知识权力视角下悖论式领导对研发团队创新的作用及影响机制研究

花常花1,罗瑾琏2,闫丽萍1

(1.上海立信会计金融学院 工商管理学院,上海 201209;2.同济大学 经济与管理学院,上海 200092)

摘 要:结合领导力、知识管理及创新相关理论,基于中国情境构建并检验链接悖论式领导与团队创新关系的理论模型,从知识—权力转化视角探讨悖论式领导对团队创新的作用机制及边界条件。研究得出,悖论式领导对创新团队的知识权力集中度有显著正向影响,进而通过知识创造、知识整合等阶段性过程作用于团队创新;在领导权力与知识权力的转化及承接过程中,高竞争性价值观会提升悖论式领导对知识权力集中度的作用,低竞争性价值观会削弱悖论式领导对知识权力集中度的作用。

关键词:悖论式领导;知识权力集中度;竞争性价值观;研发团队;团队创新

Research about the Mechanism of Paradox Leadership Behavior on R&D Team Innovation based on Knowledge Power′s Perspective

Hua Changhua1,Luo Jinlian2,Yan Liping1

(1.School of Business Administration, Shanghai Lixin University of Accountingand Finance, Shanghai 201209, China; 2.School of Economics and Management, Tongji University,Shanghai 200092, China)

AbstractThe organizational environment is increasingly dynamic, complex and competitive, meanwhile leaders are confronting with many seemingly contradictory requirements in management. The exiting research on leadership fails to fully explain the present difficulties in the organization, and thus the researchers pay close attention to a new type of leadership model based on the paradox-paradox leadership style.

Paradox leadership is emerging in management research and practice in recent years as a hot issue. From the perspective of theoretical roots, paradox leadership belongs to the category in the theoretical study of the paradox of leadership, which refers to seemingly competitive, yet interrelated behaviors to meet the followers' demand simultaneously. From the perspective of management practice, the reality faced by paradoxical leaders in the process of team innovation has gradually attracted people's attention. A flexible leadership optimizes the group decision and promotes the integration of knowledge innovation. Although paradox leadership in the team practicing is getting fast development, the related research field is at the initial stage. Under the background of the current team management and the paradox of leadership, it is necessary to deeply study the team innovation process from the perspective of leadership paradox, especially in the complex team innovation process. It is worthy of further exploration on how to play a role and influence the process and result of team innovation.

This study focuses on the subject of research and development teams with the paradox leadership and team innovation. It relies on related theories, such as the model of leadership, knowledge management and innovation, combined with management practices to build links between paradox leadership and team innovation. Because the team members are engaged in work of scientific research innovation, research and development and the design of knowledge innovation, it is appropriate to select knowledge research and development innovation team as the research object; Secondly, this research analyzes intermediary role of the concentration of knowledge power, knowledge creation and knowledge integration between the paradox leadership and team innovation. It also tests the moderating effect between paradox leadership and knowledge power concentration, thus effectively identifying the boundary conditions of paradox leadership.

Through correlation and hierarchical regression analysis about paradox leadership and team innovation, the empirical test shows that paradox leadership has significant positive effect on team innovation, confirming that paradox leadership, as a kind of flexible and efficient style of leadership, has a positive impact on team innovation. This conclusion shows that innovation teams need to strain a possible leadership style while shortening the development cycle. The innovation task makes the reality of the situation complicated. At the same time, the conclusion helps to better understand the paradox leadership style, and make innovation team give full play to the results that have a certain reference value. Compared with the innovative team, creative team in the process of innovation often face more conflicting innovation needs. If leaders want to make the right decisions in dilemmas, they have to have a more profound understanding and practice about paradox leadership.

Based on the knowledge management and knowledge power theory, concentration of knowledge power and knowledge creation and knowledge innovation in the process of innovation are assumed as the intermediary bridge between the paradox leadership and team innovation. Empirical study results show that the concentration of power and knowledge creation, knowledge innovation, as a link in the relationship between the paradox leadership and team innovation, plays an intermediary role completely. Research conclusion clarifies the mechanism of the paradox leadership. In order to provide more revelation of innovation team performance, the leader should eliminate the barriers, break the rules of hierarchy, make innovation-driven knowledge workers as the main body, actively create an intellectual and power-oriented innovation atmosphere for the team, and promote the team to achieve innovative performance breakthroughs.

In the process of transformation and continuity between leadership power and knowledge power, high competitive values enhance the effect of paradoxical leadership on knowledge power concentration, while low competitive values weaken the effect of paradoxical leadership on knowledge power concentration. The results of this study provide a further exploration and supplementation to the related research results in the field of paradoxical leadership and team innovation.

Key Words:Paradox Leadership;Knowledge Power Concentration;CompetingValues;R&D Team; Team Innovation

DOI10.6049/kjjbydc.2020110286

开放科学(资源服务)标识码(OSID):

收稿日期:2021-01-10

修回日期:2021-02-18

基金项目:国家自然科学基金面上项目(71472137,71772138); 教育部人文社会科学研究规划基金项目(19YJA630125)

作者简介:花常花(1989-),男,安徽六安人,博士,上海立信会计金融学院工商管理学院讲师,研究方向为领导力与创新管理; 罗瑾琏(1962-),女,湖南湘潭人,博士,同济大学经济与管理学院教授、博士生导师,研究方向为人力资源与组织行为管理;闫丽萍(1981-),女,内蒙古武川人,博士,上海立信会计金融学院工商管理学院讲师,研究方向为网络消费者行为。本文通讯作者:闫丽萍。

中图分类号:F272.91

文献标识码:A

文章编号:1001-7348(2022)02-0139-11

0 引言

悖论式领导(Paradoxical Leadership)是近年来管理学研究中兴起的热点议题[1]。从理论溯源上看,早期的西方研究将管理中的悖论作为一个组织设定,而悖论式领导隶属于悖论理论中的领导力范畴[2]。区别于权变领导理论,悖论式领导是指在应对较复杂的外部环境时运用对立统一的竞争性行为,在有限的时间与资源约束下及时调整相应的组织架构和工作需求[1]。从管理实践上看,悖论式领导逐渐受到重视源于团队创新过程中面临的现实困境[3]:在外部环境复杂多变、创新时效性与紧迫性日益提升的背景下,团队创新过程中相互矛盾的需求与日俱增,领导者也面临越来越多看似矛盾或相悖的挑战与决策,以往的领导理论已不能完全应对上述诸多困境[4]。Zhang & Waldman等[1,5]在总结西方相关理论研究的基础上,立足于中国传统国学中的阴阳哲学思想,提出 “悖论式领导”构念并成功开发出基于中国组织情境的测量量表,从而确立了悖论式领导研究领域;罗瑾琏等进一步延伸悖论式领导研究领域。然而,在充满动态性、竞争性和复杂性的组织情境中,关于悖论式领导如何发挥作用以及如何影响团队创新过程与结果依旧缺乏清晰的认知。文献回顾表明,除了少数探索性研究,很少有研究专门验证悖论领导行为如何影响创新结果。虽然Zhang & Waldman等指出悖论式领导对复杂创新过程具有潜在的积极影响,但悖论式领导与团队创新的关系尚不明朗,尤其是中国情境下研发创新团队中的悖论式领导者与创新行为间的关联机制及作用边界没有厘清。

