Enterprises are the main body of innovation, and their innovation ability is closely related to the progress and quality of China's scientific and technological innovation system construction. This paper takes 873 listed companies in strategic emerging industries as the research object. At first, this study uses the DEA method and output-oriented DSBM model to measure the dynamic innovation efficiency of the whole and seven key industries in two stages. From the micro enterprise level, the paper proposes for the first time to take the growth of operating revenue, operating revenue and the growth rate of operating revenue as the innovation output in the transformation stage of technological achievements, measures and compares the corresponding innovation efficiency. The results show that it is more realistic to take the growth of operating revenue as the innovation output; the innovation efficiency of each industry is heterogeneous. Then, on the basis of the measurement results of innovation efficiency, this study further uses the Tobit model to analyze the factors that affect the innovation efficiency of enterprises. It is shown that in the stage of technology research and development, enterprise scale, ROA, R&D intensity, labor quality and enterprise nature have positive impacts on the innovation efficiency, but R&D personnel, R&D investment, enterprise age and government subsidies have negative impacts. While in the stage of technological achievement transformation, the authorized patent for invention, enterprise scale, ROA, R&D intensity and labor quality have a positive impact on innovation efficiency, while the total numbers of employees, R&D expenditure, enterprise age, government subsidies and enterprise type have negative impacts on innovation efficiency.
According to the research conclusions, it is essential to improve the innovation mode and stimulate the independent innovation ability of enterprises; the resource integration, growth and development of small and medium-sized enterprises should be greatly supported to improve their overall competitiveness; it is necessary to rationally plan and arrange innovation investment and increase the proportion of high-quality scientific and technological personnel; the government should strengthen supervision and guidance, and introduce preferential policies and measures; lastly, we should it is also significant to improve the system of independent intellectual property rights and build a joint system of industry, university and research.
