The previous studies only focus on the whole innovation ecosystem, ignoring the correlation of the internal elements of the system, especially the lack of research on high-tech industries. Based on the new era background of building the new development paradigm, this paper focuses on the interior of the innovation ecosystem of high-tech industries and examines the relationship between innovation environment and innovation efficiency within the system from the perspective of open innovation. A comprehensive and scientific evaluation system of innovation efficiency index based on the perspective of innovation ecological environment is constructed. At the same time, the geospatial perspective is introduced to comprehensively investigate the correlation in between. Studying the influence mechanism of innovation ecological environment in high-tech industrial innovation system on innovation efficiency can provide theoretical support for the study of system operation mechanism, and at the same time provide solutions for better playing the overall role of the system, improving the development quality of high-tech industries, coping with the complex environment and risk challenges at home and abroad and realizing high-quality economic development.
Based on the input-output index data of 23 major cities in China from 2003 to 2018, this paper constructs a two-stage shared additional input correlation DEA model to quantitatively measure the innovation efficiency of China's high-tech industry innovation ecosystem and makes a comparative analysis from the perspectives of time, region and value chain. Based on the measurement results of innovation efficiency, this paper constructs an index system of influencing factors of innovation efficiency based on innovation ecological environment, establishes panel Tobit model and spatial Tobit model respectively to quantitatively analyze the influencing factors of overall and two-stage innovation efficiency, analyzes their spatial correlation through Moran'I index of each variable, comprehensively analyzes and compares the above two empirical methods, and sums up the empirical analysis results. Finally, based on the above conclusions and combined with the new era background, the paper puts forward some policy implications to improve the innovation efficiency of China's high-tech industry innovation ecosystem from the following aspects: laying out high-level innovation infrastructure, creating a good environment for innovation and entrepreneurship, strengthening the optimization and integration of regional high-tech industries, establishing a high-level collaborative innovation system, insisting on the combination of innovation and independent innovation, realizing a higher level of opening to the outside world, giving full play to the advantages of the new national system, realizing the synergy between government guidance and market leadership, paying attention to original innovation and application transformation of achievements, and promoting the coordinated development of industrial chain innovation chain.The findings are as follows. (1) The measurement results of innovation efficiency show that the overall innovation efficiency and innovation R&D efficiency of China's high-tech industry innovation ecosystem are at a medium level from 2004 to 2018, while the efficiency of achievement transformation is low. Among them, the change of overall innovation efficiency and achievement transformation efficiency is consistent-both show an M-shaped change trend, and the innovation R&D efficiency shows a W-shaped change. It can be seen that the efficiency of achievement transformation dominates the overall innovation efficiency. (2) The provinces with relatively high innovation efficiency in China's high-tech industry innovation ecosystem as a whole and in two stages are mainly concentrated in first-tier cities such as Beijing, Shanghai, and Guangdong, and coastal provinces such as Jiangsu, Zhejiang, and Shandong. In the four major regions of China, the overall stage efficiency shows a decreasing distribution trend from east to west. (3) By constructing the two-dimensional distribution map of innovation R&D efficiency and achievement transformation efficiency, it is found that the provinces that fall into areas with low innovation efficiency in a certain stage can improve their overall and two-stage efficiency through a breakthrough way of " shore up our weak spots"; however, for the areas with low efficiency in both stages, we can adopt the way of "making up for each other's weaknesses" to promote the path gradually. (4) The regression results of comprehensive panel Tobit and spatial Tobit show that spatial correlation significantly inhibits the improvement of innovation R&D efficiency of the high-tech industry innovation ecosystem, but it has a strong positive spatial spillover effect on achievement transformation efficiency, and the overall innovation efficiency is unbalanced in regions; Labor quality, market structure, and government support are the strong influencing factors to explain the overall efficiency. Per capita GDP, innovation infrastructure, and the level of opening to the outside world are the strong influencing factors to explain the efficiency of innovation R&D; Per capita GDP, innovative infrastructure, entrepreneurial environment, opening-up level, and market structure are the strong influencing factors in the stage of achievement transformation.
