The new development concept is the basic principle of Chinese economic and social development during the Fourteenth Five-Year Plan and the next period. The high-quality development measurement system based on the new development concept is multidimensional and contemporary, reflecting the rich connotation of high-quality development. This paper constructs an evaluation index system for high-quality manufacturing development that includes 6 sub-dimensions and 24 basic indexes.
Imbalance mainly refers to the imbalance of horizontal development. The spatial disharmony and irrational structure are important manifestations of the imbalance in the high-quality development of manufacturing. Inadequacy mainly means that neither the development level of productivity nor the total amount is not high enough, and the current development level is insufficient compared with the relatively sufficient state. The imbalance is horizontal, mainly manifested by the large gap in development between regions; and the inadequacy is vertical, mainly manifested by the low level of development within the region. The two complement each other.
This study uses the entropy weight method to measure the high-quality development level of manufacturing in 30 provincial administrative regions in China from 2008 to 2020. Using the weighted Dagum Gini coefficient and quantile standardization method, it investigates the imbalance and inadequacy of the high-quality development of manufacturing from the dual perspectives of space and structure. Through the variance decomposition method and the calculation of the subdimension contribution rate, the structural sources of imbalance and inadequacy in the high-quality development of manufacturing are explored, respectively. It is found that the high-quality development level of China's manufacturing is low, showing a spatial pattern of high in the east, medium in the middle and low in the west and the distribution characteristics of high in the south and low in the north. The degree of imbalance in the high-quality development of China's manufacturing tends to increase, the degree of imbalance in the central region is relatively low, and the degree of imbalance between regions associated with the east is high. The gap in open and innovative development is the main source of the imbalance in the high-quality development of manufacturing in China and its regions. The inadequacy of high-quality development in China's manufacturing has enhanced, and the inadequacy of the east is relatively low. Insufficient opening-up development and weak innovation development are the main sources of inadequacy in high-quality manufacturing development.