This paper firstly analyzes the innovation efficiency and its influencing factors of listed companies in strategic emerging industries at the enterprise level by using micro data, enriching the research perspective of relevant literature. Second, different from the traditional static model based on input-oriented to measure the static innovation efficiency in the past, it uses the high-order dynamic model based on output-oriented after considering the output maximization when the innovation input is certain and the dynamic innovation efficiency of the carry-over activities in the connected periods. Finally, considering the lag of innovation output and the different stages of innovation activities, this study examines the innovation efficiency of enterprises using different innovation output indicators in different stages and its influencing factors, which deepens the understanding of the innovation efficiency of enterprises in strategic emerging industries and the factors affecting innovation efficiency.
创新是国家发展进步的不竭动力,中共十九届六中全会将坚持开拓创新作为中国共产党百年奋斗积累的宝贵历史经验之一。我国已经把自主创新贯彻到国家层面发展战略中,把创新驱动发展战略写入国策,将高水平科技自立自强作为国家发展的战略支撑。创新是驱动国家经济增长的重要因素[1],现阶段,中国经济发展进入新常态,必须加快培育创新型行业,提高科技创新发展的质量和效益,通过创新促进国家经济增长。企业是创新的主体,其创新能力与我国科技创新体系建设的进度与质量密切相关。
2010年10月18日,《国务院关于加快培育和发展战略性新兴产业的决定》首次提出以培育和发展战略性新兴产业作为国家重大战略,并指出到2030年,中国战略性新兴产业整体创新能力和产业发展要达到世界先进水平。作为基于重大技术突破和重大发展需求,对经济社会全局和长远发展有着重大引领带动作用的产业,战略性新兴产业具有科技含量高、市场潜力大、带动能力强、综合效益好等特征,是国民经济的支柱产业和先导产业,对中国经济发展具有非同寻常的战略意义。我国把高端装备制造、节能环保、生物、新能源、新能源汽车、新材料、新一代信息技术等作为现阶段重点发展的战略性新兴产业。目前,我国战略性新兴产业还处于初级发展阶段,在创新发展过程中,存在企业自主创新能力弱、整体创新效率偏低、成果转化能力不足、核心技术对外依存度高等诸多问题,对战略性新兴产业创新发展造成严重阻碍。
近年来,我国研发投入和研发规模不断扩大,研发支出总额连续多年稳居世界第二,2019年,全社会研发支出约2.2万亿元,占GDP比重为2.19%,科技进步贡献率为59.5%。但是,按照世界知识产权组织(WIPO)和《全球创新指数报告》的评估,2020年中国创新指数仅居世界第14位,与欧美发达国家差距较大。以上反差说明我国创新成果转化过程中存在问题,创新成果产出未能与创新投入成比例增加,创新效率偏低的问题亟待解决。创新效率代表创新投入与创新产出之间的有效转换率,是衡量企业自主创新能力的一个重要指标,能够反映技术创新水平。因此,为保证我国战略性新兴产业创新可持续发展,有必要打开“黑箱”,测度分析战略性新兴产业上市公司创新效率及其影响因素,对于深化技术创新效率研究和提高企业创新效率具有重要意义。
本文贡献主要体现在:第一,与现有大多数文献关注区域层面不同,本文利用微观数据,从企业层面分析战略性新兴产业上市公司创新效率及其影响因素,丰富了相关文献的研究视角。第二,以往研究主要采用投入导向的传统静态模型测算创新效率,本文运用产出导向的高阶动态模型,考虑创新投入一定情况下的产出最大化问题和连续时期结转活动的动态创新效率。第三,基于创新产出的滞后性,分别考察不同阶段使用不同创新产出指标的企业创新效率及其影响因素,深化对战略性新兴产业企业创新效率及其影响因素的认识,为提高战略性新兴产业上市公司创新效率提供参考。
纵观国内外研究,学术界关于战略性新兴产业创新效率测度的方法主要有两类:参数方法和非参数方法。其中,以Chames等[2]提出的数据包络分析(DEA)为代表的非参数方法应用最广,其次是以Aigner等[3]、Meeusen & Broeck[4]、Battese & Corra[5]提出的随机前沿分析(SFA)为代表的参数方法。非参数方法是数学规划方法,参数方法是计量经济学方法,二者都是最前沿的效率测量技术[6]。陈红玲[7]基于产业维度和区域维度,考虑资源环境因素,利用SBM方向性距离函数与GML指数,对2005—2014年中国战略性新兴产业的环境技术创新效率增长值进行测度;刘晖等[8]利用DEA模型,对中国内地28个省域的战略性新兴产业技术创新综合效率、纯技术效率和规模效率进行评估;黄海霞和张治河[9]基于DEA-Malmquist指数分解方法,对中国内地28个省域和三大区域战略性新兴产业的技术创新效率进行分析比较,发现纯技术效率对战略性新兴产业技术创新的影响最大,全要素生产率增长动力具有区域异质性;Wang等[10]以2009—2013年中国38家新能源企业为样本,基于新能源企业创新活动的研发过程和营销过程,采用数据包络分析方法构建研发效率、市场效率和集成创新效率测度指标体系;闫俊周和杨祎[11]采用BCC模型、超效率模型、回归模型等方法对2013—2015年中国战略性新兴产业的供给侧创新效率进行评价;李柏洲等[12]运用BCC模型、相似SFA模型测算战略性新兴产业研发和转化两阶段创新效率,发现我国战略性新兴产业整体创新效率不高,转化阶段的创新效率略高于研发阶段,而且产业间及产业内部存在异质性,外商投资与政府支持力度会抑制创新效率;闫俊周等[13]利用CCR模型对2012—2017年400家中国战略性新兴产业上市公司创新效率进行测算,发现政府补贴有助于战略性新兴产业创新效率提升,而金融支持不利于创新效率提升,金融支持在政府补贴与创新效率之间存在遮掩效应。