高技术产业是一国国际核心竞争力的体现,处于经济发展战略全局的主导地位。当前,在创新发展理念指引下,我国高技术产业及技术创新已实现跨越式发展,但原始创新能力不足、关键核心技术攻关仍未取得突破也是不争的事实,特别是当前新冠肺炎疫情全球蔓延、贸易保护主义抬头,导致产业链、供应链存在安全风险,给我国高技术产业发展带来了巨大挑战。党的十九届四中全会提出,“支持大中小企业和各类主体融通创新……形成各得其所、相互协同、相互支撑的良好创新生态系统”。因此,亟需在新发展格局下对高技术产业创新生态系统进行深入研究。
高技术产业创新生态系统创新活动以内部核心高技术企业为主,通过吸收外部资源,与系统内部其它企业、产学研机构、政府、中介平台等进行主体联动并有效整合资源,从而实现高技术产业核心关键技术突破和技术进步,最终将相关技术成果转化为新产品、市场份额等[1]。这种较高的创新效率可以使整个产业创新生态系统维持动态演化的高级自组织性、生态系统内部良好运转状态和抵御外部干扰的免疫性。由此可见,保持较高的创新效率是高技术产业创新生态系统管理的最终目标,通过选取合理的评价指标和可操作的数据,可客观反映其创新效率,实时监测创新效率变化,在此基础上进一步探讨创新效率的主要影响因素及作用机理,为中国高技术产业创新生态系统健康发展提供路径与依据。
本文立足于构建新发展格局的新时代背景,聚焦高技术产业创新生态系统内部,从开放式创新视角考察系统内部创新环境与创新效率之间的关系。在现有研究基础上,本文基于创新生态环境视角,构建较为全面、科学的创新效率评价指标体系,同时引入地理空间视角,全面考察两者的相关性。深入研究高技术产业创新生态系统内部创新生态环境对创新效率提升的影响机制,能够为系统运行机制研究提供理论支撑,同时为更好发挥系统整体作用,提升高技术产业发展质量,应对国内外复杂环境与风险挑战,实现经济高质量发展提供解决思路。以往研究往往仅关注创新生态系统整体,忽略了对系统内部各要素相关性的考察,尤其缺乏针对高技术产业的研究,因此本研究具有一定创新性。
Ander[2]明确给出创新生态系统的概念,认为创新生态系统是一种新范式,可整合生态系统中不同创新主体的创新成果并向客户提供最终解决方案;Jackson[3]认为,创新生态系统内复杂关系由特定组织或实体构成并以技术突破与创新为目的;张运生[4]认为,高技术企业创新生态系统是在全球范围内,以技术标准推广为耦合纽带形成知识异质、同生共存、共同进化的技术创新体系,在技术日新月异的今天,技术创新推动高技术企业和产业从单个竞争变成产业链之争,又不断升级为创新生态系统之争;李晓华[5]认为,高技术产业竞争实质上是产业生态系统的竞争,促进产业生态系统协调与完善,对培育和发展高技术产业具有十分重要的意义。
学界大多认为高技术产业创新生态系统内部以企业为中心,特别是拥有核心能力的企业,以平台提供者、服务提供者、客户和中介组织为主体[6-7],并认为系统内部结构可从静止平面和动态空间两种视角展开研究[8]。高技术产业创新生态系统平面结构可分为生产子系统、科研子系统、服务子系统和环境子系统[9]。高技术产业创新生态系统是一个复杂网络连接系统,并处于不断演化的动态过程中,而这一动态运行过程需要各构成要素发挥各自作用并相互联系而成,其空间网络层面结构可划分为创新核心层、创新主体层、创新辅助层和创新环境层[10] (见图1)。
图1 高技术产业创新生态系统空间网络结构模型
Fig.1 Spatial network structure model of high-tech industry innovation ecosystem
国内外学者大多采用DEA模型对高技术产业创新效率进行测算,如DEA-Malmquist[11-12]、一阶段DEA[13-14]、两阶段DEA[15-16]、三阶段DEA[17-18]、链式DEA[19-20]、共享DEA[21-22]、追加DEA[23]等。随着研究不断深入,学者们越来越关注创新的内部过程,开始深度探讨整体效率与不同阶段效率之间的关系、整体与不同阶段效率的变动趋势和地域差异,但大多仅对高技术产业技术创新效率进行测算,从产业创新生态系统角度测度产业技术创新的研究仍存在不足。现有关于高技术产业创新效率的研究鲜有将两阶段共享投入、追加投入和关联投入放在一起进行分析,事实上,在高技术产业技术创新过程中,上述3种投入的确同时存在,忽略这种情况是不符合现实的。学者们对创新阶段的划分以两阶段为主,即研发创新阶段和技术成果转化阶段,包含高技术产业通过研发形成技术,到运用技术生产新产品,最终形成销售量或市场份额的整个过程。
国内外对高技术产业创新效率影响因素的研究主要集中在创新生态环境、地理空间依赖等因素对高技术产业创新效率的影响机制上。
越来越多学者开始关注创新环境对高技术产业创新效率的影响[15,24],对创新环境的内涵逐步达成共识。已有研究普遍认为创新环境主要包括区域经济水平、创新基础设施、人才状况、金融环境、创新环境、市场环境、对外开放水平和政府支持等因素[25-26],创新环境可以通过优化区域创新资源、提高资源配置效率等方式提升高技术产业创新绩效。Vittoria & Lavadera[27]关注国家产业支持政策对高技术产业创新绩效的影响,认为良好的产业支持政策有利于降低创新活动的不确定性,提升创新主体效率;叶丹和黄庆华(2017)在测算高技术产业创新效率的基础上,进一步探讨创新基础设施、市场环境、劳动者素质、金融环境和创业水平对高技术产业创新效率的影响。
