R&D资源错配与绿色创新效率损失
——基于中国高技术产业的实证分析

赵玉林1,2,刘 超1,潘毛毛3

(1.武汉理工大学 经济学院,湖北 武汉 430070;2.湖北省科技创新与经济发展研究中心,湖北 武汉 430070;3.浙江财经大学 经济学院,浙江 杭州 310018)

摘 要:基于中国高技术产业数据,测算R&D资源错配并实证分析其造成的绿色创新效率损失。从理论上分析不同R&D资源错配造成绿色创新效率损失的具体机理,采用中国内地省级高技术产业数据,结合反事实方法,测算R&D资源错配造成的绿色创新效率损失情况。结果表明,2000—2018年,中国高技术产业绿色创新效率呈不断上升趋势,但整体水平仍较低;中国高技术产业存在明显的R&D资源错配问题,R&D资本和R&D人力错配均属于资源配置过多的情况;R&D资源错配对绿色创新效率具有显著抑制作用,整体上造成中国高技术产业绿色创新效率损失值为0.061 4,损失率达26.4%。基于此,必须持续推动要素市场化改革,激发市场活力,消除要素流动障碍,促进R&D资本和R&D人力在区域间合理配置。

关键词:高技术产业;R&D资源错配;绿色创新效率损失

Misallocation of R&D Resources and Loss of Green Innovation Efficiency: An Empirical Analysis Based on Data of China's High-tech Industries

Zhao Yulin1,2, Liu Chao1,Pan Maomao3

(1.School of Economics, Wuhan University of Technology, Wuhan 430070, China; 2.Hubei Provincial Research Center for S&T Innovation and Economic Development, Wuhan 430070, China ;3. School of Economics, Zhejiang University of Finance and Economics, Hangzhou 310018,China)

AbstractSince the reform and opening up, China's economy has achieved rapid growth through an extensive development model, and has become the second largest economy in the world. However, it is accompanied by excessive consumption of the ecological environment, which has caused a non-negligible impact on people's living environment. According to the "2018 Global Environmental Performance Index", China's environmental performance index ranks the 120th among 180 economies, and its air quality index ranks only 177th, which reflects the current imbalance between China's economic development and ecological civilization construction. The problem stands out. The construction of ecological civilization is related to the sustainable development of China. Under the current economic development environment, the realization of green innovation is of great practical significance to the realization of high-quality development of the Chinese economy. As a strategic industry that determines national competitiveness, high-tech industry has the characteristics of high investment, rapid development, high proportion of scientific research personnel and strong penetration into other industries. The level of its innovation capability has an important impact on China's innovation-driven strategic transformation. According to existing research, the TFP of China's high-tech industries in 2014 was only 37.6% of that of the United States. Resource misallocation is considered to be the main reason for this difference in production efficiency. Hsieh et al also pointed out that if the resource allocation efficiency of China's manufacturing industry could be comparable to the level of the United States, TFP would be increased by 30% -50%. This reflects that the gap between China and developed countries is not only at the technical level, but also cannot be ignored in the efficiency of resource allocation, which means that there needs great improvement for the efficiency of green innovation by improving resource misallocation. Based on this, this paper takes the high-tech industry as the research object, starts from the perspective of R&D resource mismatch, and studies the loss of green innovation efficiency caused by it, so as to provide theoretical reference and policy inspiration for improving China's high-tech industry R&D resource mismatch and improving green innovation efficiency.

This paper uses the panel data of 30 provinces, municipalities and autonomous regions of China's high-tech industries from 2000 to 2018 to measure and analyze the green innovation efficiency, R&D resource mismatch and green innovation efficiency of China's high-tech industries. In terms of research methods, this paper first adopts the literature analysis method. By sorting out and commenting on the existing literature, the research direction of this paper is obtained, and the influence mechanism of the R&D resource misallocation caused by the loss of green innovation efficiency is revealed, and the theoretical basis of this paper is constructed. In the empirical link, the Super-SBM and HK models are used to measure and analyze the current situation of green innovation efficiency and R&D resource mismatch in China's high-tech industries, using the systematic GMM method to empirically test the impact of R&D resource mismatch on green innovation efficiency. On this basis, the counter-factual empirical method is used to measure the degree of efficiency loss.

The research conclusions of this paper are as follows. (1) From 2000 to 2018, although the green innovation efficiency of China's high-tech industries showed a rising trend, the overall level was still low, and there was room for improvement. The average green innovation efficiency was only 0.462, and the average increase The speed is 12.6%. (2) China's high-tech industries have obvious mismatches of R&D resources. The average mismatches of R&D capital and R&D manpower are 1.42 and 1.33, respectively, which are all over-allocated. (3) The mismatch of R&D resources has a significant inhibitory effect on the efficiency of green innovation. As a whole, the loss value of green innovation efficiency in China's high-tech industries is 0.0614. By eliminating the mismatch of R&D resources, the efficiency of green innovation is increased by 26.4%.

The innovations of this paper mianly cover three aspects. Firstly, the influence mechanism of the R&D resource misallocation resulting in the loss of green innovation efficiency is revealed. Secondly a more scientific measure of green innovation efficiency in high-tech industries is designed. Lastly the loss value of green innovation efficiency caused by the mismatch of R&D resources in China's high-tech industry is measured.

Key Words:High-tech Industry; R&D Resource Mismatch; Green Innovation Efficiency Loss

DOI10.6049/kjjbydc.2021060715

开放科学(资源服务)标识码(OSID):

中图分类号:F406.3

文献标识码:A

文章编号:1001-7348(2022)04-0049-11

收稿日期:2021-06-29

修回日期:2021-08-02

基金项目:国家社会科学基金重点项目(11AZD081);湖北省软科学项目(2019ADC019)

作者简介:赵玉林( 1954— ) ,男,吉林省吉林市人,武汉理工大学经济学院、湖北省科技创新与经济发展研究中心教授、博士生导师,研究方向为科技创新与产业经济;刘超(1994— ),男,黑龙江虎林人,武汉理工大学经济学院硕士研究生,研究方向为高技术产业发展;潘毛毛(1992— ),女,浙江温州人,博士,浙江财经大学经济学院讲师,研究方向为产业融合。

0 引言

高技术产业作为决定国家竞争力的战略性产业,具有投入大、发展快、科研人员占比高、对其它产业渗透性强等特点,其创新能力对我国实现创新驱动战略转型具有重要影响。近年来,我国高技术产业发展迅速,2013—2017年工业高技术产业增加值年均增长达到11.7%。随着以美、德、日为首的发达国家相继提出重振高端制造业计划,中国高技术产业面临更加激烈的竞争环境,自中美贸易战以来,华为、中兴等本土高技术企业在关键领域发展屡屡受限[1],反映出中国高技术产业创新能力不足的问题。从生态环境角度看,与传统产业一样,高技术产业同样面临生态问题[2],时有发生因废弃物排放引发环境污染的事件。这意味着高技术产业发展不仅要注重创新能力提升,更要兼顾生态可持续,即通过提升绿色创新能力,实现高技术产业高质量发展。