The marginal contribution of this paper is as follows. First, this study uses the weighted Dagum Gini coefficient method to quantify the imbalanced degree of high-quality development in China's manufacturing from the perspective of sub-samples and sub-dimensions and reveal the source of the difference. Second, according to the new development concept, this paper constructs an evaluation index system, and uses the quantile standardization method to uniformly transform the high-quality development level of China's manufacturing into relative sufficiency within the standard range, thus providing a feasible way to make up for the weakness of manufacturing development. Third, by using the methods of variance decomposition and contribution rate calculation, the study explores the structural root causes of imbalanced and insufficient high-quality development in the manufacturing industry, providing targeted policy implications for the development of manufacturing in different regions.
中国经济已由高速增长阶段转向高质量发展阶段,制造业作为立国之本、兴国之器、强国之基,已逐渐成为中国经济高质量发展的核心[1]。然而,在新冠疫情导致对外经济循环不畅以及国际高新技术壁垒抬高的双重压力下,产能过剩、出口萎缩、产品附加值不高等问题日益凸显,一定程度上削弱了中国制造业对实体经济的支撑作用,影响其全球价值链地位[2]。为此,2018年以来,历次中央经济工作会议均将推动制造业高质量发展作为重点内容,要求着力推进传统制造业优化升级,提高产业链供应链自主可控能力等;“十四五”规划提出深入实施制造强国战略,推动制造业高质量发展,保持制造业在国民经济中的合理比重。
中共十九大报告明确指出,我国社会主要矛盾已经转化为人民日益增长的美好生活需要和不平衡不充分的发展之间的矛盾。第二个百年奋斗目标要在积极解决新时代主要矛盾的过程中逐步实现[3]。作为不平衡不充分发展的重要组成部分,制造业面临的问题同样突出。根据《中国工业统计年鉴》数据,2020年,东部地区制造业主营业务收入为57.32万亿元(占全国比重为59.60%),比中部、西部、东北地区分别高出37.50万亿元、42.87万亿元、52.74万亿元。中国制造业主营业务收入排名前5位的均为东部省份(广东、江苏、山东、浙江、福建),排名后5位的除海南外,均为西部省份(西藏、青海、宁夏、甘肃),且制造业主营业务收入最高的广东(140 163.33亿元)是最低的西藏(161.41亿元)的868倍,发展差距不容小视。在此背景下,科学测度中国制造业高质量发展水平,综合考察其不平衡不充分发展现状、演进趋势及结构来源,对于推动区域经济提质增效,探寻中国制造业公平且有质量的发展路径,最终实现共同富裕具有重要学理价值和现实意义。
自中共十九大报告首次提出高质量发展一词以来,学界围绕制造业领域的高质量发展进行了广泛讨论。部分学者围绕制造业高质量发展的科学内涵、现实困境、提升路径等展开理论研究。如余东华[4]认为制造业高质量发展是指在新发展理念指导下,生产、制造、销售全过程实现生产要素投入低、资源配置效率高、品质提升实力强、生态环境质量优、经济社会效益好的高水平可持续发展;郭克莎和宋杰[5]发现制约中国制造业高质量发展的问题和矛盾主要在于企业信心不足、关键技术受限、创新能力不强、体制机制障碍、资源能源浪费等;任保平[1]指出制造业高质量发展需要坚持工业化、创新驱动、智能化、新动能培育、改革发展、品牌提升六大战略。在上述科学内涵指导下,涌现出大量关于制造业高质量发展水平测度的研究,其中部分学者选取全要素生产率作为衡量制造业高质量发展水平的指标[6-8]。考虑到新时代高质量发展内涵更加丰富,单一指标难以全面准确反映制造业高质量发展的真实水平,因而不少学者通过构建综合评价指标体系进行测度。如史丹和李鹏[9]构建包括产出效率、结构优化、产品需求、技术创新、出口创汇与竞争力、就业吸纳与产业协同、资源环境、基础设施建设8个子维度共计35项指标的评价体系,使用纵横向拉开档次法系统测算中国工业发展质量;高运胜和杨阳[10]基于制造业价值链升级的创新效应、经济效应、社会效应和环境效应,选取12项指标,采用主成分分析法测算中国制造业高质量发展水平;曲立等[11]从创新、绿色、开放、共享、高效、风险控制6个维度选取25项指标,运用德尔菲层次分析法计算中国区域制造业高质量发展指数。进一步地,众多学者在制造业高质量发展水平测度的基础上,对其不平衡程度展开实证研究。如江小国等[12]从总体和一级指标两个维度,对中国四大地区制造业高质量发展水平进行对比分析;曹守新和赵甜[13]从全国、三大地区、八大综合经济区等区域视角对制造业增长质量进行直观比较;曲立等[11]运用泰尔指数考察中国四大地区和五大经济带制造业高质量发展水平的区域差异。值得注意的是,目前鲜有文献对制造业高质量发展不充分程度进行考察。在已有相关领域研究中,许宪春等[14]基于清华大学中国平衡发展指数,对发展不平衡不充分问题进行定量分析;邹克和郑石明[15]使用标准化方法与威廉逊系数对高等教育不平衡不充分发展进行统计测度。