事实上,高技术产业创新效率受区域地理位置影响,具有空间相关性。Keller[28]以欧洲7国为样本,研究证实相邻地理位置区域存在知识溢出效应;刘和东和陈雷[29]基于静态与动态空间面板模型,对影响区域协同创新效率的关键要素进行实证分析,发现中国区域协同效率存在空间异质性,京津冀地区协同创新效率值显著高于其它地区。
综上可知,已有研究中,采用某个或几个创新环境因素对高技术产业创新效率进行测度的文献较多,但通过系统、全面构建指标体系,研究创新生态环境对高技术产业创新生态系统创新效率的文献较少;利用空间计量方法研究区域创新行为或效率的空间相关性和影响因素的文献较多,但将该方法与视角引入高技术产业创新生态系统创新效率影响因素研究的文献较少。针对以上不足,本文将高技术产业创新生态系统创新过程分为创新研发(第一阶段)和成果转化(第二阶段)两个阶段,同时考虑研发投入的两阶段共享、第二阶段追加投入以及第一阶段产出转化为第二阶段投入3种情况。首先,构建两阶段共享追加投入关联DEA模型和测量指标体系,对整体创新效率及两阶段创新效率从时间、空间视角进行对比分析;然后,综合考虑地理空间相关性及异质性因素,构建创新生态环境指标体系,全面分析创新生态环境对创新效率的空间影响机理;最后,提出促进创新效率提升的政策启示。
本文同时考虑两阶段关联、共享投入、追加投入3种情况,借鉴范德成和李胜楠[22]的数理模型,构建中国高技术产业创新生态系统两阶段共享追加投入关联DEA模型。本文研究框架如图2所示。
图2 高技术产业创新生态系统创新效率测算研究框架
Fig.2 Research framework for measuring innovation efficiency of high-tech industry innovation ecosystem
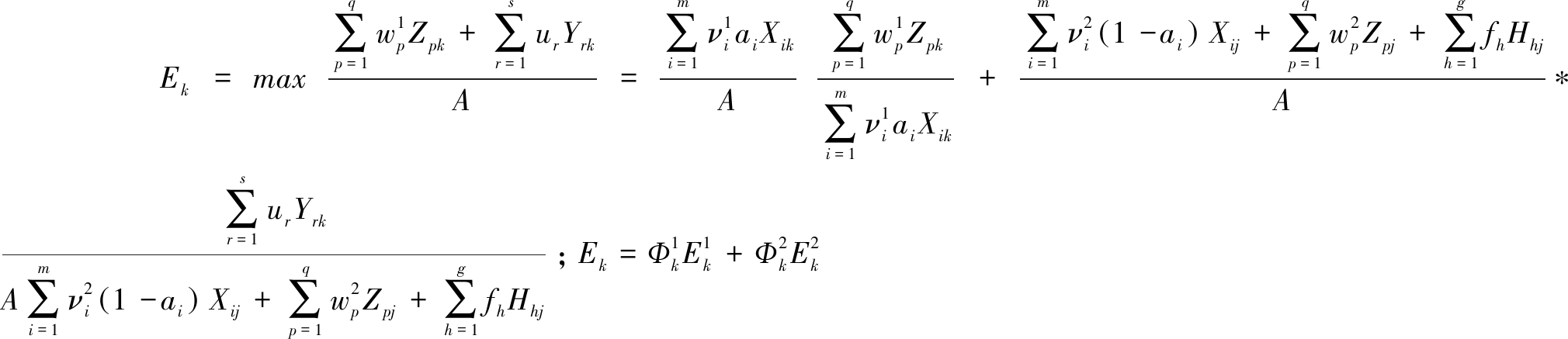
假设有n个决策单元DMU,对于任意决策单元DMUj(j=1,2,…,n),均有m个初始投入Xij(i=1,2,…,m),q个中间产出Zpj(p=1,2,…,q),g个追加投入Hhj(h=1,2,…,g)以及s个最终产出Yrj(r=1,2,…,s)。假设初始投入在两个阶段按照一定比例分配,分配比例设为ai(0<ai<1),则创新研发阶段初始投入为aiXij,成果转化阶段初始投入为(1-ai)Xij,初始投入在两阶段的权重分别为
中间产出Zpj在两阶段的投入权重用决策变量
表示,fh表示在成果转化阶段追加投入Hhj的权重,ur表示最终产出Yrj的权重。因此,第一阶段初始投入为
产出为
第二阶段投入为
产出为
最终DEA模型可表示为:

(1)
其中,
分别代表整体创新效率实现最大目标值时,第一阶段效率和第二阶段效率各自权重,且
式(1)说明整体创新效率是两阶段创新效率的线性组合。
本文选取R&D人员全时当量、R&D经费内部支出和新增固定资产作为创新研发阶段的投入指标,选取专利申请数和新产品开发项目数作为创新研发阶段的产出指标[30],具体指标体系构建如表1所示。
表1 两阶段共享追加投入关联DEA模型指标体系
Tab.1 The index system of the two-stage shared input network DEA model
阶段指标指标衡量指标描述单位创新研发按阶段研发投入(部分)研发人员(部分)R&D人员全时当量人年研发资本(部分)R&D内部经费支出万元固定资产(部分)新增固定资产万元研发产出(中间产出)(滞后1年)专利专利申请数件新产品开发项目新产品开发项目数项成果转化阶段成果转化投入研发投入(部分)R&D人员全时当量R&D内部经费支出新增固定资产人年万元万元中间产出专利申请数新产品开发项目数件项非研发投入技术引进经费、消化吸收经费、购买国内技术经费和技术改造经费四项之和万元成果转化产出(滞后1年)销售额新产品销售额万元出口额出口额万元
资料来源:作者整理
本文原始数据均来源于2005—2019年《中国高技术产业统计年鉴》,选取中国内地23个省市(由于海南、内蒙古、青海、新疆、宁夏、西藏、云南、甘肃数据缺失较多,不易补齐或补齐后真实性存疑,并且这些地区高技术产业占比较低,因此本文将以上地区剔除)高技术产业为研究对象,这23个省市高技术产业占全国高技术产业总产值的95%以上。
本文借鉴相关研究[31-32],将研发资本折旧率δ设定为15%,将R&D价格指数设定为45%的固定资产价格指数与55%的消费价格指数加权平均,对R&D经费进行平减(以2004年为基期),折算成实际R&D经费支出值。本文对缺失数据采用内插法和外推法进行处理,采用工业价格缩减指数(以2004年为基期)对相关指标(如新产品销售收入、出口额)进行指数平减处理,并对每个阶段的产出作1年滞后处理。
