风险投资能否促进产业结构优化
——基于受资中小企业溢出视阈的考察

曹文婷,杨永华

(云南师范大学 经济与管理学院,云南 昆明 650500)

摘 要:当前我国经济已由高速增长阶段转向高质量发展阶段,这一时期风险投资市场取得较快发展。研究风险投资对中小企业发展与产业结构优化的影响,对于促进实体经济发展及建设现代化产业体系具有重要现实意义。首先分析风险投资、中小企业发展与产业结构优化之间的逻辑关系及影响机制,发现风险投资通过资源配置机制、协作链接机制和竞争创新机制作用于中小企业成长,从而影响地区产业结构优化。然后,采用2010—2020年中国内地31个省份数据进行实证检验,结果表明,风险投资对中小企业发展有显著促进作用;风险投资能够促进地区产业结构优化,具体表现为风险投资可显著降低产业结构偏离度并显著提升产业结构高度化水平;风险投资通过促进中小企业发展提升地区产业结构优化水平。中小企业发展在风险投资与产业结构合理化之间发挥部分中介作用,在风险投资与产业结构高度化之间发挥完全中介作用,说明中小企业发展在风险投资促进产业结构高度化过程中发挥重要功能。因此,应积极发展风险投资事业,加大对中小企业的支持力度,进一步推动风险投资与中小企业融合发展,使风险投资更好地帮助中小企业成长并促进产业结构优化。

关键词:风险投资;中小企业;产业结构优化;创新创业;高质量发展

Does Venture Capital Promote Industrial Structure Optimization? An Investigation from the Spillover Perspective of Invested SMEs

Cao Wenting, Yang Yonghua

(School of Economics and Management,Yunnan Normal University,Kunming 650500, China)

AbstractAt present, China's economy has shifted from a stage of rapid growth to a stage of high-quality development. The venture capital market has also achieved rapid development during this period. Venture capital is an important capital force to promote the entrepreneurship and innovation strategy, while SMEs are the principal part carrying the entrepreneurship and innovation strategy and the basis for realizing industrial structure optimization. It is believed that there is a close connection among venture capital, SMEs development and industrial structure optimization. However, neither the relationship nor the theoretical system with empirical support is clear and available. From the perspective of the invested SMEs, this article analyzes the impact of venture capital on industrial structure optimization and the influence mechanism. At the micro level, it can better promote the integration of venture capital and SMEs development, then cultivate and develop "New Special Expertise" SMEs. At the macro level, it can better promote venture capital to release the spillover effect of industrial structure optimization and accelerate the formation of a modern industrial system. This will provide useful reference for the formulation and implementation of relevant policies.

By combing the literature and drawing on relevant theories (including venture capital theory, enterprise growth theory, enterprise innovation theory, etc.), the study proposes three mechanisms. That is, venture capital acts on SMEs to promote industrial structure optimization through "resource allocation mechanism", "collaborative link mechanism" and "competitive innovation mechanism". Industrial structure optimization includes two aspects: industrial structure rationalization and industrial structure advancement. In the process of industrial structure rationalization, the coordination ability between industries is strengthened, the level of association is improved, and the quality of aggregation is optimized; the industrial structure advancement is a dynamic process in which the industrial structure develops from a low level to a high level. During this process, the technical level of various industries has been continuously improved, and emerging industries have continued to grow into leading industries.

Further investigation is conducted from an empirical point of view, and the study selects data from 31 provinces from 2010-2020 in China, and constructs an econometric model by quantifying various indicators such as venture capital, SMEs development and industrial structure optimization. The conclusions are as follows:venture capital plays a significant role in promoting the development of SMEs; venture capital is conducive to industrial structure optimization, for venture capital can significantly reduce the deviation and improve the quality of the industrial structure; venture capital promotes the development of SMEs, thereby enhancing the level of industrial structure optimization. In the relationship between venture capital and industrial structure rationalization, SMEs play a partial mediating role. However, in the relationship between venture capital and industrial structure advancement, SMEs act as a complete mediator, indicating that the development of SMEs has played a very important role in the process of venture capital affecting industrial structure advancement. The above empirical results have been confirmed by the robustness test, and instrumental variables are selected to deal with the endogeneity problem. Thus it is suggested to provide more policy support and guarantee for the development of venture capital industry, strengthen the support for SMEs and enhance the growth ability of SMEs, and promote the integration of venture capital and SMEs' development from multiple channels.

Compared with previous research with the focus on the impact of venture capital on micro-enterprises, this study focuses on the impact of venture capital on the industrial structure optimization from the perspective of the invested companies which is highlighted as a unique perspective. Then in the research on the venture capital issues, the data of listed companies are mostly used in the previous results. In view of the important role of SMEs in China's national economy, this study focuses on the industrial structure optimization effect of venture capital spillover by affecting the development of SMEs. Lastly from the theoretical aspect, this study clarifies the mechanism by which venture capital affects the development of SMEs and the industrial structure optimization, enriching the research in the existing field.

Key Words:Venture Capital; SMEs; Industrial Structure Optimization; Innovation and Entrepreneurship; High-quality Development

收稿日期:2022-05-16

修回日期:2022-07-26

基金项目:国家社会科学基金项目(18BJL097);云南师范大学博士科研启动项目(2021SK037);云南省教育厅科学研究基金项目(2022J0112)

作者简介:曹文婷(1986—),女,云南云龙人,博士,云南师范大学经济与管理学院讲师、硕士生导师,研究方向为公司金融、国际金融;杨永华(1979—),女,云南丽江人,博士,云南师范大学经济与管理学院教授、硕士生导师,研究方向为国际直接投资与国际贸易。

DOI10.6049/kjjbydc.2022050475

开放科学(资源服务)标识码(OSID):

中图分类号:F832.48

文献标识码:A

文章编号:1001-7348(2023)03-0052-11

0 引言

当前,我国经济已步入新发展阶段,经济社会发展的重心逐步从重视经济规模的“高增速”转到提高效率和质量上来。中小企业成长、产业结构优化升级与当前阶段高质量发展目标密切相关。如何推动中小企业成长、促进产业结构优化,是新时代背景下亟需研究的课题。风险投资是推动中小企业成长的一种有效融资制度选择,被称作“企业孵化器”,其将资本、技术、人才、管理等创新要素引入受资企业,在提升受资企业发展质量和创新动力等方面发挥积极作用。我国中小企业群体数量庞大,是我国经济韧性与就业韧性的重要支撑。中小企业整体发展水平提升意味着市场活力增强,产业结构高度化和产业链现代化的基础得以巩固夯实,经济发展的内生动力被有效激发。基于以上关系梳理,本文认为风险投资、中小企业发展和产业结构优化之间存在紧密联系,但这种关系尚不明晰,未形成理论体系,也未得到实证支持。本文将风险投资、中小企业发展和产业结构优化纳入同一分析框架,探讨两两关系以及三者之间的关系,厘清作用机制。当前,我国风险投资市场与中小企业进入新发展阶段,风险投资究竟如何影响中小企业发展?二者又怎样影响产业结构优化?对上述问题还需要深入考察和分析,以使研究结果更契合当前实际情况。