提升绿色创新能力,除要加大R&D投入外,还要注重投入产出效率,即提升绿色创新效率。提升绿色创新效率的方式主要有两种:第一种是通过加大R&D投入实现技术进步,进而提升单位R&D投入产出,但这种方式被认为投入成本过高,耗费时间较长;第二种是通过提升要素资源配置效率从而提升绿色创新效率。事实上,中国高技术产业一直存在R&D资源配置不合理、创新效率不高的问题[3-4],2014年中国高技术产业全要素生产率(TFP)仅为美国的37.6%[5]。资源错配被认为是造成这种生产效率差异的主要原因,Hsieh等[6]指出,如果中国制造业资源配置效率与美国水平相当,TFP将提高30%~50%。这反映出我国与发达国家之间的差距不仅仅存在于技术层面,资源配置效率方面的因素同样不容忽视。这意味着通过改善资源错配从而提升绿色创新效率存在巨大空间。那么,R&D资源错配是如何造成绿色创新效率损失的?损失又如何衡量?本文试图解决这些问题。

1 文献回顾

绿色创新效率作为衡量创新资源配置的重要指标,是研究绿色创新的重要内容之一。把握绿色创新效率演化趋势,有助于中国经济实现绿色转型。现有关于创新效率的研究主要聚焦于以下3个方面:首先是绿色创新效率概念的辨析,如韩晶等[7]认为,绿色创新效率是指区域创新效率的绿色化程度,是在创新过程中综合考虑环境污染和能源消耗后,对某区域或产业创新质量的测度,是创新质量的绿色指数;肖仁桥等[8]认为,绿色创新效率是在考虑环境污染的前提下,创新过程中的投入产出比,反映单位创新投入对产出的贡献程度,对于绿色创新效率的测算有助于减少冗余,优化创新资源配置。其次是绿色创新效率评价,主要通过建立投入与产出指标体系对绿色创新效率整体情况及不同阶段创新效率进行评价[9-11]。最后是如何促进绿色创新效率提升,如Bai等[12]指出,政府R&D支持对能源密集型企业绿色创新具有促进作用,其使企业绩效提高了54.1%;罗良文等[13]从国际R&D资本视角发现,相较于国内R&D资本,国际R&D资本溢出更能提升中国绿色技术创新效率,并提出应进一步提升对外开放程度,吸引外国资本进入。

受外部因素干扰,要素资源无法得到合理配置,可能会出现低效率部门过度供给、高效率部门供给不足的现象,进而偏离帕累托最优状态[14]。这意味着生产要素逆向流动带来的资源错配会造成经济效率损失[15]。Dias等[16]通过研究葡萄牙企业层面数据发现,1996—2011年,资源配置不当致使GDP减少了1.3%;Ryzhenkov[17]通过研究乌克兰制造业发现,如果乌克兰产出和资本配置效率能够达到美国标准,TFP将提高72.4%~149.5%;袁志刚等[18]通过建立一个资源错配对TFP影响的核算模型发现,劳动资源错配导致TFP效率损失12%~18%;文东伟[19]研究中国制造业潜力时发现,如果资本和劳动得到有效配置,1998—2007年中国制造业行业增长率会在11.3%~15.81%之间。

目前中国普遍存在资本和劳动要素扭曲现象,一定程度上抑制了企业创新活动。有学者关注资源错配如何影响创新,如吕承超等[20]基于中国制造业上市公司数据研究发现,资源错配是影响企业创新的重要因素;张洁等[21]通过对中国高新技术上市公司进行实证研究,发现资本错配显著抑制企业R&D投入,进而阻碍企业创新能力提升。事实上,除资本和劳动资源错配外,创新资源利用效率同样影响创新效率提升[22-23]。Yang等[24]指出,R&D资源配置不当是导致中国创新效率低下的主要原因;靳来群等(2019)基于中国工业数据研究发现,区域创新资源结构性错配最严重,不同地区、不同所有制结构以及不同技术水平下的错配水平也不一样,但总体上R&D物质资本错配水平高于R&D人力资本错配;董直庆等[25]研究发现,中国创新资源空间错配显著影响创新效率,不同类型创新要素错配引发的创新要素损失存在异质性。在中国创新驱动发展战略背景下,如何使有限的R&D资源投入更有效率是迫切需要解决的关键问题。

现有文献为本文研究提供了一定借鉴和启示,但还存在以下不足:首先,现有关于高技术产业绿色创新效率的研究相对较少,同时已有文献在指标选择上多用工业排放指标,偏离了高技术产业的真实情况。其次,忽视了同样重要的R&D要素,在研究资源错配对创新效率的影响时,大多从一般资本和劳动要素入手,缺少对R&D资源错配情况的把握。最后,缺乏R&D资源错配对绿色创新效率影响机理的揭示,这为本文继续研究提供了思路。当前,中国正向创新驱动型国家战略转型,实现绿色创新是高质量发展的重要一环,因而从R&D资源错配视角揭示其对绿色创新效率的影响机理尤为重要。

本文创新点在于,揭示R&D资源错配造成绿色创新效率损失的影响机理,设计更科学的高技术产业绿色创新效率衡量指标,测度高技术产业R&D资源错配造成的绿色创新效率损失值。

2 理论分析

2.1 R&D资本错配造成绿色创新效率损失的机理

R&D资本错配产生的误置效应会抑制绿色创新效率提升。误置效应是指市场和政府在配置R&D资源过程中由于非理性选择造成的R&D资源错配。从市场角度看,企业间借贷利率差异是造成资本错配的主要原因,只有在完全竞争市场中,企业借贷利率才能由市场供求关系决定,才会使资源达到最优配置。在我国以银行为主导的金融体系下,资本配置情况很大程度上受非市场因素干扰,企业从银行融资的比例偏大,R&D活动投资回收期长,可能面临失败风险,这同样会导致银行在进行借贷选择时,往往根据企业性质和规模作出非理性选择,导致R&D资源不能根据市场机制自由配置到资本收益率更高的创新项目上,进而降低绿色创新效率。从政府角度看,余泳泽等[26]研究指出,地方政府正陷入R&D崇拜,政府往往会将R&D资本分配权和定价权掌握在自己手中,通过主导区域R&D资本要素流动,将R&D要素配置到满足自身政绩要求的企业中,这可能导致大量R&D资金投向风险低、效率低的企业。短期内,会通过增加创新产出数量提升创新能力,长期看,过多的R&D资本配置到低效率创新企业,会进一步加剧R&D资本错配,直接影响整体绿色创新效率提升。

非生产性寻租行为导致的短视效应会降低绿色创新效率。正如前文所述,政府的短视在于为了自身政绩,通过实施地方保护主义,限制R&D资本自由流动,使其不能配置到绿色创新项目中。绿色创新是高质量创新,意味着风险更高,政府短视行为可能使高质量绿色创新项目得不到充足资金支持而夭折。同时,地方政府为保护本地企业发展,设置过高的市场壁垒,阻止外来高效率企业进入本地市场,直接扭曲了区域R&D资本市场。政府主导的区域创新环境会直接影响企业的创新选择,使企业在日常生产经营中将更多资金运用到维系政府关系上,因为企业可以通过非生产性寻租行为,以较低成本获取所需生产要素,进而获得超额利润,由此导致企业形成路径依赖,产生短视行为,不愿将资金投入到风险更高的R&D活动中,失去创新动力,加剧R&D资本错配,从而降低绿色创新效率。