采用MATLAB软件对DEA模型进行编程运算,计算并整理出区域和时间维度高技术产业创新生态系统整体及各子阶段创新效率,结果如表2、表3所示。
表2 中国高技术产业创新生态系统各省市创新效率均值
Tab.2 Average value of innovation efficiency of provinces and cities in China's high-tech industrial innovation ecosystem
地区省域EkE1kE2k地区省域EkE1kE2k北京0.86 0.69 0.75 东北地区辽宁0.44 0.39 0.30 天津0.97 0.54 0.97 吉林0.48 0.63 0.17 河北0.36 0.46 0.15 黑龙江0.31 0.38 0.09 上海0.63 0.68 0.50 中部地区山西0.56 0.60 0.20 江苏0.66 0.66 0.59 安徽0.56 0.55 0.32 浙江0.58 0.64 0.38 江西0.42 0.48 0.23 福建0.87 0.41 0.87 河南0.62 0.49 0.44 山东0.57 0.57 0.41 湖北0.43 0.54 0.27 广东0.82 0.70 0.75 湖南0.50 0.44 0.39 西部地区广西0.51 0.47 0.11 均值东部0.700.780.60重庆0.70 0.59 0.48 东北0.410.370.19四川0.53 0.54 0.16 中部0.510.470.31贵州0.51 0.44 0.11 西部0.520.380.20陕西0.34 0.54 0.13 全国0.570.500.38
将表3中2004—2018年整体及各子阶段创新效率结果绘制成折线图(见图3)。总体来看,整体与成果转化阶段效率趋势较为一致,均呈M型变化,而创新研发阶段呈W型变化,且2007—2013年成果转化阶段创新效率均高于创新研发阶段。具体来看,创新研发阶段平均创新效率仅为0.50,经历从高到低,再从低到高的过程:2004—2009年呈现出先下降后上升的状态,2012—2014年达到最高点,随后呈现下降趋势。成果转化阶段平均创新效率仅为0.38,经历从高到低,再从低到高的过程,且在2010—2012年达到最高点,近几年呈现上升趋势。
图3 中国高技术产业创新生态系统整体及各子阶段创新效率变化情况
Fig.3 The change of innovation efficiency of China's high-tech industry innovation ecosystem as a whole and at each sub-stage
表3 中国高技术产业创新生态系统各子阶段创新效率均值
Tab.3 The average value of innovation efficiency in each sub-stage of China's high-tech industry innovation ecosystem
子阶段EkE1kE2k2004—20060.500.620.192005—20070.490.560.192006—20080.500.520.242007—20090.690.530.622008—20100.670.500.522009—20110.630.610.562010—20120.720.500.652011—20130.550.480.382012—20140.580.600.352013—20150.590.540.402014—20160.620.460.452015—20170.620.550.442016—20180.630.500.49均值0.580.500.38
由表4可知,创新研发阶段效率处于(0.6,1]与(0.5,0.6]区间的省市分别有6个和7个,占总数的56.5%。北京、上海、江苏、浙江、广东等创新研发效率相对较高的省市,往往在经济基础、高校与科研教育水平、创新氛围等方面实力雄厚。成果转化阶段创新效率处于(0.5,0.8]与(0.3,0.5]区间的省市分别有11个和10个,占总数的91.3%。天津成果转化效率最高,达0.97,可能是因为天津位于沿海,具有高技术产业出口优势,开放程度较高。河北虽毗邻京津,但成果转化效率最低,仅为0.15,主要原因可能是,大量人才被京津地区吸引,造成人才流失、资源匮乏,形成“虹吸现象”。这说明中国高技术产业创新生态系统创新效率受空间地理位置影响。
表4 创新研发与成果转化阶段创新效率区间区域分布情况
Tab.4 Regional distribution of innovation efficiency in the stage of innovation R&D and achievement transformation
阶段效率范围创新研发阶段(0.6,1]北京,上海,江苏,浙江,广东,山西(0.5,0.6]天津,山东, 重庆,四川,陕西,安徽,湖北(0,0.5]河北,福建,辽宁,黑龙江,江西,河南,湖南,广西,贵州成果转化阶段(0.8,1]天津(0.5,0.8]北京,江苏,福建,广东,吉林,山西,安徽,湖北,重庆,四川,陕西(0.3,0.5]上海,浙江,山东,辽宁,黑龙江,江西,河南,湖南,广西,贵州(0,0.3]河北