总体来看,已有研究围绕制造业高质量发展进行了大量理论阐述和实证考察,但仍存在进一步拓展空间:第一,就为数不多的关于中国制造业高质量发展不平衡测度的研究而言,在计算地区间空间差异时没有考虑子群分布状况,且缺乏对不平衡结构来源的考察。本文运用加权Dagum基尼系数方法,从子样本和子维度双重视角对中国制造业高质量发展不平衡程度进行量化并揭示其差异来源。第二,缺乏对中国制造业高质量发展不充分测度的研究,无法识别各地区不同子维度发展的不足。本文基于新发展理念构建评价指标体系,使用分位数标准化方法将中国制造业高质量发展水平统一转化为标准区间内的相对充分程度,从而为弥补制造业发展短板提供可行思路。第三,缺乏对中国制造业高质量发展不平衡不充分来源的探析,难以因地制宜探寻制造业公平且有质量发展的路径。本文通过方差分解和计算贡献率的方法,对制造业高质量发展不平衡不充分的结构来源进行考察,以期为不同区域的制造业发展提供有针对性的政策启示。
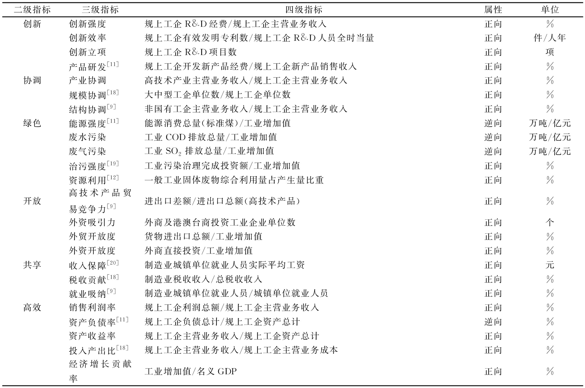
新发展理念是“十四五”及今后一段时期我国经济社会发展的基本遵循,基于新发展理念的高质量发展测度体系兼具多维性与时代性,体现了高质量发展的丰富内涵[11]。我国制造业发展必须立足新发展阶段、贯彻新发展理念、构建新发展格局,迈向高质量发展[16],测度制造业高质量发展水平应基于新发展理念和效益原则,采用多维度指标体系进行集成评价[17-20]。因此,本文遵循指标选取的科学性、系统性、代表性原则,构建包含创新、协调、绿色、开放、共享、高效6个子维度、24项基础指标的制造业高质量发展评价指标体系,以期科学测度中国制造业高质量发展水平,如表1所示。
其中,创新是引领制造业动能转换的第一动力,协调是制造业持续健康发展的内生要求,绿色是制造业永续发展的必要条件,开放是制造业繁荣发展的必由之路,共享是制造业高质量发展的根本目的,高效是制造业转型升级的关键特征。
改革开放40余年来,中国制造业实现了高速发展,建立了完备的产业体系,但在迈向高质量发展道路的同时,也产生了一系列不平衡不充分问题:一是制造业高质量发展的区域不平衡,部分地区制造业发展不充分,东部省份已进入后工业化或工业化后期,而中西部省份大多仍处于工业化中期阶段。二是制造业高质量发展结构不平衡,创新能力和高端产业发展不充分,表现在钢铁、纺织、水泥等行业低端产能过剩,而高技术复杂度、高附加值产品供给不足。三是制造业发展与资源环境承载力不平衡,绿色经济发展不充分,资源环境无法承受大国快速工业化进程,如何实现资源、经济、环境和谐发展仍然是一道现实难题[21]。除此之外,制造业高质量发展还存在实体经济与虚拟经济发展不平衡、发展动力内外不平衡、高质量实体经济供给不充分、四化融合发展不充分等不平衡不充分问题[22]。
不平衡主要是指横向发展面的失衡或失调。各地区的发展并非简单的守恒或者均衡,而是存在较强的累积循环效应,即当经济活动偏离初始均衡状态后,市场自身力量不但难以调节至均衡状态,还会在规模效应影响下加剧这种非均衡状态[23]。空间不协调和结构不合理是制造业高质量发展不平衡的主要体现,前者主要是指区域失衡,后者是指创新、协调、绿色、开放、共享、高效发展之间的结构失调,因而制造业高质量发展不平衡可以从空间和结构双重视角进行考察。从空间视角看,中国制造业高质量发展不平衡主要体现为地区间发展差距较大。发达地区的制造业原始创新能力强、创新成果转化率高、上下游产业链协调有序、大中小企业集聚发展、资源利用率高、污染排放量低、对外开放范围广、产品附加值高,在就业吸纳、收入保障、税收贡献等方面社会责任感强,投入产出比可观,生产过程高效;欠发达地区的制造业创新环境不完善、产业链供应链不畅通、“倚能倚重”现象突出、产品国际竞争力不足,对就业吸纳、收入保障、财政税收等社会资源贡献有限,生产效率有待提高。从结构视角看,制造业高质量发展不平衡主要体现在各维度之间未能实现协同发展,即创新、协调、绿色、开放、共享、高效维度存在明显发展短板,从而无法稳定支撑制造业高质量发展。
表1 制造业高质量发展评价指标体系
Tab.1 Evaluation index system for high-quality development of manufacturing
二级指标三级指标四级指标属性单位创新创新强度规上工企R&D经费/规上工企主营业务收入正向%创新效率规上工企有效发明专利数/规上工企R&D人员全时当量正向件/人年创新立项规上工企R&D项目数正向项产品研发[11]规上工企开发新产品经费/规上工企新产品销售收入正向%协调产业协调高技术产业主营业务收入/规上工企主营业务收入正向%规模协调[18]大中型工企单位数/规上工企单位数正向%结构协调[9]非国有工企主营业务收入/规上工企主营业务收入正向%绿色能源强度[11]能源消费总量(标准煤)/工业增加值逆向万吨/亿元废水污染工业COD排放总量/工业增加值逆向万吨/亿元废气污染工业SO2排放总量/工业增加值逆向万吨/亿元治污强度[19]工业污染治理完成投资额/工业增加值正向%资源利用[12]一般工业固体废物综合利用量占产生量比重正向%开放高技术产品贸易竞争力[9]进出口差额/进出口总额(高技术产品)正向%外资吸引力外商及港澳台商投资工业企业单位数正向个外贸开放度货物进出口总额/工业增加值正向%外资开放度外商直接投资/工业增加值正向%共享收入保障[20]制造业城镇单位就业人员实际平均工资正向元税收贡献[18]制造业税收收入/总税收收入正向%就业吸纳[9]制造业城镇单位就业人员/城镇单位就业人员正向%高效销售利润率规上工企利润总额/规上工企主营业务收入正向%资产负债率[11]规上工企负债总计/规上工企资产总计逆向%资产收益率规上工企主营业务收入/规上工企资产总计正向%投入产出比[18]规上工企主营业务收入/规上工企主营业务成本正向%经济增长贡献率工业增加值/名义GDP正向%
注:从2011年起,规模以上工业企业统计范围从年主营业务收入为500万元及以上的法人工业企业调整为年主营业务收入为2 000万元及以上的法人工业企业
不充分主要是指生产力发展程度不够高且总量不丰富,当前发展水平相对于较充分状态(如发达地区发展水平)存在不足[14]。制造业高质量发展不充分是一个相对概念,是指某一地区制造业发展水平与最高标杆地区相比存在差距,而非制定一套绝对标准对充分与不充分进行人为区分。制造业高质量发展不充分也是一个动态概念,即标杆地区不是一成不变的,各地区制造业发展水平与标杆地区之间的发展差距处于动态变化中。中共二十大报告指出,“新一轮科技革命和产业变革深入发展,国际力量对比深刻调整,我国发展面临新的战略机遇……必须完整、准确、全面贯彻新发展理念,加快建设制造强国,推动制造业高端化、智能化、绿色化发展”。因此,制造业是否实现充分发展,应站在高质量发展这一全局和战略高度进行评价,如制造业原始创新能力及其应用转化程度,产业间工艺、规模、结构等协调情况,生产过程的能源消耗、污染强度、治污能力,对外开放程度与产品国际竞争力,社会就业、工资、税收等贡献,企业自身盈利能力与经济增长贡献等。由此可见,制造业高质量发展不充分主要体现在创新能力有待提高、协调发展有待调整、生态保护有待加强、开放力度有待加大、社会事业有待发展、生产效率有待提升等方面[14]。