结合上述理论基础和实践背景,本研究将重点聚焦于3个方面:首先,由于权力匹配主要体现在组织资源控制与分配上,而知识权力在领导者支持团队创新过程中尤为重要,因此本研究将结合领导力、知识管理及创新相关理论,从知识权力视角构建链接悖论式领导与研发团队创新的理论模型。由于研发团队多为从事科学研究、研发设计的知识型群体,因此选取知识技术密集型创新团队作为调研对象更贴切研究设计[7];其次,重点从知识权力视角探讨知识权力集中度、知识创造、知识整合在悖论式领导与团队创新间的中介作用,力求从领导权力—知识权力转化路径及团队创新过程的阶段性角度,揭开悖论式领导与团队创新间作用的 “黑箱”[8];最后,根植于悖论式领导适用的内外部环境及对立统一的竞争属性,从竞争性价值观的灵活—控制维度、内部—外部维度入手,通过人际关系价值观、内部流程价值观、开放系统价值观和理性目标价值观4个方面,检验竞争性价值观在悖论式领导与知识权力集中度关系中的调节效应,从而有效识别悖论式领导发挥作用的边界条件[9]。此外,通过任务互依性探讨知识资源提升权力的合理性。

1 文献回顾与研究假设

1.1 悖论式领导与团队创新

Smith & Lewis[3]在统计近20年国际顶级期刊发表的文献后,发现越来越多的学者开始运用悖论理论解释组织、团队、个体等层面的诸多问题。这主要是因为组织环境日益呈现复杂化、动态化和竞争化特征,从而使西方传统理论中的“要么/或者”(“either-or”)思维面临过度简化管理实践与要求的风险。因此,无论是从理论研究还是从管理实践角度出发,都需要更为全面和系统的理论指导思想,由此悖论理论应运而生[10]。以Lewis、Smith为代表的学者在以往研究基础上,基于动态平衡的组织模型系统正式提出悖论理论。该理论强调悖论的两个重要组成部分:①潜在紧张关系与矛盾张力。单独解读上述处于对立状态的元素是合乎逻辑的,但并列时显得不一致甚至荒谬;②处理上述状态或事件时注重时间的同时性,即时效性。具体到领导领域,Zhang&Waldman[1,3]在Smith&Lewis等的悖论理论研究基础上,根植于中国传统的文化哲学理念,从5个维度对悖论式领导的有效性及内涵作出了更深层次探析,开发出基于中国组织情境的测量量表,从而确立悖论式领导研究领域。从领导理论视角出发,悖论式领导包含领导下属定位取向、领导角色中心取向、领导决策分配取向、领导工作标准取向、领导关系距离取向5个维度;在团队悖论式领导过程中,领导者融合以上5个维度中同时存在的张力,通过存在竞争关联却对立统一的行为,统筹组织或员工工作在不同时间或同一时段的特异性要求。

团队创新得益于团队中新创意、知识、流程的提升或引进,并且在实施转化过程中最终以市场价值形式体现[11],这种转化过程既可以直接实现,也可以间接实现。因此,从创新实现角度,悖论式领导行为能够有力推动团队创新进程、成果转化乃至团队创新目标实现。然而,从团队创新面临的内外部环境看,外部环境的动态性、复杂性、竞争性提升,内部研发周期缩短,创新成果质量标准不断提高,使整个团队创新过程充满挑战,这种挑战往往体现于各种需求的平衡及资源的合理分配[12]。悖论式领导者通过看似竞争关联且对立统一的行为,分配统筹组织结构或员工工作在不同时间或同一时段的特异性要求,这种领导行为有助于帮助团队解决创新过程中遇到的挑战与变化,从而将有限时间聚焦于团队创新过程。具体而言,包容团队成员的个性化有助于激发团队创新活力,而一视同仁则有助于保证公平公正的团队创新氛围;保持灵活性能有效应对复杂多变的创新挑战,提升员工能动性,缓解创新任务不确定性带来的心理负担,而严格执行工作要求有助于创新目标顺利实现;领导者支持员工享有自主性能有效激发员工的自主创新意识、发挥员工的自主能动性,从而有效维护团队创新效能,而拥有绝对的创新决策权是领导者统筹创新进程与绩效导向的核心职责。由此,本文提出以下研究假设:

H1:悖论式领导对团队创新具有显著正向作用。

1.2 悖论式领导与知识权力集中度

权力匹配主要体现于组织资源的控制与分配,而组织资源包括物资资源、人力资源以及创新要素资源等,团队活动依赖于这些组织资源[13]。Carluccio & Bas[14]指出,为了提升组织效率,应该合理分配组织权力,将资源集中投向最需要的地方,这种分配与集中的价值主要体现在3个方面:①组织结构需要。领导者通过组织或团队展开管理,组织目标付诸实践的过程也是领导意图实现的过程,所以该层次的组织权力主要与专业事务相关;②专业知识和才能。高度专业化的知识及才能具有不可替代性,因此,通过提高拥有专业知识与才能的成员在整个组织和团队中的地位可以实现权力的再分配及集中。尽管上述团队成员在组织中可能职级不高,但可以凭借知识权力影响组织与团队决策,发挥相应的影响力[15];③关键位置。关键位置是组织中处理某种事务的中心位置,是信息交流与沟通的核心要道,这种关键位置也可以成为组织权力资源,在组织中发挥举足轻重的影响[16]。团队成员都拥有不同程度的权力,这种权力主要取决于组织性质、组织成员知识水平与专业能力等,从而形成权力与知识的合理匹配。Hayek[17]在研究组织发展过程中的知识与权力匹配问题时指出,决策权应与知识分布相匹配,知识在社会中的分布要求决策权分散化。按照不同的知识与权力匹配组合,可划分为高权力低知识、高权力高知识、低权力低知识、低权力高知识4种匹配模式[18]。在团队创新过程中,知识与权力的匹配程度决定了知识权力的匹配成效及创新结果。由于知识专业化程度越高,其转移成本越大,因此在当今愈发凸显组织扁平化特征的背景下,在保证领导者必要的领导权力基础上,可以适当将决策权直接分配给拥有专门知识的成员,使领导权力转化为团队成员的知识权力[19]。然而,如何确定成员应享有的知识权力集中程度便成为考验领导者的一大挑战。