现有研究主要存在以下不足:第一,已有文献主要从区域或产业视角对战略性新兴产业创新效率展开研究,而企业作为创新主体,却鲜有文献从企业视角进行研究。第二,鲜有学者运用高阶动态DEA模型测算创新效率,通常使用传统静态DEA模型,如CCR模型和BCC模型。然而,企业创新活动是一个动态过程,在不同时期和不同阶段具有不同表现,若忽略创新效率随时间变化的动态演化过程,仅使用静态DEA模型测算,则无法准确评估连续时期战略性新兴产业上市公司的动态效率变化。为弥补上述不足,本文采用动态松弛变量测量方法(dynamic slacks-based measure approach,DSBM)测算战略性新兴产业上市公司动态创新效率。
传统测量方法仅孤立考察企业各个时期的效率,而忽略连续时期的结转活动。本文采用Tone & Tsutsui[14]提出的考虑自由结转变量延续性的DSBM模型,测度我国战略性新兴产业七大重点领域的873家上市公司动态创新效率。在此基础上,使用面板Tobit回归模型分析影响企业创新效率的因素。
2.1.1 考虑动态效率与自由结转变量的DSBM模型
长期持续运营的公司除有当期投入与产出项目外,还有从当期到下一期的结转项目[6]。战略性新兴产业创新过程中同样存在结转项目,使用传统DEA模型(CCR和BCC模型)会忽略结转项目,必然无法准确测算出创新效率水平。传统静态DEA模型忽视了连续时期的结转活动,在测算企业长期效率变化时存在缺陷,动态DEA(Dynamic SBM)模型则将结转活动纳入模型,可以更好地测算企业长期效率。本研究采用DSBM模型评估多个时期的效率,打破了传统DEA使用上的限制。此外,与假设投入与产出同比例变化的径向模型相比,DSBM模型是一种非径向动态DEA模型,假定允许投入、产出和结转变量非同比例变化,可以准确测算一段时期内具体每期的企业效率,比传统静态DEA方法更准确。因此,本文使用DSBM模型测算战略性新兴产业上市公司创新效率,更符合现实情况。
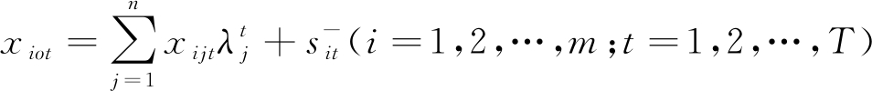
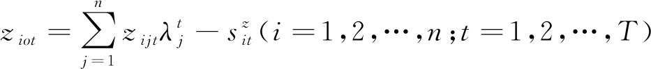
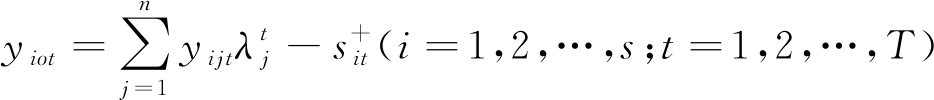
根据Tone & Tsutsui[14]提出的DSBM模型,以结转活动(carry-over activities)作为连结,假设动态创新过程有n个决策单元DMUj(j=1,2,…,n)跨越T个期间(t=1,2,…,T),在t期每个决策单元DMUj均有投入与产出,通过结转连结到下一期(t+1),每期共有m种投入(i=1,2,…,m)、p种中间产出(i=1,2,…,p)和s种最终产出(i=1,2,…,s)。xijt表示决策单元DMUj在第t期的投入要素,zijt表示决策单元DMUj在第t期的中间产出,yijt表示决策单元DMUj在第t期的最终产出。考虑相邻期间的结转变量,分析战略性新兴产业动态创新效率,选择基于规模报酬可变假设与产出导向的DSBM模型。
定义整体效率为
计算公式如下:
![]()
(1)
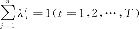
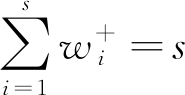
式(1)受如下方程约束:
![]()
(2)
![]()
(3)
![]()
(4)
其中,式(2)为 t与t+1的连接方程式;λ表示权重,s表示投入和产出的松弛变量,
分别表示投入冗余、产出不足和中间产出不足,
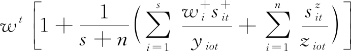
表示产出权重且满足![]()
整体效率是每期效率的加权平均数,每期效率可以通过最终产出和中间产出的松弛变量得出。由于效率值是介于0~1之间的比率,因此使用倒数定义效率,当松弛变量为0时,效率值是1。计算以上模型的最优解,得到每期效率![]()
(t=1,2,…,T)
(5)
整体效率
是每期效率
的加权调和平均值,满足:
![]()
(6)
如果每期效率
那么决策单元DMUo每期产出有效率;如果整体效率
那么决策单元DMUo整体产出有效率。当且仅当每期效率
时,整体效率
表示整体产出有效率时,所有时期产出都必须是有效率的。
2.1.2 Tobit模型
由于DEA方法测算出的效率值在[0,1]区间,需要分析的数据具有如下特点:因变量为受到某种限制的受限因变量,其数值是截断或者切割数据。若使用最小二乘法估计包含截尾数据的模型,则参数会产生偏差,且估计量不一致。因此,采取Tobit模型对此类受限数据模型进行估计。
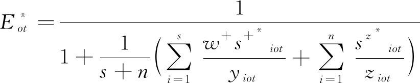
为揭示影响企业创新效率的因素及影响程度,在创新效率测度基础上,本文采用Tobit模型进行进一步分析。定义因变量创新效率为E*,则Tobit模型为:
E*=β'xi+μi
![]()
(7)
式中,
是潜在因变量,大于0时被观察到,取值为Ei,小于等于0时在0处截尾。β是估计参数,xi是自变量,μi是误差项,独立且服从正态分布:μi~N(0,σ2)。该模型也可以简化为:
E=max(0,β'xi+μi)(i=1,2,…,n)
(8)
本文采用不同变量进行Tobit模型测算,以分析不同因素对创新效率的影响。
2.2.1 变量选择
(1)DSBM模型变量选择。借鉴严太华等[15]的研究,本文利用产出导向与规模报酬可变条件下的DSBM模型测算战略性新兴产业动态创新效率。本文在两阶段都选择DSBM-O-V模型,SBM是基于松弛变量的模型,比原始的BCC、CCR模型更优化,DSBM模型是以SBM模型为基础的动态模型,能够反映多阶段企业创新效率动态变化情况。一方面,创新两阶段的产出最大化比投入最小化更受关注,因而本文选择以产出为导向的模型(Output-oriented,缩写为O)。有学者选择以投入为导向的模型[16-18],因为该模型假定资源是稀缺的,能够解决投入最小化的问题,而产出导向模型可解决投入一定情况下产出最大化的问题。我国研发支出总量高居全球第二,企业创新活动以研发成果和经济利益最大化为主要目标,因此本文选择以产出为导向的模型。另一方面,本文选择规模报酬可变(Variable returns-to-scale,缩写为V)相对而言更加合理,测算出的效率是综合效率。
战略性新兴产业上市公司创新是一个多投入、多产出的动态复杂过程。本文将技术创新过程分为两个阶段,第一阶段是技术研发阶段,主要通过投入研发资源创造新技术,通常以专利形式作为该阶段产出衡量指标;第二阶段是技术成果转化阶段,是技术性产出转化为收益性产出和竞争性产出的过程,是一种商业化、产业化过程。
