中国省域创新能力及不平等测度

徐蔼婷1,2,邱可阳1,祝瑜晗1, 2

(1. 浙江工商大学 统计与数学学院;2. 浙江工商大学 统计数据工程技术与应用协同创新中心,浙江 杭州 310018)

摘 要:基于创新内涵契合性与实际测算可行性双重考量,提出更为合理的创新能力量化代理指标——R&D资本,继而根据BEA方法测度省域创新能力。进一步地,采用集中指数测度与经济水平相匹配的省域创新能力不平等程度,并动态分解省域创新能力不平等的变化。研究结果发现:改革开放40多年来,我国创新能力逐步提升,同时伴随显著的区域集聚效应,且地区间差距有进一步扩大趋势。从不平等测度结果看,Gini系数等一维不平等指标在早期呈下降态势,2000年后一直保持高位的稳定状态但近几年又见反弹上升迹象;与经济水平相关的省域创新能力则表现为“亲富”不平等,且自1996年以来呈现快速增长趋势,省域创新能力与地区经济发展水平的关联度逐渐提高。从动态分解结果看,地区间经济发展协同度提升有利于降低区域创新能力不平等程度,而创新能力的累积效应尤其是创新能力规模效应则进一步加剧区域创新能力不平等程度。

关键词:区域创新;创新能力不平等;集中指数;动态分解

The Measurements of Provincial Innovative Capacity and Its Inequality in China

Xu Aiting1, 2, Qiu Keyang1, Zhu Yuhan1,2

(1.School of Statistics and Mathematics, Zhejiang Gongshang University;2. Collaborative Innovation Center of Statistical Data Engineering, Technology &Application,Zhejiang Gongshang University, Hangzhou 310018, China)

Abstract:Innovation is widely regarded as the core element of modern economic growth, especially at a critical time when China's economy is shifting from a high-speed growth stage to a high-quality development stage and the growth mode that mainly relies on traditional production factors such as land, material resources and labor is unsustainable. Therefore, it has become the fundamental solution to achieve the high-quality and high-efficiency development of the economy of China by improving innovative capacity. However, contradictory to the importance of innovation,the differences in innovation resources and conditions accumulated by different regions in China are increasingly significant, and the imbalance and insufficiency of innovative capacity between regions are further exacerbated. These problems limit the overall quality and efficiency improvement of China's innovative capacity, and further hinder the advancement of national innovation construction. More importantly, a review of the existing literature finds that research on innovative capacity rarely focuses on inequality.

In order to make up for the research gap of inequality in domestic innovative capacity, and clarify the degree of inequality of provincial innovative capacity and its influencing factors, better promote the coordinated development of regional innovation in China, this paper proposes a new innovative capacity measurement index, R&D capital, to examine China's provincial innovative capacity from 1978 to 2019 more scientifically and rationally. Then based on the essential characteristics of innovative capacity and the inherent attributes of measurement methods, the traditional inequality measurement method is extended to match the provincial economic level with the innovative capacity, and the Concentration Index (CI) is used to measure the inequality of innovative capacity related to the economic level. Finally, taking into account the characteristics of the inequality measurement method and the policy-oriented demand, the study uses the dynamic decomposition method to decompose the changes of provincial innovative capacity inequality into regional economic growth effect and innovative capacity cumulative effect, so as to reveal the main factors causing inequality in provincial innovative capacity.

The results show that China's innovative capacity has gradually improved since the reform and opening up more than 40 years ago, accompanied by significant regional agglomeration effect. From the inequality measurement results, it can be seen that the Gini coefficient and other one-dimensional inequality indicators have maintained high and stable since 2000 and there has been a sign of rebound and rise in recent years, indicating that the inequality of China's provincial innovative capacity is still high and has not been significantly improved. As for the regional innovative capacity related to the economic level, it is manifested as "pro-rich" inequality, which means the economically developed regions have accumulated a higher innovative capacity, and the correlation between the regional innovative capacity and the economic development level of each province has gradually increased. The result of dynamic decomposition reveals that the contribution of regional economic growth effect to inequality declines continuously, while the cumulative effect of innovative capacity, especially the scale effect of innovative capacity, further exacerbates the inequality of provincial innovative capacity. Therefore, it is necessary to correctly understand and properly grasp the organic balance between regional economic development and the improvement of innovative capacity. While emphasizing the construction of distinctive regional innovation development patterns, it is necessary to take into account the differences in regional innovative capacity. For the innovation disadvantaged areas, in the short term, they can try to take the innovative path of differentiation and leap-forward development, foster and expand the regional characteristic economy and emerging industries to narrow the regional gap. In the long run, they must rely on regional economic development and early stage innovation capital to achieve continuous and progressive accumulation of innovative capacity.

This study contributes to a more comprehensive understanding of the relationship between innovative capacity and the regional economic development, and enriches the research on the inequality of innovative capacity, especially in the current stage that pursues a balanced and adequate development. Moreover, the results also provide a decision-making reference for China's policymakers to promote the coordinated development of regional innovative capacity and continuously improve the quality and efficiency of development.

Key WordsRegional Innovation; Inequality of Innovative Capacity; Concentration Index; Dynamic Decomposition

DOI:10.6049/kjjbydc.2022010022

开放科学(资源服务)标识码(OSID):

中图分类号:F061.5

文献标识码:A

文章编号:1001-7348(2023)15-0064-11

收稿日期:2022-01-04

修回日期:2022-03-30

基金项目:浙江省哲学社会科学规划领军人才培育专项(22QNYC14ZD)

作者简介:徐蔼婷(1979-),女,浙江慈溪人,博士,浙江工商大学统计与数学学院教授,研究方向为国民经济核算与宏观经济统计分析;邱可阳(1994-),女,浙江温州人,浙江工商大学统计与数学学院博士研究生,研究方向为国民经济核算与宏观经济统计分析;祝瑜晗(1992-),女,浙江兰溪人,博士,浙江工商大学统计与数学学院讲师,研究方向为国民经济核算与统计测度分析。

0 引言

创新被广泛认为是推动现代经济增长的核心力量[1],特别是在我国经济由高速增长阶段转向高质量发展阶段的背景下,创新的作用更加凸显。对此,国家出台了一系列促进创新发展的重大战略部署。《国家创新驱动发展战略纲要》明确提出,到2020年我国进入创新型国家行列,到2030年跻身创新型国家前列,到2050年成为世界科技创新强国;党的十九大报告中鲜明指出,创新是引领发展的第一动力,是建设现代化经济体系的战略支撑;“十四五”规划则进一步强调,要坚持创新在我国现代化建设全局中的核心地位,把科技自立自强作为国家发展的战略支撑。