Foucault[20]的知识权力理论主要是基于历史发展进程分析特殊的权力-知识关系即知识权力。借助知识的专业性与延展性,知识权力体现了权力的具体效力,其并非来自强制性的法定权力,而是通过知识的效用与专业性得以体现,从而形成连接知识、探讨权力的理论基础。通过以上机制,权力延展产生一种特殊的知识权力体系,知识也加强和深化了这种权力的实施。悖论式领导作为一种重视时效与张力的领导行为,有助于上述知识权力的实现及转化,具体表现在:团队中的悖论式领导者将领导者中心与员工中心融合,领导者控制创新决策是其统筹创新过程与绩效导向的核心职责,上述职责促使具备专业知识的成员在推进创新过程中处于核心地位,不断提升知识权力的合法性与专业知识集中度[1,21];团队领导者与团队成员之间的亲疏适当性,有助于领导者职位权力与团队成员基于知识建立的非正式知识权力处于相对平衡状态而不至于发生对立;针对下属的工作分配既要充分考虑员工专业背景以使员工知识储备与工作需求相匹配,也要充分考量成员对于知识权力自由分配的灵活性以最大程度满足知识权力的合理匹配[22];团队领导者为确保最终创新目标实现,保持对创新进程的严格控制,而保持灵活性则可以最大程度发挥员工能动性,维系团队成员内部协作与和谐稳定;领导者对团队决策的控制与维护是领导者统筹创新过程、绩效导向的核心职责,但保留员工自主性是为了最大程度上给予员工自主思维空间,使员工自主储备相应知识技能。在创新团队中,领导者作为组织中拥有正式权力和控制关键资源的核心人物,在团队创新进程中发挥至关重要的领导和协调作用[23]。创新过程中知识权力的集中程度和资源适配度取决于领导者统筹,这种统筹并非是根据情境简单作出权变领导策略,而是基于长期平衡的抉择[10]。由此,本研究提出以下假设:

H2:悖论式领导对知识权力集中度有显著正向作用。

1.3 竞争性价值观的调节作用

竞争性价值观是建立在灵活—控制维度和内部—外部维度基础上,由4种不同价值观构成的价值体系[24]。4种价值体系主要是指人际关系价值观、内部流程价值观、开放系统价值观和理性价值观,上述价值观既反映了领导者面临的选择复杂性,也反映了不同组织进程中的问题一致性[25]。竞争性价值观并不意味着不同价值观之间存在绝对对立的竞争关系,而是反映了在具体管理实践中领导层面临管理情境的复杂性[26]。认知资源理论(Cognitive Resource Theory)认为,领导者的经验、智力及压力承受能力是面临复杂环境时的必备要素[27]。该理论基础在于领导者的两个基本假设:首先,相对于德才平庸的领导者,睿智、富有才干的领导者能制定出更为有效的决策、计划及策略;其次,领导者通过指导行为有效传达决策、计划及策略。团队领导者面临的环境极为复杂,在面对高压情境时,经验丰富的领导者能凭借其经验优势与价值体系应对挑战[28],合理的竞争性价值观有助于其面临多样化挑战时实现必备的管理技能,使悖论式领导者实现全面均衡管理,从而有效促进领导权力-知识权力的转化集中。

竞争性价值观作为指导团队实践的价值理念,其内部程序模式对应规则导向文化、合理目标模式对应市场导向文化,而人际关系模式和开放系统模式分别对应宗族性文化与临时体制式文化[25-26],以上4种模式体现了竞争性价值观的主要框架。在竞争性价值观指引下,团队致力于使拥有先进技术和高度专业知识的人员尽可能实现效率最大化,即从有效的投入中获得最大产出,并确保员工在高效率工作中获得尊重[29]。领导者既要根据需要对计划进度进行调整,以快速高效地适应组织新要求或新变化,同时,也要确保工作活动的可组织性和可预见性,以充分的预案应对突发危机或紧急情况[30]。悖论式领导者通过相互竞争、关联行为,分配统筹组织结构或员工工作在不同时间或同一时段的特异要求,而竞争性价值观追求高水平生产力的诉求则要求掌握专业知识的员工能高效实现目标,行为的复杂性与管理能力紧密相关[31]。综上所述,高效能的团队领导者往往对复杂性有充分的认识和准备,在看似冲突或矛盾的角色关系或任务关系中游刃有余,复杂任务和角色关系的多样性要求领导具备针对性的核心应变能力[23]。基于此,作为指导团队实践的价值理念,竞争性价值观为团队领导者提升专业知识、集中知识权力与实现高效运转提供了有力支撑。因此,本研究提出研究假设:

H3:竞争价值观调节悖论式领导对知识权力集中度的作用。领导者竞争价值观越强,悖论式领导对知识权力集中度的作用越显著;反之,则越弱。

1.4 知识权力集中度与知识创造、知识整合

从权力存在的基础而言,权力是指能够获得强制性服从的能力,主要分为角色要求、合理性、核心资源等[32]。其中,角色要求是指成员为达到某种目的而加入或组建某组织时形成的地位与角色分化;合理性是指权力能够获取强制性服从且自上而下运行的能力。同时,权力又存在关系性,资源关系是组织权力的来源,资源在组织中既是支撑权力行为的支点,也是交换的重要条件,从而促使权力产生[33]。由于权力以组织为载体,而组织类型、权力行为的差异性使得组织中的权力资源呈现多元化。在以创新研发为主要特征的组织团队中,知识资源不仅是提升权力合理性的必需,也是履行权力角色任务的重要基础。只有当组织中的权力客体接受权力主体行为时,才会认可权力主体地位并有效服从权力主体意图[34]。研发创新团队中的知识权力集中尤为明显,团队成员也高效服从权力主体意图,无论是知识创造方向,还是知识整合方向。知识是研发创新理性活动的产物,是关于是非问题的依据,从该角度而言,为实现研发团队创新绩效和效率,知识权力在一定程度上远比正式权力重要,且知识权力难以用强制性服从来实现[35]。在组织权力运行过程中,被组织成员认可的知识成为提升权力主体行为正当性的重要资源;反之,权力行为所依据的知识难以被组织成员认可、接受,会削弱权力行为的正当性和合理性,导致领导者的角色要求和合理性难以维持[36]