不平衡是横向的,主要表现为区域间发展差距较大,不充分是纵向的,主要表现为区域内部发展程度较低,两者相辅相成、互为因果[24-25]。一方面,不平衡会导致不充分,因为横向发展不平衡,使得欠发达地区的制造业难以获取高质量发展所需生产要素,不利于纵向充分发展。发达地区拥有完备的产业链供应链、完善的科技创新环境、雄厚的产业基础,对资金、技术、劳动力等生产要素的吸引力大于欠发达地区,从而导致“穷者愈穷、富者愈富”的马太效应出现,使得落后地区的制造业实现充分发展的难度增加。另一方面,不充分会加剧不平衡,因为纵向发展不充分,会导致整体协同推进受阻,不利于横向平衡发展。欠发达地区由于交通运输不便、人力资本不足、土地资源稀缺等地理或历史原因,制造业在发展过程中难以跨越低水平陷阱,导致与发达地区之间的发展差距越来越大。综上所述,不充分是不平衡产生的现实基础,而不平衡则导致不充分更加凸显。平衡发展促进充分发展,充分发展推动平衡发展,两者是正向关系,彼此相互作用、相互影响、不可割裂。
2.1.1 制造业高质量发展评价方法
熵权法是一种基于数据结构的客观赋权法,能够根据指标间离散程度确定权重,因此可以有效克服主观性、臆断性对指标权重设定的干扰。设定m个评价对象,n个评价指标,生成原始数据矩阵X=(xij)m,n(i=1,2,…,m; j=1,2,…,n),对于某项指标xj,xij的取值差距越大,说明该指标在综合评价中的作用越大,反之其作用越小。信息论中存在以下函数关系:
H(x)=-f(xk)lnf(xk)
(1)
H(x)为度量系统无序程度的信息熵,等式右边为度量系统有序程度的信息,二者绝对值相等,符号相反。某一指标值的离散程度越高,H(x)值就越小,该指标提供的信息量就越大,权重也越大;反之,指标值的离散程度越低,H(x)值就越大,该指标提供的信息量就越小,权重也越小。熵权法的具体步骤参考陈明华等[26]的研究。
2.1.2 制造业高质量发展不平衡研究方法
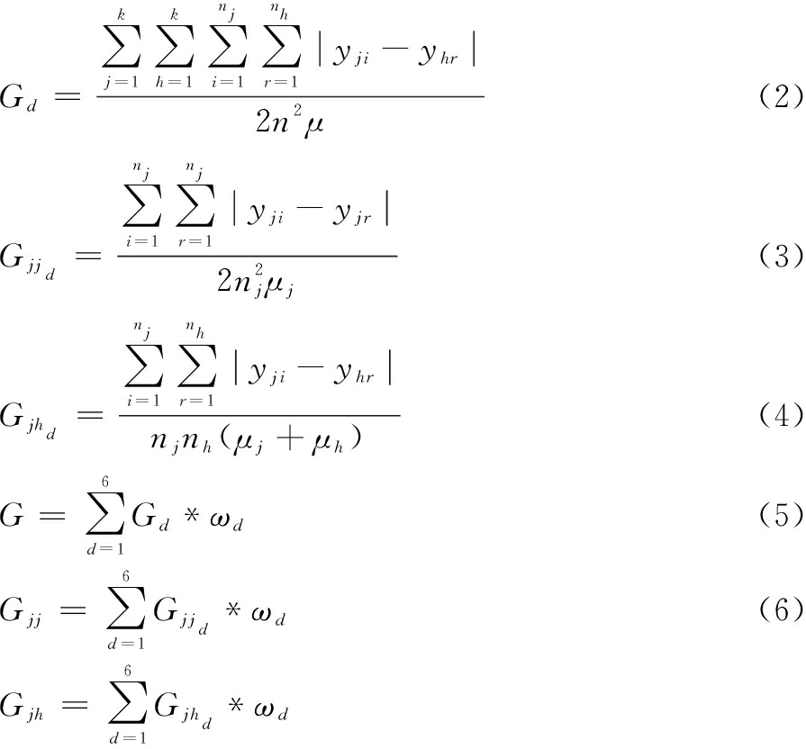
(1)加权Dagum基尼系数。Dagum[27]提出以子群为单位的基尼系数分解方法,解决了区域间差异来源无法辨识的问题,克服了泰尔指数的弊端。本文借鉴邹克和郑石明[15]的思路,在计算得到总体、地区内、地区间基尼系数的基础上,结合熵权法得出的指标权重计算子维度基尼系数,最终合成得到加权Dagum基尼系数。与传统Dagum基尼系数不同,该方法能够深入考察制造业高质量发展各子维度的区域差异状态,并准确识别子维度区域差异对总体区域差异的贡献程度,为测度制造业高质量发展不平衡程度提供了除空间分解之外的结构视角。加权Dagum基尼系数计算公式如下:

(7)
根据式(2)~(4)分别计算子维度总体、区域内和区域间基尼系数,根据式(5)~(7)分别计算加权总体、区域内和区域间基尼系数。其中,yji(yhr)为j(h)地区内i(r)省份制造业高质量发展指数(HQDI-M)的子维度指标,μ为HQDI-M子维度指标的均值,n为省份数,k为地区数,nj(nh)为j(h)地区内部省份数,d为HQDI-M的第d子维度,ωd表示第d子维度的权重。
(2)方差分解方法。基于创新、协调、绿色、开放、共享、高效6个子维度对制造业高质量发展水平进行综合评价,HQDI-M(I)可以分解为创新指数(I1)、协调指数(I2)、绿色指数(I3)、开放指数(I4)、共享指数(I5)、高效指数(I6),即I=I1+I2+I3+I4+I5+I6。为揭示制造业高质量发展不平衡程度的结构来源,运用方差分解方法进行考察,计算过程如式(8)(9)。
(8)
两边同时除以var(I),得到:
![]()
(9)
其中,var为方差,cov为协方差。式(8)将制造业高质量发展差异分解为6个子维度的发展差异。式(9)测算各子维度的贡献度,贡献度越高,该子维度差异导致制造业高质量发展差异的程度越高。
2.1.3 制造业高质量发展不充分研究方法
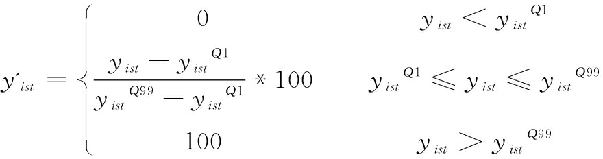
不充分发展是指一个地区的制造业高质量发展水平相较于发展充分地区存在不足,反映地区间相对发展差距。采用分位数标准化方法测度制造业高质量发展不充分水平[15],计算过程如下:
第一步,对原始数据进行分位数标准化处理,目的是剔除极端值的影响,同时表明充分发展是有界的,只要达到一定水平就可认为是充分发展。处理公式如式(10)(11)所示。
正向指标:
(10)
逆向指标:
(11)
其中,yist表示t年第i个省份的第s项指标值;
为标准化的原始指标值,其值越大,表明该指标发展越充分;yistQ1为原始指标值的1%分位数,yistQ99为原始指标值的99%分位数。
第二步,由于本文关注的是不充分发展程度,因此需要对标准化值进行逆向操作,如式(12)。
y''ist=100-y'ist
(12)
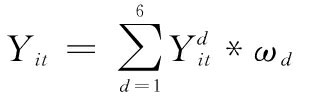
第三步,基于熵权法计算得到的动态权重,加权合成制造业高质量发展的子维度不充分指数和总体不充分指数,如式(13)(14)。
![]()
(13)
![]()
(14)
考虑数据可得性,本文研究区间和范围为2008—2020年中国内地30个省份(西藏因数据缺失严重,未纳入统计),将其划分为东部(北京、天津、河北、上海、江苏、浙江、福建、山东、广东和海南)、中部(山西、安徽、江西、河南、湖北、湖南)、西部(内蒙古、广西、重庆、四川、贵州、云南、陕西、甘肃、青海、宁夏和新疆)、东北(辽宁、吉林和黑龙江)四大地区。以2008年为基期,使用工业生产者出厂价格指数对工业增加值进行平减处理,使用居民消费价格指数对制造业城镇单位就业人员平均工资进行平减处理,对于个别年份缺失的数据,通过几何增长率法和插值法补全。原始数据来源于国家统计局及《中国科技统计年鉴》《中国环境统计年鉴》《中国工业统计年鉴》《中国统计年鉴》《中国能源统计年鉴》《中国税务年鉴》。