本文可能的贡献在于:第一,前期成果更多聚焦风险投资对微观企业的影响,本文则关注风险投资对产业结构优化的影响。尽管有部分研究从实证角度回应风险投资与产业相关问题,但较少考虑企业因素。本文认为直接研究风险投资对产业结构的影响难免落于空洞,从受资企业角度切入能凸显独特视角。第二,在研究风险投资问题时,前期成果多采用上市公司数据进行分析,鉴于中小企业在我国国民经济中的重要作用,本文聚焦风险投资通过影响中小企业发展溢出的产业结构优化效应。第三,尝试从理论方面厘清风险投资影响中小企业发展进而影响产业结构优化的作用机制,即资源配置机制、协作链接机制和竞争创新机制,进一步丰富和完善已有研究成果。

本文研究意义在于,从受资中小企业角度出发,探析风险投资对产业结构优化的影响及作用机制,从微观层面促进风险投资与中小企业融合发展,培育和发展“专精特新”中小企业,从宏观层面促进风险投资释放产业结构优化溢出效应,加快形成现代产业体系,为相关政策制定和实施提供有益借鉴,对推动我国产业结构优化升级和驱动经济高质量发展具有重要现实意义。

1 文献综述与研究假设

1.1 风险投资对中小企业发展的影响

关于风险投资影响受资企业发展的研究,学者已积累较多研究成果。如Jain & Kini[1]发现获得风险投资支持的公司在IPO后经营业绩表现更好;Alemany & Marti[2]发现获得风险投资支持的西班牙中小企业表现出更高的就业率和毛利率,并且资产规模、销售规模和公司税收也表现出更好的成长性;Rosa等[3]发现风险投资可以帮助印尼初创公司扩大初创产品的市场准入,提供网络支持关系,促进其成长;Kato & Tsoka[4]发现风险投资在提高乌干达中小企业收入、盈利能力和资产回报方面存在促进作用。国内学者也大多认同风险投资对受资企业成长具有积极作用。如蒋伟与顾汶杰[5]发现风险投资从“量”和“质”两方面促进创业企业成长;冯慧群[6]发现风险投资介入有助于民营企业实现IPO,同时降低IPO抑价水平;曹文婷[7]发现风险投资通过提高新三板企业治理水平、股票流动性、外部融资能力实现公司价值增值;徐研和刘迪[8]发现风险投资的网络中心度越高,受资企业的创新能力越强。当然,也有学者持相反观点,认为风险投资并非总是给受资企业带来正面影响,以逆向选择理论[9-10]和逐名理论[11]为代表。如蔡宁[12]、吴育辉等[13]、伍文中和高琪[14]认为风险投资在寻找初创企业时存在逆向选择,在进入初创企业后存在急功近利倾向,不利于受资企业成长。

上述成果为本研究提供了有借鉴意义的观点。首先,我国风险投资经历2008年金融危机后获得较多国家政策支持,政府不断出台新政策,规范行业发展、优化营商环境和提升市场活力。随后,“大众创业,万众创新”战略的实施为风险投资市场带来大批优质项目和可投标的,也使得风险投资市场竞争更加激烈,风投机构投资更趋于理性。风险投资在进入中小企业后将改善其治理状况,风险投资声誉可以降低受资中小企业由于信息不对称面临的价值贬损程度,风险投资为受资中小企业带来各类资源和网络关系,帮助中小企业获得资本市场认可[15]。风险投资进入中小企业更多表现为监督治理和支持效应,而不是逆向选择或逐名效应。因此,本文提出如下假设:

H1:风险投资可以促进受资中小企业发展。

1.2 风险投资对产业结构优化的影响

关于风险投资影响产业结构优化的研究,前期成果较少,主要归纳为以下几方面:第一,风险投资对战略性新兴产业的影响。杜传忠等[16]、李萌和包瑞[17]、钱燕[18]分别以节能环保产业、战略性新兴产业和新三板生物医药企业为研究对象,发现风险投资对战略性新兴产业(企业)发展具有促进作用,这种作用表现在资金支持、集聚孵化、技术创新、增值服务和资源整合等方面。第二,风险投资对产业结构升级的影响。Aldatmaz[19]认为创业企业获得风险投资后的效率提升和技术进步会蔓延到同行业其它公司,进而促进行业整体业绩提高;刘娥平等[20]发现风险投资通过技术创新、人才培养、技术扩散和科技竞争等路径表现出显著垂直溢出效应;庞明川等[21]发现风险投资促使新兴产业形成产业扩散进而推动产业结构转型升级;余婕和董静[22]发现风险投资通过其外在特性(集聚性)与内在特性(增值性、专长性和阶段性)促进产业高质量发展。第三,风险投资与高新技术产业的关系。杨青和彭金鑫[23]指出风险投资与高新技术产业存在密切的互惠共生关系;Popkova等[24]发现风险投资能促进工业4.0数字创业企业发展。第四,考虑到取样时期风险投资市场发展不成熟、退出渠道不畅、政府主导风险投资等因素,部分学者发现我国风险投资不能推动产业结构升级,或者作用效果甚微 [25-26],对高新技术产业的促进作用不显著,甚至存在负面影响[27-28]

随着我国经济步入调整期,经济发展从“量”的积累向“质”的提升转变,为风险投资市场持续健康发展奠定了基础,风险投资进入理性发展阶段。这一时期,风险投资的退出渠道有所拓展,营商环境得到改善,监管政策更加明晰,机构投资者实力增强。风险投资作为长期投资、价值投资、产业布局的“智能资金”,在服务实体经济方面发挥更理性、更专业和更高效的作用。现阶段,风险投资对产业发展的作用效果更多表现为促进作用而非阻碍作用,即风险投资可以促进产业整体素质和协调能力提升。风险投资促进产业结构优化主要表现在以下两个方面:一方面,风险投资的垂直溢出效应带动上下游企业发展,实现产业结构与技术结构、供需结构的有效磨合;另一方面,风险投资促进高新技术产业和战略性新兴产业发展,意味着新兴产业在整个产业结构中的占比提高,对传统产业产生渗透改造作用。基于此,本文提出如下假设:

H2a:风险投资可以促进产业结构合理化发展;

