组织创新氛围、网络嵌入对员工创新行为的影响

李静芝1,李永周2

(1.中国人民大学 劳动人事学院,北京 100872;2.武汉科技大学 恒大管理学院,湖北 武汉 430081)

摘 要:员工创新行为是企业获得持续竞争优势的关键,并受到员工所拥有资源的影响。新时代背景下,员工借助组织嵌入网络获取的异质性资源成为促进创新行为的关键要素。基于资源保存理论,构建组织创新氛围、网络嵌入和员工创新行为关系模型并进行实证调查研究,结果发现:组织创新氛围各维度中,资源供应、团队协作显著促进员工创新行为,而领导效能影响不显著;组织创新氛围与员工关系嵌入显著正相关,资源供应、团队协作与结构嵌入显著正相关,但领导效能对结构嵌入影响不显著;网络嵌入在资源供应、团队协作与员工创新行为关系中发挥中介作用,但在领导效能与员工创新行为关系中不起中介作用。最后,提出建立高绩效工作系统、优化和完善激励机制、强化内部创新文化氛围建设、提升企业和员工网络嵌入水平等管理建议。

关键词:组织创新氛围;结构嵌入;关系嵌入;员工创新行为

The Effect of Organizational Innovation Cliamte and Network Embeddedness on Innovative Behavior

Li Jingzhi1, Li Yongzhou2

(1.School of Labor and Human Resources, Renmin University of China, Beijing 100872, China; 2.Evergrande School of Management, Wuhan University of Science and Technology, Wuhan 430081, China)

AbstractInnovation occupies the main position in the VUCA era, and is of vital importance in the long-term survival and development of organizations. Under the background, how to motivate employee innovative behavior is significantly important for organizations to cope with the uncertainty and complexity of the environment. Therefore, employee innovative behavior becomes one of the main concerns of entrepreneurs and scholars. Innovation climate is proved to be positively connected to innovative behavior. Most of the literature explores the connection between innovation climate and employee innovative behavior from a psychological perspective, proposing that innovative efficacy, psychological empowerment and work motivation could properly explain the mechanism. However, as the trend in the new era that the innovative activities become more complicated in the content and structure, it is hard for individuals to adopt innovative activity without help from the environment. The new trend calls for a new perspective to better analyze the mechanism between innovation climate and innovative behavior.

Organizational innovation climate enables employees to acquire innovation resources inside the organization. However, the resources within an organization are limited in variability and heterogeneity. Attentions to innovation climate and network are powered by the notion that individuals cannot overcome dilemmas in the process of innovation through their efforts due to the boundedness of information and knowledge;instead, their innovative behaviors depend upon the environment they work in and the network they embedded in. The network of the organization might provide plentiful resources that employees need. It helps employees cope with resources scarcity problems and further innovate by taking advantage of the organizational resources to acquire more valuable heterogenetic resources in the organizational network. Therefore, network embedding could be a proper perspective to analyze the mechanism between innovation climate and employee innovative behavior.

This study aims to explore how to motivate employees, especially managers and R&D employees, and improve their innovative behavior under the background of innovation network thriving. According to COR theory, individuals with more resources are less vulnerable to resource loss and more capable of resource gain. Therefore, if employees do not have sufficient resources, they tend to protect their current resources and prevent investing more resources in case of resources loss, which leads to a decline of innovative behavior. On the other hand, individuals who have more resources are more capable of making gains, which can be utilized to make a further gain. In the process of idea generation and implementation, employees encounter skepticism and resistance as the innovative behavior needs sustained effort, as well as high uncertainty and threat of resources loss. When employees perceive that the organization supports their work and provides them with more resources, they are more likely to embed actively to the organizational network and strengthen relations to other groups and individuals to proactively react to protect and gain resources.

Based on the conservation of resource theory, this paper introduces network embeddedness (including relational embeddedness and structural embeddedness) as a mediator between the relationship of innovation climate (including three dimensions leadership effectiveness, team coordination and resources supply) and employee innovative behavior. Data were collected from 260 managers and R&D employees in Wuhan. According to the analysis it shows that team coordination and resources supply are significantly positive to employee behavior, but leadership effectiveness is not significantly related to employee behavior; three dimensions of innovation climate are significantly positive to relational embeddedness, but only team coordination and resources supply are significantly positive to structural embeddedness. Network embeddedness mediates the positive effect between team coordination, resources supply and innovative behavior.

