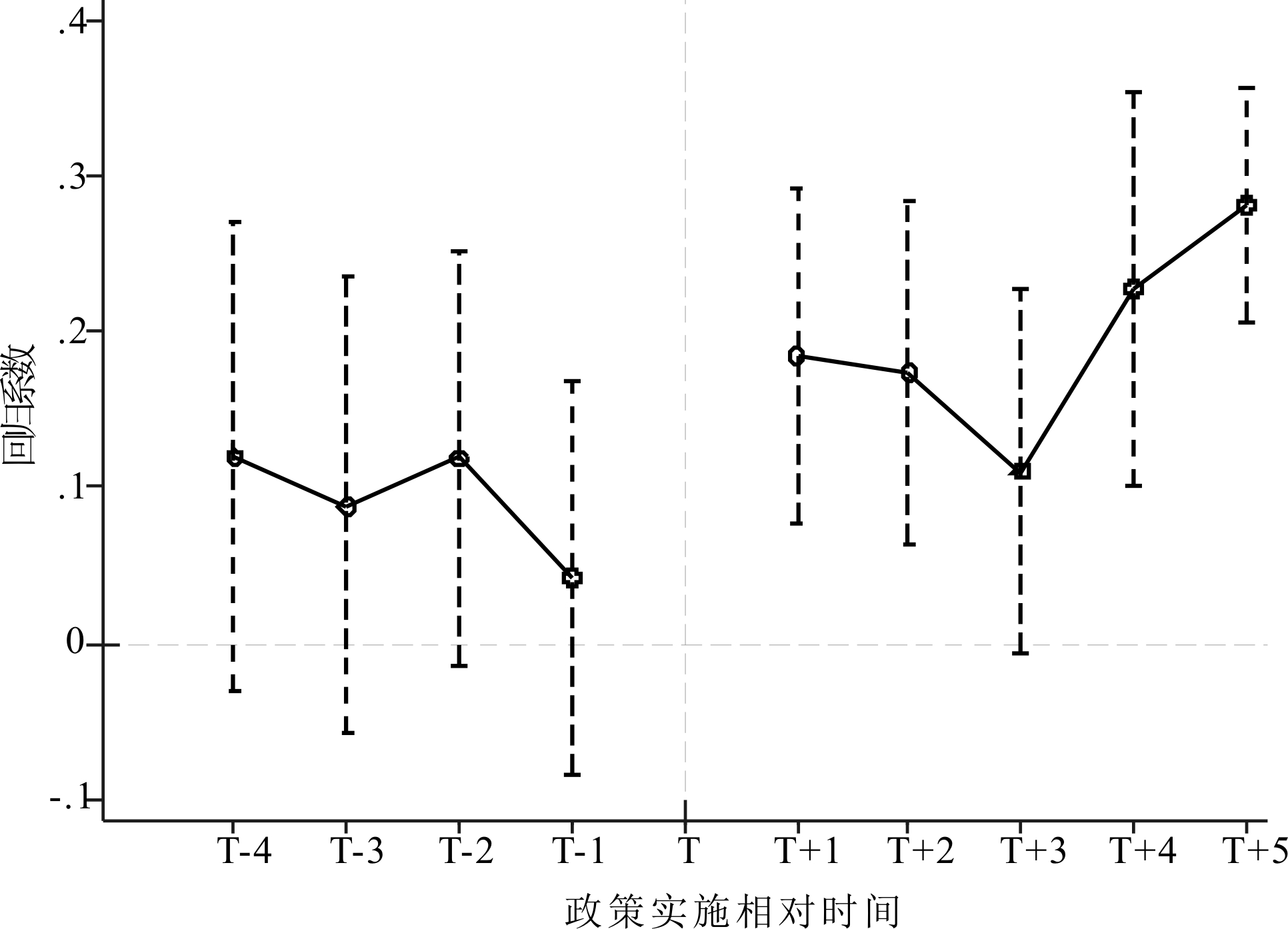
双重差分模型的前提是实验组与对照组在政策发生前具有相似趋势,即满足平行趋势假定。在这里是指在实施绿色并购前,实验组与对照组的绿色技术创新在时间趋势上保持一致。本文构建动态回归模型,检验绿色并购前后重污染企业绿色技术创新水平的变化,并绘制平行趋势图,如图1所示。进行绿色并购前,实验组和对照组的绿色发明专利申请数不存在显著差异,满足平行趋势假定;而在进行绿色并购后,实验组的绿色创新水平显著高于对照组。这表明前文使用的双重差分模型是合理的。