2008—2020年中国各省份制造业高质量发展指数均值如图1所示。考察期内,中国制造业高质量发展水平最高的是广东(0.570),最低的是甘肃(0.148),各省份制造业高质量发展指数均值(M)为0.270,标准差(SD)为0.108,表明中国制造业高质量发展整体水平较低,不同省份之间存在一定差距。借鉴魏敏和李书昊[28]的做法,将各省份划分为明星型(高于M+0.5SD)、平庸型(M-0.5SD~M+0.5SD)和落后型(低于M-0.5SD)3种类型,如表2所示。
图1 2008—2020年中国各省份制造业高质量发展指数均值
Fig.1 Average HQDI-M of 30 provinces in China from 2008 to 2020
根据计算,明星型省份制造业高质量发展指数高于0.324,包括广东、江苏、上海、北京、浙江、天津、海南和山东,上述省市制造业高质量发展水平相对较高,在产业发展过程中不断提高经济效益的同时,协同推进创新、协调、绿色、开放、共享、高效全方位发展。平庸型省份制造业高质量发展指数介于0.216~0.324之间,包括福建、陕西、湖南、重庆、辽宁、湖北、安徽和四川,这些省市的制造业能够在一定程度上实现高质量发展,但发展水平不高,个别维度仍有待提升。落后型省份制造业高质量发展指数低于0.216,包括云南、河南、青海、黑龙江、江西、贵州、新疆、山西、广西、河北、内蒙古、吉林、宁夏和甘肃,其制造业高质量发展水平相对较低,具有较大提升空间,亟需将新发展理念落到实处,把着力点由追求速度和数量转向追求质量和效率,以形成良性发展的制造业生态。值得注意的是,明星型省份均位于东部地区,表明东部地区制造业高质量发展水平相对较高;平庸型省份分布较为均匀,主要来自中部地区,说明中部地区制造业高质量发展较为平庸;落后型省份在四大地区均有分布,以西部省份居多,表明西部地区制造业发展相对落后。总体来看,中国制造业高质量发展水平由东向西递减,呈现出“东高、中平、西低”的空间格局。此外,由图1可知,南方地区制造业高质量发展水平整体高于北方地区,长江沿线发展水平整体高于黄河流域,即中国制造业高质量发展呈现出“南强北弱”的分布特征。
表2 制造业高质量发展类型区域分布
Tab.2 Regional distribution of high-quality development types of manufacturing
东部地区中部地区西部地区东北地区明星型广东、江苏、上海、北京、浙江、天津、海南、山东—————————平庸型福建湖南、湖北、安徽、四川陕西、重庆辽宁落后型河北江西、山西云南、河南、青海、贵州、新疆、广西、内蒙古、宁夏、甘肃黑龙江、吉林
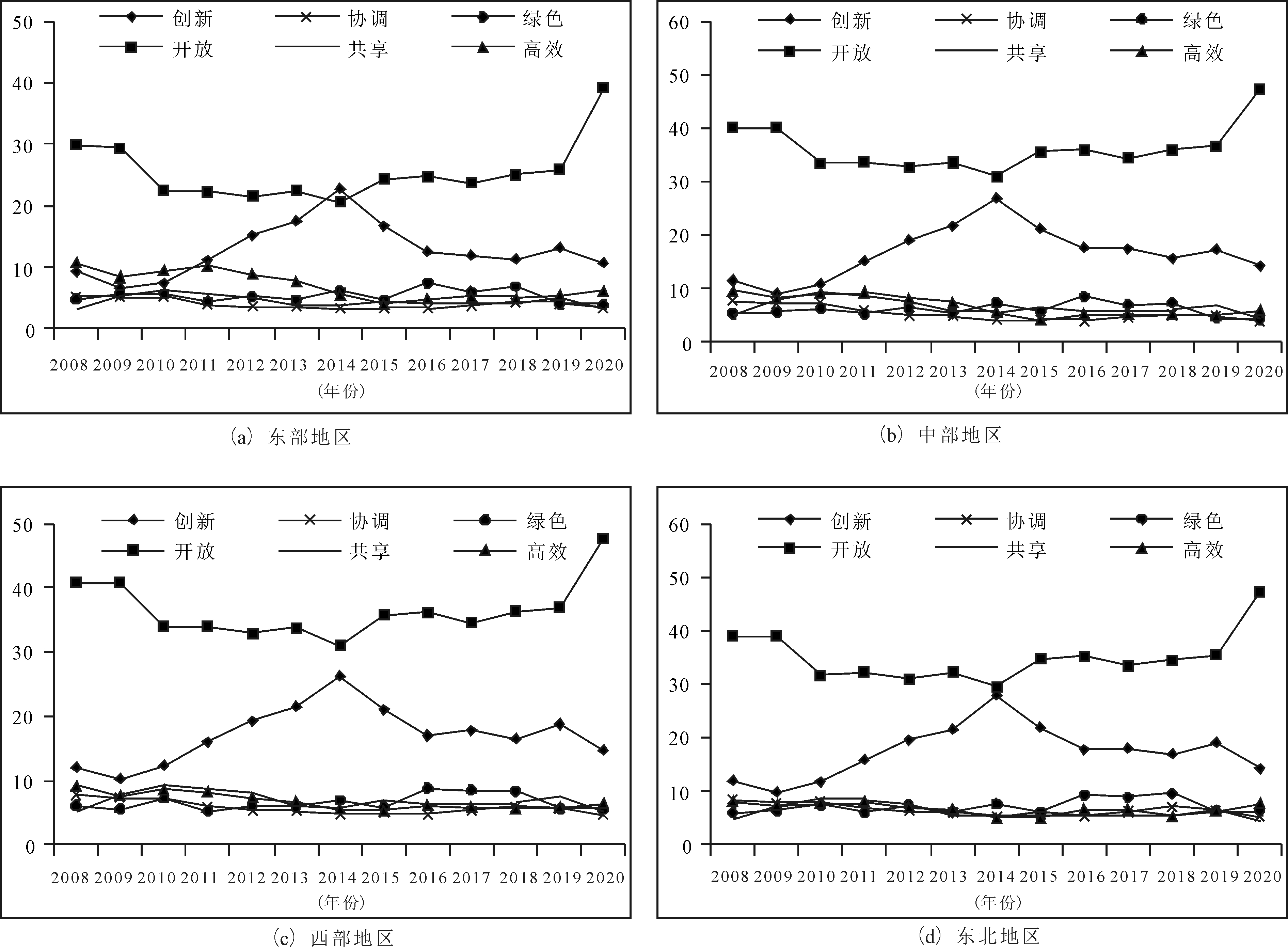
2008—2020年全国及四大地区制造业高质量发展指数演变趋势如图2所示。考察期内,全国及东、中、西部地区制造业高质量发展水平呈现出显著的阶段性波动特征。总体来看,全国及四大地区制造业高质量发展指数均呈“上升—下降—上升—下降”的演变过程。具体来看,2008—2010年制造业高质量发展指数逐年上升,这是因为在国际金融危机爆发背景下,中国政府提出“四万亿计划”为制造企业创造巨大内需,促使制造业获得一定程度发展。2010—2014年制造业高质量发展指数呈下降趋势,原因在于“四万亿计划”的“后遗症”开始显现,钢铁、化工、能源等传统行业投资与需求不匹配,导致产能过剩,不利于制造业高质量发展。2014—2017年制造业高质量发展指数波动上升,这是因为在2015年供给侧结构性改革的作用下,制造业要素配置扭曲有所矫正,有效供给得以增加,供需结构失衡得到改善,在一定程度上促进制造业高质量发展。从2018年开始,在中美贸易摩擦影响下,中国制造业在中间品进口方面受到制约,部分企业因缺乏核心零部件而面临停产困境,加之技术壁垒导致制造企业对外技术引进难度增加,从而阻碍高新技术产业发展,使得制造业高质量发展指数呈下降趋势。特别是2019年末以来,新冠疫情肆虐,不仅导致制造业劳动力供给不足、物质资料短缺,而且对国内产业链供应链造成较大冲击,从而极大阻碍制造业高质量发展。
图2 全国及四大地区制造业高质量发展指数演变趋势
Fig.2 Evolution trends of HQDI-M in China and four major regions
运用加权Dagum基尼系数测算制造业高质量发展及其子维度不平衡指数,从总体、地区内、地区间视角考察区域不平衡程度,从子维度探寻其结构不平衡程度。
4.1.1 总体不平衡分析
由图3可知,考察期内,制造业高质量发展总体不平衡指数由2008年的0.358波动上升至2020年的0.390,表明中国制造业高质量发展不平衡程度有所提高,各省份发展水平趋于发散。根据图4,从演变趋势看,除创新、绿色和开放发展不平衡程度有所提高外,其它子维度均呈下降趋势。从指数大小看,制造业开放发展不平衡程度较高,这是由于自然地理区位的先天限制,导致内陆省份与沿海地区之间的开放发展差距较大;创新、共享和协调发展不平衡程度次之,高效和绿色发展不平衡程度相对较低。
4.1.2 区域内不平衡分析
根据图3,从指数大小看,中部地区制造业高质量发展不平衡程度最低(0.139),表明中部省份的发展水平相近、发展阶段相似;东部、东北、西部地区不平衡程度相对较高,分别为0.216、0.214、0.212。从演变趋势看,考察期内,东部地区制造业高质量发展不平衡程度有所提高,东北地区呈下降趋势,中西部地区变化不大。
由图5可知,从指数大小看,东部地区制造业开放发展不平衡程度相对较高,原因在于北京、上海、广东等省市开放历史长、程度高,完善的基础设施和雄厚的经济基础对外资具有较强的吸引力,因而与其它省份之间的开放发展差距拉大。中部地区创新发展不平衡程度相对较高,这是因为中部地区唯一的综合性国家科学中心坐落于安徽合肥,湖北武汉拥有首批国家高新区之一的“中国光谷”,而其它省份创新基础和能力相对较弱,导致制造业创新发展差距较大。西部地区共享和绿色发展不平衡程度相对较低,其余子维度不平衡程度相差不大。东北地区开放发展不平衡程度相对较高,协调发展不平衡程度相对较低。从演变趋势看,东部地区制造业开放和绿色发展不平衡程度有所上升,共享发展不平衡程度有所下降;中部地区创新和共享发展不平衡程度趋于上升,协调和开放发展不平衡程度趋于下降;西部地区开放和协调发展不平衡程度呈上升趋势,高效、创新、共享发展不平衡程度呈下降趋势;东北地区协调发展不平衡程度有所上升,创新和高效发展不平衡程度有所下降。