H2b:风险投资可以促进产业结构高度化发展。

1.3 风险投资、中小企业发展对产业结构优化的影响

以上论述表明风险投资能够促进中小企业发展,同时对产业结构优化具有积极作用。那么,风险投资、中小企业发展与产业结构优化之间的具体影响机制如何?根据风险投资理论、企业成长理论和企业创新理论,风险投资通过资源配置机制、协作链接机制和竞争创新机制作用于中小企业成长进而影响产业结构优化。为此,本文提出如下假设:

H3:风险投资通过促进中小企业发展推动产业结构优化。

产业结构优化包括产业结构合理化和产业结构高度化两方面内容。产业结构合理化是指产业结构从不合理逐渐向合理化方向过渡的过程,是产业结构与需求结构、供给结构、技术结构不断适应调整的过程。在此过程中,产业间协调能力、关联水平、聚合质量得以提高。产业结构高度化是指产业结构从低度水准向高度水准发展的动态过程。在此过程中,产业技术层次不断提高,新兴产业不断成长为主导产业,产业结构呈现出高知识化、高附加值化、高技术化的演变趋势。风险投资、中小企业发展对产业结构优化的影响机制如图1所示。

首先,资源配置机制包括企业内、外部两个方面。一是企业外部的资源配置机制。信息认证理论指出,风险投资可为创业企业提供有效的价值论证。作为专业机构投资者,风险投资人以企业成长潜力与经营效率为评价基础,致力于选择市场前景广阔、产品具有新颖性或者科技含量高的企业进行投资。风险投资人通过专业化评审决策将稀缺生产资源配置到行业中最具潜力、最有效率的企业,这种资源配置导向使得具备创新性、成长性的优质企业或优质项目获得发展,促使高新技术产业逐渐成长为主导产业,同时诱发高新技术对传统产业的渗透和改造,从而使产业结构从低层次向高层次演进。二是企业内部的资源配置机制。监督治理理论和增值服务理论认为,风险投资将改善受资企业内部治理结构,给受资企业带来远高于投资货币价值的增值。风险投资通过合理配置自身资源,有效组织受资企业内部各类生产要素,提高受资企业效率和竞争力。受资企业会给市场带来竞争压力,同时自身也存在扩张动力,这种导向有利于中小企业群体的成长和进化,进一步夯实产业结构优化的基础。

其次,风险投资通过协作链接机制促进产业结构合理化发展。根据科斯企业成长理论,企业通过横向边界扩张形成规模经济和纵向边界扩张形成产业链实现成长[29]。风险投资作为一种权益投资,其直接经济利益体现在受资企业的发展状况上。风险投资人希望其资本获得理想增值后转让产权退出企业,在整个过程中,受资企业实现成长发展与价值增值是关键。因此,风险投资有足够动力帮助受资企业扩张重组或流程再造,以实现企业成长和资本增值。例如,风险投资在持股期内会积极促成受资企业与其它企业并购重组,形成规模效应,或促成受资企业与上下游企业之间的产业链合作,使得产业间协调能力提升。综上,风险投资通过协作链接机制促进产业间关联程度提高。因此,本文提出如下假设:

H3a:风险投资通过促进中小企业发展提高产业结构合理化水平。

最后,风险投资通过竞争创新机制促进产业结构高度化发展。根据熊彼特的企业创新理论,创新是经济发展的根本动力,是企业家将生产要素或生产条件的“新组合”引入生产体系的过程[30]。在我国,中小企业是创新创业的主体,风险投资支持的中小企业越多,创新数量也就越多,风险投资对中小企业的支持力度越大,创新的边际效果越显著。创新促使新产业产生,并重塑原有产业格局。此外,风险投资能在很大程度上巩固和提升受资中小企业的生存基础与竞争优势。在这个过程中,受资中小企业外溢的“鲢鱼效应”触发同行业企业的竞争、学习、吸收和创新,企业如果无法跟上创新步伐就会被挤出市场。综上,风险投资通过竞争创新机制促进中小企业种群成长。因此,本文提出如下假设:

H3b:风险投资通过促进中小企业发展提升产业结构高度化水平。

图1 风险投资、中小企业发展对产业结构优化的影响机制
Fig.1 Influence mechanism of VC and SMEs development on industrial structure optimization

2 变量选择与实证模型

2.1 指标选取与样本筛选

在我国,中小企业不仅是创新创业的主体和市场活力的源泉,还是中国经济韧性和就业韧性的重要支撑。本文从受资中小企业角度切入,研究风险投资对产业结构优化的影响,选取新三板企业数据衡量中小企业发展水平。主要原因在于:首先,新三板设立的初衷是孵化和培育中小微企业,缓解中小微企业的融资约束问题。同时,新三板挂牌企业数量较多,虽然无法达到科创板、创业板、主板上市要求,但仍然希望获得融资与发展。其次,新三板企业作为非上市公众公司,经历过股改、主办券商推荐和持续督导,相比非公众公司,新三板企业治理结构更规范,很多新三板企业被风险投资人锁定为投资目标。因此,可以获得风险投资与受资新三板企业的完整连续数据,为实证研究提供可行基础。鉴于以上因素,本文选择2010—2020年我国内地31个省份数据,通过量化风险投资、中小企业发展和产业结构优化各项指标进行研究。由于部分变量在部分年度存在缺漏值,以每个省份该变量的样本均值替代缺漏值,数据处理及实证检验过程均通过Stata16.1实现。

2.2 变量定义与度量

(1)被解释变量:产业结构优化。产业结构优化包括产业结构合理化和产业结构高度化两个方面。借鉴刘广和刘艺萍[26]、常进雄和楼铭铭[31]、干春晖等[32]、傅元海等[33]的做法,采用结构偏离度衡量产业结构合理化:值越小,产业结构越合理,反之亦然;Deviate=0说明产业结构达到合理水平。采用高端技术产业与中高端技术产业产值之比衡量产业结构高度化:值越大,服务化水平越高,产业结构越高端,反之亦然。上式中,i表示第i产业,Y为产业产值,L为就业人数。

(2)解释变量:风险投资(VCsup)。风险投资表示各地新三板挂牌企业获得风险投资支持的水平。借鉴已有做法[6,34-35],将VC和PE均视作风险投资。随着新三板市场的发展,越来越多天使投资个人和机构将资金注入作为早期投资市场的新三板,因此新三板市场的风险投资还包括天使投资。

(3)中介变量:中小企业发展水平(NEEQmv)。采用新三板市场发展水平(新三板总市值规模)表征中小企业发展水平。

(4)控制变量。参考王伟龙和纪建悦[36]、曹玉平和操一萍[25]、陈小辉等[37]的研究,并考虑产业结构变动的影响因素,选取人力资源状况(Manpower)、政府支出水平(Govern)、对外开放水平(Topen)、科研投入强度(RDforce)、经济发展水平(RperGDP)、教育发展水平(Edulevel)、金融发展水平(Finance)、城镇化水平(Urbrate)、基础设施水平(Facility)以及省份和年度虚拟变量作为控制变量。表1列示了主要变量的含义、计算方法和数据来源。