表4 基准回归:绿色并购与绿色技术创新
Tab.4 Benchmark regression: green M&A and green technology innovation

变量全样本(1)(2)Green_invGreen_inv配对样本(3)(4)Green_invGreen_invGMA×Post0.166 2***0.124 5**0.142 3***0.103 2***(2.61)(2.21)(3.63)(2.71)Size0.263 1***0.310 1***(6.46)(10.41)SOE0.335 8***0.287 0***(4.88)(3.66)Board0.017 90.027 3(0.15)(0.26)Lev-0.085 0-0.157 7(-0.81)(-1.48)Roa0.132 7*0.065 9(1.89)(0.70)Age0.182 10.344 9**(0.98)(2.33)Grow0.000 40.008 7(0.02)(0.33)SA-1.716 2***-2.074 7***(-6.61)(-11.09)Bm-0.098 1-0.124 8(-1.10)(-1.44)Top10.099 20.055 8(0.52)(0.34)Salary-0.008 1-0.022 9(-0.29)(-0.74)截距项0.076 0**-0.541 00.100 8**-0.507 2(2.40)(-0.52)(2.29)(-0.61)个体效应控制控制控制控制时间效应控制控制控制控制N5 0105 0103 3323 332within R20.1670.2230.0390.117

注:*、**、***分别表示10%、5%和1%的显著性水平,括号中为经稳健标准误修正的t值,下同

3.4.2 Heckman两步法排除样本选择偏差

本文探讨绿色并购对重污染企业绿色技术创新的影响,由于研究中可能存在一定内生性问题,即本身绿色创新能力强的企业更有动机进行绿色并购,从而导致其在实施绿色并购后成功实现绿色转型的概率更大。对此,本文采用Heckman提出的两阶段法排除样本选择偏差问题。根据GMA在前文的定义,进行绿色并购的企业赋值为1,未进行绿色并购的企业赋值为0。利用Probit模型,将所有特征变量(控制变量)对GMA进行回归,估计重污染企业进行绿色并购的概率即逆米尔斯比率(mills),然后将第一阶段得到的逆米尔斯比率作为控制变量加入基准回归模型(2),结果如表5的列(1)所示。在控制样本自选择问题后,GMA×Post的回归系数依然显著为正,说明绿色并购能够激励重污染企业进行绿色技术创新。

图1 绿色并购对绿色技术创新的动态效应
Fig.1 Dynamic effect of green M&A on green technology innovation

表5 Heckman两步法与安慰剂检验结果
Tab.5 Heckman two-step estimation and placebo test

变量Heckman 两步法(1)Green_inv安慰剂检验(2)(3)(4)Green_invGreen_invGreen_invGMA×Post0.079 6*0.059 00.051 40.034 5(1.71)(1.03)(0.96)(0.65)截距项-4.009 2***-7.080 6***-7.114 8***-7.152 0***(-5.22)(-4.05)(-4.06)(-4.08)/mills-0.791 6***(-4.40)控制变量已控制已控制已控制已控制个体效应已控制已控制已控制已控制时间效应已控制已控制已控制已控制N4 5023 0003 0003 000within R2-0.1930.1920.192