图3 总体及区域内不平衡指数演变趋势 图4 总体子维度不平衡指数演变趋势
Fig.3 Evolution trends of overall and intra-regional imbalance indexes Fig.4 Evolution trends of overall sub-dimension imbalance indexes
图5 区域内子维度不平衡指数演变趋势
Fig.5 Evolution trends of sub-dimension imbalance indexes in the regions
4.1.3 区域间不平衡分析
图6为区域间不平衡指数演进趋势。从指数大小看,东部—西部、东部—东北、东部—中部地区间不平衡程度相对较高,均值分别为0.473、0.422、0.421,从侧面印证了东部地区制造业高质量发展水平较其它地区更高的结论。西部—东北、中部—东北、中部—西部地区间不平衡程度相对较低,均值分别为0.282、0.251、0.205。从演变趋势看,不平衡程度较高的几组地区间不平衡指数均趋于上升,其余地区间不平衡程度有所下降,在一定程度上印证了中国制造业高质量发展不平衡程度趋于上升的结论。区域间子维度不平衡指数如图7所示。可以发现,区域间制造业开放发展不平衡程度最高,其次为创新发展,绿色发展不平衡程度相对较低。
图6 区域间不平衡指数演变趋势 图7 区域间子维度不平衡指数
Fig.6 Evolution trends of inter-regional imbalance indexes Fig.7 Sub-dimensional imbalance indexes between regions
运用分位数标准化方法测算制造业高质量发展及其子维度不充分指数,从总体、地区内、地区间视角考察区域不充分程度,从子维度探寻其结构不充分程度。
4.2.1 总体不充分分析
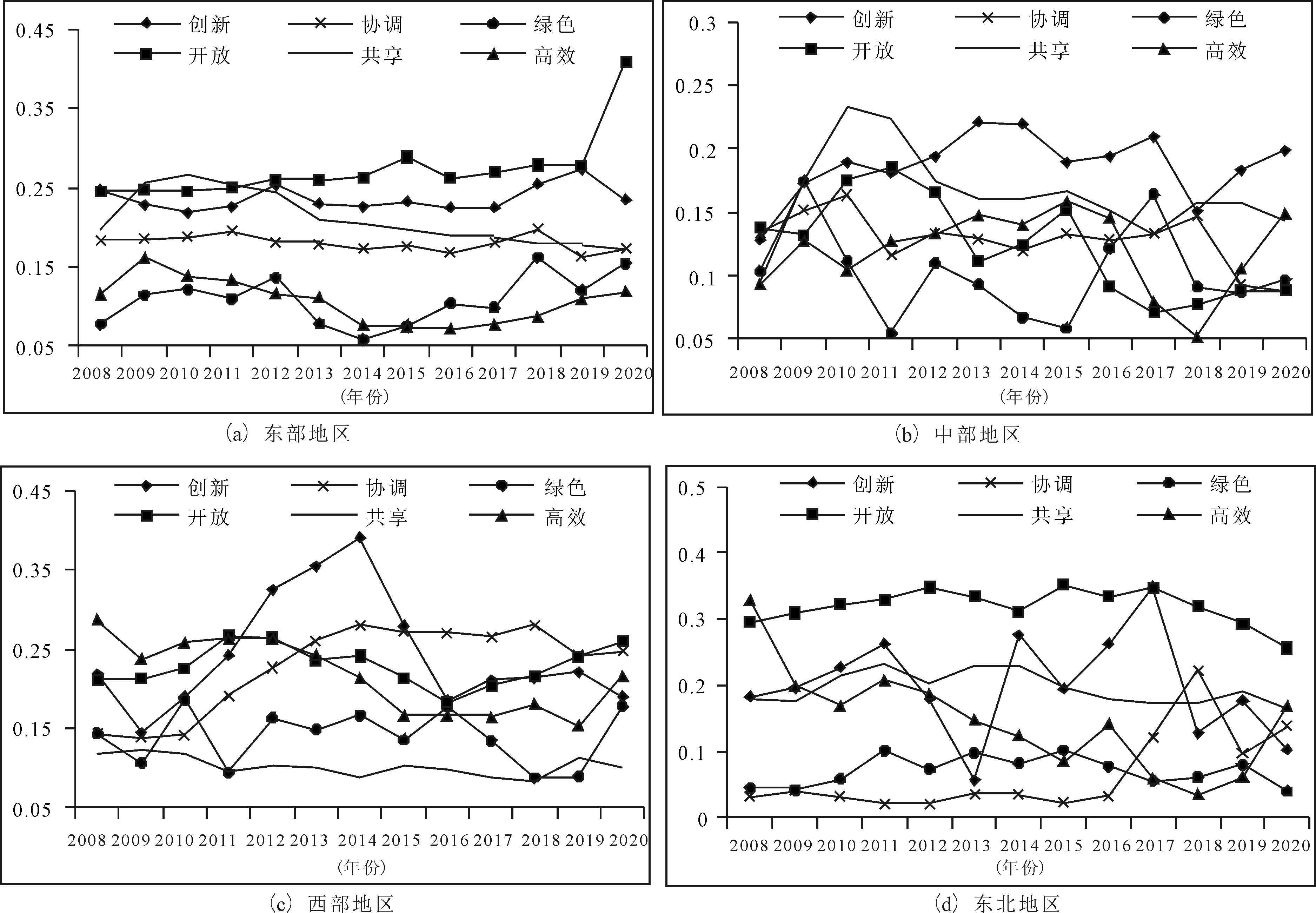
由图8可知,考察期内,制造业高质量发展总体不充分指数呈W型走势,由2008年的20.29波动上升至2020年的26.06,表明中国制造业高质量发展不充分程度有所提高,落后省份与发达省份之间的发展差距逐渐扩大,呈现出明显的马太效应。根据图9,制造业协调、绿色、共享、高效发展不充分程度变化不大。制造业创新发展不充分程度趋于上升,原因在于中国创新力量主要分布在东部沿海地区,中西部省份创新水平相对较低,加之2008年金融危机给中国经济发展带来较大压力,中西部省份纷纷以保民生、促增长为第一要务,创新事业发展受阻;东部地区凭借雄厚的经济基础,在保持经济稳定增长的同时,仍有余力为科创活动提供支持,导致制造业创新发展相对差距扩大,不充分程度有所上升。制造业开放发展不充分程度趋于上升,这是因为2020年新冠疫情大流行导致海外市场对中国商品的需求萎缩,严重冲击中国制造业出口贸易,而且全球各经济体出现流动性不足和资金约束趋紧问题,使得中国制造业获得的外商直接投资减少。由于中西部和东北地区产业结构单一、产业链供应链脆弱,对外资的吸引力下降,加之生产活动一时难以复苏,进出口活动受到较大影响,导致与东部地区之间的发展差距扩大,不充分程度有所上升。
4.2.2 地区内不充分分析
根据图8,从指数大小看,东部地区制造业高质量发展不充分程度最低(15.16),中、西部和东北地区不充分程度相对较高,分别为20.73、20.41、20.27。从演变趋势看,考察期内,各地区不充分指数均呈W型波动上升趋势,表明各地区制造业高质量发展不充分程度均有所提高,各地区内部落后省份与发达省份之间发展差距有所扩大。由图10可知,四大地区制造业开放和创新发展不充分程度均呈上升趋势,其它子维度演变趋势相对平稳,与总体表现相似。
制造业高质量发展涵盖创新、协调、绿色、开放、共享、高效等基本范畴,无论全国还是区域层面的发展差异,均来自省际之间6个子维度的发展差距。鉴于此,基于结构分解视角,运用方差分解方法探究中国制造业高质量发展不平衡的结构来源,为新时代促进制造业区域协调发展提供有益参考。
图8 总体及各地区不充分指数演变趋势 图9 总体子维度不充分指数演变趋势
Fig.8 Evolution trends of overall and regional inadequate indexes Fig.9 Evolution trends of overall sub-dimension inadequate indexes
图10 各地区子维度不充分指数演变趋势
Fig.10 Evolution trends of sub-dimension inadequate indexes by region
表3为2008—2020年全国及四大地区制造业高质量发展不平衡的结构分解结果。就全国而言,开放发展差距是制造业高质量发展不平衡的主要结构性来源,平均贡献率为49.10%。这是因为地理区位和地形条件差异,导致内陆省份较难吸引外资和从事国际贸易,而沿海和近海省份凭借发达的铁路公路网络和航运港口条件,大力发展外向型经济。创新发展差距也发挥重要作用,平均贡献率为24.39%。原因在于,落后省份制造业研发资金投入相对较少,对高素质劳动力的吸引力相对不足,而高素质人力资本是产业创新最具能动性的要素,R&D经费投入是影响创新绩效的重要支撑,这导致落后省份与发达省份之间的制造业创新发展水平差距扩大,因而制造业创新发展不平衡程度较高。共享、协调、绿色和高效发展差距对制造业高质量发展不平衡的影响相对较小,平均贡献率分别为10.51%、9.13%、4.83%和2.04%。
就四大地区而言,中部地区制造业高质量发展不平衡的主要结构性来源是创新发展差距,平均贡献率为37.78%。虽然协调发展差距对制造业高质量发展不平衡发挥出显著抑制作用,平均贡献率为-4.75%,但显然无法抵消创新发展差距带来的发散效应。西部地区制造业高质量发展不平衡的主要结构性来源是高效和创新发展差距,平均贡献率分别为34.33%和31.65%。东部和东北地区制造业高质量发展不平衡的主要结构性来源为开放发展差距,平均贡献率分别为48.92%和38.54%。
表3 全国及四大地区制造业高质量发展不平衡的结构分解(单位:%)
Tab.3 Structural decomposition of imbalanced high-quality development of manufacturing in China and four major regions(unit:%)