在突出创新对经济发展重要作用的同时,必须充分认识我国当前的主要矛盾——人民日益增长的美好生活需要和不平衡不充分的发展之间的矛盾。由于不同地区生产力发展水平不均衡,而创新人才和物质禀赋会趋向经济发达地区积聚[2],进一步引发和扩大区域间创新发展的不平衡。处于弱势位置的地区由于创新资源匮乏,难以形成有效且成规模的知识资本积累,致使创新能力发展不充分,进而加剧区域经济发展不平衡与不充分。从创新核心要素——研究与试验发展(Research and Experimental Development,R&D)的地区分布来看,2019年东部地区R&D经费内部支出与R&D人员分别占全国的66.00%和65.60%,而中部、西部、东北三个地区的R&D经费内部支出与R&D人员占比之和仅为34.00%和34.40%;东部地区规模以上工业企业专利申请数达753 199件,占全国申请总量的71.07%,而中部、西部、东北地区的规上工业企业专利申请占比分别仅为17.55%、9.07%和2.31%。由此可见,我国不同区域的创新资源和创新条件存在显著差异。

遗憾的是,创新研究很少关注不平等问题,无论是熊彼特提出的技术创新理论,还是罗默提出的内生增长理论,均强调创新/技术进步是保持经济增长的关键因素,后续一系列研究也以效率最大化作为理论基石设置目标函数[3]。国内相关研究则多以(全要素)生产率提升或经济增长为目标[4]。当前,创新能力不平等研究相对匮乏,尤其是在当前追求平衡、充分的高质量发展阶段,开展关于创新能力不平等的研究尤为必要。

本文分析将有助于弥补国内创新能力不平等的研究缺口,并力图在以下方面有所贡献:第一,基于创新内涵契合性与实际测算可行性双重考量,提出创新能力测度指标——R&D资本,以更科学合理地考察我国创新能力;第二,立足于创新能力的本质特征与测度方法的内在属性,对传统的不平等测度方法予以拓展,将省域经济水平与创新能力相匹配,采用集中指数(Concentration Index,CI)测度与经济水平相关的创新能力不平等;第三,在兼顾不平等测度方法特性与政策导向需求的基础上,借鉴Allanson等[5]提出的动态分解方法,将省域创新能力不平等的变化分解为地区经济增长效应与创新能力累积效应,进一步将后者分解为创新能力分布效应和创新能力规模因子。此外,本文研究时间序列为1978—2019年,尝试探索改革开放40多年来我国省域创新能力经历了怎样的变迁,区域间创新能力的不平等程度以及发展趋势如何,引致创新能力不平等的因素是什么及其贡献程度。以上问题的研究对于进一步促进区域创新协调发展、提升我国创新能力整体质效、加快创新型国家建设具有重要的现实意义。

1 文献回顾

1.1 创新能力测度

一般而言,创新着眼于企业层面,是指新的或有显著改进的产品或工艺实现,或新的组织管理方式或营销方法采用[6]。从国家或区域层面看,创新主体还包括各级政府机构、高等院校、科研机构等,其目的不仅在于实现各种新技术、新发明的商业应用价值,更体现为加速技术进步、提升国际竞争力,为经济体持续发展提供动力[7]。为量化与比较不同国家之间、不同区域之间的创新能力,不同机构或学者对国家创新能力的衡量与测算进行了大量探索,主要可以归为三类:一是构建国家创新能力测度指标体系,如经济与合作发展组织(OECD)提出的科学、技术和工业计分牌,欧盟提出的欧洲创新记分牌和全球创新记分牌;二是编制创新能力综合指数,如联合国开发计划署发布的技术成就指数,世界银行推出的知识经济指数;三是选取创新能力的代理指标,其中使用最广泛的是与专利相关的指标,如专利申请数、专利引用数、发明专利数等[8],也有学者采用R&D投入或R&D人员、新产品销售收入、论文发表量及引用率等指标[9]

然而,无论是企业还是国家,抑或是区域,创新能力的测度边界尚不清晰,难以满足统计定义和识别需要,在选取衡量指标时需倍加谨慎,充分认识它们的局限性[10]。就省域层面的创新能力测度而言,国家创新能力测度指标体系虽然可以较为全面地展示各省域在不同创新维度上的表现,但难以综合分析与比较各省份创新能力;创新综合指数即使可以弥补上述缺陷,也无法避免指标赋权方法难以确定、数据来源相对有限等问题的存在。由此可见,采用创新能力的代理指标是一个比较理想的选择,尤其是专利数据,其可以“提供相当可靠的创新活动衡量标准”[11]。但遗憾的是,并非所有企业(特别是服务业)都拥有专利,也并非每一项创新活动都具有可专利性以及每项专利都会用于创新活动,如在实践中企业通常会申请多项专利,但可能只使用其中的一项或几项进行产品研发[12]。再者,专利从提出申请到正式授权往往长达数年之久[13],其经济价值能否成功实现仍有待商榷,且不同专利之间还存在质量差异,以数量为表征的专利数据(如专利、论文数量及引用率等指标)远不足以反映知识积累及其所达到的知识存量水平[14]

不难发现,以专利、R&D投入等数据表征创新能力的方法仍存在诸多局限,那么应该如何选择创新能力的代理指标呢?本文认为,其要求不外乎两点:一是契合创新能力测度的理论基础;二是有利于推动形成经济增长新动能。由创新线性模型可知,R&D作为一类“为增加知识存量以及设计已有知识的新应用而进行的创造性、系统性工作(弗拉斯卡蒂手册第7版,第1.32段)”,其3种类型——基础研究、应用研究与试验开发占据了创新活动链的上游位置,且与知识资本这一体现科技创新的关键词直接关联[14]。更重要的是,众多学者研究发现,R&D资本与传统经济增长分析框架中的劳动/资本相匹配,使科技创新得以从一揽子笼统的剩余项“技术进步”中独立出来,成为加快创新发展和提高全要素生产率的核心要素[15]。显然,R&D资本与知识存量的积累可以作为影响经济增长的独立要素而存在,且弗拉斯卡蒂手册、《国民账户体系2008》(2008版SNA)等国际标准也为R&D资本测算提供了完备的数据基础、扎实的理论框架以及系统方法指导。可见,R&D资本实践基础稳健且渊源有自,是创新能力代理指标的理想选择。因此,本文跳脱出既有文献的固有框架,将R&D资本作为创新能力的表征,考察我国及省域创新能力的变化趋势,以更科学合理地衡量我国创新水平、把脉区域创新格局。

1.2 不平等测度与分解

不平等是指社会之间、社会群体之间或时期之间的分布差异[16],涉及收入、消费、教育、健康等多个维度,其中,以收入不平等的应用最广泛。考察既有研究发现,收入不平等即个人拥有财富的不平等程度,通常使用Gini系数、Theil熵指数、变异系数及其一系列衍生拓展指数进行测度[17],且其分解往往同时进行。具体来说,收入不平等的分解方法可大致归为三类:基尼系数分解、基于回归分析的不平等指数分解以及使用熵指数的不平等程度测算。如曲兆鹏和赵忠[18]基于变异系数、平均对数离差、基尼系数、Theil熵指数等多个不平等衡量指标对我国农村消费和收入不平等情况展开测度,并通过方差分解和回归分解方法探究人口老龄化对于不平等变化的影响;刘穷志和庞泓[19]构建了Gini系数变化的三层分解模型,进一步讨论了收入增长对收入不平等的影响。类似地,创新能力不平等的测度也以Gini系数、Theil熵指数、变异系数等一维指数为主。然而,就我国而言,鲜有学者关注创新能力不平等。如万广华等[20]、张古鹏等[21]基于专利指标,采用变异系数、Theil-L、Theil-T指数和Gini系数等方法评估我国区域创新能力/质量不平等,并发现较早时期的创新能力不平等程度较高,研究区间后期的不平等程度则保持不变或呈现收敛趋势。相关研究还有,苏屹等[22]以自有知识存量和外溢知识为切入点,综合运用份额比例测度法、普通离散系数法、集中度测度法(Gini系数)等方法,对区域创新系统的知识存量进行公平度测算。