3.4.3 安慰剂检验

为检验绿色并购对绿色技术创新的影响并未受其它随机性因素的干扰,这里进行反事实分析。重新设定绿色并购的多期DID时点,假设企业绿色并购的时间分别提前一年、两年和三年,再次检验绿色并购对绿色技术创新的影响。由表5的列(2)、(3)和(4)可知,构建“虚假”的绿色并购时点后,GMA×Post的系数不再显著。该结果表明,绿色并购确实是影响企业绿色技术创新的直接因素,而非其它随机因素影响的结果。

3.4.4 替换因变量

本文以绿色发明专利申请数衡量企业绿色技术创新水平,但专利从申请到授权需要一定时间的严格审核,并非所有的绿色发明专利申请最终都能得到授权,因此使用授权绿色发明专利数刻画企业绿色技术创新水平更具代表性。本文采用绿色发明专利授权量加1后取自然对数(Green_inv_new1)衡量绿色技术创新[21]。同时,进一步采用绿色发明专利申请数占企业发明专利申请数的比值(Green_inv_new2)重新度量绿色技术创新[14]。如表6的列(1)和列(2)所示,GMA×Post的系数至少在10%的水平上显著为正,同样验证了前文研究结论。

3.4.5 考虑绿色创新的滞后效应

进行绿色并购后需要进行一段时间的并购整合,主并方才能充分吸收标的方在资产、技术、人才等方面的资源优势,因此本文考虑绿色并购对重污染企业绿色技术创新的长期效应,即滞后1~2年的事件影响。实证检验发现,即使并购活动实施后的两年,GMA×Post的系数仍然显著为正。该结果也反映出绿色并购对企业绿色技术创新的影响具有一定持续性。

3.4.6 熵平衡匹配

在运用PSM-DID方法进行倾向得分匹配时,结果的可靠性取决于第一阶段Logit模型的设定。为克服这一缺陷,Hainmueller等[22]提出了不依赖第一阶段Logit模型设定的熵平衡法。与金环等[23]的做法一致,本文选取可能导致绿色并购效应评估有偏的特征变量,找到合适权重,使实验组和对照组的所有特征变量的一阶矩条件(均值)、二阶矩条件(方差)、三阶矩条件(偏度)相同,并利用该权重对模型(2)进行加权回归。结果显示,研究结论不变。

4 绿色并购激励绿色技术创新的资源来源

前文已经证实绿色并购可以有效激励重污染企业的实质性绿色转型,说明绿色并购不会对绿色技术创新活动形成资源挤出,那么企业究竟依靠什么资源支撑其绿色创新活动呢?本文采用逐步回归法构建中介效应模型,其中,Mediator为中介变量,控制变量同模型(1)。

(3)

(4)

4.1 其它技术创新占比:内部资源支持

根据资源基础理论,企业是各种资源的集合体,这些独特的资源是形成企业竞争优势的源泉。企业在绿色并购过程中会消耗大量资源,这将导致能够投向创新领域的资源匮乏,因此重污染企业必然需要对有限资源重新分配[24]。目前国家大力实施双碳战略,这将对企业形成清洁生产动力和外部规制压力的双重挑战,促使企业将有限资源向绿色技术创新领域倾斜。一方面,我国绿色生产领域市场空间广阔,抢占先机更容易形成企业竞争优势的“护城河”[25],有助于重污染企业长远发展,企业更有动力发展绿色技术创新;另一方面,随着公众环境意识增强和政府环境规制力度加大,重污染企业越来越感受到环境保护的压力[17]。在这种外部环境下,企业的绿色技术创新动机强烈。最终,在绿色并购消耗企业大量资源的情况下,企业不得不以牺牲其它技术创新为代价开展绿色技术创新。因此,本文将从绿色并购挤出其它技术创新的“内部资源支持”视角进行作用机制分析。