图4直观展示了整体创新效率的区域分布情况。东部地区整体及各子阶段创新效率显著高于其它3个区域和全国平均值,是创新研发和成果转化效率兼优的区域。东部地区省市经济发达、交通便利、资金与人才集中,成为中国高技术产业发展的前沿地带与技术密集地带。由此可见,高技术产业创新生态系统创新效率与其所在系统内创新生态环境息息相关。中部地区整体及各子阶段创新效率基本接近全国均值,西部地区和东北地区整体及各子阶段创新效率均低于全国均值,这也与其所在生态系统内创新生态环境较差有关。从整个区域分布看,中国高技术产业创新生态系统整体创新效率呈现东、中、西部地区依次递减的分布态势。
图4 区域视角下中国高技术产业创新生态系统整体创新效率空间分布态势
Fig. 4 Spatial distribution of overall innovation efficiency in China's high-tech industry innovation ecosystem from a regional perspective
本文以样本期整体及各子阶段创新效率为被解释变量,以创新生态环境因素为解释变量,利用空间Tobit模型揭示创新生态环境因素对创新效率的空间影响机理。具体衡量指标如表5所示。
表5 中国高技术产业创新生态系统创新生态环境主要影响因素及衡量指标
Tab.5 Standardized regression coefficient results of four types of technology entrepreneurs
指标层面影响因素衡量指标X1经济环境(pgdp)人均GDP(万元)X2创新基础设施(infra) 互联网普及率(%)国家大学科技园(个)公共图书馆数量(个)人均拥有公共图书馆藏量(册/人)科技馆数量(个)创新生态环境X3劳动力素质(labor)科研人员占总就业人口比重(%)大专及以上学人员占总人口比重(%)X4金融环境(fin)科技活动经费中来自金融机构资金比重(%)X5创业环境(entre)高技术企业数量(个)国家级科技企业孵化器(个)X6开放水平(open)进出口总额占总GDP比重(%)国外技术引进合同数(项)国外技术引进合同额(万元)X7市场结构(stru)高技术产业大型和中型企业主营业务收入与总体主营业务收入之比(%)X8政府支持(gov)科技活动经费中政府资金比例(%)
资料来源:作者整理
本文原始数据来源于2005—2019年《中国统计年鉴》《中国火炬统计年鉴》《中国科技统计年鉴》《中国高技术产业统计年鉴》《中国区域创新能力报告》以及各省市统计年鉴。参考相关文献,利用SPSS26.0软件对代表劳动力素质、创新基础设施、创业环境和开放水平等影响因素的指标进行主成分分析,在进行主成分分析之前,为消除指标间量纲的影响,需要对指标数据进行标准化或无量纲化处理,令a=0.9,运用功效系数法对上述具体指标的实际数据进行标准化处理,并对相关指标进行价格平减处理(以2004年为基期)。
本文利用空间Tobit计量模型对创新效率进行实证分析,包括空间滞后Tobit模型(SAR Tobit)和空间误差Tobit模型(SEM Tobit)。
SAR-Tobit模型设为:
![]()
![]()
(2)
SEM-Tobit模型设为:
ui,t=λWui,t+ε
(3)
Ei,t代表第i地区第t年的高技术产业创新生态系统创新效率值,
代表效率值的潜变量,pgdpi,t、fini,t、entrei,t、strui,t、labori,t、infrai,t、openi,t、govi,t分别表示第i地区第t年的经济环境、金融环境、创业环境、市场结构、劳动力素质、创新基础设施、对外开放水平和政府支持。β1~β8为待估系数,W表示空间权重矩阵,ρ为空间相关系数,εi,t为随机扰动项。
4.4.1 空间相关性分析
本文选择空间矩阵——Queen相邻,采用GeoDa软件生成空间权重矩阵,然后运用Stata软件对整体及各子阶段创新效率的Moran's I进行测算,并验证其显著性,以考察区域间创新效率是否存在空间相关性。结果显示,2004—2018年,影响中国高技术产业创新生态系统创新效率的各主要变量在整体及各子阶段的Moran's I均大于0,其对应的z值均在1%的显著性水平下通过检验。各主要变量的Moran's I均为正且接近1,说明区域创新效率呈强正相关性,创新行为在空间分布上呈集中态势,空间创新效率值趋于系统化。这说明相邻地理空间存在知识溢出效应,即频繁交流与紧密合作能够使相邻区域间产生知识溢出和极化效应,促进各区域高技术产业创新生态系统形成与发展。通过比较Lm-lag、Lm-error、Robust Lm-error和Robust Lm-lagr统计量的显著性发现,整体创新阶段、创新研发阶段和成果转化阶段均适合采用空间SEM-Tobit模型设定(见表6)。
表6 空间相关性检验结果
Tab.6 Test results of spatial correlation