表1 变量设置与数据来源
Tab.1 Variable setting and data sources

变量类型变量符号解释和计算方法 数据来源被解释变量产业结构合理化Deviate∑3i=1Yi/LiY/L-1=∑3i=1Yi/YLi/L-1CSMAR,Wind产业结构高度化AdvanceY3Y2CSMAR,Wind解释变量风险投资VCsupln(1+各地新三板企业获得风险投资总金额)清科私募通中介变量中小企业发展水平NEEQmvln(1+各地新三板企业总市值)Choice,Wind控制变量人力资源状况Manpowerln(各省大专以上学历人口总数)Wind,《中国人口与就业统计年鉴》政府支出水平Govern地方政府支出/地区生产总值CSMAR 对外开放水平Topen各地进出口总额/地区生产总值CSMAR科研投入强度RDforceln(规模以上工业企业R&D经费总额)Wind,《中国科技统计年鉴》经济发展水平RperGDPln(实际人均GDP)CSMAR教育发展水平Edulevelln(大专、本科、研究生招生规模)Wind金融发展水平Financeln(各地贷款余额规模)Choice城镇化水平Urbrate各地城镇人口/年末常住人口Wind基础设施水平Facility各地公路长度/户籍人口数Wind

2.3 模型设定

借鉴Baron & Kenny[38]、温忠麟[39]的检验程序,构造递归模型,通过中介效应检验探讨风险投资、中小企业发展与产业结构优化之间的关系。其中,产业结构优化包括产业结构合理化(Deviate)和产业结构高度化(Advance)两个考察维度。

Deviateit=α0+α1×VCsupit+∑Controlit+∑Province+∑Year+εit

(1)

NEEQmvit=β0+β1×VCsupit+∑Controlit+∑Province+∑Year+εit

(2)

Deviateit=γ0+γ1×VCsupit+γ2×NEEQmvit+∑Controlit+∑Province+∑Year+εit

(3)

上述模型中,中小企业发展水平(NEEQmv)为中介变量。第一步,在不存在中介变量的情况下,对模型(1)进行估计,如果风险投资(VCsup)的系数α1显著,说明风险投资对产业结构合理化(Deviate)产生显著影响(验证H2a),可进行后续分析过程,否则检验终止。第二步,对模型(2)进行估计,考察风险投资对中小企业发展水平的影响(验证H1)。第三步,对模型(3)进行估计,模型(3)是在模型(1)基础上加入中介变量获得。若式(2)中β1显著、式(3)中γ2显著,说明中小企业发展在风险投资影响产业结构合理化过程中的中介效应存在。如果式(3)中γ1也显著,说明中小企业发展发挥部分中介效应;如果γ1不显著,说明中小企业发展发挥完全中介效应。如果β1γ2有一个不显著,则进行Sobel检验。以上过程可检验H3a

同理,为检验H2b、H3b,产业结构高度化(Advance)也按相同程序进行检验,对应的回归方程为:

Advanceit=α0+α1×VCsupit+∑Controlit+∑Province+∑Year+εit

(4)

NEEQmvit=β0+β1×VCsupit+∑Controlit+∑Province+∑Year+εit

(5)

Advanceit=γ0+γ1×VCsupit+γ2×NEEQmvit+∑Controlit+∑Province+∑Year+εit

(6)

3 实证分析与结果

3.1 描述性分析

表2列示了各变量的描述性统计结果。由表2可知,2010—2020年我国各省份产业结构水平存在差异。产业结构合理化(Deviate)的最大值为4.544,最小值为0.537,说明当前阶段我国各省份产业结构不均衡。产业结构高度化(Advance)的最大值为5.297,最小值为0.5,说明当前阶段我国各省份产业结构高度化水平差异较大。风险投资(VCsup)的最大值为10.434,最小值为0,说明风险投资对各省新三板企业支持的差异较大。中小企业发展水平(NEEQmv)的最大值为8.613,最小值为0,说明各省中小企业发展水平(新三板企业市值规模)差异较大。此外,各控制变量的描述性统计结果表明我国各省各方面发展状况存在较大差异,这与我国发展不平衡不充分的现实国情相符。

表2 各变量描述性统计结果
Tab.2 Descriptive statistics of each variables

变量均值中位数标准差最小值最大值Deviate1.7721.6360.720.5374.544Advance1.1951.0250.680.5005.297VCsup5.8256.0522.210.00010.434NEEQmv4.5164.8141.970.0008.613Manpower15.13915.2760.9411.11116.544Govern0.2800.2260.210.1061.379Topen0.2660.1390.300.0081.548RDforce14.16514.4991.707.40117.034RperGDP10.22410.1530.439.07211.365Edulevel12.19912.3910.959.14013.739Finance9.98910.0100.935.70912.184Urbrate0.5740.5650.130.2270.896Facility0.0050.0030.000.0010.035N341

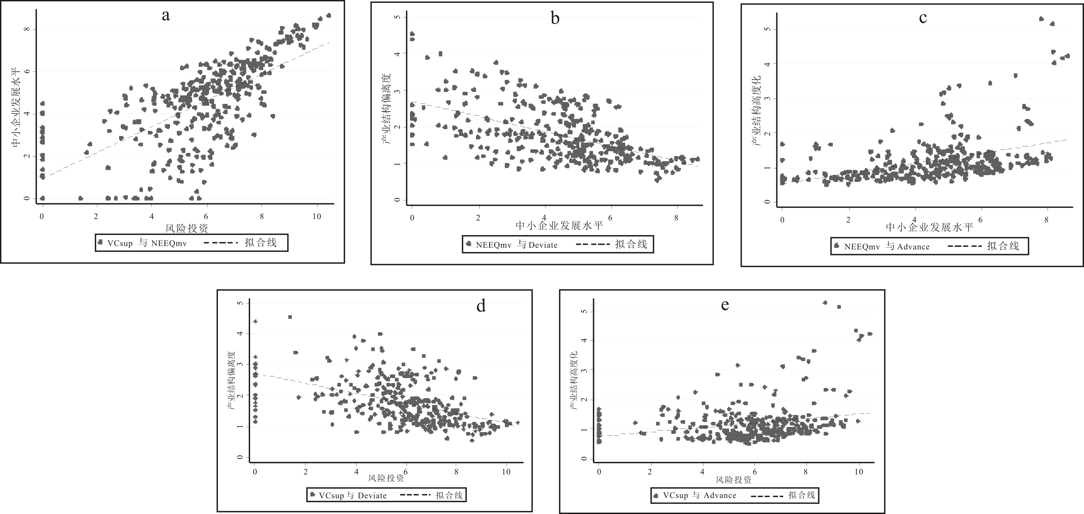
进一步,主要变量之间的散点图表明变量之间可能存在相关关系。图2-a为风险投资与中小企业发展水平的散点图,散点相对密集,拟合线呈正相关关系,说明VCsup↑→NEEQmv↑。图2-b为中小企业发展水平与产业结构合理化的散点图,拟合线为负相关关系,说明NEEQmv↑→Deviate↓(结构偏离度降低意味着产业结构合理化水平提高)。图2-c为中小企业发展水平与产业结构高度化的散点图,拟合线为正相关关系,说明NEEQmv↑→Advance↑。图2-a~2-c说明可能存在以下关系:VCsup↑→NEEQmv↑→产业结构优化↑(包括Deviate↓和Advance↑)。图2-d为风险投资与产业结构合理化的散点图,拟合线为负相关关系,说明VCsup↑→Deviate↓。图2-e为风险投资与产业结构高度化的散点图,拟合线为正相关关系,说明VCsup↑→Advance↑。图2-d、2-e说明风险投资与产业结构优化之间存在正向关联。当然,风险投资、中小企业发展与产业结构优化之间的具体关系还需要进一步验证。