表6 稳健性检验结果
Tab.6 Robustness test results

变量 替换因变量的度量(1)(2)Green_inv_new1Green_inv_new2考虑绿色创新滞后效应(3)(4)F.Green_invF2.Green_inv熵平衡法(5)Green_invGMA×Post0.042 9*0.018 2**0.097 6***0.095 9**0.181 4***(1.77)(2.46)(2.73)(2.54)(4.15)截距项-1.981 3***-0.104 1-3.755 6***-4.297 3***0.545 4***(-5.95)(-0.98)(-7.66)(-8.31)(19.47)控制变量已控制已控制已控制已控制已控制个体/时间已控制已控制已控制已控制已控制N3 0002 2583 0003 0004 454within R20.0890.0180.1660.1540.009

由于企业并不单独披露绿色创新投入和其它创新投入,因此很难直接从创新投入角度对其它技术创新投入占比进行度量。既有研究发现,创新产出专利与研发支出密切相关,因此借鉴Griliches[24]的做法,这里分别采用非绿色专利申请总数占当年专利申请总数的比值(Non_rate1)和非绿色发明专利申请数占当年发明专利申请数的比值(Non_rate2)两种方法度量。表7列(1)和列(3)中GMA×Post的系数均显著为负,即绿色并购造成了企业其它技术创新投入占比下降。同时,列(2)和列(4)中Non_rate1(t值为-16.44 ,P<0.01***)、Non_rate2(t值为-19.76,P<0.01***)的系数显著为负,说明绿色并购确实通过挤占其它技术创新来提高自身绿色技术创新水平,即通过挤出效应提供内部资源支持。

表7 内部资源支持:挤出其它技术创新
Tab.7 Internal resource support: crowding out other technological innovations

变量(1)(2)(3)(4)Non_rate1Green_invNon_rate2Green_invGMA×Post-0.027 4***0.148 4***-0.023 2**0.148 2***(-3.30)(4.21)(-2.21)(4.21)Non_rate1-1.960 4***(-16.44)Non_rate2-1.987 4***(-19.76)截距项1.028 1***-3.916 1***1.088 3***-3.747 7***(7.82)(-8.16)(6.72)(-7.74)控制变量已控制已控制已控制已控制时间效应已控制已控制已控制已控制行业效应已控制已控制已控制已控制N2 5402 5402 2812 281adj. R20.1070.4410.1170.515Sobel Z6.964***6.032***Goodman-16.958***6.029***Goodman-26.970***6.035***

4.2 政府绿色创新补助:外部资源支持

绿色并购有益于企业建立组织合法性[4]。根据信号传递理论,绿色并购活动彰显了企业在减少环境污染和绿色转型方面的决心,有助于改善企业以往在环境保护方面的负面形象。同时,绿色并购后的重污染企业可以迅速整合标的方的绿色技术资源[3],真正实现自身绿色转型。无论这种转型是否一劳永逸,都有助于向政府展示重污染企业环境友好的良好形象,促使政府提供更多的绿色创新补助,缓解企业融资约束、增加企业绿色技术创新投入。因此,本文将进一步从获取绿色创新补助的“外部资源支持”视角进行作用机制分析。

遵循Xie 等[26]和Hu等[27]的思路,本文使用关键词识别法判断哪些政府补贴属于绿色创新补贴,如政府研发支持、信贷折扣以及其它激励企业实施绿色活动的项目。为消除企业规模的影响,绿色补贴金额通过除以总资产进行调整,记为Sub1。此外,蔡庆丰等[2]的研究表明,政府补贴规模主要取决于企业是否满足特定的产业政策,只要达到补贴标准,即使规模很小的企业也可能享受大量补助。因此,本文还采用政府绿色创新补贴金额的自然对数进行验证,记为Sub2。由表8可知,无论采用何种度量方式,绿色并购均显著提高了企业绿色创新补贴,进而为企业绿色技术创新提供了资金支持,促进了绿色技术创新。