技术研发阶段的研发资源投入通常包括人员投入和资本投入,文献中一般以研发人员投入和研发经费支出表征研发创新投入[19],本文选取研发人员数量作为人员投入,研发资金投入作为资本投入。专利与技术创新关系密切,是测量技术创新产出的可靠指标,衡量标准客观、数据易于获得,主要以专利形式体现[20-22]。在专利类型方面,发明专利技术含量高,能够客观衡量创新能力与科技综合实力[23]。参考亚琨等(2022)的方法,本文选取发明专利作为技术研发阶段的产出指标,同时作为创新全过程的中间产出,即技术成果转化阶段的投入指标。
技术成果转化阶段是科技成果产业化产生收益的时期,只有把专利转化成产品,并且获得经济效益和价值增值,才能实现创新从技术研发到商品化的全过程。现有文献大多基于区域层面测算创新效率,通常选取新产品销售收入作为衡量新产品产值的指标[24]。在企业层面,由于部分上市公司没有公开披露新产品销售收入数据,对企业创新效率的衡量尚未形成权威、统一的指标体系。企业最基本的经营活动成果表现为主营业务收入和营业利润[25-27]。郑威和陆远权(2022)采用主营业务收入和新产品销售收入衡量成果转化阶段的创新产出。在创新投入方面,本文选取员工总数作为人员投入,研发支出作为资本投入,发明专利数作为技术投入。在创新产出方面,本文认为营业收入比主营业务收入更能真实反映创新产品的经济效益,因为新产品尚未替代老产品成为主营产品时,新产品收益可能不会被企业划分为主营业务收入,因而使用营业收入替代主营业务收入测算创新效率更为合适。本文分别以营业收入、营业收入增长额、营业收入增长率作为创新产出指标,测算企业创新效率,并比较3种情况下的创新效率值,以期选出较为合理的指标。本文首先以营业收入增长额衡量企业创新产出,在之后的创新效率测算中,选取营业收入、营业收入增长率作为替代性产出指标进行比较分析。
根据上述对战略性新兴产业技术创新的分析,本文构建测算企业两阶段创新效率的指标体系,如表1所示。
表1 两阶段投入产出变量
Tab.1 Two-stage input-output variables
技术创新阶段变量类型变量符号 变量定义第一阶段:技术研发阶段投入变量 研发人员(人)Per研发人员取对数研发投入(元)Inv研发投入取对数产出变量发明专利数(项)Pat发明专利数加1取对数第二阶段:成果转化阶段投入变量员工总数(人)Emp员工总数取对数研发支出(元)Expe研发支出取对数发明专利数(项)Pat发明专利数加1取对数产出变量营业收入增长额(元)Inc营业收入增长额=当年营业收入总额-上年营业收入总额
(2)Tobit模型变量选择。面板数据Tobit回归模型设定为:

(9)
其中,第一阶段和第二阶段的Tobit模型分别为:
![]()
(10)
![]()
(11)
式中,Eit*为因变量,表示企业创新效率值,i代表企业,t代表时间,α为参数,ε为误差项。以各类创新效率影响因素为自变量,参考李雪松和曾宇航[28]、王成东等[29]、肖文和林高榜[24]的做法,本文将影响效率的因素分为投入要素和其它影响因素。投入要素包括人员投入(Per、Emp)、资本投入(Inv、Expe)和技术投入(Pat)。考虑到企业创新效率会受到企业自身特征等因素影响,本文引入企业规模、企业年龄、政府补贴、资产收益率、研发强度、劳动力素质、企业性质和企业类型等其它影响因素。其中,企业规模(Scale)用总资产衡量,以总资产取自然对数表示;企业年龄(Age)使用企业年龄的自然对数表示;政府补贴(Gov)用政府补贴的自然对数表示;资产收益率(ROA)用净利润与总资产的比值表示(净利润/总资产);研发强度(R&D)用研发投入与营业收入的比值衡量(研发投入/营业收入);劳动力素质(Labor)主要是指劳动力的智能素质,其高低直接决定劳动生产率,用研发人员数与员工总数的比值表示(研发人员数/员工总数);企业性质(Soe)为哑变量,国有企业取1,非国有企业取0;企业类型(Dome)为哑变量,内资企业取1,外资企业取0。
2.2.2 样本选择与数据来源
本文综合《国务院关于加快培育和发展战略性新兴产业的决定》和国家统计局《战略性新兴产业分类(2018)》对战略性新兴产业的界定,选择高端装备制造、节能环保、生物、新能源、新能源汽车、新材料、新一代信息技术七大重点产业作为研究对象。按照战略性新兴产业分类标准,筛选中国A股中的战略性新兴产业相关上市公司,选取在2014—2017年上市的企业为研究对象,收集并整理2011—2019年企业一手创新和财务数据。剔除ST、*ST类以及数据缺失的上市公司样本后,最终获得873家上市公司有效样本。
数据主要来源于CSMAR数据库、Wind数据库、国家知识产权局、上市公司年报等公布的企业创新和财务数据。
由于专利具有新颖性、创新性和实用性的严格要求,可以直接衡量企业创新产出,并且具有可得性,因而在创新研究中得到广泛采用。专利分为发明专利、实用新型专利和外观设计专利。发明专利要经历受理、初审、公布、实质审查、授权5个阶段,一般要耗费2~3年时间,授权数量比率为40%~50%,授权专利是审核最严格、最有价值的专利种类。大部分文献用发明专利申请数衡量普通创新产出,用发明专利授权数衡量高质量创新产出,本文也采用这一方法衡量创新产出。
3.1.1 整体动态创新效率测算
本文采用MAXDEA和DEA-Solver软件测算动态创新效率。基于企业视角,以不同变量作为两阶段创新产出指标,系统比较战略性新兴产业上市公司整体动态创新效率水平,测算结果如表2所示。
表2 整体两阶段动态创新效率测算结果
Tab.2 Overall two-stage dynamic innovation efficiency
两阶段创新产出指标上市时间第一阶段均值最大值最小值标准差第二阶段均值最大值最小值标准差发明专利授权数、营业收入增长额2014年0.515 510.214 00.162 30.258 70.999 90.001 40.199 82015年0.549 810.276 70.183 20.158 50.790 20.005 60.122 72016年0.518 010.240 30.191 40.228 10.999 90.006 90.199 92017年0.491 710.184 80.216 80.219 010.001 20.183 7平均0.518 810.229 00.188 40.216 10.947 50.003 80.176 5发明专利授权数、营业收入2014年0.515 510.214 00.162 30.937 910.876 10.027 42015年0.549 810.276 70.183 20.883 610.782 10.036 22016年0.518 010.240 30.191 40.860 810.792 30.042 72017年0.491 710.184 80.216 80.921 910.836 80.027 6平均0.518 810.229 00.188 40.901 