This study contributes to current research in mainly two aspects. On the one hand, from the psychological perspective, we consider the role of network embeddedness as a linking mechanism between innovation climate and innovative behavior, which helps to explain employee behavior incentives under the networking background. It provides a network view to explore the relationship between innovation climate and employee innovative behavior, and some management suggestions. On the other hand, this study contributes to the organizational innovation climate literature by showing how elements of organizational innovation climate influence innovative behaviors respectively. When exploring the relationship between innovation climate and innovative behavior, previous studies regarded organizational innovation climate as an entirety, ignoring that dimensions of innovation climate may exert different impacts on the result. This study finds that the effects of innovation climate on innovative behavior vary in three dimensions.

Key Words:Organizational Innovation Climate; Structural Embeddedness; Relational Embeddedness; Employee Innovative Behavior

收稿日期:2021-07-20

修回日期:2021-11-15

基金项目:湖北省教育厅科学研究重点项目(D20201109)

作者简介:李静芝(1995-),女,湖北武汉人,中国人民大学劳动人事学院博士研究生,研究方向为人力资源管理与雇佣关系、企业研发与创新管理;李永周(1968-),男,湖南绥宁人,博士,武汉科技大学恒大管理学院教授、博士生导师,湖北产业政策与管理研究中心主任,科教创新与湖北高质量发展研究院院长,研究方向为创新经济与创新管理、科技管理与科技政策、科技人力资源。

DOI10.6049/kjjbydc.C202107288

开放科学(资源服务)标识码(OSID):

中图分类号:F272.92

文献标识码:A

文章编号:1001-7348(2022)12-0130-10

0 引言

员工创新行为是指员工在工作中产生、推动和实践新颖且有意义的思想、产品、过程、服务或方法[1]。探索激励员工创新行为的关键因素有助于企业及时调整创新支持政策,应对竞争全球化、环境不确定性与任务复杂性。组织创新氛围是员工对其所处工作环境支持创造力和创新程度的整体感知,对员工态度、能力、行为和绩效都会产生重要影响[2]。现有研究主要从个体心理视角出发,认为组织创新氛围通过提高员工组织支持感[3]、心理授权[4]、心理资本[5]、创新意愿[6]影响创新行为。然而,在科学技术日新月异和产业转型升级不断加快的背景下,创新是一个内容丰富、层次结构复杂、主体联系紧密的动态有机体系,不仅需要个体意愿的积极推动,而且需要充足、高质量、持续的资源支持[7]。良好的组织创新氛围可以保证组织内部资源供给,但受同质性、有限性和时滞性的限制,难以保证创新技术和信息的及时更新与优化配置[8]。组织所在网络中蕴含丰富的异质性资源,成为突破内部资源瓶颈、促进员工创新行为的重要场域。仅从个体心理视角无法解释组织创新氛围对创新行为的推动作用,需要从更全局、动态的网络视角分析如何获取创新资源[9]

资源保存理论可以解释创新活动等压力情境下员工如何获取资源和避免资源损失。该理论提出,个体有保存、维持和获取资源的倾向,初始资源较多的个体获取资源的能力较强,个体也需要投入资源以获取更多资源[10]。孤立的个体如果不能借由组织的创新支持获得突破组织边界的网络资源,就会选择保存现有资源以避免高风险创新活动。网络嵌入是网络中个体间交互形成的关系以及整个网络属性对网络主体经济行为产生的影响,嵌入网络的行为主体能够从网络中获得独特的资源和机会。在网络中,员工能够与网络内部其他行为主体建立长期稳定的信任与互惠关系,传递隐性知识与信息,获取关键异质性资源,激发创新行为。积极的组织创新氛围有助于员工完成初始资源积累和整合,为其进一步在网络中投资和获取资源提供机会[11]。员工在网络中占据影响力地位并建立稳定互惠关系后,能够跨越组织边界接触丰富的隐性知识,获得稳定的网络异质性资源,拓展关系渠道,在激烈的创新竞争中取得先机。本文从社会网络视角出发,基于资源保存理论,探究组织创新氛围不同维度对员工创新行为的作用机制,以及网络嵌入在二者关系中的中介作用。