5 拓展性分析:溢出效应与异质性分析

5.1 溢出效应分析

为进一步考察绿色并购是否具有其它溢出效应,分别从媒体评价、企业社会责任评价和投资者信心3个层面检验绿色并购是否具有印象管理效应。

(1)媒体评价方面。如果绿色并购真正激励了企业绿色技术创新,那么从媒体角度来说,有关该企业的正面报道就会增加,而负面报道会减少或者不会显著增加。因此,分别从绿色并购后企业被媒体曝光的正、负面消息进行分析。其中,媒体负面评价(Negative)等于媒体负面报道的次数加1后取自然对数,媒体正面评价(Positive)等于媒体正面报道的次数加1后取自然对数,该数据来源于CNRDS数据库。表9的列(1)和列(2)显示,GMA×Post的系数虽然为正但不显著,即绿色并购后媒体负面评价并没有显著增加。相应地,在列(3)和列(4)中,GMA×Post的系数在当期和滞后一期都显著为正,表明绿色并购增加了媒体对企业的积极评价,即绿色并购具有改善媒体评价的溢出效应。

表8 外部资源支持:获取政府绿色创新补助
Tab.8 External resource support: access to government green innovation subsidies

变量(1)(2)(3)(4)Sub1Green_invSub2Green_invGMA×Post0.480 6***0.187 3***0.000 7***0.192 1***(5.06)(5.23)(3.16)(5.36)Sub10.020 1***(3.94)Sub26.920 9***(2.82)截距项-3.436 6**-4.875 7***0.017 7***-5.067 0***(-2.29)(-11.12)(5.29)(-11.58)控制变量已控制已控制已控制已控制时间效应已控制已控制已控制已控制行业效应已控制已控制已控制已控制N2 8432 8432 8432 843adj.R20.2040.2720.0710.270Sobel Z2.445**1.983**Goodman-12.405**1.927*Goodman-22.486**2.045**

(2)企业社会责任方面。绿色并购具有信号传递效应,即以最快的速度向市场传递其积极履行社会责任的良好形象,这是否会导致第三方评估机构调高其社会责任评分呢?这里使用和讯网发布的企业社会责任总得分(CSR)和其中的分项环境责任得分(Envir)进行考察。列(5)和列(6)中核心解释变量GMA×Post的系数在1%的水平上显著为正,说明绿色并购确实提高了企业社会责任总评分和环境责任评分,即绿色并购具有提高企业社会责任绩效的溢出效应。

(3)投资者信心方面。在资本市场上,逐利是投资者的本性。如果投资者对某股票的信心越坚定,那么该股票发生崩盘的可能性就越低。借鉴夏常源等[32]的做法,分别从负收益偏态系数(NCSKEW)和收益上下波动比例(DUVOL)两方面对股价崩盘风险进行衡量。NCSKEW和DUVOL的取值越大,公司股价崩盘的风险就越低,投资者对企业就越有信心。由表9的列(7)和列(8)可知,绿色并购显著抑制了企业股价崩盘风险,这也间接印证了其增强投资者信心的股价稳定器效应,即绿色并购具有提振投资者信心的溢出效应。

5.2 异质性分析:外部监督环境

绿色并购能够推动重污染企业的实质性转型,那么在不同外部监督环境下,这种激励效应是否会产生异化?

5.2.1 环境规制的影响

波特假说认为,适当的环境规制会刺激企业技术创新。为了考察环境规制对绿色并购和绿色技术创新的影响,本文使用《中国环境年鉴》中的本级环境行政处罚案件数对样本进行划分。若企业所在地环境行政处罚案件数大于全国各省份年度中位数,则令环境规制(Regul)取值为1,否则取0。表10列(1)显示,GMA×Post×Regul的系数显著为正,说明地区环境规制力度越大,绿色并购对企业实质性绿色技术创新的激励作用越显著。这主要是因为,当环境规制较弱时,企业由于违规排污而被处罚的概率降低,因此企业绿色创新的动机不强[17];相反,当环境规制较强时,企业可能会为环境违规行为支付高额的罚金和税费,长远来看,该笔支出甚至可能超过企业利用绿色并购开展绿色创新的成本。此时,企业的最优策略无疑是在绿色并购后积极进行绿色创新资源整合以提升实质性绿色技术创新水平。