阶段TestStatistic整体创新阶段Lm-error91.376∗∗∗Robust Lm-error60.811∗∗∗Lm-lag33.055∗∗∗Robust Lm-lagr2.490创新研发阶段Lm-error46.931∗∗∗Robust Lm-error12.036∗∗Lm-lag38.190∗∗∗Robust Lm-lagr3.295∗成果转化阶段Lm-error71.542∗∗∗Robust Lm-error45.184∗∗∗Lm-lag27.899∗∗∗Robust Lm-lagr1.540
4.4.2 创新生态环境因素影响结果及分析
从空间邻近性看,在创新研发阶段,空间误差模型的影响系数为-0.018 1且在1%的显著性水平下通过检验,说明空间邻近性对创新研发阶段效率具有显著负向作用,这可能是因为邻近省市高技术产业同质化现象较为严重,导致技术、人才、资金等资源竞争激烈,影响区域创新研发效率提升;成果转化阶段空间误差模型的影响系数显著为正,说明邻近省市成果转化效率具有较高的正空间相关性;整体创新效率的空间误差模型影响系数并不显著,说明整体创新效率的区域不平衡性依然存在。
表7为中国高技术产业创新生态系统创新效率影响因素分析结果。从具体指标看,人均GDP对整体创新效率具有显著促进作用,这与常识认知及经典经济增长理论的判断相符,整体经济水平提高会扩大市场需求,这种市场潜力会加快企业成果转化,促进新产品商业化、产业化。劳动力素质对整体及两阶段创新效率均具有负向作用,且在整体和成果转化阶段较为显著,说明一味提高研发人员比例,可能会造成非关键人才冗余,抑制企业自身研发能力。创新基础设施对所有阶段创新效率均具有正向显著作用,而金融环境则均不显著。创业环境对整体和成果转化阶段创新效率的影响为正,但在研发创新阶段的影响为负,且在各子阶段均显著。对外开放水平对研发创新阶段效率的影响显著为正,而在成果转化阶段显著为负。市场结构对整体和成果转化阶段创新效率具有显著正向影响,而在创新研发阶段不显著。政府支持对所有阶段创新效率均具有显著负向作用,说明政府研发资金投入比例过大可能产生挤出效应,不利于创新效率提升。
表7 中国高技术产业创新生态系统创新效率影响因素分析结果
Tab.7 Analysis results of influencing factors of innovation efficiency in China's high-tech industry innovation ecosystem
影响因素整体创新阶段创新研发阶段成果转化阶段β00.745 71.786 90.205 4(0.000)∗∗∗(0.000)∗∗∗(0.038)∗∗pgdp0.507 8-0.232 70.194 6(0.036)∗∗(0.000)∗∗∗(0.000)∗∗∗labor-0.051 2-0.054 2-0.047 6(0.011)∗∗(0.055)∗(0.112)infra0.167 80.124 90.141 6(0.001)∗∗(0.073)∗(0.022)∗∗fin0.039 8-0.004 40.023 3(0.820)(0.817)(0.271)entre0.156 4-0.309 00.369 8(0.128)(0.063)∗(0.038)∗∗open-0.032 50.328 2-0.265 5(0.667)(0.000)∗∗∗(0.026)∗∗stru0.175 40.084 80.275 1(0.008)∗∗(0.372)(0.006)∗∗gov-0.421 7-0.385 9-0.300 8(0.000)∗∗∗(0.000)∗∗∗(0.001)∗∗∗λ0.085 6-0.018 1∗∗0.081 0∗∗∗Adj R20.334 30.315 50.484 4Log-likelihood106.9727.96-43.19
注:***p<0.001,**p<0.05,*p<0.1,下同
为保证前述回归结果的可靠性,本文采用不同形式的空间权重矩阵——地理距离进行稳健性检验,回归结果如表8所示。
表8 中国高技术产业创新生态系统整体创新效率影响因素分析结果
Tab.8 Analysis results of influencing factors of overall innovation efficiency of China's high-tech industry innovation ecosystem