尽管这些不平等测度指标被普遍用于考察不平等领域,但人们对于如何衡量不平等仍存在广泛争议[23]。如Gini系数违反了帕累托改进原则,即收入不平等会随社会总收入增加而加剧[24]。进一步的实证研究还表明,Gini系数掩盖了收入绝对差异的真实情况,从而产生政策误导[25]。再如,Theil熵指数无法用于不同规模和具有不同结构人群收入差距的直接比较,且目前尚无普遍认同的衡量标准[26]。当然,也有学者对基尼系数等不平等测度指数进行了改进和扩展[27],但这些指标依旧未能反映其它社会因素对不平等的影响。

事实上,就创新能力而言,它既是推进经济发展的必要催化剂,同时又受到经济水平的驱动或制约。大经济体通常拥有较大规模的市场供给与需求,这既有利于降低技术创新成本,减少创新风险,又有利于提高创新基础设施利用效率,提升企业集群和产业集群外溢效应,具有开发创新的比较优势,因此其创新能力往往较领先[28]。无疑,创新能力不平等与经济发展水平紧密相关且难以分割,在评估测量时应多重考虑。在此方面,卫生经济学领域广泛采用的集中指数为创新能力不平等测度提供了新思路与新选择。因此,本文基于创新能力特征与测度方法属性的双重考量,对传统的不平等测度——不同地区创新能力分布的差异予以拓展,将省域经济水平与创新能力相匹配,采用集中指数测度与经济水平相关的创新能力不平等。

2 研究方法

2.1 创新能力测度

简单来说,各机构通过开展R&D活动,将人力、物力、财力等投入转化为具有新使用价值的产出,当形成的R&D产品被用于生产其它产品时,其价值作为生产其它产品的中间投入;当生产出来的R&D产品被用于积累时,其价值构成R&D投资,将各期R&D投资积累便构成R&D资本。上述逻辑脉络蕴含R&D资本测算的两个递进层次。

(1)流量层次的R&D投资测算,将R&D经费内部支出依次调整为R&D产出、R&D投资。该过程需要借助GDP核算框架,运用国民经济账户“供给—使用”核算思想:从供给者角度开展R&D活动,识别R&D产出是如何产生的,即将按照现金收付制记录的R&D经费内部支出转化为按照权责发生制记录的R&D活动投入,再由研发活动投入转化为体现使用(购买)者特征的研发产出[14];从使用者角度对R&D产出去向予以甄别,即筛选出能为所有者带来经济利益的R&D产出,将其作为R&D投资处理。

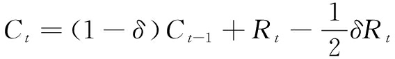
(2)存量层次的R&D资本测算,即基于期初R&D资本与各期R&D投资,结合R&D资产价格指数及折旧率,实现至期末所累积R&D资本的测度。该过程利用永续盘存法,通过设定初始资本价值、折旧率以及价格指数等,将各期R&D投资转换为各期期末的R&D资本价值。目前,国际上测算R&D资本的主流方法有三类:固定资本测度方法PIM[29]、滞后i期的R&D资本测度方法[30]以及美国BEA开发的R&D资本测度方法[31]。鉴于PIM方法更加适合于固定资本测度,而滞后i期的R&D资本测度方法中的滞后期难以确定,因此本文选择BEA方法,用公式表示为:

(1)

其中,CtCt-1分别表示第t期与第(t-1)期末不变价R&D资本,Rt表示第t期不变价R&D投资,Dt表示第t期不变价折旧额,δ表示R&D资本折旧率,折旧额应该基于第(t-1)期的不变价R&D资本和第t期的不变价R&D投资计算。

2.2 创新能力不平等测度

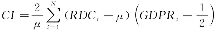
与Gini系数和洛伦兹曲线相似,集中指数是集中曲线的量化展现,该曲线构建方法以洛伦兹曲线为基础。其中,沿着45°线,R&D资本在不同经济水平地区是平均分布的,表明不存在与GDP相关的创新能力不平等,此时CI=0(表明R&D资本的分布与各省域经济水平无关,不存在与GDP相关的创新能力不平等,而不是表明R&D资本完全平等,但该情况在实际中一般不会出现,是极端状态)。若大量的R&D资本积聚在经济欠发达地区,则存在亲贫(pro-poor)不平等,此时CI<0,处于45°线上方;若大量的R&D资本积聚在经济较发达地区,则存在亲富(pro-rich)不平等,此时CI>0,处于45°线下方。洛伦兹曲线与集中曲线的最大差异在于横轴,前者横轴为按照R&D资本排序的省域累积百分比,而后者横轴为按照GDP排序的省域累积百分比。也即,Gini系数与洛伦兹曲线为创新能力单维不平等的测度;集中指数与集中曲线为创新能力二维不平等的测度。

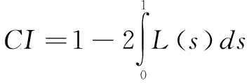
集中指数是集中曲线与45°线之间区域面积的2倍,其计算公式为:

(2)

上述公式虽然简单,但不易操作,因此借鉴Wagstaff等[32]的方法,将其转化为:

(3)

其中,i为省域序号,N为省域总数,μ为各省域的平均R&D资本,RDCi表示省域iR&D资本存量,GDPRi表示省域iGDP分位值排名,可通过GDPRi=(GDP排名-0.5)/N求得。式(3)的前半部分是CI的方便协方差(Convenient Covariance),表明CI是各省域R&D资本(RDCi)与GDP相对排名(GDPRi)的关联性测度,乘以2是为了确保CI介于-1~1之间。实际上,当各省域的R&D资本排名与GDP排名完全一致时,CI即为Gini系数。

进一步地,通过数值模拟可更加直观地展现CI与Gini系数的联系和区别,如表1所示。表1共设置了5个省域(A-E),GDP分别为100、200、300、400、500。第1期各省域的R&D资本介于0.1~5之间,Gini系数为0.594 4,CI为0.050 0且P值不显著,表明R&D资本与各省域GDP的关联度较低,与GDP的相关系数也仅为0.069 7。随着R&D活动的开展,R&D资本逐渐积累,各省域于第2期分别达到12、15、20、30、45的不平等水平,其分布可能不限于表1中的5种(2.1~2.5)。不难发现,Gini系数、Theil熵指数、变异系数等系列一维不平等指数族在5种分布中具有相同的不平等程度。