表9 溢出效应:媒体评价、社会责任绩效与投资者信心
Tab.9 Spillover effects: media coverage, social responsibility performance and investor confidence

变量(1)(2)(3)(4)(5)(6)(7)(8)NegativeF_negativePositiveF_positiveCSREnvirNCSKEWDUVOLGMA×Post0.014 50.023 90.051 5*0.068 2**1.837 4***0.923 5***-0.051 8*-0.042 2*(0.48)(0.77)(1.83)(2.25)(2.75)(3.58)(-1.92)(-1.69)截距项-7.956 3***-6.871 4***-8.421 7***-6.941 7***-1.1e+02***-35.245 9***0.484 60.998 0***(-16.92)(-15.12)(-19.28)(-15.92)(-10.94)(-9.28)(1.31)(2.91)控制变量/时间/行业已控制已控制已控制已控制已控制已控制已控制已控制N3 3323 3313 3323 3312 7562 7563 2183 218adj.R20.5920.5250.6190.5410.3350.2390.1990.253

5.2.2 媒体监督的影响

在信息技术时代,新闻媒体的监督力量不容忽视。这里采用CNRDS数据库中的媒体报道总次数衡量媒体对企业的监督水平,企业被媒体曝光的次数越多,表明媒体监督越发达。如果当年标题中出现该公司的新闻总数大于其所对应的行业年度中位数,则Median取值为1,否则取0。表10列(2)GMA×Post×Median的系数在5%的水平上显著为正,表明媒体监督对重污染企业绿色并购后提升绿色技术创新水平存在促进作用。

其中的原因包括以下3个方面:首先,媒体报道具有轰动效应,容易增加政府行政介入的可能性[29]。一旦政府介入,重污染企业的违规成本将显著增加,促使他们有强烈动机通过绿色并购快速实现清洁生产,规避处罚风险[1];其次,发达的媒体监督容易放大企业的不良环境行为,使企业声誉受损进而影响其在产品市场和资本市场的利益。绿色并购可以及时地为企业贴上“绿色标签”[7],因此重污染企业会更加注重通过绿色并购促进实质性绿色技术创新来改善其环境行为[16],化解舆论危机和保卫自身利益;最后,无论是媒体的正面宣传还是负面曝光,都会使企业更多地暴露在公众视野中,形成重污染企业排污的“市场压力”[30]。这将刺激企业在绿色并购后积极开展绿色技术创新、塑造环境保护形象。

表10 异质性分析结果
Tab.10 Heterogeneity analysis results

变量(1)(2)Green_invGreen_invGMA×Post0.102 1*0.111 8**(1.84)(2.49)Regul-0.004 2(-0.13)GMA×Post×Regul0.133 1**(2.08)Median-0.015 2(-0.54)GMA×Post×Median0.139 2**(2.35)截距项-5.223 7***-5.199 2***(-12.92)(-12.64)控制变量/时间/行业已控制已控制N3 3323 332adj.R20.2970.297

6 结论与启示

6.1 结论

在中国经济由高速增长转向高质量发展的背景下,重污染企业的绿色并购活动日益频繁,但其究竟会对绿色技术创新产生何种影响尚未达成共识。对此,本文手工收集了2007-2019年中国重污染企业绿色并购数据,以绿色并购活动为准自然实验,构建多时点PSM-DID模型,实证检验绿色并购对企业绿色技术创新的影响,并以内部和外部资源支持为中介变量,检验绿色并购影响绿色技术创新的作用渠道。此外,本文还分别从媒体报道、企业社会责任和投资者信心角度检验绿色并购是否具有其它溢出效应。鉴于外部环境会对绿色并购的绿色创新激励效应产生非对称影响,本文从环境规制、媒体监督角度出发,检验绿色并购对企业绿色技术创新的横截面影响差异。得出的主要结论如下:

(1)实施绿色并购的企业,其绿色技术创新水平显著高于非绿色并购企业。经平行趋势检验、Heckman两阶段法、安慰剂检验、熵平衡匹配等一系列稳健性检验后发现,绿色并购显著提升了企业绿色技术创新水平,且具有持续性。