已有研究表明,权力对创新任务目标的影响体现在两个方面:一方面,影响创新目标设定;另一方面,影响创新目标实施过程。团队创新过程对应知识探索、创造与提炼整合过程,其中,知识创造阶段对应探索式创新,而知识整合阶段对应利用式创新[10,37]。探索式创新追求新知识以创造新机会,预测环境变化并实施新管理方法,这个过程实质上就是知识创造过程,具有较高不确定性和高成本性;利用式创新基于以往的创新基础和知识,在相应阶段改善和优化现有创新进程,从而达到提升组织运行效率和效能的目的,这个过程本质上是知识整合过程,具有较高确定性和路径依赖性[12]。从知识目标设定、知识研发投入、知识内化处理及知识创新产出过程(A-I-P-O)看,以知识创造为代表的探索式创新及以知识整合为代表的利用式创新在团队创新各环节存在明显的特征差异性。在团队创新过程中,不同阶段所需知识与权力的匹配程度分别对应于不同创新方式下的知识创新过程。在创新研发的现实情境中,为了提高组织团队效率,应把一定权力分配给掌握知识资源的成员,知识权力集中能有效促进达成创新的知识创造阶段[23]。为保证团队创新目标实现,有必要根据创新进程,集中投向知识整合阶段。由创意产生代表的知识创造阶段与创意执行代表的知识整合阶段,它们的具体实施过程和任务目标设定也有所差异。将团队创新目标付诸实施的环节,也是为将知识权力集中后进行现实化和操作化的阶段,因此上述层面权力主要与具体事务相关,组织需要根据创新类型平衡知识与权力,使其集中在合理区间——这既是团队创新任务要求,也是完成角色任务所需。为了获得最优效率,知识权力集中度将在不同阶段对知识创造和知识整合产生积极影响[15]。据此,本研究提出以下假设:

H4:知识权力集中度正向影响知识创造。

H5:知识权力集中度正向影响知识整合。

1.5 任务互依性的调节作用

掌握不同知识技能的团队成员通过合作方式完成单独个体难以完成的复杂任务[38]。互依性是指团队成员相互依赖的程度,具体而言,是指在完成团队作业过程中团队成员间合作和交互的程度[39]。根据研究需要,任务互依性既可以作为个体层面变量,也可以作为团队层面变量。从团队层面出发,团队是由不同个体组成且成员间相互依赖的组织,团队成员为完成团队任务,通过协同互助,共同实现团队目标。根据团队互依性来源,可将互依性分为任务互依性与产出互依性两类,其中,任务互依性主要来自团队任务输入与执行过程[40]。任务互依性的强化往往通过满足员工工作需要实现,如员工需要在高任务互依性下建立合作、共赢、和谐的工作关系,从而提高工作效率。

知识资源提升权力的合理性成为履行权力角色任务的重要基础。在研发过程中,权力主体利用专业知识进行分配和集中:为了使研发进程高效化,权力主体依托知识资源获得权力客体发自内心的接受并服从权力主体意图,当这个意图汇聚于知识整合方向时[34],实现重塑后的任务特征与组织需求一致。研究指出,任务互依性是区分团队工作与个体工作的根本特征,低任务互依性(如主动沟通、自主创造)更依赖于成员自身努力,个体对团队成员身份的认知比较淡薄,而高互依性团队对团队成员间互动与合作(如主动反馈行为、协作行为)的要求较高[38]。当任务互依性较高时,团队成员合作水平也较高,主要是因为高任务互依性意味着团队成员执行任务时相互影响程度高,形成了一种合作需求。在高任务互依性情况下,知识权力效能显著影响知识整合过程。由此,本研究提出以下假设:

H6:任务互依性调节知识权力集中度对知识整合的作用。任务互依性越强,知识权力集中度对知识整合的作用也越显著;反之,则越弱。

1.6 知识创造、知识整合与团队创新

根据Sheremata的观点[41],知识创造体现了新颖和潜在创意被开发及传递给他人的程度,而知识整合则反映了组织的集体智慧,即集思广益,寻找可行创意付诸实践的程度。Grant[42]将知识视为组织的核心资源并论证了知识整合是组织应对动态化市场竞争环境的关键能力。在知识整合理论中,Grant将知识整合定义为将个体拥有的专业知识综合成系统化的专业知识 。他提出企业竞争优势的维持需要独特、不易被他人复制的资源,而知识尤其是隐性知识正是这样一种战略资源。Sheremata[41]进一步强调知识创造和知识整合是互补过程,两者都是团队创新的必要条件,没有知识创造,知识整合无从开展;没有知识整合,难以确保创意有效利用与实施,二者作为团队创新过程中的关键要素互不可缺。

融合Nonaka & Takeuchi[43]的知识创造理论及Grant[42]的知识整合理论,结合Sheremata的观点,可以得出,知识创造在团队创新过程中逐渐演变为解决创新难题、迎接创新挑战,不断产生新创意、技术及研发思路的过程,而知识整合则是在团队创新过程中对现有知识资源的集合,并根据创新任务需求重新融合的过程。在组织与团队内部运作过程中,知识创造与知识整合是同时开展的,知识创造是知识整合实现的基础,知识创造越充分,越有助于实现知识整合[44]。从团队创新的阶段性角度出发,知识创造和知识整合也并非孤立存在,知识创造可有效提升团队知识整合能力,新产生的资源和创意都要经过集成整合才能发挥效用。研究表明,创新是一个复杂进程,影响创新成功的因素很多,其中的重要因素之一即为知识能否有效整合[45]。虽然知识创造是创新产生的基础,但缺乏对创造的新知识进行整合、集成并转化为市场价值,创新往往难以呈现相应的成效[46]。由此,本研究提出以下假设:

H7:知识创造正向影响知识整合。

H8:知识创造正向影响团队创新。

H9:知识整合正向影响团队创新。

1.7 研究模型构建

综上所述,构建本文研究假设模型,如图1所示。

图1 理论假设模型
Fig.1 Theoretical hypothesis model

2 研究设计

2.1 研究样本与数据收集

本研究主要选取电子信息技术、汽车制造、高新技术服务、生物与医药技术等行业企业作为样本,并满足3个标准:①从事高新技术及服务的创新型企业;②进行产品工艺开发、技术研发或技术服务创新活动的创新团队;③团队成立时间不低于1年且获得较显著的创新绩效。为降低不同区域经济发展水平的影响,综合考虑研究目标以及调查便利性,确定本文调查对象条件及范围:主要是来自上海、浙江、江苏等从事工程设计、产品研发、软件工程等的团队及其成员,选取的基本标准为具有本科以上学历。

问卷发放以书面问卷和电子问卷为主。为尽可能避免同源误差影响,同时,考虑到测量变量题项较多,先后共进行3次调研,每次调研均建立在上一次调研的基础上。在第一次调查(T1)中,研究者共发出783份匹配问卷,主要测量悖论式领导与团队互依性变量,实际收回742份填写完整的有效问卷,回收率为94.76%;在第二次调查(T2)中,对参与第一次调查的对象发放问卷,主要测量知识权力集中度、知识创造与知识整合变量,实际回收717份有效问卷,主要测量竞争性价值观和团队创新变量,回收率为96.63%;最后,在第二次数据收集后的一个月,开始第三次调查(T3),将问卷发放给第二次调查的717名测量对象,主要测量竞争性价值观与团队创新变量。因2名员工离职,只有715名对象收到问卷,实际收回692份填写完整的问卷,回收率为96.78%。

在剔除无效问卷后,最终得到有效团队样本156份,问卷为624份(团队主管156份,团队成员468份),实际有效回收率为79.69%。

2.2 变量测量

悖论式领导,采用Zhang & Waldman[1]基于中国情境开发的权威量表,由员工进行测评,共分为5个维度22个题项;团队创新绩效,主要参考Driva[47]及张光磊等[48]使用的成熟量表,由团队结合本研究情境对调研对象进行访谈,最终形成本研究团队创新量表,由团队领导进行测评,共7个题项;在知识权力集中度测量方面,以往比较有代表性的研究包括Johnsen & Ford[49]及谢永平等[50]使用的量表,最终形成本研究知识权力集中度量表,由团队成员进行测评,共7个测量题项;知识创造主要参考借鉴了Nonaka & Takeuchi[43]、Denison & Hooijberg[51]及袁晓婷等[52]的成熟量表,形成本研究知识创造量表,共10个测量条款;知识整合测量主要参考借鉴 Grant[42]及袁晓婷等[51]的成熟量表,形成本研究知识整合量表,包括7个测量题项;竞争性价值观测量,主要参考Buenger & Daft[24]的成熟量表,分为4个维度共20个测量条款;对于任务互依性,主要参考和借鉴Wageman[53]及Canpion, Medesker & Higgs[54]的成熟量表,形成本研究的任务互依性量表,由团队成员测评,共3个题项。为提高研究准确性,除了模型中涉及的主要相关变量,将年龄、性别、教育背景、组织任期等设为控制变量。

3 数据统计与结果分析

3.1 团队层面数据聚合检验

本研究从团队层面探讨悖论式领导对团队创新的影响及作用机理,因此有必要对个体层面数据进行聚合检验,采用Rwg、ICC(1)、ICC(2)等指标评价团队数据聚合度。验证结果显示,组内一致性程度值Rwg大于0.7,组内差异程度值ICC(1)大于0.05,而组间差异值ICC(2)大于0.5,说明本文研究数据均符合一致性判定标准。本研究中,由于竞争性价值观属于团队层面数据,因此该部分数据不需要进行聚合检验。经计算全样本数据,各变量聚合检验结果如表1所示,可以发现,各研究变量都满足rwg>0.7,ICC(1)>0.12, ICC(2)>0.7,符合数据聚合判断标准。

3.2 描述性统计分析

变量描述性统计分析和相关分析主要测量变量间的关联性,表2总结了各变量均值、标准差及相关系数。从表2可以看出,悖论式领导与知识权力集中度(r=0.57,p<0.01)、 知识整合(r=0.25,p<0.01)、知识创造(r=0.21,p<0.01)及团队创新(r=0.20,p<0.01)显著正相关。同时,知识整合(r=0.69,p<0.01)、知识创造(r=0.67,p<0.01)与团队创新显著相关,上述结果为假设验证提供了初步证据。

表1 各变量多水平数据聚合检验结果
Tab.1 Aggregation test of multilevel data of various variables

指标悖论式领导知识创造知识权力集中度知识整合任务互依性团队创新Rwg0.8290.8780.7830.9130.9250.881ICC(1)0.2520.2760.2520.2480.2110.224ICC(2)0.8330.8350.8460.7520.8160.763

表2 变量均值、标准差与相关系数矩阵
Tab.2 Mean, standard deviation, and correlation coefficient matrix of variables

变量12345671.悖论式领导2.知识权力集中度0.57**3.竞争性价值观0.33**0.39**4.知识创造0.21*0.28**0.22*5.知识整合0.25**0.36**0.23**0.63**6.任务互依性0.68**0.42**0.28**0.19*0.17*7.团队创新0.20*0.36**0.21*0.67**0.69**0.24**平均值(M)3.683.723.813.933.913.673.74标准差(S.D.)0.520.450.520.560.400.590.45

注:*p<0.05,**p<0.01,下同

3.3 验证性因子分析

对数据进行验证性因子(CFA)分析以检验悖论式领导、团队创新、知识权力集中度、知识整合、知识创造、竞争性价值观及任务互依性7个构念的结构效度。结构效度拟合效果可以通过χ2/df、CFI、TLI、NFI、RMSEAI等一系列指标判断。各模型拟合效果如表3所示,结果显示,相较于六因子(并入知识权力集中度)、五因子(再并入知识创造)、四因子(再并入知识整合)、三因子(再并入竞争性价值观)、两因子(再并入任务互依性)以及单因子模型,七因子模型所有拟合指标均在可接受范围内,达到较高拟合水平,因此构建的测量模型拟合效果最佳。

表3 验证性因子分析结果
Tab.3 Confirmatory factor analysis

模型结构方程模型χ2/dfCFITLIGFIRMSEA模型1七因子模型2.330.930.910.930.032模型2六因子模型3.760.820.850.850.068模型3五因子模型3.710.850.820.840.043模型4四因子模型4.630.800.760.780.161模型5三因子模型4.720760.700.850.081模型6二因子模型5.250.630.480.520.132模型7一因子模型7.820.350.300.360.129