表1 集中指数与一维不平等指数族的数值模拟测度结果
Tab.1 Numerical simulation measurement of the concentration index and one-dimensional inequality indices

序号GDPR&D资本1R&D资本22.12.22.32.42.5省A1000.12030121245省B20011512151530省C30053020302020省D4000.14545203015省E50011230454512与GDP的相关系数0.069 70.165 30.420 70.838 4*0.956 5**-0.956 5**Gini系数0.594 40.265 60.265 60.265 60.265 60.265 6Theil熵指数0.689 10.114 40.114 40.114 40.114 40.114 4变异系数1.416 90.548 70.548 70.548 70.548 70.548 7集中指数(CI)0.050 00.045 90.096 40.232 8*0.265 6**-0.265 6**(0.911 3)(0.790 5)(0.480 6)(0.076 1)(0.010 8)(0.010 8)

注:括号中为集中指数的p值。***表示p<0.01;**表示p<0.05;*表示p<0.1

然而,它们传递的不平等信息一样吗?如表1中2.4列表明,R&D资本积累与各省域经济水平高度正向关联,CI为0.265 6;2.5则相反,即R&D资本积累与各省域经济水平高度负向关联,CI为-0.265 6,CI的正负符号可清楚地反映上述关系。从2.1-2.4来看,2.1与2.2两种R&D资本分布的CI并不显著(P值大于0.1),与GDP的相关系数也很小,表明与GDP相关的创新能力不平等程度较低,仅有0.045 9和0.096 4,而其本身分布的不平等程度达到了0.265 6(Gini系数)。随着R&D资本与GDP相关度的提升,CI逐渐增大,直至极端状态(2.4)——各省域R&D资本与GDP排名完全相同,这样CI与Gini系数达到一致(0.265 6)。

2.3 创新能力不平等分解

为进一步探索创新能力变化与经济水平变化对创新能力不平等程度的影响,借鉴Allanson等[5]提出的动态分解方法,基于期初和期末的创新能力变化,将其分解为创新能力累积效应与地区经济增长效应。前者表示当经济水平保持稳定时,由创新能力提升引致的不平等变化;后者则表示当创新能力保持稳定时,由各省域经济水平变动引致的不平等变化,具体计算公式为:

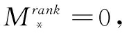
=(CIf-CIfs)+(CIfs-CIs)

=Mrank+MRDC

(4)

其中,CIfCIs分别表示期初、期末的省域创新能力不平等程度,μfμs分别为期初、期末的平均R&D资本积累水平,RDCi,fRDCi,s分别表示省域i在期末、期初的R&D资本,GDPRi,fGDPRi,s分别表示省域i在期末、期初的GDP排名。CIfs则是按照期初经济水平排序和期末R&D资本积累计算的CI。

Mrank=CIf-CIfs代表地区经济增长效应,反映CI衡量的创新能力不平等与省域经济水平变化的关系,即省域经济水平变化对创新能力不平等的贡献(基于期末R&D资本)。当Mrank>0,省域经济水平变化加剧了不平等;当Mrank<0,省域经济水平变化缓解了不平等;当Mrank=0,表明各省域经济水平变化并不会对创新能力不平等程度产生任何影响。

MRDC=CIfs-CIs代表创新能力累积效应,反映CI衡量的创新能力不平等与R&D资本累积之间的关系,即R&D资本积累对创新能力不平等的贡献(基于期初经济水平),也可理解为初始经济水平差异对省域间后期创新能力分布的影响。MRDC>0,表示创新能力积累具有正向效应,将加剧不平等;当MRDC<0,表示创新能力积累具有负向效应,可缓解不平等。创新能力累积效应MRDC可进一步分解为创新能力规模因子与创新能力分布效应的乘积,如式(5)所示。

(5)

其中,△μfs=μf-μs,刻画了期末与期初平均R&D资本的变动,CIs为创新能力变动的集中指数(基于期初经济水平)。假设各省域经济水平保持在期初水平,当CIs<0,表明经济欠发达地区创新能力的提升程度高于经济发达地区,进而利于经济欠发达地区发展;当CIs>0,表明经济欠发达地区创新能力的提升程度不及经济发达地区,进而利于经济发达地区发展;当CIs=0,则说明不同经济水平地区创新能力的变化程度一致。

q=△μfsf代表创新能力规模因子,反映CI衡量的创新能力不平等与平均创新能力的关系,体现了整体创新能力提升对不平等的调节作用。

P=CIs-CIs代表创新能力分布效应,表示创新能力从RDCsRDCf的变化对不平等的影响程度。当P>0,意味着创新能力具有累进特征,即R&D资本积累随着经济水平提升而增加;当P<0,则意味着虽然经济欠发达地区的固有创新基础较薄弱,但是创新能力提升空间和潜力巨大,R&D资本积累速度超过经济发达地区;当P=0,表示创新能力变化对不平等程度没有影响。

由于“创新能力规模效应”与“创新能力分布效应”是交互项,在考察创新能力累积效应影响创新能力不平等时就需要综合二者,如表2所示。其中,q<0表明期末国家整体的创新水平不及期初,但通常而言,在全球高度重视创新发展的当下,国家或地区创新能力很少会出现下降情况。因此,在整体创新能力提升的大背景下,若经济发达地区凭借其经济实力与已有的R&D资本积累优势实现创新能力的规模性积累,即P>0,将加剧地区间创新能力不平等;若经济欠发达地区由于R&D资本体量小,依赖国家创新举措在短期内实现R&D资本的迅速积累,即P<0,将缓解地区间创新能力不平等。

表2 创新能力累积效应对创新能力不平等的影响
Tab. 2 Impact of innovative capacity cumulative effect on innovative capacity inequality

创新能力累积效应创新能力分布效应P<0P>0备注创新能力q<0加剧不平等缓解不平等整体创新水平下降,与实际不符规模效应q>0缓解不平等加剧不平等整体创新水平上升备注经济欠发达地区经济发达地区创新能力提升显著创新能力提升显著/

当然,除了基于期初经济水平的分解,也可以基于期末经济水平的分解,但会造成研究结果不一致[5],其计算公式为:

CIf-CIs=(CIsf-CIs)+(CIf-CIsf)

(6)

其中,CIsf表示按照期末经济水平排序和期初R&D资本积累计算的集中指数。与Mrank类似,代表地区经济增长效应(以期初为基准),反映了省域经济水平变化对期初创新能力不平等的贡献。当省域经济水平变化将加剧期初创新能力不平等;当省域经济水平变化将缓解期初创新能力不平等;当表明各省域经济水平变化并不会对创新能力不平等产生影响。代表创新能力累积效应,刻画了基于期末经济水平的R&D资本变动,反映创新能力分布的变化与各省域期末经济排名的关系。假定各省域经济水平排序保持为期末水平,当意味着经济发达地区的创新能力在过去一段时间内积累较快;当意味着经济发达地区的创新能力积累不及经济欠发达地区。进一步地,仍可继续分解,如式(7)所示。

(7)