110.821 80.033 5发明专利申请数、营业收入2014年0.434 80.886 60.227 20.130 60.931 810.871 00.027 72015年0.479 90.902 80.225 60.139 20.884 710.782 70.035 32016年0.406 610.227 20.120 00.862 210.802 20.040 42017年0.362 60.999 90.163 00.112 60.917 410.844 30.027 3平均0.421 00.947 30.210 80.125 60.899 010.825 10.032 7发明专利申请数、营业收入增长率2014年0.434 80.886 60.227 20.130 60.159 30.998 50.002 70.143 92015年0.479 90.902 80.225 60.139 20.095 50.920 50.003 20.095 92016年0.406 610.227 20.120 00.152 40.964 70.005 50.145 22017年0.362 60.999 90.163 00.112 60.100 70.999 70.000 60.110 8平均0.421 00.947 30.210 80.125 60.127 00.970 90.003 00.124 0
在整体创新效率方面,为避免中间产出在两阶段权重不同而引起模型测算的矛盾[30],本文设定两阶段权重相同,均为0.5。根据两阶段创新效率,计算得出采用不同创新产出指标的整体创新效率分别为0.37、0.71、0.66、0.274。
首先,分别以发明专利授权数、营业收入增长额作为两阶段创新产出,且两阶段创新产出均滞后两年。结果显示,在第一阶段,战略性新兴产业上市公司平均创新效率为0.518 8,2014—2017年平均创新效率呈倒U型变化,2015年上市的企业平均创新效率最高,2017年最低。在第二阶段,战略性新兴产业上市公司平均创新效率为0.216 1,低于第一阶段,平均创新效率下降58%;2014—2017年平均创新效率总体呈下降趋势,2014年上市的企业平均创新效率最高,2015年最低,仅为0.158 5,说明2015年上市的企业第二阶段创新效率总体偏低;2017年上市的企业创新效率极差较大,最大值为1,最小值仅为0.001 2,表明不同上市公司之间的创新效率存在很大差异。总之,战略性新兴产业上市公司两阶段创新效率偏低,第一阶段创新效率高于第二阶段,企业在两阶段的创新效率不成比例,并且不同企业的创新效率在各个时期差异较大。
其次,第一阶段创新产出仍然使用发明专利授权数,第二阶段创新产出使用营业收入替代营业收入增长额,且两阶段创新产出均滞后两年。结果显示,第一阶段平均创新效率还是0.518 8,第二阶段平均创新效率达到0.901 1,远大于第一阶段。在第一阶段,2014—2017年平均创新效率呈倒U型变化;在第二阶段,2014—2017年平均创新效率呈正U型变化。综上,用营业收入替代营业收入增长额作为第二阶段的创新产出时,第一阶段创新效率远低于第二阶段。比较发现,以营业收入作为第二阶段创新产出测算的创新效率高于以营业收入增长额作为创新产出测算的创新效率。
再次,第一阶段创新产出采用发明专利申请数,第二阶段创新产出仍然使用营业收入,两阶段均不滞后。结果显示,第一阶段平均创新效率为0.421 0,低于以发明专利授权数为产出指标测算的效率值0.518 8,2014—2017年平均创新效率呈倒U型变化。第二阶段平均创新效率为0.899 0,高于第一阶段,2014—2017年平均创新效率呈正U型变化。比较发现,以发明专利授权数作为第一阶段创新产出测算的创新效率,高于以发明专利申请数作为创新产出测算的创新效率。
最后,进一步使用营业收入增长率作为替代变量,分析用不同指标测算的创新效率差异。为避免过多的重复比较,第一阶段创新产出依然使用发明专利申请数,第二阶段创新产出使用营业收入增长率,测算两阶段创新效率。结果显示,第一阶段平均创新效率仍然是0.421 0,2014—2017年平均创新效率呈倒U型变化。第二阶段平均创新效率仅为0.127 0,低于第一阶段,而且各年份平均创新效率均低于0.2,2014—2017年平均创新效率总体呈下降趋势。此外,第二阶段创新效率极差较大,最大值为0.999 7,最小值仅为0.000 6,说明不同企业之间的创新效率极不均衡。
基于上述分析,以营业收入作为创新产出指标的创新效率最高,其次是营业收入增长额,以营业收入增长率作为创新产出指标的创新效率最低。其中,以营业收入作为第二阶段创新产出指标时,第二阶段创新效率在0.9左右,这与多数学者的研究结论以及我国战略性新兴产业技术成果转化阶段创新效率偏低的实际情况存在出入,说明采用营业收入作为创新产出指标不合适。此外,以营业收入增长率作为第二阶段创新产出指标时,第二阶段创新效率很低,仅略大于0.1,远低于多数文献的测算结果,说明采用营业收入增长率作为创新产出指标也不合适。因此,综合比较3种创新产出指标,本文采用营业收入增长额作为第二阶段创新产出指标,更能反映现阶段我国战略性新兴产业上市公司创新效率现状。
3.1.2 不同产业动态创新效率测算
由于不同细分产业的创新能力和产业特点具有差异,产业之间及产业内部可能存在异质性。因此,本文以发明专利授权数、营业收入增长额分别作为两阶段创新产出指标,且两阶段创新产出数据均滞后两年,测算战略性新兴产业七大重点产业上市公司创新效率,结果见表3。
表3 不同产业两阶段动态创新效率测算结果
Tab.3 Two-stage dynamic innovation efficiency of different industries
阶段上市时间高端装备制造节能环保生物新材料新能源新能源汽车新一代信息技术第一阶段2014年0.596 00.670 30.777 60.743 90.668 60.692 50.633 02015年0.589 50.728 80.687 20.740 00.749 60.651 50.664 82016年0.631 20.682 70.687 00.759 80.662 30.664 60.586 62017年0.548 60.696 60.673 60.617 00.611 70.614 00.575 2平均0.591 30.694 60.706 40.715 20.673 10.655 70.614 9第二阶段2014年0.317 00.448 30.378 20.615 40.437 90.408 20.331 52015年0.212 50.447 70.336 40.397 70.372 20.244 90.252 12016年0.375 10.468 30.483 50.440 30.416 40.343 20.262 22017年0.275 70.390 4 0.473 40.315 50.331 30.314 10.259 5平均0.295 10.438 70.417 90.442 20.389 50.327 60.276 3