价格失真引起的低端技术锁定效应会降低绿色创新效率。R&D资本错配会导致价格信号失真,在中国财政分权体制下,政府干预会直接影响金融市场利率水平,使市场不能自由配置R&D资本要素。从政府角度看,政府为完成R&D任务,一般会通过直接财政补贴或税收优惠刺激企业创新,短时间内会提升区域创新能力,但是政府过度投资会直接影响市场机制对R&D资本要素的配置,造成价格失真。同时,政府扶持政策可能并不符合绿色创新需要,政府与企业间往往会因为信息不对称,产生补贴失衡,导致很多需要资金且从事绿色创新的企业不能得到应有的资金支持。此外,企业可能会为了获得政府税收补贴而选择能够快速产生成果的R&D项目,挤出原本配置到绿色创新的R&D资金,造成绿色创新效率损失,长期来看,不利于区域整体技术水平提升。从企业角度看,政府掌握R&D资本的配置权和定价权,必然会导致R&D资本在某些科研项目中过度配置,扭曲企业的创新选择。从价格理论角度看,当R&D资本市场配置不足时,要素价格高于边际产出,过高的成本投入会限制企业的创新选择;当R&D资本市场配置过多时,R&D资本要素获取成本更低,其价格低于边际产出,虽然绿色创新成果的市场价值更高,但也意味着投入和风险更高,企业更倾向于通过扩大生产规模获取经济利益而不是选择绿色创新。这会降低企业通过高质量创新获取利润的动力,降低企业绿色创新效率,最终导致企业被低端技术锁定。

2.2 R&D人力错配造成绿色创新效率损失的机理

R&D人员受劳动力市场分割影响导致流动受限,进而产生资源误置,造成绿色创新效率损失。虽然我国已市场化改革多年,但受户籍制度、教育程度等影响,劳动力市场在地区间、城乡间、行业部门间依然存在分割现象,这直接阻碍了劳动力要素自由流动,扭曲了资源配置。我国户籍制度被认为是影响劳动力自由流动的主要原因之一,是否拥有本地户籍直接影响劳动力的日常经济行为,区域内就业、就学、社会保障等民生基本政策通常依赖于户籍制度。户籍不仅会影响R&D人员自身就业选择,也会影响企业招聘需求,很大程度上会影响R&D人力要素自由流动,削弱地区之间的竞争,更会影响市场机制对R&D人力要素的有效配置,不利于绿色创新效率提升。

R&D人力价格失真引起的需求抑制效应会降低绿色创新效率。由上文讨论可知,由于政府掌握要素分配权和定价权,导致R&D资源市场定价不符合市场机制。我国普遍存在劳动力价格被低估的现象,地方政府为吸引企业投资,往往通过压低劳动力价格吸引企业入驻。从短期看,企业运营成本下降会提升自身利润水平,但从长期看,企业过度依赖低价格的R&D人力资本容易形成路径依赖,导致创新能力提升困难,降低绿色创新效率。从R&D人力价格角度看,R&D人力扭曲导致其价格偏离市场机制配置下的最优水平,从而使劳动者收入水平下降,直接影响社会需求,而消费者购买力下降会导致企业不能收回R&D投入成本,进而降低企业开发新产品的积极性,同时从事R&D活动的劳动者报酬偏低,可能引发离职或对工作投入不够,进一步降低企业绿色创新效率。

R&D人力与R&D资本的结构失衡效应也是影响绿色创新效率提升的重要原因之一,主要体现在R&D经费与R&D人力配置外部失衡、R&D投入内部失衡两方面。从外部看,目前中国R&D经费投入强度已超过欧盟平均水平,但与之相匹配的R&D人员占从业人员比重却不足欧盟的1/3,这直接影响了中国绿色全要素生产率提升。R&D人力错配会影响各种生产要素作用的发挥,进而抑制技术创新[27]。一方面,R&D人力资本不足直接导致知识创造力不足,从而限制核心技术突破能力;另一方面,R&D人力资本不足直接影响对先进技术的吸收转化能力,谷军健等[28]指出,中国R&D人力资本发展严重落后于R&D资本投入是中国陷入研发—生产率悖论的主要原因之一。从R&D投入内部结构看,R&D投入内部失衡会加剧R&D人力错配。R&D活动分为基础研究、应用研究和试验发展3种,其中基础研究是科学知识的基础,当一国技术水平接近世界领先水平时,如果不能在基础研究上实现突破,创新就很难取得成功[29]。目前,我国普遍存在重应用、轻基础的现实问题,很多从事基础研究的高素质人力资本为了经济利益转向应用研究,直接造成R&D投入的类型错配,整体加剧了我国R&D人力错配,最终降低绿色创新效率。Peretto等[30]、李静和楠玉[31]研究表明,当经济向高质量发展阶段跃迁时,人力资本会发挥根本性作用,如果不能使人力资本得到优化配置,其可能会成为创新的阻碍。因此,重视人力资本在现阶段我国经济转型中的作用,注重人才培养,对我国经济发展至关重要。

3 绿色创新效率与R&D资源错配测度分析

3.1 绿色创新效率测度

3.1.1 模型选择

由于SBM模型在处理包含非期望产出的情况时,会同时出现多个决策单元有效的问题,导致无法对决策单元进行效率评价。为克服SBM模型无法区分决策单元有效性的弊端,Tone(2002)提出Super-SBM模型修正了该问题,使决策单元处于DEA效率前沿面时,效率值可以大于1,可以对多个有效决策单元排序,充分考虑了投入产出变量的松弛性问题[32],使模型结果估计更准确,其生产可能性集为:

P(x)=(x,yg,yb|(xλX,ygλYg,ybλYb,yg≥0,λ≥0))

(1)

考虑非期望产出的Super-SBM模型为:

(2)

其中,μ*代表目标效率值,n为松弛量,m为投入要素数量,n1为期望产出,n2为非期望产出,λ为权重向量,x-ygyb分别为投入、期望产出和非期望产出松弛变量。

3.1.2 数据来源与处理

本文采用2000—2018年中国内地30个省域(西藏因数据不全,未纳入统计)高技术产业面板数据测度绿色创新效率。根据前文对绿色创新效率的理论分析,本文指标体系构建充分考虑高技术产业的环境效益,在投入环节加入能源消费总量,在产出环节加入非期望产出工业“三废”排放量,具体数据来源见表1。

表1 指标名称与数据来源

Tab.1 Indicators and data sources

变量类型指标名称数据来源投入指标R&D经费存量《中国高技术产业统计年鉴》R&D人员全时当量《中国统计年鉴》《中国能源统计年鉴》能源消费总量非期望产出指标工业废气排放总量《中国环境统计年鉴》《中国统计年鉴》及各省统计年鉴工业废水排放总量工业固体废物产生量期望产出指标新产品销售收入《中国高技术产业统计年鉴》专利申请数