类似地,△μsf=μs-μf刻画了期初与期末R&D资本的平均变动,q*度量了各省域期初创新能力均值与期末的比较(与q的符号相反)。CIf是以创新能力变化与期末经济水平为来源计算的集中指数,其正负号意义与CIs一致。因此,当期末整体创新能力提升(q*<0)时,P*=(CIf-CIf)<0意味着创新能力总体变化加剧了不平等程度;P*>0则意味着缓解了不平等程度;P*=0表示创新能力变化对不平等程度没有影响。

3 省域创新能力与不平等的测度及分解

3.1 省域创新能力测度

本文相关数据均来自于历年的《中国科技统计年鉴》《中国统计年鉴》《中国工业统计年鉴》以及各省统计年鉴资料。

(1)当期R&D投资。根据供给者与使用者的核算思路,首先计算R&D产出,继而将R&D产出调整至R&D投资:①在成本法下,R&D产出包括劳动投入成本、中间投入成本与固定资产成本[33]。其中,劳动投入与中间成本分别对应R&D支出的人员劳务费和其它日常性支出;固定资产成本则是开展R&D活动所使用的固定资产发生的折旧,本文借鉴江永宏和孙凤娥[34]的方法估算R&D资本性支出形成的固定资本存量,再乘以折旧率,得到固定资产成本。对于市场性R&D活动,需要另外考虑生产税净额与资本回报,由于两类数据不是直接可得且存在较大争议[35],本文未对二者进行调整;②R&D投资的测算需要筛选出能为所有者带来经济利益的R&D产出,但在实际操作上存在困难,各国实践也是复杂多样[35],因此本文将全部R&D产出转化为R&D投资。

(2)期初R&D资本。若样本时间序列足够长,基期的R&D资本对后续年份测算结果的影响会逐渐减弱[36]。因此,本文直接通过期初投资额、R&D资本增长率以及折旧率计算得到。对于其中的关键参数——R&D资本增长率,则用R&D投资增长率替代[30]。假定R&D投资按照固定的指数增长率增长,该增长率可通过线性回归估计得到。

(3)R&D资产价格指数。鉴于2008版SNA推荐的虚拟价格指数尚缺乏必要资料,目前的R&D资本测度实践仍广泛采用投入类价格指数。OECD出版的《知识产权产品测度手册(Handbook on Deriving Capital Measures of Intellectual Property Products,IPP手册)》亦认为选用投入价格指数是当下的权宜之计(IPP手册,2.6)。因此,本文选择编制R&D投入类价格指数,按照投入生产要素分为三类指数:中间消耗价格指数、劳动者报酬价格指数以及固定资本价格指数。其中,中间消耗价格指数对应工业生产者价格指数;劳动者报酬价格指数对应R&D人员工资价格指数,采用城镇居民消费物价指数代替;固定资本价格指数则对应固定资产投资价格指数,权数为各类生产要素支出占总支出的比重,并借鉴王亚菲和王春云[37]采用Fisher链式加权价格指数方法进行计算。

(4)R&D资本折旧率。与建筑、设备等实物资产不同,R&D资本的折旧并非指R&D产品本身的物理损耗,而是由模仿者跟随或新技术(知识)更新导致“旧的”R&D产品获利能力下降而逐步退出市场的现象。鉴于科技水平以及市场环境会随时间而变化,R&D资本折旧率也会发生相应变化,因此动态考察R&D折旧率是非常必要的[38]。本文借鉴Li和Hall[38]的拓展利润前瞻模型,实现规上工业企业R&D资本折旧率横向(不同地区)与纵向(不同时间)测算的双重突破。当然,R&D主体不仅仅是以盈利为目的的企业,还有高等院校、研发机构以及各级政府等,其R&D产品生产并不以盈利为最终目的。因此,利用资产退役时残值率(资产退役时残留价值占总资产价值的比率)和资产服务年限对非市场性R&D资本的折旧率进行估算,最终计算得到非市场R&D资本的综合折旧率为20.6%[37, 39]

据此,本文估算得到我国省域层面的R&D资本量,具体见表3。可以发现,我国省域创新能力逐步提升,同时伴随显著的区域集聚效应,如江苏、广东、北京、上海、山东和浙江等地区的创新能力遥遥领先于其它地区,且该差距呈扩大趋势。2019年江苏的R&D资本达到1 281.92亿元,是西藏(1.41亿元)的900多倍,而在1978年,二者仅相差10倍。此外,各省域基于不同创新基础演化出不同提升路径。如北京凭借其政治、经济中心的优势地位在较早时期便领先于其它地区,形成一定规模的R&D资本积累,而后通过稳步扩大R&D投资规模实现了R&D资本的进一步扩张;浙江的先发创新资源并不占优,1978年其R&D资本量仅为0.28亿元,但改革开放以后其依靠民营企业活力,迅速促进技术进步与资本积累,R&D资本年均增速高达20.93%,位于全国首位,并成功迈入创新第一梯队。相比之下,陕西、甘肃等地区未能延续其R&D资本的先发优势,并因后续创新能力累积不足而退至创新第二梯队。

表3 部分年份省域R&D资本量(亿元)
Tab.3 Provincial R&D capital in selected years (100 million yuan)

省份不变价(1978=100)1978200020192015年现价文献[39]文献[40]本文省份不变价(1978=100)1978200020192015年现价文献[39]文献[40]本文北京20.08137.78790.994 573.305 023.104 884.96湖北0.9232.38343.471 730.601 828.701 859.46天津0.6317.55326.191 560.101 628.101 670.16湖南0.0812.89202.331 295.401 354.001 352.29河北0.5516.67210.811 089.901 110.001 177.57广东0.3563.59822.605 610.705 990.705 866.32山西0.428.8295.43540.40512.70561.37广西0.355.4967.62372.10455.40406.40内蒙古0.171.9569.70446.00389.20428.12海南/1.1011.4953.0063.1058.72辽宁4.0948.02239.821 602.601 847.101 756.76重庆/7.46159.09707.50815.40742.58吉林0.4310.9481.24492.10624.40539.89四川1.7840.20308.961 541.801 679.901 716.89黑龙江1.3818.1499.21649.30618.00686.80贵州0.193.6935.62187.60215.20207.67上海4.6476.05619.813 079.503 294.603 204.86云南1.309.7463.56310.40347.80341.95江苏2.0555.651281.925 720.805 788.505 782.16西藏0.200.461.418.5013.409.95浙江0.2819.98678.723 242.203 296.403 095.65陕西3.6242.56239.291 301.301 342.201 434.13安徽0.3713.25275.531 250.001 401.601 338.47甘肃1.9011.3445.25264.40282.90296.58福建0.1810.94248.241 202.601 304.401 234.23青海0.101.188.0246.2048.0052.49江西0.166.24106.37545.10591.50577.00宁夏0.501.2317.7279.4089.6086.58山东0.1332.58902.544554.104 619.204 753.99新疆0.293.7629.91164.00145.90199.71河南0.6617.74184.231 388.201 384.101 469.21合计47.82729.388 567.1445 609.5048 105.2047 792.93