3.2 回归结果分析

表3中列(1)~(3)为风险投资、中小企业发展与产业结构合理化之间关系的回归结果。列(1)汇报了风险投资(VCsup)对产业结构合理化(Deviate)的影响,系数α1=-0.031 4,在1%的水平上显著。结构偏离度(Deviate)值越小,产业结构越合理,说明风险投资可以提高产业结构合理度,H2a得到验证。列(2)结果显示,风险投资(VCsup)对中介变量中小企业发展水平(NEEQmv)的回归系数β1=0.087 9,在1%的水平上显著,说明风险投资对中小企业发展有显著促进作用,H1得到验证。列(3)结果显示,NEEQmv与Deviate的回归系数γ2=-0.055 3,VCsup与Deviate的回归系数γ1=-0.025 2,均在5%的水平上显著,说明中小企业发展和风险投资都可以降低产业结构偏离度,即二者对提高产业结构合理化水平具有积极作用。γ2γ1都显著,说明在风险投资推进产业结构合理化的过程中,中小企业发展表现出部分中介作用,即风险投资通过促进中小企业发展提高地区产业结构合理化水平,H3a得到验证。

图2 主要变量之间关系
Fig.2 Relationships between major variables

表3 风险投资、中小企业发展与产业结构优化的回归结果
Tab.3 Regression results of VC affecting SMEs development and industrial structure optimization

变量(1)(2)(3)(4)(5)(6)DeviateNEEQmvDeviateAdvanceNEEQmvAdvanceVCsup-0.031 4***0.087 9***-0.025 2**0.055 0***0.087 9***0.000 2(-2.72)(4.58)(-2.15)(3.25)(4.58)(0.01)NEEQmv-0.055 3**0.265 4***(-2.50)(7.15)Manpower0.127 30.253 90.199 9*0.632 0***0.253 90.433 0***(1.20)(1.46)(1.83)(6.62)(1.46)(4.66)Govern-3.094 2***-0.832 2-2.679 5***0.857 6**-0.832 20.261 3(-4.59)(-0.79)(-3.89)(2.20)(-0.79)(0.70)Topen-0.950 3***0.502 6-1.047 8***0.968 3***0.502 60.491 7***(-4.72)(1.32)(-5.15)(6.03)(1.32)(3.01)RDforce0.274 1***0.076 70.260 0***-0.701 0***0.076 7-0.738 6***(2.99)(0.57)(2.86)(-13.80)(0.57)(-15.54)RperGDP-1.043 4***-0.543 7-0.932 2***0.643 5***-0.543 70.305 5**(-4.67)(-1.55)(-4.13)(4.36)(-1.55)(2.11)Edulevel-1.618 0***-0.075 3-1.732 2***0.159 5*-0.075 30.161 7**(-8.37)(-0.24)(-8.79)(1.81)(-0.24)(1.98)Finance0.116 6-0.000 60.168 1**-0.040 4-0.000 60.023 3(1.42)(-0.00)(2.01)(-0.46)(-0.00)(0.28)Urbrate0.604 4-2.193 21.483 80.095 1-2.193 21.483 0***(0.55)(-0.96)(1.30)(0.17)(-0.96)(2.70)Facility-36.898 7**-56.303 7**-50.095 4***-73.736 3***-56.303 7**-63.030 5***(-2.01)(-2.05)(-2.65)(-5.76)(-2.05)(-5.26)常数项26.193 5***5.522 024.415 8***-7.379 1***5.522 0-1.775 7(8.43)(1.06)(7.73)(-4.73)(1.06)(-1.08)个体是是是否是否年份否是否是是是N341341341341341341R20.8960.9720.8980.7340.9720.771

注:***、**、*分别表示在1%、5%、10%的水平上显著,括号内为T统计量,下同

表3中列(4)~(6)为风险投资、中小企业发展与产业结构高度化之间关系的回归结果。列(4)汇报了风险投资(VCsup)对产业结构高度化(Advance)的影响,系数α1=0.055 0,在1%的水平上显著,说明在控制其它因素的情况下,风险投资对产业结构高度化发展有积极影响,验证了H2b。列(5)结果显示,风险投资(VCsup)对中介变量中小企业发展水平(NEEQmv)的回归系数β1=0.087 9,且在1%的水平上显著,说明风险投资可以显著提升中小企业发展水平,再次验证H1。列(6)结果显示,NEEQmv与Advance的回归系数γ2=0.265 4,且在1%的水平上显著;VCsup与Advance的回归系数γ1=0.000 2,不显著。说明中小企业发展在风险投资影响产业结构高度化过程中具有完全中介效应,即风险投资通过促进中小企业发展提升地区产业结构高度化水平,H3b得到验证。完全中介效应意味着中小企业发展在风险投资促进产业结构高度化过程中发挥重要功能。我国中小企业数量庞大,但普遍存在规模小、资金力量单薄、社会融资困难、抗风险能力弱等问题。风险资本投入中小企业无异于“雪中送炭”,会给中小企业带来更大的边际成长效应。同时,受资中小企业外溢的“鲶鱼效应”会促进中小企业群体之间技术、知识、信息、产品的流动更新,创新(技术创新、产品创新、产业模式创新、经营手段创新、流程创新、管理创新等方面)扩散最终促进优势产业更迭。

3.3 稳健性检验

(1)更换被解释变量。参考已有做法,选取泰尔指数(Theil)作为产业结构合理化的替代指标进行稳健性检验:泰尔指数与结构偏离度涵义类似,其值越小说明产业结构越合理,反之亦然,Theil=0意味着产业结构达到合理水平。选取产业结构优化率(Improve)作为产业结构高度化的替代指标进行稳健性检验:值越大,说明产业结构越偏向服务化、生态化,产业结构越高端。表4为稳健性检验结果,各项假设依旧得到验证,说明结论具备稳健性。