1 理论基础与文献梳理

1.1 组织创新氛围

20世纪30年代,Lewin首次提出心理氛围概念,认为人类的行为离不开具体情境和生活空间,人们会对社会环境产生认知进而影响个体行为。Litwin等在此基础上发了组织氛围概念,认为组织氛围是组织内部影响员工个体行为和组织绩效的客观环境因素集合,是影响员工行为的重要因素。以组织氛围研究为基础,学者从创新、心理、伦理等特定角度提出了组织创新氛围、组织心理氛围等概念。随着组织对创新活动的重视,融合创新和组织氛围的组织创新氛围受到理论界越来越多关注,并主要从两种视角解释其内涵。一是结构性视角,如Kanter(1983)提出组织创新氛围是一系列影响员工创新活动的客观环境因素;二是知觉性视角,主要认为组织创新氛围是个体对创新环境的主观感知,Amabile(1996)提出组织创新氛围是组织成员感知其所处工作环境支持创造力和创新行为的程度,代表员工对组织中政策、制度、文化、资源是否具有创新性的判断。Isaksen(1999)和Badger(2001)也进一步明确,组织创新氛围是组织内个体对组织各项规章制度和运营流程形成的具有一致性的群体感知。随着组织创新氛围研究的深入,大部分学者已达成共识:从知觉性视角解释组织创新氛围,认同组织创新氛围属于组织氛围,是一种主观感受且内涵具有多重性[12]

随着全球性科技创新竞争日趋白热化,学者们越来越关注组织创新氛围如何对创新行为产生影响[13]。顾远东等(2010)研究认为,创新自我效能感是组织创新氛围促进员工创新行为的重要机制;Sonenshein等(2014)提出,当员工感知到组织对自身工作的创新支持时,会积极改变工作态度和行为来回应组织;Ren等(2015)认为创新氛围浓厚的组织为员工创新活动提供了重要的物质、情感和能量资源,帮助员工承担创新风险;Yuan等(2017)研究认为,组织创新氛围可以通过影响员工态度和动机提高创新绩效;Annika等(2019)提出,组织创新氛围可以促进员工对现有流程进行反思和挑战,并提出更有建设性的创新方案。总的来看,现有研究多把组织创新氛围作为一个整体考虑,较少关注组织创新氛围不同维度的差异化影响。组织创新氛围并非员工对单一现象,而是对组织内创新相关因素的综合认知,Amabile(1996)等从领导鼓励、资源支持、团队合作等10个维度定义组织创新氛围,并开发了经过实证检验最多次的KEYS量表。从多维度分析组织创新氛围的影响具有合理性,刘云[14]、邱皓政[15]、郑建君(2013)等研究,均从组织资源供应、领导效能和团队协作3个方面衡量组织创新氛围。资源供应指组织为成员创新提供的信息、资金、技术等资源;领导效能指领导对员工创新活动的支持程度和态度;团队协作指团队效能以及团队对创新的支持,包括成员知识交换等。Hobfoll(2001)提出的资源保存理论探讨了压力环境下资源对个体行为的影响。组织资源供应、领导效能和团队协作3个维度分别代表组织、领导和团队(同事)层次为员工创新活动提供的物质、能量等资源,契合了资源保存理论的解释机制。本研究借助资源保存理论,解释组织创新氛围不同维度资源对员工创新行为的影响。

1.2 网络嵌入理论

嵌入性概念最早由Polanyi于1944年提出,其认为“经济行为嵌入并缠结于经济与非经济的制度之中”。尽管嵌入性思想当时并没有受到很大关注,但是,对后来的社会经济学研究产生了深远影响。1985年,Granovetter[16]重新阐释了嵌入性概念并提出经济行为嵌入于社会结构,强调应从社会关系和人际互动的整体性分析人类经济活动。此后,嵌入性概念在工作、组织和网络等多个层面均得到发展与应用。嵌入性理论的经典分析框架认为,网络嵌入通过结构和关系影响经济活动。结构嵌入关注个体或组织作为节点在网络中的位置和影响力,而关系嵌入则更关注网络成员伴随频繁交互而形成网络关系的强度、质量及可持续性等[17]。嵌入理论认为,网络是一个开放的系统,嵌入其中的成员不断与其他主体发生错综复杂的联系,借助网络获取和调动稀缺资源,从中获得比网络外部主体更高的信息和资源优势[18]。Larson[19]研究认为,非正式网络有利于知识转移和学习,尤其是个人经验等隐性知识资源通常在非正式网络中传播。Burt的“结构洞”理论认为,占据网络中心位置的企业可以获取其它企业在网络中的位置和信息流,因此,能够获得独特资源和机会。Uzzi[20]研究发现,企业间紧密联系对获取新知识、加快信息流动具有积极影响,也会将现有资源的作用发挥到最大。这些研究为理解网络嵌入如何影响网络内行为主体的资源获取行为提供了理论基础。