资料来源:本文计算整理

进一步地,为了检验测度结果的可靠程度,将2015年各省域现价R&D资本与侯睿婕和陈钰芬[40]、孙凤娥和江永宏[39]的研究结果进行比较。数据显示,本文的R&D资本测度结果(47 792.93亿元)介于侯睿婕等研究结果(48 105.20亿元)和孙凤娥等研究结果(45 609.50亿元)之间,趋势一致,且与前者更为接近,主要原因是后者采用滞后1期的R&D资本测度方法(Griliches方法),当期的R&D投资需要等到下一期才可能进行资本积累。总体而言,本文测算结果较合理。

3.2 省域创新能力不平等测度

为全面展现省域创新能力不平等程度,除核心指标——集中指数外,本文还选择Gini系数、Theil熵指数、平均对数偏差(Theil mean log deviation measure,MLD)和变异系数4个广泛使用的不平等指标。为了剔除价格因素对结果的影响,用于测度不平等的GDP、R&D资本均使用1978年价格。表4展示了1978—2019年5种指标测度的省域创新能力不平等程度。

表4 省域创新能力不平等测算结果
Tab.4 Inequality of provincial innovative capacity

年份CIGini系数Theil熵指数MLD变异系数年份CIGini系数Theil熵指数MLD变异系数19780.226 40.727 21.142 71.191 42.314 219990.362 4***0.572 50.584 50.730 61.289 119790.231 40.725 51.134 71.186 02.300 620000.386 4***0.564 70.560 10.723 31.233 319800.251 10.722 41.120 71.172 32.276 720010.405 6***0.564 90.555 00.738 51.206 019810.223 00.717 81.102 01.150 22.248 320020.418 8***0.564 90.552 70.745 21.192 519820.218 60.712 31.079 91.124 12.214 020030.427 9***0.563 60.548 40.753 01.178 719830.221 60.706 31.055 51.095 72.175 820040.433 7***0.564 00.548 20.760 31.172 219840.225 80.699 91.030 11.066 82.135 520050.441 6***0.563 00.544 50.770 61.159 419850.234 30.693 41.004 71.038 62.095 220060.448 1***0.560 60.538 70.773 01.146 119860.235 90.685 60.977 81.007 82.055 620070.455 6***0.560 60.538 00.777 11.141 519870.222 10.677 70.950 10.977 82.013 220080.461 7***0.559 10.536 10.776 11.137 219880.263 10.678 70.950 70.998 12.009 020090.466 6***0.552 70.523 40.757 71.118 319890.269 80.669 40.917 40.970 01.954 120100.468 8***0.549 20.516 70.748 81.108 619900.268 50.662 50.895 00.949 11.920 620110.476 8***0.548 00.514 60.745 51.107 119910.296 90.655 50.869 90.930 21.874 720120.475 4***0.545 60.510 00.739 21.102 219920.280 40.651 00.853 50.916 91.846 320130.472 8***0.544 40.508 20.737 91.100 219930.286 90.645 80.830 90.903 51.797 620140.476 6***0.543 90.508 30.737 11.101 819940.271 40.640 90.816 20.891 41.774 820150.479 4***0.544 00.509 50.741 41.099 019950.268 80.632 10.788 30.869 11.726 920160.490 1***0.548 20.517 50.726 81.113 319960.282 6*0.611 50.712 90.817 01.572 020170.500 0***0.557 00.535 20.771 31.141 819970.297 2**0.592 00.649 40.773 21.441 020180.501 5***0.557 00.534 80.771 71.142 019980.329 1**0.583 50.619 60.748 31.373 120190.506 8***0.559 70.540 20.781 41.146 0

注:***表示p<0.01;**表示p<0.05;*表示p<0.1

(1)与经济水平相关的省域创新能力表现为“亲富”不平等,且不平等程度自1996年以来呈快速增长趋势,近年来增速虽有所放缓,但数值逐步逼近Gini系数。基于集中指数的测度结果,将创新能力发展过程划分为两个阶段:①1996年以前,省域创新能力与各省域经济发展水平的相关度较低,该阶段的R&D资本积累更多地依赖于国家政策规划或固有资源禀赋,市场经济发展程度还不足以对区域提升创新能力形成有效激励;②1996—2019年,省域创新能力与其经济发展水平的相关度逐渐提升,CI直逼Gini系数的现象也印证了各省域R&D资本与GDP排名的趋同化。在此期间,区域经济水平对创新能力的带动作用日渐凸显,创新能力提升对区域经济发展的反哺作用亦得到强化。

(2)与CI趋势相反,单一维度的省域创新能力不平等在早期呈显著下降趋势,2000年以后趋于高位的稳定状态。与万广华等[20]、张古鹏等[21]的结论相近,但又区别于CI的结果是,由Gini系数、Theil熵指数、平均对数偏差等不平等指标衡量的单一维度的创新能力不平等程度在1978—2000年大幅下降,近几年虽未见明显恶化趋势,但仍保持在0.5以上的高位水平且自2014年以来有轻微上升迹象。

进一步地,考察自1996年以来不同地区创新能力的变化情况。集中曲线显示,1996年GDP排名靠后的50%的省份仅累积了20%的R&D资本,GDP排名较高的30%的省份则拥有40%的R&D资本。当然,经济水平与创新能力并不是完全正向匹配的,如GDP居中的20%的省份反而积累了40%的R&D资本。2019年,GDP较低的52%的省份积累了20%的R&D资本,这一现象与20年前类似,而GDP较高的不足20%的省份却积累了40%的R&D资本,GDP居中的30%的省份也积累了40%的R&D资本,可见省域创新能力与经济水平趋同度较1996年显著提升。与此同时,洛伦兹曲线显示,1996年R&D资本排名靠后的超过60%的省份仅积累了20%的R&D资本,R&D资本排名靠前的不足10%的省份同样积累了20%的R&D资本。2019年,R&D资本排名较低省份积累的资本量依旧较低,但资本积累较低省份拥有的R&D资本量略有增长,而创新能力较高省份的R&D资本积累下降,表明单一维度的省域创新能力不平等程度有所改善。

依照前述,单一维度的省域创新能力不平等反映出结果向好,其数值差异亦无进一步扩大趋势,但CI测算结果表明,各地区创新能力与经济发展的同步性越来越高,且经济发达地区的创新能力领先于经济欠发达地区。经济水平较高地区能够与创新能力提升形成良性互动机制,即经济基础保障高质量创新活动开展,高水平创新能力又可作为催化剂助力地区发展,产生规模效益;经济欠发达地区的创新环境则不甚乐观,创新难度尤胜前者。也即,经济发达地区具有创新能力积累优势,而经济欠发达地区具有创新能力积累劣势,这使得早期在经济、创新资源等方面处于劣势状态的地区难以追赶,若不采取相应举措,初始的细小差距会随着时间推延而扩大,创新劣势地区会长久地陷入更弱势的境地。