表4 更换被解释变量的稳健性检验结果
Tab.4 Results of robustness tests results after for replacing the explained variables

变量(1)(2)(3)(4)(5)(6)TheilNEEQmvTheilImproveNEEQmvImproveVCsup-0.003 8**0.087 9***-0.002 40.004 7*0.087 9***0.000 3(-1.97)(4.58)(-1.24)(1.91)(4.58)(0.10)NEEQmv-0.012 6***0.021 5***(-3.44)(3.76)Manpower0.020 80.253 90.037 4**0.033 7**0.253 90.017 6(1.17)(1.46)(2.06)(2.42)(1.46)(1.23)Govern-0.472 9***-0.832 2-0.378 3***0.516 8***-0.832 20.468 6***(-4.18)(-0.79)(-3.31)(9.07)(-0.79)(8.18)Topen-0.120 8***0.502 6-0.143 0***0.099 4***0.502 60.060 9**(-3.58)(1.32)(-4.23)(4.25)(1.32)(2.42)RDforce0.042 2***0.076 70.038 9**-0.007 40.076 7-0.010 4(2.75)(0.57)(2.58)(-1.00)(0.57)(-1.43)RperGDP-0.136 1***-0.543 7-0.110 7***0.040 7*-0.543 70.013 4(-3.64)(-1.55)(-2.95)(1.89)(-1.55)(0.60)Edulevel-0.274 9***-0.075 3-0.301 0***-0.006 8-0.075 3-0.006 7(-8.48)(-0.24)(-9.20)(-0.53)(-0.24)(-0.53)Finance0.025 8*-0.000 60.037 6***0.015 1-0.000 60.020 2(1.88)(-0.00)(2.70)(1.17)(-0.00)(1.59)Urbrate-0.302 1-2.193 2-0.101 40.479 9***-2.193 20.592 1***(-1.64)(-0.96)(-0.53)(5.95)(-0.96)(7.01)Facility-2.645 8-56.303 7**-5.658 2*-9.328 9***-56.303 7**-8.463 7***(-0.86)(-2.05)(-1.80)(-5.00)(-2.05)(-4.59)常数项4.154 1***5.522 03.748 3***1.048 9***5.522 01.501 8***(7.98)(1.06)(7.14)(4.61)(1.06)(5.93)个体是是是否是否年份否是否是是是N341341341341341341R20.9150.9720.9180.8450.9720.852

(2)更换中介变量。市场流动性是新三板最受关注的问题,自2013年全面扩容以来,新三板历经市场分层、交易制度改革、转板设计、成立北交所等多项重要变革,目的在于提高新三板市场流动性,激发市场活力,提升资源配置效率,促进中小微企业成长。因此,采用新三板流通市值规模(NEEQcv)作为中小企业发展水平的替代指标进行稳健性检验,结果如表5所示。稳健性检验结果仍然验证前文假设,进一步说明回归结果具有稳健性。

(3)更换解释变量。借鉴已有成果,除采用风险投资金额代表风险投资水平外,受资企业数量或风险投资案例数也可以用于衡量风险投资水平。选择各省获得风险投资支持的新三板企业数量(VCfirm)作为风险投资水平的替代指标进行稳健性检验,VCfirm=ln(各省获得VC支持的新三板企业数) 。如表6所示,稳健性检验结果依旧验证前文假设,说明回归结果稳健。

表5 更换中介变量的稳健性检验结果
Tab.5 Results of robustness tests results after replacing the mediating variables

变量(1)(2)(3)(4)(5)(6)DeviateNEEQcvDeviateAdvanceNEEQcvAdvanceVCsup-0.030 7**0.113 7***-0.030 3**0.055 0***0.113 7***0.029 0*(-2.31)(2.81)(-2.30)(3.25)(2.81)(1.85)NEEQcv0.053 9*0.225 2***(1.84)(8.30)Manpower0.120 51.492 6***0.105 80.632 0***1.492 6***0.424 5***(1.00)(4.01)(0.88)(6.62)(4.01)(4.71)Govern-3.021 4***3.443 4-2.844 1***0.857 6**3.443 40.045 9(-4.12)(1.46)(-3.86)(2.20)(1.46)(0.12)Topen-0.942 9***-7.332 8***-0.872 3***0.968 3***-7.332 8***0.704 4***(-3.58)(-10.40)(-3.29)(6.03)(-10.40)(4.72)RDforce0.214 3**0.081 90.156 3-0.701 0***0.081 9-0.702 9***(2.29)(0.26)(1.59)(-13.80)(0.26)(-15.23)RperGDP-0.859 8***-0.245 9-0.780 5***0.643 5***-0.245 90.277 9**(-3.54)(-0.31)(-3.18)(4.36)(-0.31)(1.97)Edulevel-1.982 8***-3.153 1***-1.906 3***0.159 5*-3.153 1***0.181 1**(-9.00)(-4.66)(-8.53)(1.81)(-4.66)(2.27)Finance0.081 30.392 90.072 8-0.040 40.392 90.018 9(0.86)(1.37)(0.77)(-0.46)(1.37)(0.24)Urbrate1.060 343.254 9***1.067 20.095 143.254 9***1.090 3**(0.67)(11.27)(0.68)(0.17)(11.27)(2.11)Facility-44.292 9**-4.1e+02***-30.368 4-73.736 3***-4.1e+02***-48.903 6***(-2.33)(-6.43)(-1.49)(-5.76)(-6.43)(-4.07)常数项29.507 1***-14.880 128.711 1***-7.379 1***-14.880 1-1.698 5(8.21)(-1.37)(7.97)(-4.73)(-1.37)(-1.08)个体是是是否是否年份是否是是否是N341341341341341341R20.9010.8890.9030.7340.8890.781

表6 更换解释变量的稳健性检验结果
Tab.6 Results of robustness tests results afer replacing the explanatory variables