影响因素整体创新阶段创新研发阶段成果转化阶段β00.556 71.786 90.205 4(0.000)∗∗∗(0.000)∗∗∗(0.038)∗∗pgdp0.610 0-0.232 70.194 6(0.130)(0.000)∗∗∗(0.000)∗∗∗labor-0.053 4-0.054 2-0.047 6(0.007)∗∗(0.055)∗(0.112)infra0.66720.12490.1416(0.000)∗∗∗(0.073)∗(0.022)∗∗fin-0.005 3-0.004 40.023 3(0.711)(0.817)(0.271)entre0.043 0-0.309 00.369 8(0.310)(0.063)∗(0.038)∗∗open0.020 70.328 2-0.265 5(0.626)(0.000)∗∗∗(0.026)∗∗stru0.175 60.084 80.275 1(0.008)∗∗(0.372)(0.006)∗∗gov-0.413 5-0.385 9-0.300 8(0.000)∗∗∗(0.000)∗∗∗(0.001)∗∗∗λ0.576 2-0.842 6∗∗∗0.950 4∗∗Adj-R20.548 20.315 00.483 8Log likelihood106.9717.96-58.27
对比两种不同空间权重矩阵下的SEM-Tobit回归分析结果发现,各解释变量的显著性及系数符号均无重大变化,两种方法的回归结果基本一致,因此可以判断以上回归结果较为稳健。
本文探讨创新生态环境因素对中国高技术产业创新生态系统创新效率的影响机理和空间相关性,以2004—2018年中国内地23个省市为研究对象,测量其整体及各子阶段创新效率并从时间和空间维度进行对比分析。结果表明,创新生态环境与中国高技术产业创新生态系统创新效率在空间上具有强正向相关性,说明相邻地区间高技术产业紧密合作能够有效提升其创新效率;创新生态环境中劳动力素质、市场结构和政府支持是解释整体创新效率的强影响因素,其中,劳动力素质和政府支持的影响效果均为负,而市场结构具有正向影响;人均GDP、创新基础设施和对外开放水平是解释创新研发阶段效率的强影响因素,其中,人均GDP为负向影响,创新基础设施和对外开放水平为正向影响;人均GDP、创新基础设施、创业环境、对外开放水平和市场结构是成果转化阶段创新效率的强影响因素,其中,外开放程度为负向影响,其余均对成果转化效率具有正向促进作用。
基于以上结论,从创新基础设施、空间区域相关性、对外开放水平、市场及政府支持等显著影响因素着手,考虑整体及各子阶段创新效率测算结果的特点,提高创新研发阶段的原始创新能力和成果转化阶段的成果应用转化能力,并结合当前构建国内国际双循环新发展格局、加快实现科技自立自强、迈向高质量发展阶段的新时代背景,提出提升中国高技术产业创新生态系统创新效率的政策建议。
(1)布局高水平创新基础设施,营造良好的创新创业环境。5G、人工智能等新兴技术将主导高技术产业创新生态系统发展,布局高水平创新基础设施是推动形成高技术产业创新生态系统创新能力的迫切需要。因此,应致力于布局前沿性基础科学领域,着力推动科技成果转化及产业化,打造具有全球影响力的科技创新中心,特别是加强高技术产业创新生态系统平台基础设施建设,营造良好的创新创业环境氛围,为高技术企业,特别是中小企业发展提供便利,从而建立中国高技术产业创新生态系统加速发展机制。
(2)加强区域高技术产业优化整合,建立高水平协同创新体系。目前,我国东、中、西及东北四大区域高技术产业创新生态系统创新能力显著提升,京津冀、长三角、粤港澳大湾区等重点城市群高技术产业协同创新体系建设稳步推进,但区域发展不平衡问题仍存在,南北创新能力差异明显,并且这种不平衡和差异仍在日益扩大。因此,应着力建立高水平区域间高技术产业协同创新体系,促进区域高技术产业创新生态系统优化整合,加强区域间及区域内部高技术产业创新生态系统创新合作平台建设。
(3)坚持引进与自主创新结合,推进更高层次对外开放。利用好国内国际两种创新资源、两个创新市场,充分利用全球创新资源对提升中国高技术产业创新生态系统创新能力十分关键,但同时应注意正确处理科技创新自立自强与引进、消化、吸收外部创新之间的关系。如中国高铁在自主创新基础上积累了优秀的专业人才与本土技术能力,并在引进、消化、吸收国外先进技术基础上形成高铁先进技术的突破与赶超。
(4)发挥新型举国体制优势,实现政府引导与市场主导协同发挥作用,新型举国体制的核心要义就是要发挥好政府引导、市场主导、社会协同三者的作用。因此,政府与市场之间应形成合理分工的合作关系。政府要在战略规划、顶层设计、政策引导等方面发挥重要作用,在涉及国家发展与安全的高技术产业领域发挥集中力量办大事的制度优势,促进各类创新资源集聚并形成协同创新;在科技创新与资源配置中发挥市场的决定性作用,突出企业主体地位。
(5)注重原始创新和成果应用转化,推动产业链、创新链协同发展。在构建新发展格局的新时代背景下,提升中国高技术产业科技创新能力比以往任何时候都更为紧迫。应通过优化科技投入结构,加大基础研究投入,完善重大科技项目组织管理机制等措施,促进原始创新和科技成果应用转化,实现更多“从0到1”的突破。营造良好的创新环境,不断优化高技术企业,特别是中小企业创新生态环境,加快科技成果应用转化,提升高技术企业技术创新能力。补齐产业链、供应链短板,促进产业链、供应链多元化,培育战略性新兴产业,铸造产业链、供应链长板,巩固提升优势产业国际领先地位,锻造一部分“杀手锏”技术,扩大高铁、通讯设备等领域全产业链优势。
[1] 方莹莹,刘戒骄.开放式创新与产业生态系统的构建:基于多数据库的Cite Space文献计量分析[J].经济学家,2020,32(9):53-63.