3.3 省域创新能力不平等的动态分解

考虑到我国自2005年以来先后提出增强创新能力以及建设创新型国家等战略目标,并把自主创新纳入到“十一五”规划以及《国家中长期科学和技术发展规划纲要(2006—2020)》,因此本文将从1996—2005年、2006—2019年两个阶段考察我国创新能力不平等程度变化并进行动态分解,表5展示了主要结果。可以发现,自1996年以来,我国创新能力不平等程度从0.282 6逐步上升至2019年的0.506 8,逼近同时期Gini系数。其中,第一阶段(1996—2005年)的不平等程度上升0.159 0,第二阶段(2006—2019年)为0.058 7,说明地区创新能力主要在第一阶段产生分化,而后一阶段则保持该差距并略有扩大。

表5 1996—2019年省域创新能力不平等动态分解结果
Tab. 5 Dynamic decomposition results of inequality of provincial innovative capacity from 1996—2019

年份CIf-CIsCI△sCI分解MRDCPqMrank第一阶段1996—20000.103 80.519 9***0.081 80.237 30.344 60.022 0(0.000)(78.78%)(21.22%)1996—20050.159 00.492 0***0.145 00.209 40.692 20.014 0(0.000)(91.17%)(8.83%)第二阶段2006—20100.020 70.503 8***0.024 80.055 70.445 4-0.004 1(0.000)(119.86%)(-19.86%)2006—20190.058 70.510 2***0.057 00.067 40.721 50.001 7(0.000)(97.10%)(2.90%)

注:括号内百分比为效应贡献占比,小数为测度集中指数的p值。***表示p<0.01;**表示p<0.05;*表示p<0.1

(1)1996—2005年省域创新能力动态分解结果解析。1996—2000年,地区经济增长效应为0.022 0,对不平等变化的贡献为21.22%,表明地区经济发展差距在一定程度上加剧了不平等程度。创新能力累积效应为0.081 8,对不平等变化的贡献为78.78%,且进一步分解出的创新能力分布效应(P)以及规模因子(q)均大于0,说明伴随整体创新水平的提升,我国创新能力不平等程度愈发明显。此外,这一阶段的CI△s高达0.519 9,意味着经济发达地区的创新环境更具发展优势;1996—2005年,地区经济发展差距对创新能力不平等的贡献下降为8.83%,表明2001—2005年经济发展差距对不平等的影响有所缓解。此外,创新能力分布效应由0.237 3下降至0.209 4,说明创新能力分布对不平等的贡献略有减弱(该现象与Gini系数等一维指数测度趋势相符),而规模因子由0.344 6增大至0.692 2,可见虽然各地区创新能力较前有了大幅提升,但更多的R&D资本在经济发达地区积累,地区差距反而进一步扩大。

(2)2006—2019年省域创新能力动态分解结果解析。2006—2010年,地区经济增长效应为-0.004 1,且对不平等的贡献度下降至-19.86%,表明地区经济发展协同度提升,或者说创新能力欠佳地区的经济水平位次有所提高,在一定程度上降低了区域创新能力的“亲富”程度,同时,从侧面验证了不平等程度变小(仅有0.020 7)的结论。对于创新能力累积效应,其中的分布效应仅有0.055 7,而规模因子达0.445 4,可见该阶段区域创新能力积累极大地依赖于规模效应带动;2006—2019年,地区经济增长的贡献率仅有2.90%,说明2010—2019年各地区经济水平的相对位置并未发生显著变化。值得注意的是,创新能力累积效应在此阶段进一步叠升,已达到0.057 0,其间有受到分布效应影响(0.067 4)的原因,但本质上仍是规模因子作用的结果(0.721 5)。当某地区(多为经济发达地区)的R&D资本积累达到一定程度时,创新基础设施、人才配置等要素会与之适配,进而引致R&D资本加速积累,而经济欠发达地区通常难以形成创新规模效益,由此使得不平等程度加剧。针对该结论,自2014年以来Gini系数、Theil熵指数等一维指数微幅反弹的现象(具体见表4)亦可佐证其准确性。

此外,鉴于分解结果的非唯一性,本文同样基于式(6)和式(7)开展动态分解,结果仍然具有一致性。

4 主要结论与政策启示

我国必须更多地依靠质量提升和技术进步,让创新成为驱动发展的新引擎[41]。伴随我国经济的高速增长,区域经济发展差距不断扩大,除资本、劳动力和自然资源等传统禀赋因素外,与经济发展具有显著关联的创新能力的区域分化也是重要诱因。因此,在发展过程中考察区域创新能力及其不平等程度具有重大现实意义。

对此,本文首先基于创新能力内涵与经济发展需求,提出更为合理的量化代理指标——R&D资本,继而根据BEA方法测度省域创新能力。进一步地,采用CI测度与经济水平相匹配的省域创新能力不平等,并动态分解省域创新能力不平等的变化。研究结果表明:改革开放40多年来我国创新能力逐步提升,同时,伴随显著的区域集聚效应,江苏、广东、北京、上海、山东和浙江等地区的创新能力遥遥领先于其它地区,且优势进一步扩大。从不平等测度结果看,Gini系数等一维不平等指标在早期呈下降态势,但是自2000年以来一直保持高位稳定状态且近几年有反弹上升迹象,可见我国省域创新能力不平等程度依然较高,未得到明显著改善;与经济水平相关的省域创新能力则表现为“亲富”不平等,即经济发达地区积累了更强的创新能力,且不平等程度自1996年以来呈现快速提升趋势,省域创新能力与各地经济发展水平的关联度逐渐提升,而CI直逼Gini系数的现象也反映出R&D资本积累与经济水平的趋同化。从动态分解结果看,地区经济增长效应对不平等的贡献持续走低,说明地区经济发展,尤其是创新能力欠佳地区的经济水平位置提高有利于降低创新能力不平等程度;创新能力的累积效应对不平等的加剧作用更加突出,虽然创新能力自身的分布效应减弱(与Gini系数走势一致),但其规模效应显著增强。经济发达地区在较早时期积累了一定的R&D资本,“择优”机制促使各类创新要素在此汇集,逐渐形成更加优越和更具竞争力的创新环境,进而扩大该区域的创新生产规模和经济效益。经济欠发达地区则由于市场需求与利益驱动力欠佳而具有创新累积劣势,若不采取相应举措,创新劣势地区将会长久陷入弱势甚至更加弱势的境地。

因此,如何有效缩小区域创新差距、提升区域创新能力、促进协同发展,对于建设创新型国家意义重大。从我国当前的经济发展阶段以及区域差距显著的现状来看,要正确理解和妥善把握区域经济发展与创新能力提升之间的有机平衡关系,且在强调构建各具特色的区域创新发展格局的同时,兼顾区域创新能力差异问题:第一,对于创新优势地区而言,应充分发挥自身创新资源富集优势,持续提升关键核心技术自主创新能力,并营造有利于创新要素流动的外部环境,防止创新资源的尖端“封锁”;第二,对于创新劣势地区而言,应以经济水平提升为先决条件,全面激发企业创新动力与活力,并打造有利于创新要素集聚的内部环境,防止创新资源单向“流失”;第三,区域创新能力不平等本质上是发展不平等,创新的根本目的在于推动发展,切忌成为形式主义——为了创新而创新。从短期看,中西部地区可以尝试走差异化和跨越式发展的创新道路,培育壮大区域特色经济和新兴产业,缩小区域差距;从长期看,依靠区域经济发展与前期创新资本,实现持续、累进式的创新能力积蓄,这不仅是创新常态,更是发展常态。

参考文献:

[1] RODRGUEZ-POSE A, CRESCENZI R. Research and development, spillovers, innovation systems, and the genesis of regional growth in Europe[J]. Regional Studies, 2008, 42(1): 51-67.