地区创新协调绿色开放共享高效全国24.399.134.8349.1010.512.04东部26.389.822.1748.929.782.93中部37.78-4.7513.376.3520.8126.45西部31.6515.296.797.714.2334.33东北26.315.440.7938.544.8424.08
表4为2008—2020年全国及四大地区制造业高质量发展不充分的子维度贡献率结果。开放发展不足是导致制造业高质量发展不充分的主要因素,在全国和区域层面均保持40%以上的贡献率。原因在于,一方面,2008年国际金融危机导致中国出口和涉外投资规模不断萎缩,对中国国际贸易和双向直接投资造成较大冲击;另一方面,为应对危机,世界各国纷纷实行贸易保护主义和内顾倾向策略,使得逆全球化潮流愈演愈烈,这无疑给中国企业拓展国际市场增添了不小难度,不利于“走出去”战略的深入实施,导致中国开放发展相对不足。创新发展不足是导致制造业高质量发展不充分的重要因素,在全国和区域层面均保持约20%的贡献率。这是因为,一方面,相对于发达国家而言,中国制造企业发展初期的技术基础较为薄弱,内部创新活动集中在产品仿制与技术模仿上。随着创新水平不断提高,中国与发达国家技术差距逐步缩小,中国企业模仿创新的边际收益不断下降,在经济全球化背景下愈发激烈的市场竞争中,制造企业难以有效开展原始创新活动。另一方面,高校和科研院所是技术创新(第一阶段)的主力军,企业是将创新成果应用于生产过程从而获得产出(第二阶段)的主体,而当前中国创新能力提高主要体现在第一阶段,创新成果应用程度并不高,即创新两阶段之间缺少衔接机制[29],导致制造业创新发展不充分程度较高。高效、绿色、共享和协调发展的贡献率相对较低,大多不足10%,表明其对制造业高质量发展不充分的影响相对较小。
表4 全国及四大地区制造业高质量发展不充分的子维度贡献率(单位:%)
Tab.4 Sub-dimensional contribution rates of inadequate high-quality development of manufacturing in China and four major regions(unit:%)
子维度全国排名东部排名中部排名西部排名东北排名创新21.56221.45221.53221.54222.022协调7.0666.7166.8667.1968.225绿色8.6849.4747.8558.2859.133开放44.73142.48146.63145.86144.271共享8.2057.6058.4548.7037.896高效9.77312.2938.6838.4448.484
本文从新发展理念出发构建制造业高质量发展评价指标体系,在此基础上明晰制造业高质量发展不平衡不充分的涵义与辩证关系,并基于2008—2020年中国内地30个省份数据,利用熵权法对制造业高质量发展水平进行测度。同时,借助加权Dagum基尼系数和分位数标准化方法,从区域与结构两个层面考察制造业高质量发展不平衡不充分程度。最后,通过方差分解和计算子维度贡献率的方法对制造业高质量发展不平衡不充分的结构来源进行探究。主要研究结论如下:
首先,考察期内,中国制造业高质量发展整体水平较低,其中广东发展水平最高,甘肃发展水平最低,说明不同省份之间存在一定差距。通过将样本省份划分为明星型、平庸型和落后型3种类型,发现东部地区制造业高质量发展水平相对较高,中部地区较为平庸,西部地区相对落后;南方地区制造业高质量发展水平整体高于北方地区,长江沿线发展水平整体高于黄河流域。也即,中国制造业高质量发展水平呈现出“东高、中平、西低”的空间格局和“南强北弱”的分布特征。
其次,考察期内,中国制造业高质量发展不平衡程度趋于上升,子维度中开放发展不平衡程度较高。就区域内而言,中部地区不平衡程度最低,东部、东北、西部地区相对较高。在子维度上,东部、西部和东北地区开放发展不平衡程度较高,中部地区创新发展不平衡程度较高。就区域间而言,与东部地区相关联的地区间不平衡程度均较高,子维度中开放和创新发展差异较大。结构分解结果显示,开放发展差距是中国制造业高质量发展不平衡的主要结构性来源,也是导致东部和东北地区发展不平衡的重要因素,中部和西部地区发展不平衡则分别来源于创新发展差距和高效发展差距。
最后,考察期内,中国制造业高质量发展不充分程度有所提高,其中东部地区不充分程度最低,西部、中部、东北地区相对较高。在子维度上,开放和创新发展不充分程度较高,二者均呈上升趋势。结构分解结果显示,无论全国还是地区层面,开放和创新发展不足均是导致制造业高质量发展不充分的主要因素。
实现制造业高质量发展,必须统筹推进区域协调、全面发展,从地区和结构视角双管齐下,缩小区域差距,补齐制造业发展短板。
第一,东部和东北地区制造业高质量发展不平衡程度较高,且开放发展差距是其不平衡发展的主要来源,因此要遵循因地制宜、分类施策原则,制定有利于发挥本地比较优势的对外开放战略,深入推进各省份协同对外开放,降低制造业高质量发展不平衡程度。具体而言,东部地区的河北和山东制造业开放发展水平相对较低,前者应紧紧围绕京津冀协同发展国家战略,高质量推进中国(河北)自由贸易试验区建设,推动高端高新产业开放发展;后者应以《区域全面经济伙伴关系协定》(RCEP)的签署为契机,发挥毗邻日韩的区位优势,深化电子、汽车、机械等制造业领域开放合作。东北地区的吉林和黑龙江制造业开放发展较为滞后,前者应充分发挥中韩(长春)国际合作示范区作用,大力发展对韩投资与贸易往来;后者应推动形成以对俄合作为重点的全面开放新格局,积极参与中蒙俄经济走廊建设,深化对俄制造业双边投资贸易。
第二,创新发展差距是中西部地区制造业高质量发展不平衡的重要来源,因此要推动构建制造业创新发展的区域联动机制,利用好创新高地的辐射溢出效应。具体而言,中部地区的安徽、湖南和湖北制造业创新发展水平相对较高,山西、江西和河南发展较为落后,应鼓励科技实力雄厚的武汉、长沙、合肥等地高校和科研院所与山西、江西、河南联合建立研发机构,促进跨区域产学研合作。山西、河南两省要抢抓黄河流域生态保护和高质量发展国家战略机遇,利用资源和交通优势发展与沿黄其它省市的协同创新,积极引进高层次人才,吸引高科技企业入驻;江西应牢牢把握长江经济带建设机遇,同时发挥北接长三角、南临粤港澳的突出地理区位优势,加强与先进省份之间的合作交流,大力发展高新技术产业。西部地区的陕西、重庆、四川制造业创新实力雄厚,应发挥西安、重庆、成都等中心枢纽城市的带动作用,其它省份也应加大对创新创业的支持力度,为企业做好平台服务从而营造开放包容的科技创新环境。