本文主要将R&D资本、R&D人力和能源作为投入指标。其中,R&D资本通过永续盘存法计算R&D经费存量衡量,以2000年为基期,使用朱平芳等(2003)的方法,构建R&D支出价格指数进行平减。永续盘存法计算公式为RKSit=RKSit-1(1-δ)+Kit,起始年份资本投入存量计算方法为RKSi2000=RKi2000/(gi+δ), gi为R&D资本支出平均增长率,折旧率δ取20%。R&D人力使用R&D人员全时当量表征。由于现有年鉴没有单独统计细分省份高技术产业能源消费量,现有研究多采用总量衡量,这会偏离高技术产业真实情况,本文使用高技术产业销售收入与GDP比值进行调整,虽也存在一定误判,但相对于直接使用总量更为合理。

产出环节主要包括期望产出和非期望产出两部分。期望产出部分使用专利申请数和新产品销售收入衡量,其中新产品销售收入使用工业出厂品价格指数以2000年为基期进行平减。对于非期望产出,由于现有年鉴没有单独统计高技术产业“三废”情况,现有研究主要采用两种方法进行处理:一是直接以工业“三废”衡量[9-10];二是使用高技术产业产值比重[11],计算得到地区高技术产业“三废”排放量。上述两种方法将高技术产业等同于工业,均不符合高技术产业现实情况。在指标衡量上,本文将中医药制造业,专用设备制造业,交通运输设备制造业,计算机、通信和其它电子设备制造业,仪器仪表制造业五大行业的“三废”数据加总,形成全国高技术产业总量指标,使用当年各省份高技术产业销售收入与全国高技术产业销售收入的比值近似得到各省份相关指标数据。

3.1.3 结果分析

由表2、3可知,整体看,2000—2018年中国高技术产业绿色创新效率平均值仅为0.462,反映出样本期内,中国高技术产业绿色创新水平较低,但呈逐年上升趋势。分省份看,仅天津样本期平均绿色创新效率高于1,其余省份平均绿色创新效率均处于无效率阶段,存在较大提升空间。上海、江苏等省市作为高技术产业发展活跃地区,绿色创新效率却较低,原因在于其R&D资源投入增加的同时,期望产出并没有增加,反而加剧资源消耗,进而造成绿色创新效率低下,这与过往创新追求模仿型、追赶型战略有关,盲目追求R&D规模扩张,并不能带来绿色创新成果,R&D资源利用效率低会抑制绿色创新效率提升。分区域看,2000—2018年东部地区高技术产业绿色创新效率最高,其次是西部和中部,分别为0.535、0.352、0.470,绿色创新效率整体水平不高。

表2 2000—2018年各地区高技术产业绿色创新效率均值

Tab.2 Average value of green innovation efficiency of high-tech industries in various provinces from 2000 to 2018

地区绿色创新效率排名地区绿色创新效率排名天津1.022 01山东0.438 716新疆0.929 32贵州0.420 117北京0.826 53江苏0.400 618福建0.692 74海南0.370 519重庆0.644 75甘肃0.357 120浙江0.619 16辽宁0.295 921云南0.612 27湖北0.279 822安徽0.602 88吉林0.253 523广东0.553 39广西0.245 424宁夏0.545 710山西0.235 225青海0.539 511江西0.233 126河南0.521 712内蒙古0.218 127湖南0.483 613陕西0.204 928上海0.469 014黑龙江0.204 429四川0.449 115河北0.197 530

表3 2000—2018年全国及分区域高技术产业绿色创新效率均值

Tab.3 Average value of green innovation efficiency of high-tech industries in China and various regions from 2000 to 2018

区域绿色创新效率东部地区0.535中部地区0.352西部地区0.470全国0.462

3.2 R&D资源错配测度与分析

3.2.1 R&D资源错配测度的理论模型选择

根据前文对错配概念的界定,本文重点关注Hsieh等[6]提出的内涵型错配。假设i部门高技术产业创新所需生产要素为R&D资本和R&D人力两种,在规模报酬不变的前提下,生产函数的一般形式为:

(3)

其中,Y代表创新产出,RKRL分别表征R&D资本和R&D人力,α、β分别代表R&D资本和R&D人力的产出弹性,it分别代表不同地区和年份。

本文主要对各省份高技术产业R&D资源错配情况进行讨论,基于陈永伟等[33]的研究,在不考虑其它外在因素的情况下,其生产函数是一致的,重点考察R&D资源(RKRL)的相对扭曲程度。假设地区i的高技术产业从事生产活动所需R&D资源错配程度为τRKitτRLit,其R&D要素投入价格为(1+τRKit)PRKit、(1+τRLit)PRLit,其中,PRKitPRLit为不存在扭曲的要素价格。经过推理可得出地区i的高技术产业相对扭曲系数为:

(4)

其中,分子部分分别表示i地区t年所用两种R&D要素资源占整体要素总量的比例,分母部分表示各要素得到有效配置的理论比例。两者的比值用于衡量地区i各要素的错配程度,η>1表示要素配置过多,要素利用效率较低,η<1则表示要素投入不足,使用成本较高。

3.2.2 生产函数估计与数据说明

根据前文理论分析的设定,以C-D函数为基础,构建高技术行业创新生产部门的生产函数,在测算各行业及地区资源错配情况前,首先计算其要素投入弹性,将公式(5)两边同时取对数。

lnYit=lnAit+αlnRKit+βlnRLit

(5)

参照白俊红[34]的方法,使用最小二乘虚拟变量法(LSDV)对模型进行估计。该方法通过运用地区虚拟变量与解释变量之间的交互项,形成变系数模型,使截面个体拥有不同估计系数,进而得到每个地区的要素投入弹性,估计结果见表4。

表4 各地区弹性估计结果

Tab.4 Elasticity estimation results of each province

地区资本弹性劳动弹性地区资本弹性劳动弹性北京0.602 0.398 河南0.5830.417天津0.578 0.422 湖北0.5710.429河北0.527 0.473 湖南0.5790.421山西0.508 0.492 广东0.6760.324内蒙古0.403 0.597 广西0.5370.463辽宁0.550 0.450 海南0.4470.553吉林0.534 0.466 重庆0.5790.421黑龙江0.509 0.491 四川0.6020.398上海0.606 0.394 贵州0.5570.443江苏0.626 0.374 云南0.5680.432浙江0.624 0.376 陕西0.5370.463安徽0.569 0.431 甘肃0.4810.519福建0.580 0.420 青海0.4170.583江西0.547 0.453 宁夏0.4060.594山东0.617 0.383 新疆0.4550.545

本文研究对象为2000—2018年30个省份的高技术产业面板数据,数据主要来源于《中国高技术产业统计年鉴》《中国统计年鉴》《中国价格统计年鉴》。其中,创新产出(Y)以专利申请数表征,R&D资本(RK)采用R&D经费内部支出计算存量获得,R&D人力(RL)采用R&D人员全时当量衡量。