[2] 白俊红,蒋伏心. 协同创新、空间关联与区域创新绩效[J]. 经济研究,2015, 50(7): 174-187.

[3] COLOMBO M G, GRILLI L, MURTINU S. R&D subsidies and the performance of high-tech start-ups[J]. Economics Letters, 2011, 112(1): 97-99.

[4] 叶祥松,刘敬. 异质性研发、政府支持与中国科技创新困境[J]. 经济研究,2018, 53(9): 116-132.

[5] ALLANSON P, GERDTHAM U G, PETRIE D. Longitudinal analysis of income-related health inequality[J]. Journal of Health Economics, 2010, 29(1): 78-86.

[6] ENOS J L. Invention and innovation in the petroleum refining industry[M]. The Rate and Direction of Inventive Activity: Economic and Social Factors, Princeton University Press, 2015, 299-322.

[7] MATHEWS J A, HU M. Enhancing the role of universities in building national innovative capacity in Asia: the case of Taiwan[J]. World Development, 2007, 35(6): 1005-1020.

[8] MELLAHI K, WILKINSON A. A Study of the association between level of slack reduction following downsizing and innovation output[J]. Journal of Management Studies, 2010, 47(3): 483-508.

[9] PELLEGRINO G, PIVA M, VIVARELLI M. Young firms and innovation: a microeconometric analysis[J]. Structural Change &Economic Dynamics, 2012, 23(4): 329-340.

[10] FREEMAN C, SOETE L. Developing science, technology and innovation indicators: what we can learn from the past[J]. Research Policy, 2009, 38(4): 583-589.

[11] ACS Z J. Innovation and the growth of cities[M]. Arlington: Edward Elgar Publishing, 2002.

[12] PROKSCH D, HABERSTROH M M, PINKWART A. Increasing the national innovative capacity: identifying the pathways to success using a comparative method[J]. Technological Forecasting and Social Change, 2017, 116: 256-270.

[13] 张杰,郑文平. 创新追赶战略抑制了中国专利质量么[J]. 经济研究,2018, 53(5): 28-41.

[14] 高敏雪. 研发资本化与GDP核算调整的整体认识与建议[J]. 统计研究,2017, 34(4): 3-14.

[15] MADSEN J B. Economic growth,TFP convergence and the world export of ideas: a century of evidence[J]. The Scandinavian Journal of Economics, 2008, 110(1): 145-167.

[16] 万广华. 不平等的度量与分解[J]. 经济学(季刊),2009, 8(1): 347-368.

[17] LAW S H, NASEEM N, LAU W T, et al. Can innovation improve income inequality? evidence from panel data[J]. Economic Systems, 2020, 44(4): 100815.

[18] 曲兆鹏,赵忠. 老龄化对我国农村消费和收入不平等的影响[J]. 经济研究,2008, 43(12): 85-99.

[19] 刘穷志,庞泓. 基尼系数的分解:收入增长能否降低收入不平等[J]. 统计研究,2016, 33(10): 31-37.

[20] 万广华,范蓓蕾,陆铭. 解析中国创新能力的不平等:基于回归的分解方法[J]. 世界经济,2010, 33(2): 3-14.

[21] 张古鹏,陈向东,杜华东. 中国区域创新质量不平等研究[J]. 科学学研究,2011, 29(11): 1709-1719.

[22] 苏屹,李柏洲,喻登科. 区域创新系统知识存量的测度与公平性研究[J]. 中国软科学,2012,27(5): 157-174.

[23] DALTON H. The measurement of the inequality of incomes[J]. The Economic Journal, 1920, 30(119): 348-361.

[24] CHITIGA M,OWUSU-SEKYERE E,TSOANAMATSIE N.Income inequality and limitations of the gini index: the case of South Africa[R]. Human Sciences Research Council Working Paper, 2015.

[25] DE MAIO F G. Income inequality measures[J]. Journal of Epidemiology &Community Health, 2007, 61(10): 849-852.

[26] 苑林娅. 中国收入差距不平等状况的泰尔指数分析[J]. 云南财经大学学报,2008,24(1): 30-37.

[27] 戴平生. 拓展基尼系数及其应用的拓展研究[J]. 统计研究,2013, 30(9): 69-78.

[28] 欧阳峣,汤凌霄. 大国创新道路的经济学解析[J]. 经济研究,2017, 52(9): 11-23.

[29] GOLDSMITH R W. A perpetual inventory of national wealth[R]. National Bureau of Economic Research, 1951.

[30] GRILICHES Z. R&D and the productivity slowdown[R]. National Bureau of Economic Research, 1980.

[31] SLIKER B. 2007 R&D satellite account methodologies: R&D capital stocks and net rates of return[R]. Bureau of Economic Analysis, 2007.

[32] WAGSTAFF A, VAN DOORSLAER E, WATANABE N. On decomposing the causes of health sector inequalities with an application to malnutrition inequalities in vietnam[J]. Journal of Econometrics, 2003, 112(1): 207-223.

[33] 许宪春,郑学工. 改革研发支出核算方法更好地反映创新驱动作用[J]. 国家行政学院学报,2016,18(5): 4-12.

[34] 江永宏,孙凤娥. 中国R&D资本存量测算:1952~2014年[J]. 数量经济技术经济研究,2016, 33(7): 112-129.

[35] 徐蔼婷,祝瑜晗. R&D卫星账户整体架构与编制的国际实践[J]. 统计研究,2017, 34(9): 76-89.

[36] HALL B H, MAIRESSE J. Exploring the relationship between R&D and productivity in French manufacturing firms[J]. Journal of Econometrics, 1995, 65(1): 263-293.

[37] 王亚菲,王春云. 中国行业层面研究与试验发展资本存量核算[J]. 数量经济技术经济研究,2018, 35(1): 94-110.

[38] LI W C Y, HALL B H. Depreciation of business R&D capital[J]. Review of Income &Wealth, 2016, 66(1): 161-180.

[39] 孙凤娥,江永宏. 我国地区R&D资本存量测算:1978—2015年[J]. 统计研究,2018, 35(2): 99-108.

[40] 侯睿婕,陈钰芬. SNA框架下中国省际R&D资本存量的估算[J]. 统计研究,2018, 35(5): 19-28.

[41] 李扬,张晓晶. “新常态”:经济发展的逻辑与前景[J]. 经济研究,2015, 50(5): 4-19.

(责任编辑:胡俊健)