变量(1)(2)(3)(4)(5)(6)DeviateNEEQmvDeviateAdvanceNEEQmvAdvanceVCfirm-0.082 6**0.478 0***-0.063 2**0.214 6***0.478 0***0.041 4(-2.11)(7.62)(-2.23)(5.45)(7.62)(0.86)NEEQmv-0.052 9**0.263 2***(-2.16)(5.80)Manpower0.125 90.703 5**0.216 5*0.570 7***0.703 5**0.429 6***(0.98)(2.50)(1.85)(5.57)(2.50)(4.28)Govern-2.423 1***11.190 4***-1.888 7**0.167 811.190 4***0.068 4(-2.80)(6.05)(-2.33)(0.37)(6.05)(0.16)Topen-0.854 7***-0.954 7*-0.903 1***0.598 0***-0.954 7*0.416 5**(-3.21)(-1.92)(-4.38)(3.30)(-1.92)(2.38)RDforce0.239 3**-0.146 40.277 2***-0.813 9***-0.146 4-0.792 1***(2.39)(-0.62)(2.86)(-14.70)(-0.62)(-15.02)RperGDP-0.750 8***2.523 6***-0.762 7***0.434 7***2.523 6***0.295 7*(-3.01)(4.62)(-3.27)(2.68)(4.62)(1.90)Edulevel-2.080 8***-1.039 8**-1.855 7***0.148 7-1.039 8**0.198 8**(-9.19)(-2.04)(-8.78)(1.58)(-2.04)(2.22)Finance0.013 41.137 3***0.139 00.055 31.137 3***0.036 4(0.12)(5.01)(1.42)(0.55)(5.01)(0.38)Urbrate1.144 55.772 3*1.159 30.879 55.772 3*1.616 9***(0.69)(1.95)(0.95)(1.48)(1.95)(2.79)Facility-9.109 330.807 5-7.474 8-60.883 2***30.807 5-59.336 3***(-0.32)(0.47)(-0.27)(-4.52)(0.47)(-4.64)常数项29.488 6***-38.828 9***23.801 9***-3.865 7**-38.828 9***-1.533 6(7.96)(-5.01)(7.14)(-2.07)(-5.01)(-0.84)个体是是是否是否年份是否否是否是N323323323323323323R20.9060.9220.9010.7520.9220.777

3.4 内生性分析

由前文分析可知,风险投资通过促进中小企业发展提升产业结构优化水平。事实上,可能是位于产业结构顶部的中小企业本身基础良好吸引了风险投资,风险投资可能是产业结构优化的内生变量,即风险投资与产业结构优化之间可能存在双向因果关系。采用工具变量法克服问题本身隐含的内生性偏差,以受资企业数量(VCfirm)作为风险投资的工具变量(IV_VC),对模型(3)进行重新估计。采用Cragg-Donald F检验弱工具变量问题,F值为97.973 3,大于对应的临界值,说明VCfirm不是弱工具变量。IV_VC与Deviate的系数为-0.063 2,在5%水平下显著,说明在处理内生性之后,风险投资确实可以提高产业结构合理度。同时,以风险投资密度的对数(VCdens)作为风险投资的工具变量(IV_VC),对模型(6)进行重新估计。其中,VCdens=ln(1+风险投资密度),风险投资密度=各省新三板企业获得风险投资规模/各省获得VC支持的新三板企业数。同样采用Cragg-Donald F检验弱工具变量问题,F值为1 340.27,大于对应的临界值,说明VCdens不是弱工具变量。IV_VC与Advance的系数为0.019 4,在10%水平下显著,说明在处理内生性之后,风险投资确实可以促进产业结构高度化发展。限于篇幅,内生性检验结果留存备索。

4 结论与启示

4.1 研究结论

从受资中小企业角度出发,探析风险投资对产业结构优化的影响。通过梳理风险投资、中小企业发展与产业结构优化之间的逻辑关系及影响机制,发现风险投资通过资源配置机制、协作链接机制和竞争创新机制作用于中小企业成长进而影响地区产业结构优化。进一步基于2010—2020年我国内地31个省份数据,探讨风险投资、中小企业发展和产业结构优化三者之间的关系。研究结论如下:第一,风险投资对中小企业发展有显著促进作用。第二,风险投资能够促进地区产业结构优化,具体表现为风险投资可显著降低产业结构偏离度和显著提升产业结构高度化。第三,风险投资通过促进中小企业发展提升地区产业结构优化水平。一方面,风险投资通过促进中小企业发展提高地区产业结构合理化水平,中小企业发展在风险投资与产业结构合理化之间关系中发挥部分中介作用;另一方面,风险投资通过促进中小企业发展提升地区产业结构高度化水平,中小企业发展在风险投资与产业结构高度化之间关系中发挥完全中介作用,说明中小企业发展在风险投资促进产业结构高度化过程中发挥重要功能。这是因为我国中小企业数量庞大,其发展面临各方面困难与先天不足,风险投资支持会给中小企业带来更大的边际成长效应,同时受资企业外溢的“鲶鱼效应”将更好地激发中小企业群体的内生创新动力,以创新为基础的成长型中小企业获得发展,产业结构向创新主导方向演变,因此产业结构向更高层次发展。此外,风险投资促进产业结构优化的作用效果虽然显著,但回归系数较小,说明风险投资对中小企业的支持力度不够,外溢的产业结构优化效应不足。这意味着风险投资与中小企业还有很大成长空间与融合空间。

4.2 启示

(1)对风险投资市场发展给予更多政策支持与保障。当前,新冠疫情仍在全球蔓延,国内疫情防控形势依然严峻,我国经济面临更大的下行压力,各行各业不确定性因素增加,风险投资机构募资面临更大困难。为应对风险资本供给“市场失灵”的问题,政府应积极引导风险投资市场发展,针对风险投资机构和天使投资者制定税收优惠等政策。在法律允许范围内拓宽资金募集渠道,允许和鼓励具备风险承受能力的市场主体开展风险投资业务,为风险投资市场注入竞争活力。同时,进一步完善监管政策和相关法律法规,规范行业行为,控制风险。

(2)加大对中小企业发展的支持力度,提升中小企业成长能力。我国中小企业普遍存在资金瓶颈和发展困难,特别是受当前新冠疫情冲击,中小企业发展举步维艰。政府应加大对中小企业的支持力度,完善政策性融资担保体系,建立融资担保风险补偿机制,健全多层次资本市场融资功能,制定中小企业税收优惠政策;优化市场竞争环境,激发中小企业创新内生动力和市场竞争活力;鼓励中小企业进行数字化、网络化、智能化转型;建立“孵化培育→成长扶持→推动壮大”的中小企业培育体系。

(3)推动风险投资与中小企业融合发展。风险投资是推动“双创”战略实施的重要资本力量,而中小企业是承载“双创”战略的主体,是实现产业结构优化的基础。风险投资对“双创战略”的支持将进一步推动风险投资与中小企业融合发展,使风险投资更好地促进中小企业成长和产业结构优化。当前,风险资本出于避险需求,更倾向于投资盈利模式清晰的中后期成熟企业,而中小企业是我国经济韧性和就业韧性的基础。为此,应充分挖掘政府引导基金的杠杆放大效应,有效融合财政手段与市场化途径的优势,积极引导社会资本流向创新创业领域,为优质中小企业提供资本支持。同时,中小企业应充分利用资本市场平台,通过并购重组、战略联盟等实现规模效应和产业链整合,从更大范围提升企业资源配置效率。

参考文献:

[1] JAIN B A, KINI O. Venture capitalist participation and the post-issue operating performance of IPO firms[J]. Managerial and Decision Economics, 1995, 16(6): 593-606.