结果显示,不同细分产业之间的创新效率存在异质性,而且第二阶段创新效率普遍低于第一阶段。在第一阶段,七大重点产业的创新效率按照从高到低排序依次为新材料、生物、节能环保、新能源、新能源汽车、新一代信息技术、高端装备制造。其中,新材料产业上市公司平均创新效率最高,为0.715 2,高端装备制造产业上市公司平均创新效率最低,为0.591 3。在第二阶段,七大重点产业的创新效率按照从高到低排序依次为新材料、节能环保、生物、新能源、新能源汽车、高端装备制造、新一代信息技术。其中,新材料产业上市公司平均创新效率仍最高,为0.442 2,新一代信息技术产业上市公司平均创新效率最低,仅为0.276 3。总体而言,高端装备制造和新一代信息技术产业的两阶段创新效率都较低。因此,我国应采取措施大力提高战略性新兴产业上市公司第二阶段创新效率,特别是提升高端装备制造与新一代信息技术产业的创新效率迫在眉睫。
参考李雪松和曾宇航[28]、王成东等[29]的方法,进一步分析投入要素和其它因素对战略性新兴产业上市公司创新效率的影响,Tobit模型回归结果如表4、5所示。
表4结果显示,在第一阶段,投入要素和其它因素对创新效率具有不同影响。在投入要素方面,研发人员与创新效率在多数年份负相关,且有两年通过显著性检验,原因可能是研发人员的无效投入过多,导致创新效率低下。研发资金投入与创新效率负相关,且有3年通过显著性检验,可能是因为研发资金超额投入或重复投入,反而阻碍创新效率提升。在其它影响因素方面,企业规模与创新效率在多数年份具有显著正向关系,说明扩大企业规模有利于提高企业创新效率,可能是因为大型企业比中小型企业拥有更多创新资源和更大优势。企业年龄与创新效率在多数年份负相关,说明成立时间短的企业比成立时间长的企业更具创新意愿,可能是因为年轻企业在接受知识创新和新兴事物方面更具活力。政府补贴与创新效率在多数年份负相关,且都没有通过显著性检验,表明政府补贴会抑制企业创新效率提升,可能是因为缺乏完善的监督管理机制,企业将政府补助投向其它方面而不是用于创新活动。资产收益率作为衡量盈利能力最常用的指标之一,能够反映企业资产利用效果。资产收益率与创新效率在多数年份正相关,表明企业盈利能力越强,越有助于开展创新活动,提高创新效率。研发强度与创新效率正相关,且有3年通过显著性检验,表明研发强度能够促进创新效率提升。劳动者素质与创新效率在多数年份正相关,说明劳动者素质越高,学习吸收前沿知识技术的能力越强,越有助于提高企业创新效率。企业性质与创新效率在多数年份正相关,且有两年通过显著性检验,说明国有企业创新效率高于非国有企业,可能是因为国有企业能为技术提升和专利研发提供充裕的资金支持,而非国有企业的科研基础比较薄弱。企业类型对创新效率不存在显著正向或负向影响,说明内资企业与外资企业的创新效率无显著差异。
表4 Tobit模型估计结果(第一阶段)
Tab.4 Tobit model estimation results (the first stage)
注: ***、**、*分别表示1%、5% 和10%的统计显著性水平,括号内为回归系数的标准误,下同
变量2014年2015年2016年2017年投入要素Per-0.044 0**-0.030 6*-0.031 40.000 927(-2.61)(-2.06)(-1.69)(0.06)Inv-0.031 9-0.050 5***-0.064 5***-0.067 9***(-1.88)(-3.56)(-3.63)(-3.90)其它影响因素Scale0.056 8***0.051 4***0.028 70.066 7***(3.67)(3.78)(1.65)(4.16)Age-0.005 83-0.047 6*-0.014 50.035 5(-0.23)(-2.12)(-0.55)(1.68)Gov-0.011 3-0.009 660.018 3-0.001 48(-1.13)(-1.10)(1.90)(-0.22)ROA0.366*0.199-0.009 690.153(2.10)(1.67)(-0.05)(0.97)R&D0.3200.228*0.621***0.553**(1.22)(2.12)(3.39)(2.62)Labor-0.002 530.020 50.1180.023 0(-0.03)(0.29)(1.34)(0.29)Soe0.093 3**-0.037 40.095 5*0.080 3(2.85)(-1.43)(2.26)(1.64)Dome0.004 870.069 1-0.010 9-0.046 6(0.11)(1.64)(-0.28)(-1.48)
表5结果显示,在第二阶段,投入要素和其它因素对创新效率也具有不同程度影响。在投入要素方面,员工总数与创新效率负相关,且有3年通过显著性检验,可能是因为大量人员的重复投入导致未能发挥出对创新效率的促进作用。研发支出与创新效率显著负相关,可能是因为企业对资金的配置与利用能力较弱,无法充分合理利用资金进行技术成果转化活动。发明专利授权数与创新效率在大多数年份正相关,但是没有通过显著性检验,说明企业创新活动受到自身研发实力影响,增加发明专利授权数有利于促进创新效率提升,可能是因为专利产业化与商品化的转化率偏低,导致不显著。在其它影响因素方面,企业规模与创新效率显著正相关,可能是因为规模较大的企业拥有更多专利和生产销售渠道,从而有助于提高创新效率。企业年龄与创新效率在大多数年份负相关,且均未通过显著性检验,表明企业成立时间越长,技术成果转化能力越弱,创新效率越低。政府补贴对创新效率存在负向影响,说明政府补贴会抑制创新效率提升,可能是由于政府补贴滋生企业过度依赖政府资金的低效率行为[29]。资产收益率与创新效率显著正相关,表明较高的资产收益率有利于企业开展持续性的创新活动,进而提升企业创新效率。研发强度对创新效率具有不显著的正向影响。劳动者素质与创新效率在大多数年份正相关,且有两年通过显著性检验,可能是因为较高的劳动者素质有助于促进生产和销售,从而提高技术成果转化效率。企业性质对创新效率不具有明显的正向或负向影响。企业类型与创新效率负相关时,通过显著性检验,说明外资企业比内资企业的创新效率略高;企业类型与创新效率正相关时,未能通过显著性检验。
表5 Tobit模型估计结果(第二阶段)