网络嵌入理论常用于分析行为主体如何在网络中获取异质性资源和更好的机会。目前网络嵌入相关研究大多集中在组织层面,探讨组织网络嵌入对知识分享、企业绩效的影响以及网络嵌入在组织氛围与组织绩效关系中的作用[21]。也有学者开始探讨个体网络嵌入对其行为的影响,如刘善仕(2016)等研究员工在组织社会关系网络中的嵌入度与其角色外行为的关系。但总体而言,从网络嵌入视角分析员工等个体创新行为的研究较少见。根据嵌入理论,员工作为网络中重要的知识节点,通过网络关系与其他行为主体产生互动,受到网络结构和关系嵌入的影响,并从网络中获取资源和机会;Mitchell等[22]提出的工作嵌入理论认为,员工不仅嵌入于组织,还深受其所处社区环境的影响;Morrison(2002)研究认为,当个体需要获取信息时,非冗杂的异质性社会网络能够为个体提供独特和有价值的信息,弥补员工个体资源的不足;杨道建等(2020)认为,大学生创业者通过嵌入网络与其他创业者交流和共享以获取有价值的信息,最终提升绩效。本研究从结构嵌入和关系嵌入两个维度分析员工网络嵌入,其中,关系嵌入指员工在网络中的互惠关系,关注交流频率、关系质量和连接的作用,结构嵌入指主体在网络结构中所处位置[23]。员工的关系嵌入和结构嵌入共同决定其在网络中能够整合和配置的资源数量与质量,在网络嵌入情境中,个体可以通过在网络中占据优势地位、建立重要关系获取有利于创新的多元化资源,因此,从网络嵌入视角研究员工创新行为也具有重要意义。

2 研究假设

2.1 组织创新氛围与创新行为

创新活动需要投入大量精力、时间且须承担较大风险,还会损耗创新主体的心理、情感和物质资源。根据资源保存理论,面对压力时,如果个体不能获得足够资源,则会倾向于保存现有资源。良好的组织创新氛围有利于满足员工对资金、技术资源与领导工作支持等资源需求,以及团队成员间知识信息交流需求,缓解员工因资源损耗而产生的压力,可以促进员工创新行为[24]

首先,组织为员工提供的支持创新的技术、资金和设备资源是员工创新行为的重要物质资源基础。隋杨等(2012)研究发现,当组织为员工提供充足的用以创新的设备、资金和时间时,员工可以承担不可预知的风险;Shanker等[25]认为,支持创新的组织为员工提供更多创新资源和机会,让员工有机会尝试和验证新想法。个体感知到组织给予的保障和资源越多,就越有动力开展创新活动以回报组织。

其次,领导对创新活动的鼓励以及对失败的容忍可以显著提升员工对创新风险的承受度,使员工对创新结果更有信心从而大胆投入创新工作。冉爱晶(2017)等的研究表明,若企业家能够提倡创新、容忍失败,则企业内部可以形成良好的组织创新氛围,员工创新意识也会提升;Todt(2018)研究指出,当创新活动失败时,来自领导者的社会支持会提高创新者的复原力和潜力。

最后,高效、互相信任的团队协作有利于成员间深入沟通和交流以及高效分享信息和知识等资源。王仙雅等(2014)认为,良好的沟通环境能有效促进团队成员间隐性知识流动和共享以及知识整合和创新;Bosnehles(2017)研究发现,良好的组织创新氛围有助于员工间建立积极的信息、资源共享平台,获取创新的关键信息、知识资源。总的来说,组织创新氛围为员工提供丰厚的物质、情感、信息等资源,缓解员工失去和保存资源的压力,提升员工表达创造性想法的意愿,从而促进创新行为。

综上,本文提出以下假设:

H1:组织创新氛围对员工创新行为具有显著正向影响。

H1a:团队协作对员工创新行为具有显著正向影响;

H1b:领导效能对员工创新行为具有显著正向影响;