3.2.3 高技术产业R&D资源错配测度结果分析

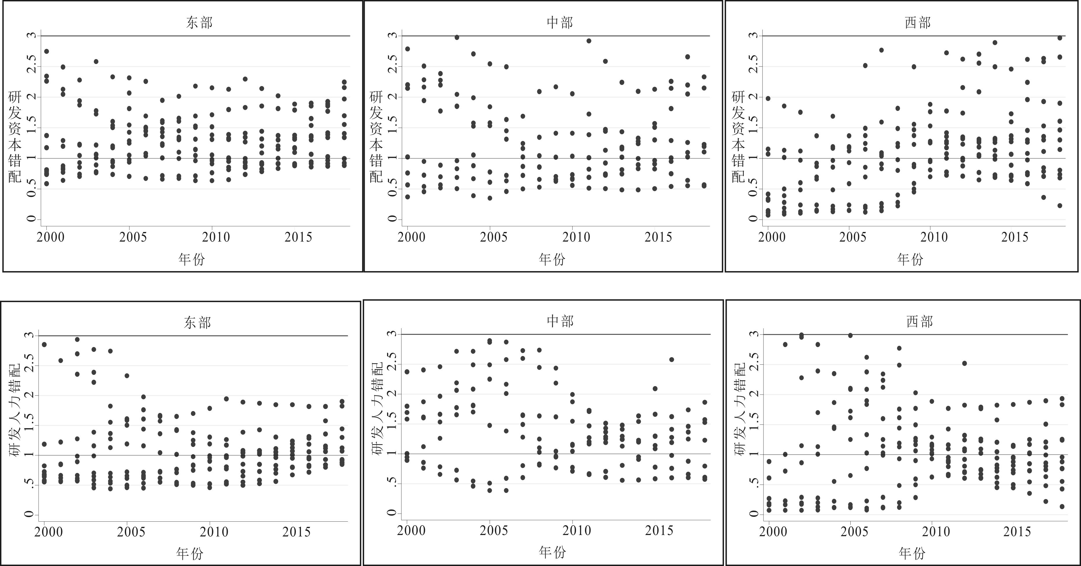
表5、图1反映了2000—2018年中国高技术产业R&D资源错配情况,具体特征如下:

图1 2000—2018年东、中、西部地区R&D资源错配情况

Fig.1 Misallocation of R&D resources in the east, the middle and the west regions from 2000 to 2018

表5 2000—2018年各地区高技术产业R&D资源错配情况

Tab.5 Misallocation of R&D resources in high-tech industries in various regions from 2000 to 2018

地区R&D资本错配R&D人力错配地区R&D资本错配R&D人力错配北京1.21 0.60 湖南0.88 1.28 天津1.46 0.80 广东0.79 0.83 河北1.98 2.05 广西0.93 0.79 山西1.02 1.35 海南3.95 1.39 内蒙古1.67 1.52 重庆0.78 1.07 辽宁1.92 1.56 四川0.96 1.24 吉林1.11 0.96 贵州1.02 1.50 黑龙江2.64 1.90 云南0.64 0.66 上海1.29 0.68 陕西3.26 2.77 江苏1.05 1.25 甘肃1.29 1.71 浙江0.92 1.08 青海0.79 0.52 安徽1.21 1.36 宁夏2.94 2.98 福建1.42 1.29 新疆0.63 0.38 江西1.60 2.52 东部地区1.5491.122山东1.05 0.81 中部地区1.350 1.548 河南0.86 1.48 西部地区1.355 1.376 湖北1.48 1.53 全国1.421.33

总体上,中国高技术产业存在着明显的R&D资源错配问题。中国高技术产业R&D资本和R&D人力错配情况整体呈现出不断改善趋势,R&D资本和R&D人力错配均值分别为1.42、1.33。R&D资本错配均值整体高于R&D人力错配,原因在于,近年来我国地方政府一定程度上陷入R&D崇拜,出于对政绩的追求,大量R&D资金投入到低质量创新中,影响市场对R&D资本的配置,直接扭曲区域R&D资本市场。虽然随着我国R&D投入规模不断扩大,创新能力显著提升,但高技术产业仍面临R&D要素整体投入过剩、利用效率不高的问题。

各地区均存在不同程度的R&D资源错配问题。海南、陕西、宁夏、黑龙江、河北等地区存在R&D资本投入过度、利用效率偏低的现象,新疆、云南、青海、重庆、广东等地区R&D资本投入不足。此外,宁夏、陕西、江西、河北、黑龙江等地区在R&D人力投入上利用效率不高,新疆、青海、北京、云南、上海等地区存在R&D人力投入不足导致使用成本过高的情况。从上述结果发现,广东、北京、上海等发达地区均存在R&D资本或R&D人力投入不足的现象,这与现实理解相悖,北上广集中了全国最多的R&D资源,却仍然存在错配现象,可能是因为发达地区对R&D需求规模和质量都提出了更高要求,也反映出当前我国R&D资源错配问题普遍存在。

分区域看,东、中、西部地区均存在R&D资本配置过度现象,其中,东部地区R&D资本过度配置情况最严重(1.549),其次为西部和中部。中部地区R&D人力过度配置情况最严重(1.548),其次为东部和西部地区。整体上看,东部地区错配情况好于中西部地区。一方面,东部地区经济发展水平较高,R&D要素密集;另一方面,东部地区市场经济活跃,资源配置效率高于中西部地区。从时间趋势看,R&D资本错配在东、中部地区呈现不断改善的收敛趋势,而在西部地区却呈现恶化趋势;与R&D资本情况不同的是,随着时间推移,R&D人力错配在各区域之间都呈现出不断改善的收敛趋势。

4 R&D资源错配造成绿色创新效率损失的测度分析

4.1 基础模型构建与变量描述

4.1.1 基础模型构建

现实中,创新活动往往存在连续性,传统静态面板模型难以体现创新效率的动态变化。因此,应建立动态面板对相关变量之间的关系进行检验。考虑到模型设定可能存在内生性问题,将被解释变量的滞后项作为工具变量纳入模型中,以缓解内生性问题对模型结果的影响。同时,考虑错配对创新效率影响的时滞性,本文对主要解释变量取滞后一期,构建动态面板模型。

(6)

其中,gct表示高技术产业绿色创新效率,X为主要解释变量,control代表控制变量,μ为地区固定效应,υ为时间固定效应,ε为随机扰动项,it分别表示地区和时间。

4.1.2 变量描述

考虑数据可得性,本文选取2000—2018年中国内地30个省域高技术产业面板数据,对R&D资源错配与绿色创新效率的影响关系进行实证检验。

(1)被解释变量:高技术产业绿色创新效率(gct)。本文使用超效率DEA软件,运用Super-SBM方法测度高技术绿色创新效率。Super-SBM方法能够区分决策单元的有效性,充分考虑投入产出变量松弛问题,使效率值可以大于1,因此估计结果更准确。

(2)解释变量:R&D资源错配(lnrdma)。除检验R&D资源错配对绿色创新效率的影响外,本文将R&D资源错配分为R&D资本错配(rdema)和R&D人力错配(rdpma)进行检验。因需要通过反事实方法计算效率损失,应考虑R&D资源错配程度而不是R&D资源错配现状对绿色创新效率的影响。根据季书涵[35]等的方法,R&D资源错配值与1之差的绝对值为错配程度,整体R&D资源错配计算公式为:

rdma=|rdema-1|+|rdpma-1|

(7)