Tab.5 Tobit model estimation results (the second stage)
变量2014年2015年2016年2017年投入要素Emp-0.040 3-0.063 2***-0.076 6***-0.031 0*(-1.90)(-3.57)(-3.69)(-2.16)Expe-0.059 5**-0.060 5***-0.089 6***-0.045 8**(-3.07)(-3.37)(-4.83)(-2.91)Pat-0.016 50.006 890.005 440.005 50(-1.33)(0.55)(0.43)(0.57)其它影响因素Scale0.120***0.080 3***0.115***0.089 1***(5.85)(4.39)(5.26)(5.24)Age-0.024 10.006 18-0.055 0-0.019 6(-0.77)(0.22)(-1.80)(-0.91)Gov-0.021 1-0.010 2-0.014 7-0.017 5*(-1.66)(-0.92)(-1.31)(-2.54)ROA0.795***0.548**0.485*0.478**(3.60)(2.76)(2.26)(3.01)R&D0.047 60.2650.2710.367(0.14)(1.52)(1.27)(1.73)Labor0.297**0.044 3-0.039 20.259**(2.92)(0.51)(-0.37)(3.09)Soe0.035 30.025 7-0.057 6-0.120*(0.85)(0.79)(-1.17)(-2.42)Dome0.045 6-0.146**0.042 90.039 8(0.80)(-2.79)(0.95)(1.24)
本文基于企业视角,以2011—2019年873家中国战略性新兴产业上市公司为样本,利用DEA方法并基于产出导向的DSBM模型测算企业两阶段动态创新效率。从整体创新效率测算结果看,两阶段动态创新效率具有较大差异。分别以营业收入增长额、营业收入、营业收入增长率作为技术成果转化阶段的创新产出指标,发现以营业收入增长额作为创新产出指标测算得出的创新效率比较符合多数文献的结论以及我国战略性新兴产业创新效率现状。从不同产业创新效率测算结果看,各产业间创新效率存在异质性。在第一阶段,各产业上市公司创新效率按照从高到低排序依次为新材料、生物、节能环保、新能源、新能源汽车、新一代信息技术、高端装备制造;在第二阶段,各产业上市公司创新效率从高到低排序依次为新材料、节能环保、生物、新能源、新能源汽车、高端装备制造、新一代信息技术。高端装备制造和新一代信息技术产业在两个阶段的创新效率均较低。本文在测算创新效率的基础上,运用Tobit模型分析影响创新效率的因素,结果表明,在技术研发阶段,企业规模、资产收益率、研发强度、劳动者素质、企业性质与创新效率正相关,研发人员、研发资金、企业年龄、政府补贴与创新效率负相关;在技术成果转化阶段,发明专利授权数、企业规模、资产收益率、研发强度、劳动者素质与创新效率正相关,员工总数、研发支出、企业年龄、政府补贴、企业类型与创新效率负相关。
根据以上研究结论,本文针对性提出以下对策建议:
(1)转变创新模式,提升企业自主创新能力。创新效率测算结果显示,我国战略性新兴产业上市公司两阶段整体创新效率较低,尤其是技术成果转化阶段的创新效率具有较大提升空间,说明现阶段企业自主创新能力较弱、创新动力不足、创新驱动效果不明显。我国战略性新兴产业总体层次偏低,产品技术含量不高,很多高技术产品以模仿为主,并且在尖端关键技术上受制于它国,对外依存度高,核心技术标准与专利以及许多领域的主导设计都被外方控制。因此,应该鼓励我国战略性新兴产业上市公司从模仿的创新模式转向高水平科技自立自强的创新模式,特别是非国有企业、内资企业、成立时间较长的企业要更加重视技术创新,提升企业高质量创新能力和盈利能力,提高企业研发强度,积极开展创新活动,不断增强自主创新能力,努力推进技术成果转化阶段创新产出的商业化。
(2)大力支持中小企业进行资源整合、发展壮大,提高整体竞争力。我国战略性新兴产业仍处于初期发展阶段,在产业规模方面,中小企业数量众多,构成产业发展主体,在产业发展中占据着不可忽视的重要地位。但是,由于大多数中小企业缺乏创新动力和独立承担科研项目的实力,拉低了整个产业的国际竞争力。激发中小企业创新动力已成为发展战略性新兴产业的一项重要任务。根据Tobit回归结果,企业规模和发明专利授权数在两阶段都与创新效率正相关。因此,应该强化企业创新主体地位,鼓励中小企业通过整合上下游产业链、多方合作、并购重组等方式,增加发明专利授权数,扩大企业规模,实现优势互补、互利共赢、做大做强的目的。
(3)合理规划安排创新投入,提高高素质科技人才比例。根据研究结果,第一阶段中研发人员、研发投入和第二阶段中员工总数、研发支出都与创新效率负相关,表明两阶段的人员和资金投入可能过度,导致重复投入与无效投入。因此,应该有计划地合理安排每个时期的创新投入,避免盲目超额投入,减少低水平重复研发项目。此外,劳动者素质对创新效率具有正向影响,对此,企业应该注重人才队伍建设,大力培养和引进高素质科技人才,提高研发人员的科研创新水平,采用股权激励等方式,激励研发人员进行高质量创新。
(4)加强监管和引导,出台倾斜性政策及措施。本文研究结果表明,政府补贴与创新效率负相关。对此,建议改革现行政府补贴政策,关注企业创新活动的全过程,重点考核政府补贴的使用方向和创新产出成果,刺激企业加大研发资金投入。有限的政府补贴要针对性地用于解决企业创新过程中的极端困难,政府应该加强调控和引导,针对高端装备制造、新一代信息技术产业相应地出台倾斜性政策和措施。此外,应完善税收政策和出口优惠政策,降低企业引进高技术人才的成本,加大对发明专利授权的奖励力度,提高企业开展高质量创新活动的积极性。
(5)健全自主知识产权制度,构建产学研联合体系。创新效率的提高,需要完善自主知识产权制度,建立自主知识产权交易平台,拓宽融资渠道和技术成果商业化渠道。只有不断通过专利技术成果获得资金,企业才能长期、可持续地进行自主研发投入,从而促进创新效率提升。此外,目前我国高技术研发人才和科研基金项目主要集中在科研院所,企业研发能力相对较弱。因此,企业应该依托现有科研平台,整合企业、高校和科研院所资源,建立产学研联合体系,降低创新风险,缩短科技创新成果转化周期,提高技术研发和成果转化效率。
[1] SOLOW R. Technological change and the aggregate production function[J]. Review of Economics and Statistics, 1957, 39(3): 312-320.