3.4 中介作用假设检验

从表4的模型拟合检验结果可以看出,完全中介效应模型即理论假设模型的所有匹配指数显示出良好的适配度(χ2/df=2.83,RMSEA=0.02,TLI=0.97,CFI=0.97),优于其它模型。由图2结构方程模型的路径关系及系数可知,悖论式领导与知识权力集中度正相关(β=0.82,p<0.05),因此假设H2成立;知识权力集中度正向作用于知识创造(β=0.33,p<0.05)、知识整合(β=0.17,p<0.05),即假设H4、H5也得到支持;此外,知识创造正向作用于知识整合(β=0.72,p <0.05),知识创造(β=0.33,p<0.05)、知识整合(β=0.52,p<0.05)与团队创新正相关,从而验证假设H7、假设H8及假设H9。因此,关于中介作用路径的假设H2、假设H4、假设H5、假设H7、假设H8及假设H9也得到验证。

3.5 调节作用检验

为检验调节效应,采用层级回归分析悖论式领导对团队创新的影响,并检验竞争性价值观在悖论式领导与知识权力集中度关系中的调节作用,以及任务互依性在知识权力集中度与知识整合关系中的调节作用。为了消除共线性影响,在构造调节变量的乘积项时,将悖论式领导、竞争性价值观、知识权力集中度、任务互依性分别进行标准化处理。在检验竞争性价值观对悖论式领导与知识权力集中度关系的调节作用时,首先纳入控制变量(年龄、性别、教育背景及组织任期),随后纳入自变量(悖论式领导),将知识权力集中度作为因变量,最后纳入悖论式领导与知识权力集中度的交互项。从表2中可以看出,悖论式领导对团队创新具有显著正向影响(β=0.20, p<0.01),因此假设H1得到支持;从表5看出,悖论式领导与竞争性价值观的交互项对知识权力集中度具有显著正向影响 (β=0.19, p<0.01),表明竞争性价值观越强,悖论式领导与知识权力集中度的正向关系就越显著,反之,越弱,因此假设H5得到支持。图3反映了悖论式领导与竞争性价值观二维交互的作用趋势。同理,为检验假设H6,在层级回归分析时将知识权力集中度设为自变量,先后纳入控制变量、自变量知识权力集中度及知识权力集中度与任务互依性的交互项,将知识整合作为因变量进行分析。从表6的模型中可以看出,知识权力集中度与任务互依性的交互项对知识整合具有显著正向影响 (β=0.24, p<0.05),因此假设H6得到支持。

表4 模型拟合检验结果 Tab.4 Model fitting test

模型结构方程模型χ2/dfCFITLINFIGFIRMSEA模型1虚无模型58.62模型2假设模型2.830.980.970.920.970.02模型3添加PLB至KC的路径4.740.880.810.830.790.07模型4添加PLB至KI的路径4.850.800.660.780.850.08模型5添加PLB至TI的路径5.400.770.770.650.780.06模型6移除KC至KI的路路径7.810.800.880.810.820.09

注:PLB、KC、KI、TI分别为悖论式领导、知识创造、知识创新及团队创新的缩写

图2 结构方程模型检验
Fig.2 Structural equation model testing

4 研究结论及启示

4.1 研究结论及理论意义

本研究以知识型研发团队为对象,结合领导力、知识管理及创新相关理论,实证检验中国情境下链接悖论式领导与团队创新的关系,从知识—权力转化视角探讨悖论式领导影响团队创新的过程机制及边界条件,得出以下研究结论:

(1)采用相关性及层级回归法分析悖论式领导影响团队创新的主效应。实证检验结果表明,悖论式领导正向作用于团队创新,验证了悖论式领导作为平衡工作需求和资源合理分配的新型领导方式,对提高团队创新产出有益。从团队创新角度,悖论式领导作用的有效性也表明创新团队在研发周期缩短、创新任务复杂多变的现实情境下需变革与升级领导方式[10]

(2)基于知识管理和知识权力理论,本研究提出知识权力集中度、知识创造与知识创新在悖论式领导与团队创新关系间发挥中介桥梁作用[20]。研究结果表明,知识权力集中度、知识创造、知识创新在悖论式领导与团队创新关系中起完全中介作用;悖论式领导通过知识权力集中度将领导权力转化为知识权力,在创新过程中的知识创造、知识整合阶段合理配置知识权力与创新资源,知识权力集中度反映了知识权力在创新团队中的集中程度,有助于促进团队创新目标实现。

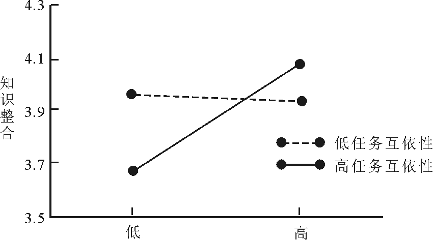
(3)竞争性价值观与悖论式领导的交互对知识权力集中度具有显著正向影响,任务互依性与知识权力集中度的交互对团队知识整合具有显著正向影响。竞争性价值观能有效提升悖论式领导对团队知识权力集中度的作用,团队竞争性价值观越强,悖论式领导对知识权力集中度的正向作用越显著。此外,进一步的检验结果表明,在创新任务呈现高度互依特征时,知识权力集中度与知识整合的关系更加紧密,任务互依性越高,知识权力集中度对知识整合的作用越显著。

表5 竞争性价值观的调节作用
Tab.5 The moderating role of competitive values

变量知识权力集中度模型1模型2模型3控制变量年龄-0.07-0.030.04性别0.030.030.03教育背景0.010.010.02组织任期-0.13-0.08-0.07自变量 悖论式领导0.36**0.36**调节变量竞争性价值观-0.02-0.03交互项 悖论式领导×竞争性价值观0.19**R20.360.450.45F34.76**41.87**37.62**ΔR20.120.01ΔF36.12**4.31*

表6 任务互依性的调节作用
Tab.6 The moderating effect of task interdependence

变量知识整合模型1模型2模型3控制变量年龄0.380.410.42性别0.110.110.11教育背景-0.39-0.41-0.43组织任期0.310.180.16自变量 知识权力集中度0.27**0.27**调节变量任务互依性-0.01-0.02交互项 知识权力集中度×任务互依性0.24***R20.160.190.24F9.82**10.07**11.92**ΔR20.030.05ΔF9.85**23.52**