(3)控制变量。本文控制变量包括经济发展水平(gdp)、外贸依存度(tra)、技术引进(ti)和环境规制(env)。其中,经济发展水平是反映社会发展的综合指标,经济发展水平高意味着有充足的资金投入到绿色创新项目中,进而提升绿色创新效率。本文以国内生产总值衡量经济发展水平,以2000年为基期,采用GDP平减指数进行平减。产业发展外向度高的地区,可以利用对外贸易机会获得发达国家技术溢出从而提升本国高技术产业技术水平,进而提升绿色创新效率。本文使用高技术产业出口交货值衡量外贸依存度,以2000年为基期,使用工业出口产品价格指数进行平减。相关研究指出,技术引进能够有效促进创新效率提升[36]。本文使用技术引进经费、消化吸收经费、购买国内技术经费支出之和表征技术引进,以2000年为基期,运用R&D资源错配价格指数进行平减。地方政府的环境规制政策有助于规范企业生产行为,减少污染,提升绿色创新效率。由于没有高技术产业污染治理投资数据,本文采用各省工业治理污染投资额与GDP的比重衡量环境规制,工业污染治理投资额2018年数据缺失,采用2017年与2019年的均值进行补充。

本文选取2000—2018年中国高技术产业面板数据进行实证分析,相关年份的缺漏值采用平均增长率法进行补充。具体变量描述性统计见表6。

表6 变量描述性统计结果

Tab.6 Descriptive statistics of variables

变量名称符号观测值均值标准差最小值最大值绿色创新效率lngctp5700.353 25 0.224 69 0.007 95 0.787 51 R&D资本错配程度lnrdema5700.418 67 0.375 44 0.000 06 3.107 60 R&D人力错配程度lnrdpma5700.415 50 0.360 38 0.003 95 2.498 09 R&D资源错配lnrdma5700.694 18 0.473 57 0.018 99 3.322 16 经济发展水平lngdp5709.021 75 1.137 52 5.578 18 11.485 34 外贸依存度lntra5704.431 74 2.565 28 0.117 46 9.641 84 技术引进lnti5708.485 81 2.980 13 014.690 72 环境规制lnenv5700.001 65 0.001 34 0.000 21 0.007 51

4.2 R&D资源错配对绿色创新效率影响的实证分析

表7同时列出了静态面板固定效应和系统GMM方法的实证结果。经检验,系统GMM模型不存在二阶序列相关,工具变量选取合理。两种模型估计结果较为一致,由于系统GMM方法能够缓解内生性对模型结果的影响,其估计更有效率。因此,在分析阶段主要分析系统GMM模型的结果。

表7 基础模型实证结果

Tab.7 Empirical results of the basic model

注:******分别表示在1%、5%、10%的水平上显著

变量名称lngctpFe(1)(2)(3)系统GMM(4)(5)(6)L.lngctp0.507***0.515***0.506***(0.00)(0.00)(0.00)L2.lngctp0.223***0.224***0.224***(0.01)(0.01)(0.01)L.lnrdema-0.098***-0.037**(0.00)(0.01)L.lnrdpma-0.094***-0.029*(0.00)(0.09)L.lnrdma-0.111***-0.058***(0.00)(0.00)lngdp0.0140.0110.0150.011*0.011*0.012*(0.22)(0.34)(0.19)(0.09)(0.10)(0.07)lntra0.042***0.046***0.043***0.005**0.005**0.005**(0.00)(0.00)(0.00)(0.05)(0.02)(0.02)lnti-0.007**-0.006*-0.007**-0.008***-0.006**-0.008***(0.05)(0.06)(0.04)(0.01)(0.02)(0.01)lnenv-1.555-3.9630.4572.2491.5643.932(0.84)(0.61)(0.95)(0.69)(0.77)(0.47)_cons0.165*0.1470.1290.077**0.0440.059(0.08)(0.12)(0.17)(0.04)(0.31)(0.14)AR(2)0.1980.1970.208Hansen1.0001.0001.00N570570570510510510

模型(4)为R&D资本错配程度影响绿色创新效率的结果,模型(5)为R&D人力错配程度影响绿色创新效率的结果,模型(6)为总体R&D资源错配程度对绿色创新效率的影响结果。

整体上,绿色创新效率的滞后项在所有模型中都通过1%的显著性检验,正向促进绿色创新效率提升,说明创新活动有一定路径依赖,前期绿色创新效率会影响当期绿色创新效率,也体现创新活动具有循环累积效应。R&D资本错配对绿色创新效率具有显著负效应(通过5%的显著性检验),表明R&D资本错配会抑制绿色创新效率提升,这与理论分析一致。在政府主导的区域创新体系下,R&D资本不能自由配置到高效率生产单位中,从而抑制绿色创新效率提升。R&D人力错配系数为-0.029,通过10%的显著性检验,表明R&D人力错配同样会抑制绿色创新效率提升。R&D人力错配引起价格失真,会限制R&D人员工资水平,影响其创新积极性,从而挤压绿色创新活动,引致对绿色创新产品的需求降低,进而陷入低端锁定,抑制绿色创新效率提升。整体R&D资源错配通过1%的显著性检验,且显著为负,说明R&D资源错配是影响绿色创新效率提升的主要原因之一。当前我国迫切需要改变以往追求投入规模的创新模式,不论是R&D资本还是R&D人力,整体上都存在配置过多的现象,我国R&D投入规模已位居世界前列,但R&D资源配置效率还有待提高。因此,如何有效优化创新资源配置,促进绿色创新效率提升,是当前我国需要解决的现实问题。

控制变量中,经济发展水平在模型中的估计系数均为正,说明经济发展水平高的地区,有充足的资金支持高技术产业发展,能够为高技术产业污染治理提供支撑[2]。3个模型结果均表明,外贸依存度能够显著促进绿色创新效率提升,这是因为在激烈的国际竞争环境中,为取得更大市场份额,会倒逼企业提升其管理水平、员工素质等[37],这同样能提升绿色创新效率。技术引进在3个模型中均通过10%的显著性检验,且显著为负,说明技术引进并不能提升绿色创新效率。随着我国技术水平不断提升,发达国家加强对我国的技术封锁,通过技术引进获取的技术并不能满足绿色创新需要,同时低端技术可能会带来污染,抑制绿色创新效率提升。环境规制在3个模型中均未通过显著性检验,这可能是因为环境规制政策一方面会促使生产单位进行绿色转型,增加其运营成本,另一方面也会倒逼其进行绿色创新[38],因而环境规制对绿色创新效率的影响机制还有待进一步检验。