[2] CHAMES A, COOPE W W, RHODES E. Measuring the efficiency of decision making units[J]. European Journal of Operational Research, 1978, 2(6): 429-444.
[3] AIGNER D J, LOVELL C A K, SCHMIDT P. Formulation and estimation of stochastic frontier production function models[J]. Journal of Econometrics, 1977, 6(1): 21-37.
[4] MEEUSEN W, BROECK J V. Efficiency estimation from cobb-douglas production functions with composed error[J]. International Economic Review, 1977, 18(2): 435-444.
[5] BATTESE G E, CORRA G S. Estimation of a production frontier model with application to the pastoral zone of Eastern Australia[J]. Australian Journal of Agricultural Economics, 1977, 21 (3): 169-179.
[6] LU W, WANG W, KWEH Q. Intellectual capital and performance in the Chinese life insurance industry[J]. Omega, 2014, 42(1): 65-74.
[7] 陈红玲.环境约束下中国战略性新兴产业的技术创新效率研究[J].经济经纬,2018,35(3):90-95.
[8] 刘晖,刘轶芳,乔晗,等.我国战略性新兴产业技术创新效率研究[J].系统工程理论与实践,2015,35(9):2296-2303.
[9] 黄海霞,张治河.中国战略性新兴产业的技术创新效率——基于DEA-Malmquist指数模型[J].技术经济,2015,34(1):21-27.
[10] WANG Q, HANG Y, SUN L,et al. Two-stage innovation efficiency of new energy enterprises in China: a non-radial DEA approach[J].Technological Forecasting and Social Change, 2016, 112: 254-261.
[11] 闫俊周,杨祎.中国战略性新兴产业供给侧创新效率研究[J].科研管理,2019,40(4):34-43.
[12] 李柏洲,王雪,苏屹,等.我国战略性新兴产业研发—转化两阶段创新效率[J].系统工程,2019,37(4):48-56.
[13] 闫俊周,齐念念,童超.政府补贴与金融支持如何影响创新效率——来自中国战略性新兴产业上市公司的经验证据[J].软科学,2020,34(12):41-46.
[14] TONE K, TSUTSUI M. Dynamic DEA: a slacks-based measure approach[J]. Omega, 2010 (38):145-156.
[15] 严太华,刘松涛,刘焕鹏.中国高技术产业动态效率测度与收敛性分析:基于产出导向DSBM模型的实证[J].管理工程学报,2015,29(3):222-230.
[16] WANG E C, HUANG W. Relative efficiency of R&D activities:a cross-country study accounting for environmental factors in the DEA approach[J]. Research Policy, 2007, 36(2): 260-273.
[17] HASHIMOTO A, HANEDA S. Measuring the change in R&D efficiency of the Japanese pharmaceutical industry[J]. Research Policy, 2008, 37(10): 1829-1836.
[18] 梁向东,阳柳.国家自主创新示范区创新驱动效率测度及政策评价[J].中国软科学,2021,36(7):131-142.
[19] 熊然,卫平.贸易视角下高新区创新绩效研究[J].中国科技论坛,2019,35(8):35-43.
[20] 杨道广,陈汉文,刘启亮.媒体压力与企业创新[J].经济研究,2017,52(8):125-139.
[21] 何瑛,于文蕾,戴逸驰,等.高管职业经历与企业创新[J].管理世界, 2019, 35(11):174-192.
[22] 陈德球,孙颖,王丹.关系网络嵌入、联合创业投资与企业创新效率[J].经济研究, 2021, 56(11):67-83.
[23] 杨骞,刘鑫鹏,孙淑惠.中国科技创新效率的区域差异及其成因识别——基于重大国家区域发展战略[J].科学学研究,2022,40(5): 927-937,949.
[24] 肖文,林高榜.政府支持、研发管理与技术创新效率——基于中国工业行业的实证分析[J].管理世界,2014,30(4):71-80.
[25] 胡树华,张俊,杨晓璇,等.基于两阶段测度的中小企业创新效率评价研究[J].经济体制改革,2015,33(6):107-112.
[26] 窦超,熊曦,陈光华,等.创新价值链视角下中小企业创新效率多维度研究——基于加法分解的两阶段DEA模型[J].科技进步与对策, 2019,36(2):77-85.
[27] 张永安,鲁明明.高技术制造业创新效率评价及要素投入差异性研究[J].科技进步与对策,2019,36(16):51-57.
[28] 李雪松,曾宇航.中国区域创新型绿色发展效率测度及其影响因素[J].科技进步与对策,2020,37(3):33-42.
[29] 王成东,李光斌,蔡渊源.中国高端装备制造业自主技术创新效率稳定性及影响因素研究[J].科技进步与对策,2021,38(22):58-67.
[30] 范德成,李盛楠.区域高技术产业技术创新效率测度与提升路径研究——基于共享投入关联型两阶段DEA模型[J].运筹与管理,2019,28(5):156-165.