图3 竞争性价值观的调节作用
Fig.3 The moderating role of competitive values

图4 任务互依性的调节作用
Fig.4 The moderating effect of task interdependence

4.2 管理启示

相较于其它团队,创新型团队在创新过程中往往面临更多相互矛盾的创新需求,领导者如何在面对两难挑战时作出正确决策,需要对悖论式领导具有更加深刻的理解与深入实践。悖论式领导者通过相互竞争关联的行为,统筹协调组织或员工在不同时间或同一时段的特异性要求,从而为创新团队提供有利创新条件。知识权力集中度作为链接悖论式领导与团队创新关系的传导载体,为进一步提升团队创新绩效提供了相应启示:作为团队管理活动的主导者和资源工作的分配者,团队领导者尤其是创新团队领导者,应该在创新过程中努力打造以知识权力为导向的创新氛围,降低领导权力等级壁垒和等级惯例,集中资源于团队创新绩效的提升。此外,悖论式领导管理风格有助于提升团队知识权力集中度,而团队内的竞争性价值观更有利于提升该效用。在面临挑战和不确定性时,高竞争性价值观有助于团队更加积极地认同知识权力的重要性,从而主动克服困难,推进创新过程。从创新团队成员角度而言,竞争性价值观能够帮助成员认同悖论式领导风格,并最大程度接受从领导权力到知识权力的转化,提升参与创新任务的热情与迎接创新挑战的信心,最终根据不同创新任务实现创新突破。

4.3 研究局限与展望

以往研究仅探讨了授权型领导、变革型领导等行为对团队创新的影响,本文尝试从知识权力视角探讨悖论式领导对团队创新的影响及作用机制,一定程度上丰富了悖论式领导相关研究。采用纵向研究设计,尽可能降低同源方差影响,从而使研究结果更贴近现实。然而,由于诸多主客观原因限制,本文不可避免地存在局限:①探索悖论式领导对研发团队创新过程的影响并未考虑其它领导行为,特别是已被证实的领导行为(如授权型领导、变革型领导)对研发团队创新的影响。后续研究可以进一步同时探讨悖论式领导、授权型领导等对团队创新的多重复合影响;②虽然研究量表是基于中国本土情境开发的,并在实际测量中保持了良好的稳定性,但量表在开发时是针对普适性调研对象的。后续研究在开展创新团队知识员工样本选择与数据测量时,需进一步完善题项设计与语句表述,以更契合特定研究对象和研究实际;③样本主要来自不同省份、不同地区的科研院所、设计院及科技公司,虽然这样做能有效提升研究的外部效度,但地域及行业类型差异化也在一定程度上抑制了研究的内部效度。后续研究可以聚焦某一行业开展针对性研究并进行对比,以进一步提升研究结果的内部效度。

参考文献:

[1] ZHANG Y, WALDMAN D A, HAN Y L, et al. Paradoxical leader behaviors in people management: antecedents and consequences[J]. Academy of Management Journal, 2015, 58(2): 538-566.

[2] SMITH W K, BINNS A, TUSHMAN M L. Complex business models: managing strategic paradoxes simultaneously[J]. Long Range Planning, 2010, 43(2-3): 448-461.

[3] SMITH W K, LEWIS M W. Toward a theory of paradox: a dynamic equilibrium model of organizing[J]. Academy of management Review, 2011, 36(2): 381-403.

[4] 姚柱,罗瑾琏,张显春,等.时间压力一致性与新生代员工创新绩效[J].研究与发展管理,2020,32(2):48-62.

[5] ZHANG M J,LAW K S, ZHANG Y. Reconciling the innovation paradox: a multllevel study of paradoxical leadership and ambidexterity[C]//Academy of Management Proceedings. Briarcliff Manor, NY 10510: Academy of Management,2016(1): 17687.

[6] KAISER R B, LINDBERG J T, CRAIG S B. Assessing the flexibility of managers: a comparison of methods[J]. International Journal of Selection and Assessment, 2007, 15(1): 40-55.

[7] 罗瑾琏,花常花,钟竞.谦卑型领导对知识员工创造力的影响及作用机制研究:一个被中介的调节模型——基于社会认知的视角[J].研究与发展管理,2016,28(4):106-116.

[8] NONAKA I, TOYAMA R. The knowledge-creating theory revisited: knowledge creation as a synthesizing process [J]. Knowledge Management Research & Practice, 2003, 1(1): 2-10.

[9] HARTNELL C A, OU A Y, KINICKI A. Organizational culture and organizational effectiveness: a meta-analytic investigation of the competing values framework's theoretical suppositions[J]. Journal of Applied Psychology, 2011, 96(4): 677-694.

[10] GEBERT D,BOERNER S,KEARNEY E.Fostering team innovation: why is it important to combine opposing action strategies[J]. Organization Science, 2010, 21(3): 593-608.

[11] WEST M A. Sparkling fountains or stagnant ponds: an integrative model of creativity and innovation implementation in work groups[J]. Applied psychology, 2002, 51(3): 355-387.

[12] JANSEN J J P, VAN DEN BOSCH F A J, VOLBERDA H W. Exploratory innovation, exploitative innovation, and ambidexterity: the impact of environmental and organizational antecedents[J]. Schmalenbach Business Review, 2005, 57(4): 351-363.

[13] RAVEN, BERTRAM H. A power/interaction model of interpersonal influence: French and Raven thirty years later[J]. Journal of Social Behavior & Personality, 1992, 7(2):217-244.

[14] CARLUCCIO J, BAS M. The impact of worker bargaining power on the organization of global firms[J]. Journal of International Economics, 2015, 96(1): 162-181.

[15] LACKOVIC N,KERRY R,LOWE R,et al.Being knowledge, power and profession subordinates: students' perceptions of twitter for learning[J]. The Internet and Higher Education, 2017, 33: 41-48.

[16] TAFTI M M, MAHMOUDSALEHI M, AMIRI M. Critical success factors, challenges and obstacles in talent management[J]. Industrial and Commercial Training, 2017, 49(1): 15-21.

[17] HAYEK F A. The use of knowledge in society[J]. The American Economic Review, 1945, 35(4): 519-530.

[18] RAY T, CLEGG S, GORDON R. A new look at dispersed leadership: power, knowledge and context[M]//Leadership in organizations. Routledge,2003:332-349.

[19] CARSON J B, TESLUK P E, MARRONE J A. Shared leadership in teams: an investigation of antecedent conditions and performance[J].Academy of Management Journal, 2007, 50(5): 1217-1234.