4.3 绿色创新效率损失测算结果分析

前文实证结果表明,R&D资源错配对绿色创新效率具有显著负效应,且不论是R&D资本错配还是R&D人力错配都会造成绿色创新效率损失。为了估算错配带来的效率损失,本文参照Fogel[39]的反事实方法,对R&D资源错配带来的绿色创新效率损失进行估计。将模型(6)的估计系数乘以相应变量均值得到考虑R&D资源错配后的实际绿色创新效率值。反事实检验考察以下3种情况:首先是只存在R&D资本错配的情况,即根据只考虑R&D资本错配的模型估计结果,计算得到该情况下的绿色创新效率;其次是只存在R&D人力错配的情况,即只考虑R&D人力错配的模型结果,计算得到该情况下的绿色创新效率;最后是不存在错配的情况,根据模型回归系数乘以相应变量均值,计算出理想化的绿色创新效率。用不存在错配情况下计算得到的绿色创新效率损失值分别减去整体R&D错配、只存在R&D资本错配、只存在R&D人力错配时的绿色创新效率,得到绿色创新效率损失值。表8报告了2000—2018年各地区R&D资源错配损失值及损失率,图2为2000—2018年中国高技术产业绿色创新效率平均损失值及损失率趋势。

表8 2000—2018年各地区高技术产业绿色效率损失值及损失率

Tab.8 Green efficiency loss value and loss rate of high-tech industries in various regions from 2000 to 2018

注:损失率为整体R&D错配损失值除以实际绿色创新效率;rdema_gap代表R&D资本带来的效率损失,rdpma_gap代表R&D人力错配带来的效率损失,rdma_gap代表整体上R&D资源错配带来的效率损失,gap_rate代表效率损失率

地区rdema_gaprdpma_gaprdma_gapgap_rate地区rdema_gaprdpma_gaprdma_gapgap_rate北京0.052 0.015 0.039 0.114 湖南0.053 0.024 0.038 0.165 天津0.054 0.021 0.034 0.098 广东0.062 0.032 0.041 0.163 河北0.077 0.037 0.063 0.604 广西0.057 0.030 0.036 0.290 山西0.062 0.034 0.041 0.357 海南0.067 0.035 0.042 0.335 内蒙古0.058 0.029 0.039 0.441 重庆0.051 0.021 0.034 0.129 辽宁0.075 0.038 0.050 0.376 四川0.063 0.028 0.046 0.204 吉林0.047 0.020 0.032 0.263 贵州0.047 0.019 0.035 0.161 黑龙江0.075 0.042 0.051 0.601 云南0.052 0.021 0.033 0.145 上海0.064 0.031 0.045 0.196 陕西0.099 0.058 0.079 0.685 江苏0.060 0.031 0.043 0.200 甘肃0.056 0.024 0.041 0.231 浙江0.046 0.020 0.030 0.120 青海0.059 0.025 0.042 0.209 安徽0.063 0.027 0.047 0.186 宁夏0.082 0.045 0.061 0.270 福建0.060 0.028 0.038 0.140 新疆0.047 0.013 0.032 0.099 江西0.077 0.034 0.071 0.480 东部地区0.061 0 0.028 8 0.041 9 0.229 4 山东0.056 0.029 0.036 0.176 中部地区0.062 5 0.029 3 0.046 4 0.318 4 河南0.054 0.021 0.042 0.166 西部地区0.061 1 0.028 5 0.043 4 0.260 3 湖北0.067 0.032 0.050 0.329 全国0.061 4 0.028 8 0.043 6 0.264 5

由表8、图2可知, 2000—2018年,中国高技术产业绿色效率平均损失为0.061 4,R&D人力错配(0.043 6)造成的绿色创新效率损失高于R&D资本错配(0.028 8),在当前我国高技术产业整体绿色创新效率不高的情况下,R&D资源错配造成的损失率达26.4%,即通过消除R&D资源错配,我国高技术产业总体绿色创新效率可以提升26.4%。分区域看,东、中、西部地区绿色创新效率损失率分别为22.94%、31.84%、26.03%。分地区看,损失值超过0.07的地区有陕西、宁夏、江西、河北、黑龙江、辽宁,损失值在0.05以下的地区为浙江、吉林、贵州、新疆,其余地区均在0.05~0.07之间。进一步从时间趋势看,2000—2010年,整体R&D资源错配和R&D人力错配造成的绿色创新效率损失呈下降趋势,2010年以后呈波动上升趋势,R&D资本错配造成的绿色创新效率损失整体上呈波动下降趋势。

图2 2000—2018年中国高技术产业绿色创新效率平均损失值及损失率变化趋势

Fig.2 The average loss value and loss rate of green innovation efficiency in China's high-tech industries from 2000 to 2018

注:损失率对应为副坐标轴

5 结论与建议

当前我国迫切需要解决资源错配导致的效率损失问题。本文采用2000—2018年中国内地30个省级行政区高技术产业面板数据,测度并分析高技术产业绿色创新效率、R&D资源错配及绿色创新效率损失,主要研究结论如下:

首先,2000—2018年,我国高技术产业绿色创新效率虽呈不断上升趋势,但整体水平仍然较低,存在较大改善空间,绿色创新效率平均值仅为0.462,平均增速为12.6%。分区域看,东部地区绿色创新效率及平均增速高于中西部地区,样本期内仅天津绿色创新效率均值高于1,其余省份均处于无效率阶段。

其次,中国高技术产业存在明显的R&D资源错配问题,R&D资本和R&D人力错配均值分别为1.42、1.33,均属于配置过多的情况。其中,东部地区R&D资本过度配置和中部地区R&D人力过度配置情况最为严重。从时间趋势看,整体上,中国高技术产业R&D资源错配问题不断改善,东、中部地区R&D资本错配呈现明显收敛趋势,西部地区呈恶化趋势,各区域R&D人力错配均存在明显改善。

最后,R&D资源错配对绿色创新效率具有显著抑制作用,整体上造成中国高技术产业绿色创新效率损失值为0.061 4,通过消除R&D资源错配可使绿色创新效率提升26.4%。R&D人力错配造成的绿色创新效率损失值高于R&D资本错配。分区域看,东、中、西部地区绿色创新效率损失率分别为22.94%、31.84%、26.03% 。从时间趋势看,2000—2010年,整体R&D资源错配和R&D人力错配造成的绿色创新效率损失呈下降趋势,2010年以后呈波动上升趋势,R&D资本错配造成的绿色创新效率损失整体上呈波动下降趋势。

根据实证结果提出以下建议:首先,针对中国高技术产业绿色创新效率不高的现实问题,政府应推进绿色发展相关法律制度建设,规范企业生产行为,引导企业节能减排,向绿色产业结构转型。同时,企业应积极承担社会责任,将更多资金配置到绿色创新项目中,通过提高技术水平,带动绿色创新效率提升。其次,持续推动要素市场化改革,激发市场活力。本文实证结果表明,当前中国R&D要素配置存在结构性错配,其内在根源是市场化改革进程缓慢,要让市场在资源配置中起决定性作用,就要持续推进要素市场化改革,完善要素资源定价机制,构建合理的要素价格体系,坚持市场导向,减少政府对要素价格的干预。最后,促进R&D资本和R&D人力在区域之间合理配置,提升绿色创新效率。打破区域间、行业间资本要素流动障碍,让市场机制发挥对资本要素配置的决定性作用,通过提高资本配置效率进一步促进绿色创新效率提升。同时,继续推进户籍制度开放,加强人才落户政策设计,坚持按照市场经济规律有序引导R&D人才流动,完善人才引进机制,提升人才待遇,注重对劳动者的培训和指导,通过增加R&D人力资本存量促进人力资本结构升级,进而减少R&D人力错配带来的绿色效率损失。

参考文献:

[1] 赵玉林,刘超,谷军健. 研发投入结构对高质量创新的影响:兼论有为政府和有效市场的协同效应[J]. 中国科技论坛,2021,37(1):55-64.