(2)绿色并购后企业绿色技术创新水平提升主要通过挤出其它技术创新(内部资源支持)和享受更多政府绿色创新补助(外部资源支持)两种途径获得资源支持。

(3)绿色并购还具有其它溢出效应,能够改善媒体评价、提高企业社会责任绩效并提振投资者信心,发挥一定的印象管理功效。异质性分析结果表明,环境规制和媒体监督是绿色并购激励绿色技术创新的有效外部保障。

6.2 启示

(1)重污染企业应结合自身资源禀赋开展绿色并购活动,将绿色并购作为绿色技术创新的重要抓手。面对紧迫的“双碳”战略要求,重污染企业不能机械地依赖传统的内生发展路径,要充分发挥自身的资源禀赋优势,对标的方的绿色创新能力进行合理评估,通过绿色并购获取外部绿色技术,同时,注意并购后的绿色资源整合,内外兼修地坚持走绿色可持续发展道路。

(2)加强环境规制对企业绿色技术创新的引导与激励作用。本文发现,绿色并购对绿色技术创新的激励效应需要政府尤其是环境执法部门的支持。因此,政府应转变政绩考核方式,强化环境执法力度,通过加大对污染物违规排放的经济惩罚或设置污染企业黑名单等方式,切实调动企业绿色发展动力,使绿色并购活动真正服务于企业的实质性绿色转型。

(3)引导和鼓励媒体持续加大对重污染企业的监督,充分发挥媒体的环境治理功能。新闻媒体作为当下主流的外部监督力量,对企业的违规行为具有揭露和震慑效应,但也呈现出过度追逐热点和短期性等特点。本文发现媒体监督有效促进了重污染企业通过绿色并购积极开展绿色技术创新活动,符合“市场压力”假设。因此,应引导和鼓励新闻媒体秉承客观独立和持续深入的理念开展新闻报道,真正成为揭露企业违规行为的利器。

(4)健全财税政策体系,加强对企业绿色技术创新的资源支持。虽然绿色并购有效激励了绿色技术创新,但也会“挤出”其它技术创新。充分发挥企业的创新主体作用是国家创新能力建设的关键,因此要健全以绿色发展为导向的财税政策体系,强化财政、税收、金融等政策对绿色技术创新的资源支持功能,不断破除企业绿色发展的资源瓶颈,避免资源约束下的绿色技术创新对其它技术创新的“伤害”。

参考文献:

[1] 潘爱玲,刘昕,邱金龙,等.媒体压力下的绿色并购能否促使重污染企业实现实质性转型[J].中国工业经济,2019,37(2):174-192.

[2] 蔡庆丰,田霖.产业政策与企业跨行业并购:市场导向还是政策套利[J].中国工业经济,2019,37(1):81-99.

[3] 黄维娜,袁天荣.实质性转型升级还是策略性政策套利——绿色产业政策对工业企业绿色并购的影响[J].山西财经大学学报,2021,43(3):56-67.

[4] LI B, XU L, MCIVER R, ET AL. Green M&A, legitimacy and risk-taking: evidence from China's heavy polluters[J]. Accounting &Finance, 2020, 60(1): 97-127.

[5] LU J. Can the green merger and acquisition strategy improve the environmental protection investment of listed company?environmental impact assessment review[EB/OL].https://doi.org/10.1016/j.eiar.2020.106470.

[6] ZHAO X, JIA M. Sincerity or hypocrisy: can green M&A achieve corporate environmental governance[J]. Environmental Science and Pollution Research, 2022: 1-13.

[7] ZHANG Y, SUN Z, SUN M, ET AL. The effective path of green transformation of heavily polluting enterprises promoted by green merger and acquisition-qualitative comparative analysis based on fuzzy sets[J]. Environmental Science and Pollution Research, 2022: 1-17.