[20] FOUCAULT M.Power/knowledge: selected interviews and other writings, 1972-1977[M].Pantheon, 1980.

[21] MUDAMBI R,NAVARRA P.Is knowledge power? knowledge flows, subsidiary power and rent-seeking within MNCs[J].Journal of International Business Studies,2004, 35(5):385-406.

[22] VARMA A, RUSSELL L.Women and expatriate assignments: exploring the role of perceived organizational support[J].Employee Relations, 2016, 38(2): 200-223.

[23] ANDRIOPOULOS C, LEWIS M W.Managing innovation paradoxes: ambidexterity lessons from leading product design companies[J].Long Range Planning, 2010, 43(1): 104-122.

[24] BENGER V, DAFT R L, CONLON E J, et al.Competing values in organizations: contextual influences and structural consequences[J].Organization Science, 1996, 7(5): 557-576.

[25] CAMERON K S, QUINN R E, DEGRAFF J, et al. Competing values leadership[M]. Edward Elgar Publishing, 2014.

[26] SASAKI H, YONEMOTO N, MORI R, et al. Assessing archetypes of organizational culture based on the competing values framework: the experimental use of the framework in Japanese neonatal intensive care units[J]. International Journal for Quality in Health Care, 2017, 29(3): 384-391.

[27] JUDGE T A, COLBERT A E, ILIES R. Intelligence and leadership: a quantitative review and test of theoretical propositions[J]. Journal of Applied Psychology, 2004, 89(3):542-52.

[28] KOSTAKIS V, ROOS A, BA UWENS M. Towards a political ecology of the digital economy: socio-environmental implications of two competing value models[J]. Environmental Innovation & Societal Transitions, 2016, 18(5):82-100.

[29] CORMAN S, TANASESCU C. The competitive values approach through the organizational management[J]. SEA-Practical Application of Science, 2014,2(3):257-260.

[30] STEVANOVIC M, PERAKYLA A. Three orders in the organization of human action: on the interface between knowledge, power, and emotion in interaction and social relations[J]. Language in Society, 2014, 43(2): 185-207.

[31] CHEN M J. Reconceptualizing the competition—cooperation relationship:a transparadox perspective[J]. Journal of Management Inquiry, 2008, 17(4): 288-304.

[32] MATHESON C. Understanding the policy process: the work of henry mintzberg[J]. Public Administration Review, 2009, 69(6):1148-1161.

[33] CASTELLS M. A network theory of power[J]. International Journal of Communication, 2011, 5(1):773-787.

[34] WESTLEY F, MINTZBERG H. Visionary leadership and strategic management[J]. Strategic Management Journal, 1989, 10(S1): 17-32.

[35] DRORY A, VIGODA GADOT E. Organizational politics and human resource management: a typology and the Israeli experience[J]. Human Resource Management Review, 2010, 20(3): 194-202.

[36] LANKSHEAR S, KERR M S, LASCHINGER H K S, et al. Professional practice leadership roles: the role of organizational power and personal influence in creating a professional practice environment for nurses[J]. Health Care Management Review, 2013, 38(4): 349-360.

[37] WANG C, RODAN S, FRUIN M, et al. Knowledge networks, collaboration networks, and exploratory innovation[J]. Academy of Management Journal, 2014, 57(2): 484-514.

[38] VIDYARTHI P R, ANAND S, LIDEN R C. Do emotionally perceptive leaders motivate higher employee performance? the moderating role of task interdependence and power distance[J]. The Leadership Quarterly, 2014, 25(2): 232-244.

[39] 许科, 韩雨卿, 于晓宇, 等. 快速信任与临时团队绩效: 共享心智模型与团队互依性的角色[J]. 管理评论, 2016, 28(9): 238-249.

[40] LIN B W. Knowledge diversity as a moderator: inter-firm relationships, R&D investment and absorptive capacity [J]. Technology Analysis & Strategic Management, 2011, 23(3): 331-343.

[41] SHEREMATA W A. Centrifugal and centripetal forces in radical new product development under time pressure[J]. Academy of Management Review, 2000, 25(2): 389-408.

[42] GRANT R M. Toward a knowledge-based theory of the firm[J]. Strategic management journal, 1996, 17(S2): 109-122.

[43] NONAKA I,TAKEUCHI H.The knowledge-creating company: how Japanese companies create the dynamics of innovation [M]. Oxford University Press, 1995.

[44] GRIMPE C, KAISER U. Balancing internal and external knowledge acquisition: the gains and pains from R&D outsourcing[J]. Journal of Management Studies, 2010, 47(8): 1483-1509.

[45] VACCARO I G, JANSEN J J P, VAN DEN BOSCH F A J, et al. Management innovation and leadership: the moderating role of organizational size[J]. Journal of Management Studies, 2012, 49(1): 28-51.

[46] BERCHICCI L. Towards an open R&D system: internal R&D investment, external knowledge acquisition and innovative performance[J]. Research Policy, 2013, 42(1): 117-127.

[47] DRIVA H, PAWAR K S, MENON U. Performance evaluation of new product development from a company perspective[J]. Integrated Manufacturing Systems, 2001, 12(5): 368-378.

[48] 张光磊. 知识转移视角下的企业组织结构对研发团队创新绩效的影响研究[D]. 武汉: 华中科技大学, 2010.

[49] JOHNSEN R E, FORD D. Developing the concept of asymmetrical and symmetrical relationships:linking relationship characteristics and firms' capabilities and strategies[C]//Proceedings from the 18th Annual IMP Conference. Graduate School of Business and Management, 5th-7th September, Dijon France,2002.

[50] 谢永平, 孙永磊, 张浩淼. 资源依赖, 关系治理与技术创新网络企业核心影响力形成[J]. 管理评论, 2014,26(8):117-126.

[51] 袁晓婷. 企业 R&D 团队内部社会网络与团队知识创造关系研究[D].广州: 华南理工大学, 2010.

[52] DENISON D R, HOOIJBERG R, QUINN R E. Paradox and performance: toward a theory of behavioral complexity in managerial leadership[J]. Organization Science, 1995, 6(5): 524-540.

[53] WAGEMAN R. How leaders foster self-managing team effectiveness: design choices versus hands-on coaching[J]. Organization Science, 2001, 12(5): 559-577.

[54] CAMPION M A, MEDSKER G J, HIGGS A C. Relations between work group characteristics and effectiveness: implications for designing effective work groups[J]. Personnel Psychology, 1993, 46(4): 823-847.

(责任编辑:胡俊健)