[2] 张峰,任仕佳,殷秀清. 高技术产业绿色技术创新效率及其规模质量门槛效应[J]. 科技进步与对策,2020,37(7):59-68.

[3] 刘伟. 考虑环境因素的高新技术产业技术创新效率分析—基于2000—2007年和2008—2014年两个时段的比较[J]. 科研管理,2016,37(11):18-25.

[4] 范德成,李盛楠. 区域高技术产业技术创新效率测度与提升路径研究:基于共享投入关联型两阶段DEA模型[J]. 运筹与管理,2019,28(5):156-165.

[5] 赵玉林,谷军健. 中美制造业发展质量的测度与比较研究[J]. 数量经济技术经济研究,2018,35(12):116-133.

[6] HSIEH C T,KLENOW P J. Misallocation and manufacturing TFP in China and India[J]. The Quarterly Journal of Economics,2009,124(4):1403-1448.

[7] 韩晶. 中国区域绿色创新效率研究[J]. 财经问题研究,2012(11):130-137.

[8] 肖仁桥,丁娟. 我国企业绿色创新效率及其空间溢出效应:基于两阶段价值链视角[J]. 山西财经大学学报,2017,39(12):45-58.

[9] 吴旭晓. 中国区域绿色创新效率演进轨迹及形成机理研究[J]. 科技进步与对策,2019,36(23):36-43.

[10] LIU C Y,GAO X Y,MA W L,et al. Research on regional differences and influencing factors of green technology innovation efficiency of China's high-tech industry[J]. Journal of Computational and Applied Mathematics,2020,369:112597.

[11] 李燕萍,彭峰. 中国高技术产业环境技术效率及其影响因素研究[J]. 科技进步与对策,2013,30(22):65-70.

[12] BAI Y,SONG S Y ,JIAO J L,et al. The impacts of government R&D subsidies on green innovation:evidence from Chinese energy-intensive firms[J]. Journal of Cleaner Production,2019,233:819-829.

[13] 罗良文,梁圣蓉. 国际研发资本技术溢出对中国绿色创新效率的空间效应[J]. 经济管理,2017,39(3):21-33.

[14] 季熠. 金融资源错配问题研究综述[J]. 经营与管理,2015(8):109-111.

[15] BANERJEE A V,MOLL B. Why does misallocation persist[J]. American Economic Journal:Macroeconomics,2010,2(1):189-206.

[16] DIAS D A,ROBALO MARQUES C,RICHMOND C. Misallocation and productivity in the lead up to the Eurozone crisis[J]. Journal of Macroeconomics,2016,49:46-70.

[17] RYZHENKOV M. Resource misallocation and manufacturing productivity:the case of Ukraine[J]. Journal of Comparative Economics,2016,44(1):41-55.

[18] 袁志刚,解栋栋. 中国劳动力错配对TFP的影响分析[J]. 经济研究,2011,46(7):4-17.

[19] 文东伟. 资源错配、全要素生产率与中国制造业的增长潜力[J]. 经济学(季刊),2019,18(2):617-638.

[20] 吕承超,王志阁. 要素资源错配对企业创新的作用机制及实证检验:基于制造业上市公司的经验分析[J]. 系统工程理论与实践,2019,39(5):1137-1153.

[21] 张洁,唐洁. 资本错配、融资约束与企业研发投入:来自中国高新技术上市公司的经验证据[J]. 科技进步与对策,2019,36(20):103-111.

[22] JEFFERSON G H,BAI H M,GUAN X J,et al. R&D performance in Chinese industry[J]. Economics of Innovation and New Technology,2006,15(4-5):345-366.

[23] 戴魁早,刘友金. 要素市场扭曲、区域差异与R&D投入:来自中国高技术产业与门槛模型的经验证据[J]. 数量经济技术经济研究,2015,32(9):3-20.

[24] YANG Z B,SHAO S,LI C Y,et al. Alleviating the misallocation of R&D inputs in China's manufacturing sector:from the perspectives of factor-biased technological innovation and substitution elasticity[J]. Technological Forecasting and Social Change,2020,151:119878.

[25] 董直庆,胡晟明. 创新要素空间错配及其创新效率损失:模型分解与中国证据[J]. 华东师范大学学报(哲学社会科学版),2020,52(1):162-178,200.

[26] 余泳泽,张先轸. 要素禀赋、适宜性创新模式选择与全要素生产率提升[J]. 管理世界,2015,31(9):13-31,187.

[27] 李静,楠玉,刘霞辉. 中国经济稳增长难题:人力资本错配及其解决途径[J]. 经济研究,2017,52(3):18-31.

[28] 谷军健,赵玉林. 中国如何走出科技创新困境:基于科技创新与人力资本协同发展的新视角[J]. 科学学研究,2021,39(1):129-138.

[29] 孙早,许薛璐. 前沿技术差距与科学研究的创新效应:基础研究与应用研究谁扮演了更重要的角色[J]. 中国工业经济,2017,34(3):5-23.

[30] PERETTO P F,VALENTE S. Growth on a finite planet:resources,technology and population in the long Run[J]. Journal of Economic Growth,2015,20(3):305-331.

[31] 李静,楠玉. 人力资本错配下的决策:优先创新驱动还是优先产业升级[J]. 经济研究,2019,54(8):152-166.

[32] KAO C. Efficiency decomposition in network data envelopment analysis with slacks-based measures[J]. Omega,2014,45:1-6.

[33] 陈永伟,胡伟民. 价格扭曲、要素错配和效率损失:理论和应用[J]. 经济学(季刊),2011,10(4):1401-1422.

[34] 白俊红,刘宇英. 对外直接投资能否改善中国的资源错配[J]. 中国工业经济,2018,35(1):60-78.

[35] 季书涵,朱英明. 产业集聚的资源错配效应研究[J]. 数量经济技术经济研究,2017,34(4):57-73.

[36] 彭峰,周淑贞. 环境规制下本土技术转移与我国高技术产业创新效率[J]. 科技进步与对策,2017,34(22):115-119.

[37] 戴魁早,刘友金. 行业市场化进程与创新绩效:中国高技术产业的经验分析[J]. 数量经济技术经济研究,2013,30(9):37-54.

[38] 康鹏辉,茹少峰. 环境规制的绿色创新双边效应[J]. 中国人口·资源与环境,2020,30(10):93-104.

[39] FOGEL R W. A quantitative approach to the study of railroads in American economic growth:a report of some preliminary findings[J]. The Journal of Economic History,1962,22(2):163-197.

(责任编辑:陈 井)