[2] ALEMANY L, MARTI J. Unbiased estimation of economic impact of venture capital backed firms[R]. Università Complutense de Madrid, 2005.

[3] ROSA M C W, SUKOHARSONO E G, SARASWATI E. The role of venture capital on start-up business development in Indonesia[M]. Muhammadiyah University Yogyakarta, 2019.

[4] KATO A I, TSOKA G E. Impact of venture capital financing on small-and medium-sized enterprises’ performance in Uganda[J]. The Southern African Journal of Entrepreneurship and Small Business Management, 2020, 12(1): 1-11.

[5] 蒋伟,顾汶杰. 风险投资对创业企业作用的实证研究[J]. 商业经济与管理, 2015,35(11): 54-67.

[6] 冯慧群. 风险投资是民营企业IPO的“救星”吗[J]. 财贸经济, 2016,37(8): 66-80.

[7] 曹文婷. 风险投资影响新三板企业价值:作用机制、内生性及企业异质性探讨[J]. 北京工商大学学报(社会科学版), 2020,35(1): 64-75.

[8] 徐研,刘迪. 风险投资网络能够促进中小企业创新能力提升吗——基于中国风投行业数据的实证研究[J]. 产业经济研究, 2020,19(3):85-99.

[9] AMIT R, GLOSTEN L, MULLER E. Entrepreneurial ability, venture investments, and risk sharing[J]. Management Science, 1990, 36(10): 1233-1246.

[10] BECK T, DEMIRGÜÇ-KUNT A, MAKSIMOVIC V. Financing patterns around the world: are small firms different[J]. Journal of Financial Economics, 2008, 89(3): 467-487.

[11] GOMPERS P A. Grandstanding in the venture capital industry[J]. Journal of Financial Economics, 1996, 42(1): 133-156.

[12] 蔡宁. 风险投资“逐名”动机与上市公司盈余管理[J]. 会计研究, 2015,36(5): 20-27,94.

[13] 吴育辉,吴翠凤,吴世农. 风险资本介入会提高企业的经营绩效吗——基于中国创业板上市公司的证据[J]. 管理科学学报, 2016, 19(7): 85-101.

[14] 伍文中,高琪. 逐名效应、认证监督与中国创业板IPO抑价[J]. 金融经济学研究, 2018, 33(6): 94-103.

[15] 曹文婷. 新三板挂牌企业市值管理的困境及对策[J]. 财会月刊, 2020,41(19):128-134.

[16] 杜传忠,李彤,刘英华. 风险投资促进战略性新兴产业发展的机制及效应[J]. 经济与管理研究, 2016, 37(10): 64-72.

[17] 李萌,包瑞. 风险投资支持战略性新兴产业发展探究[J]. 宏观经济管理, 2016,32(5): 55-58,65.

[18] 钱燕. 风险投资对新兴产业发展的影响研究——新三板生物医药企业的证据[J]. 经济问题, 2020,42(10): 38-45.

[19] ALDATMAZ S. Private equity in the global economy: evidence on industry spillovers[D]. Chapel Hill: The University of North Carolina at Chapel Hill, 2013.

[20] 刘娥平, 钟君煜, 施燕平. 风险投资的溢出效应[J]. 财经研究, 2018,44(9): 52-65.

[21] 庞明川, 张翀, 焦伟伟. 风险投资,制度情境与产业结构转型升级——基于中国省级面板数据的实证研究[J]. 科技进步与对策, 2021,38(8): 50-59.

[22] 余婕, 董静. 风险投资引入与产业高质量发展——知识溢出的调节与门限效应[J]. 科技进步与对策, 2021, 38(14):62-71.

[23] 杨青,彭金鑫. 创业风险投资产业和高技术产业共生模式研究[J]. 软科学, 2011, 25(2): 11-14.

[24] POPKOVA E G, INSHAKOVA A O, SERGI B S. Venture capital and Industry 4.0: the G7's versus BRICS' experience[J]. Thunderbird International Business Review, 2021, 63(6): 765-777.

[25] 曹玉平,操一萍. 风险投资、不良贷款与产业转型升级——基于中国省级面板数据的实证研究[J]. 北京理工大学学报(社会科学版), 2020, 22(3): 76-87.

[26] 刘广,刘艺萍. 风险投资对产业转型升级的影响研究[J]. 产经评论, 2019, 10(3): 45-55.

[27] 王雷,党兴华. R&D经费支出、风险投资与高新技术产业发展——基于典型相关分析的中国数据实证研究[J]. 研究与发展管理, 2008,20(4): 13-19.

[28] 赵玮,温军. 风险投资介入是否可以提高战略性新兴产业的绩效[J]. 产业经济研究,2015,14(2): 79-89.

[29] COASE R H. The nature of the firm: origins, evolution, and development[M]. Oxford University Press, 1993.

[30] 约瑟夫·熊彼特. 经济发展理论[M]. 郭武军,吕阳,译.北京:华夏出版社, 2014: 49-80.

[31] 常进雄,楼铭铭. 关于我国工业部门就业潜力问题的研究——基于产业结构偏离度的分析[J].上海财经大学学报, 2004,6(3): 32-38.

[32] 干春晖,郑若谷, 余典范. 中国产业结构变迁对经济增长和波动的影响[J]. 经济研究, 2011, 46(5): 4-16,31.

[33] 傅元海,叶祥松, 王展祥. 制造业结构优化的技术进步路径选择——基于动态面板的经验分析[J]. 中国工业经济, 2014,31(9): 78-90.

[34] 张学勇,廖理. 风险投资背景与公司IPO:市场表现与内在机理[J]. 经济研究, 2011, 46(6): 118-132.

[35] 王秀军,李曜. VC投资:投前筛选还是投后增值[J].上海财经大学学报, 2016, 18(4) : 83-96.

[36] 王伟龙,纪建悦. 研发投入、风险投资对产业结构升级的影响研究——基于中国2008—2017年省级面板数据的中介效应分析[J]. 宏观经济研究, 2019,22(8): 71-80,114.

[37] 陈小辉,张红伟, 吴永超. 数字经济如何影响产业结构水平[J]. 证券市场导报, 2020,30(7):20-29.

[38] BARON R M, KENNY D A. The moderator-mediator variable distinction in social psychological research: conceptual, strategic, and statistical considerations[J]. Journal of Personality and Social Psychology, 1986, 51(6): 1173-1182.

[39] 温忠麟,张雷等. 中介效应检验程序及其应用[J]. 心理学报, 2004, 36(5):614-620.

(责任编辑:陈 井)