[8] SALVI A, PETRUZZELLA F, GIAKOUMELOU A. Green M&A deals and bidders' value creation: the role of sustainability in post-acquisition performance[J]. International Business Research, 2018, 11(7): 96-105.

[9] 齐绍洲,林屾,崔静波.环境权益交易市场能否诱发绿色创新——基于我国上市公司绿色专利数据的证据[J].经济研究,2018,53(12):129-143.

[10] 徐佳,崔静波.低碳城市和企业绿色技术创新[J].中国工业经济,2020,38(12):178-196.

[11] 孙毅,景普秋.资源型区域绿色转型模式及其路径研究[J].中国软科学,2012,27(12):152-161.

[12] 李斌,彭星,欧阳铭珂.环境规制、绿色全要素生产率与中国工业发展方式转变——基于36个工业行业数据的实证研究[J].中国工业经济,2013,31(4):56-68.

[13] 潘爱玲,王慧,邱金龙.儒家文化与重污染企业绿色并购[J].会计研究,2021,42(5):133-147.

[14] 黎文靖,郑曼妮.实质性创新还是策略性创新——宏观产业政策对微观企业创新的影响[J].经济研究,2016,51(4):60-73.

[15] 盛明泉,张悦,汪顺.数字金融发展能否助推传统工业企业技术创新[J].统计与信息论坛,2021,36(12):12-22.

[16] 邱金龙,潘爱玲,张国珍.正式环境规制、非正式环境规制与重污染企业绿色并购[J].广东社会科学,2018(2):51-59.

[17] 李青原,肖泽华.异质性环境规制工具与企业绿色创新激励——来自上市企业绿色专利的证据[J].经济研究,2020,55(9):192-208.

[18] HADLOCK C J, PIERCE J R. New evidence on measuring financial constraints:moving beyond the KZ index[J]. The review of financial studies, 2010, 23(5): 1909-1940.

[19] BECK T, LEVINE R, LEVKOV A. Big bad banks?the winners and losers from bank deregulation in the United States[J]. The Journal of Finance, 2010, 65(5): 1637-1667.

[20] 孙自愿,周翼强,章砚.竞争还是普惠——政府激励政策选择与企业创新迎合倾向政策约束[J].会计研究,2021,42(7):99-112.

[21] 翟华云,刘易斯.数字金融发展、融资约束与企业绿色创新关系研究[J].科技进步与对策,2021,38(17):116-124.

[22] HAINMUELLER J. Entropy balancing for causal effects:a multivariate reweighting method to produce balanced samples in observational studies[J]. Political Analysis, 2012, 20(1):25-46.

[23] 金环,于立宏,魏佳丽.国家电子商务示范城市建设对企业绿色技术创新的影响及机制研究[J].科技进步与对策,2022,39(10):81-90.

[24] GRILICHES Z. Patent statistics as economic indicators: a survey[J]. Journal of Economic Literature, 1990,28 (4): 1661-1707.

[25] 高汉,胡超颖.绿色并购对中国高耗能行业上市企业绩效的影响[J].华东师范大学学报(哲学社会科学版),2019,51(6):162-172,180.

[26] XIE X, ZHU Q, WANG R. Turning green subsidies into sustainability:how green process innovation improves firms' green image[J]. Business Strategy and the Environment, 2019, 28(7): 1416-1433.

[27] HU D, QIU L, SHE M, ET AL. Sustaining the sustainable development: how do firms turn government green subsidies into financial performance through green innovation[J]. Business Strategy and the Environment, 2021, 30(5): 2271-2292.

[28] 夏常源,贾凡胜.控股股东股权质押与股价崩盘:“实际伤害”还是“情绪宣泄”[J].南开管理评论,2019,22(5):165-177.

[29] 沈洪涛,冯杰.舆论监督、政府监管与企业环境信息披露[J].会计研究,2012(2):72-78,97.

[30] 王云,李延喜,马壮,等.媒体关注、环境规制与企业环保投资[J].南开管理评论,2017,20(6):83-94.

(责任编辑:胡俊健)