[2] ADNER R.Match your innovation strategy to your innovation ecosystem[J].Harvard Business Review,2006,84(4):98-107.
[3] JACKSON D J.What is an innovation ecosystem[EB/OL].(2012-11-28) [2020-12-24].www.ercassoc.org/docs/innovation_ecosystem.
[4] 张运生.高科技企业创新生态系统技术标准许可定价研究[J].中国软科学,2010,25(9):140-147,172.
[5] 李晓华,刘峰.产业生态系统与战略性新兴产业发展[J].中国工业经济,2013,30(3):20-32.
[6] MOORE J F.Predators and prey: a new ecology of competition[J].Harvard Business Review,1993,71(3):75-86.
[7] CHRISTOPH R.A framework for analyzing service ecosystem capabilities to innovate[C]//Verona: Proceedings of the 17th European Conference on Information Systems, 2009.
[8] 杨忠直.企业生态学引论[M].北京:科学出版社,2003.
[9] 方莹莹,刘戒骄.从开放式协同创新看中国芯片产业生态圈营造[J].产经评论,2018,9(6):104-115.
[10] 王纯旭.产业技术创新生态系统运行研究[M].北京:人民日报出版社,2018.
[11] CHEN C J,WU H L,LIN B W.Evaluating the development of high-tech industries: Taiwan,China science park[J].Technological Forecasting and Social Change,2006,73(4):452-465.
[12] 苏屹,林周周.区域创新活动的空间效应及影响因素研究[J].数量经济技术经济研究,2017,34(11):63-80.
[13] CHARNES A,COOPER W W,RHODES E.Measuring the efficiency of decision making units[J].European Journal of Operational Research,1978,2(6):429-444.
[14] BANKER R D,CHARNES A,COOPER W W.Some models for estimating technical and scale inefficiencies in data envelopment analysis[J].Management Science,1984,30(9):1078-1092.
[15] KAO C A,HWANG S N.Efficiency decomposition in two-stage data envelopment analysis:an application to non-life insurance companies in Taiwan[J].European Journal of Operational Research,2008,185(1):418-429.
[16] GUAN J C,CHEN K H.Measuring the innovation production process:across-region empirical study of China's high-tech innovations[J].Technovation,2010,30(5-6):348-358.
[17] 刘树林,姜新蓬,余谦.中国高技术产业技术创新三阶段特征及其演变[J].数量经济技术经济研究,2015,32(7):104-116.
[18] 王黎萤,王佳敏,虞微佳.区域专利密集型产业创新效率评价及提升路径研究-以浙江省为例[J].科研管理,2017,38(3):29-37.
[19] 龚光明,单虹.基于动态网络DEA的中国高技术企业创新效率研究[J].科学管理研究,2015,33(1):60-63.
[20] 宇文晶,马丽华,李海霞.基于两阶段串联DEA的区域高技术产业创新效率及影响因素研究[J].研究与发展管理,2015,27(3):137-146.
[21] 叶锐,杨建飞,常云昆.中国省际高技术产业效率测度与分解:基于共享投入关联DEA模型[J].数量经济技术经济研究,2012,29(7):3-17,91.
[22] 范德成,李盛楠.区域高技术产业技术创新效率测度与提升路径研究:基于共享投入关联型两阶段DEA模型[J].运筹与管理,2019,28(5):156-165.
[23] 冯锋,马雷,张雷勇.两阶段链视角下我国科技投入产出链效率研究:基于高技术产业17个子行业数据[J].科学学与科学技术管理,2011,32(10):21-26,34.
[24] 智瑞芝,林永然.基于DEA-AHP的浙江省高技术产业创新效率评价及影响因素研究[J].浙江理工大学学报,2015,34(12):474-482.
[25] CIOMPI L,HOFFMANN H.Soteria Berne:an innovative milieu therapeutic approach to acute schizophrenia based on the concept of affect-logic[J].World Psychiatry,2004,3(3):140-146.
[26] TODTLING F,TRIPPL M.Knowledge links in high-technology industries:markets,networks or milieu? the case of the Vienna biotechnology cluster[J].International Journal of Entrepreneurship and Innovation Management,2007,7(2-5):345-365.
[27] VITTORIA M P,LUBRANO LAVADERA G.Knowledge networks and dynamic capabilities as the new regional policy milieu.a social network analysis of the Campania biotechnology community in southern Italy[J].Entrepreneurship & Regional Development,2014,26(7-8):594-618.
[28] KELLER W.International technology diffusion[J].Journal of Economic Literature,2004,42(3):752-782.
[29] 刘和东,陈雷.区域协同创新效率测度及其关键影响要素:基于静态与动态空间面板的实证分析[J].科技管理研究,2020,40(12):55-63.
[30] 余泳泽.我国高技术产业技术创新效率及其影响因素研究:基于价值链视角下的两阶段分析[J].经济科学,2009(4):62-74.
[31] GRILICHESZ.R&D and productivity[M].Chicago:University of Chicago Press,1998.
[32] FRANTZEN D.The causality between R&D and productivity in manufacturing:an international disaggregate panel data study[J].International Review of Applied Economics,2003,17(2):125-146.