第三,开放发展不足是导致中国制造业高质量发展不平衡的主要因素,也是阻碍中国制造业充分发展的首要因素,因此应加快形成陆海内外联动、东西双向互济的开放格局,降低区域间制造业高质量发展不平衡程度,提升中部、西部和东北地区制造业开放发展水平。具体而言,西部地区应积极参与“一带一路”建设,新疆、甘肃等西北省区应借助国际班列和开放口岸,大力发展对欧制造业开放合作,广西、云南等西南省区应发挥沿边、沿海、沿江的独特区位优势,加强与东盟国家在劳动和资源密集型产业的合作。中部地区应以黄河流域生态保护和高质量发展、长江经济带建设、“一带一路”倡议为引领,构建东西方向的陆路出海通道,加强中部板块制造业国际化。东北地区应努力推进与东北亚各国的互联互通,多层面开展制造业经贸合作,努力打造辐射“一带一路”延长线区域的对外开放新格局。
第四,降低中国制造业高质量发展不充分程度,除需要缓解中西部和东北地区开放发展不足的问题外,还应着力弥补创新发展不足的短板。具体而言,中西部和东北地区应依托国家高新区、重点开发区、工业园区等,积极引进人才、资金、高校等创新要素,将产能过剩的传统产业转化为区域创新高地。同时,创新考评方式,将研发投入强度和科研成果应用率等作为评价指标,促进企业优胜劣汰。此外,大力发展区块链、ICT、人工智能等数字技术,培育高成长性种子企业,促进新能源、新材料、高端装备制造等战略性新兴产业落地生根。
[1] 任保平. 新时代我国制造业高质量发展需要坚持的六大战略[J]. 人文杂志, 2019,63(7): 31-38.
[2] 郭克莎, 彭继宗. 制造业在中国新发展阶段的战略地位和作用[J]. 中国社会科学, 2021,43(5): 128-149,207.
[3] 张平, 陈昌兵. 加快现代化建设实现第二个百年奋斗目标[J]. 经济学动态, 2018,59(2): 11-22.
[4] 余东华. 制造业高质量发展的内涵、路径与动力机制[J]. 产业经济评论, 2020,8(1): 13-32.
[5] 郭克莎, 宋杰. 关于制造业高质量发展与经济稳增长的理论分析[J]. 社会科学战线, 2021,44(8): 36-46.
[6] 赵玉林, 谷军健. 中美制造业发展质量的测度与比较研究[J]. 数量经济技术经济研究, 2018, 35(12): 116-133.
[7] 陈昭, 刘映曼. 政府补贴、企业创新与制造业企业高质量发展[J]. 改革, 2019,35(8): 140-151.
[8] 唐晓华, 孙元君. 环境规制对中国制造业高质量发展影响的传导机制研究——基于创新效应和能源效应的双重视角[J]. 经济问题探索, 2020,41(7): 92-101.
[9] 史丹, 李鹏. 中国工业70年发展质量演进及其现状评价[J]. 中国工业经济, 2019,36(9): 5-23.
[10] 高运胜, 杨阳. 全球价值链重构背景下我国制造业高质量发展目标与路径研究[J]. 经济学家, 2020,32(10): 65-74.
[11] 曲立, 王璐, 季桓永. 中国区域制造业高质量发展测度分析[J]. 数量经济技术经济研究, 2021, 38(9): 45-61.
[12] 江小国, 何建波, 方蕾. 制造业高质量发展水平测度、区域差异与提升路径[J]. 上海经济研究, 2019,36(7): 70-78.
[13] 曹守新, 赵甜. 中国制造业增长质量的区域差异及收敛性分析[J]. 亚太经济, 2020,37(6): 115-123,149.
[14] 许宪春, 郑正喜, 张钟文. 中国平衡发展状况及对策研究——基于“清华大学中国平衡发展指数”的综合分析[J]. 管理世界, 2019, 35(5): 15-28.
[15] 邹克, 郑石明. 高等教育不平衡不充分发展统计测度研究[J]. 清华大学教育研究, 2020, 41(1): 55-65.
[16] 李晓华. 以新发展理念引领制造业高质量发展[J]. 人民论坛·学术前沿, 2021,221(13): 51-59.
[17] 邹圆, 唐路元. 中国工业高质量发展水平的统计测度[J]. 统计与决策, 2021, 37(18): 95-98.
[18] 车明佳, 赵彦云. 中国工业高质量发展生态及指数分析[J]. 山西财经大学学报, 2021, 43(4): 1-16.
[19] 余东华. 新工业革命时代全球制造业发展新趋势及对中国的影响[J]. 天津社会科学, 2019,39(2): 88-100.
[20] 宋晓娜, 张峰. 高质量发展下工业发展质量测度及趋势研究[J]. 软科学, 2019, 33(12): 36-41.
[21] 黄群慧. 2020年我国已经基本实现了工业化——中国共产党百年奋斗重大成就[J]. 经济学动态, 2021,62(11): 3-9.
[22] 黄群慧. “十四五”时期深化中国工业化进程的重大挑战与战略选择[J]. 中共中央党校(国家行政学院)学报, 2020, 24(2): 5-16.
[23] 孙志燕, 侯永志. 对我国区域不平衡发展的多视角观察和政策应对[J]. 管理世界, 2019, 35(8): 1-8.
[24] 蔡昉, 陈晓红, 张军, 等. 研究阐释党的十九届五中全会精神笔谈[J]. 中国工业经济, 2020,37(12): 5-27.
[25] 许宪春, 雷泽坤, 窦园园, 等. 中国南北平衡发展差距研究——基于“中国平衡发展指数”的综合分析[J]. 中国工业经济, 2021,38(2): 5-22.
[26] 陈明华, 王山, 刘文斐, 等. 非线性视角下中国城市房价关联效应测度与分析[J]. 中国软科学, 2020,35(10): 96-106.
[27] DAGUM C. A new approach to the decomposition of the Gini income inequality ratio [J]. Empirical Economics, 1997, 22(4):515-531.
[28] 魏敏, 李书昊. 新时代中国经济高质量发展水平的测度研究[J]. 数量经济技术经济研究, 2018, 35(11): 3-20.
[29] 程俊杰. 高质量发展背景下破解“创新困境”的双重机制[J]. 现代经济探讨,2019,38(3): 5-10.