H1c:资源供应对员工创新行为具有显著正向影响。

2.2 组织创新氛围与网络嵌入

员工作为创新主体,不仅在组织中受到组织创新氛围的影响,而且在所嵌入的网络中扮演重要角色。员工能否获取足够的组织内部资源会直接影响其结构嵌入和关系嵌入程度,资源保存理论认为,拥有更多初始资源的个体获取新资源的能力更强,个体也需要优化和投资现有资源以获得更多资源。为了维持初始组织资源优势,员工会尝试各种方法获取突破企业边界的资源,此时,拥有更丰富异质性创新资源的网络成为他们的首选。良好的组织创新氛围为员工提供嵌入网络的资源平台,也成为其在网络中占据优势地位的坚实后盾,因此,能够提升员工结构嵌入。Hayton[26]研究发现,员工在公司内部感知到的从其他组织成员处获得的资源与员工社会网络嵌入的规模、密度和质量具有显著相关性。彭本红等(2021)研究发现,当制度更健全和开放时,行为主体认为从网络中获得资源更安全可靠,没有后顾之忧的主体会合理利用制度在网络中占据中心地位。Tomás(2020)等认为,良好的信息平台有利于行为主体获取资源,并进一步提升其在网络内的影响力和合作关系。当获得较多来自组织、领导和团队有助于创新的资源时,为了获取更多有价值的资源,员工会更主动地进行资源投资即嵌入网络,并在网络中占据有利地位和扩大自身影响力以获取更有价值的资源。

良好的组织创新氛围也为员工与网络内其他成员之间的网络互动、频繁沟通和亲密关系(正式或非正式关系)创造良好条件,促进员工关系嵌入。浓厚的组织创新氛围让员工感受到来自组织、领导和同事的情感支持,情感资源在社交关系中扮演至关重要的功能性角色,影响人们建立联系的欲望[27]。李忠民(2013)研究发现,员工如果感受到组织对其工作的资源支持,则会更积极主动嵌入组织网络,强化与其他团队和个人的联系。Harris(2011)认为,当主管较宽容地对待下属并且鼓励创新行为时,员工会有更高的工作嵌入度。Schippers等(2015)指出,当员工强烈感受到同事的支持和尊重时,他们更愿意相互信任和交流。领导对员工创新工作的支持如合理授权和分工、接受建言、工作指导等可以强化员工情感和关系资源,满足其工作场所的社交情感需求,进而强化员工关系嵌入。团队协作中同事的情感支持也有利于员工在创新网络中与其他主体更快建立稳定联系。基于以上分析,本文提出以下假设:

H2:组织创新氛围对员工网络嵌入具有显著正向影响。

H2a:团队协作对员工关系嵌入具有显著正向影响;

H2b:领导效能对员工关系嵌入具有显著正向影响;

H2c:资源供应对员工关系嵌入具有显著正向影响;

H2d:团队协作对员工结构嵌入具有显著正向影响;

H2e:领导效能对员工结构嵌入具有显著正向影响;

H2f:资源供应对员工结构嵌入具有显著正向影响。

2.3 网络嵌入与创新行为

组织网络作为一个协同系统,能够有效聚集人才、资源以及信息。网络嵌入度较高的个体在网络内拥有较强的影响力和控制力,也能与网络成员进行更频繁及高效的交流、合作和知识分享,因此,能够获得有利于创新活动的关键资源[28]。根据资源保存理论,当员工获得较多初始资源时会投资资源,缓解创新活动资源损失的压力。因此,能否从网络中获得创新所需资源是影响员工创新活动的关键因素。结构嵌入可以帮助员工在网络中获得组织内部缺乏的知识、信息和资本等资源,弥补组织内部知识结构缺陷,扩展知识边界,提升应对激烈变革的能力[29]。Belso-Martinez等(2018)指出,当员工居于强有力的网络位置时,能够占据更多信息、资源和地位流;王新华等(2018)认为,网络中节点所拥有的知识异质性和多样性越强,员工从中获得的资源信息越有价值。个体的网络中心度越高,所能接触并获得不同知识和信息的机会就越多,也能更快速、更全面地掌握网络资源分布和配置,优先获取与自身互补的多元化信息、技术和知识资源。充足的资源可以缓解创新活动可能带来的资源损耗,提升员工创新意愿,进而促进创新活动。

关系嵌入高的员工能够获得更多交流合作机会,在频繁的交互过程中员工加深与其他主体间信任及共享意愿,有机会从其他主体处获得宝贵的隐性知识资源,进一步影响知识获取、传递与创造[30]。在关系网络中,主体间关系越紧密,为合作伙伴提供信息、知识、技术诀窍等资源的意愿就越强烈。Gonzalez(2013)研究发现,在创新网络内部创新主体形成强链接有利于异质性人力资本的频繁交流互动,进一步促进知识技能互补和资源共享;庞博[31]提出,创新网络中企业深度合作有利于创新主体获取关键、互补性的知识信息资源,对现有资源进行再组合以提升自身创新能力。侯仁勇等(2019)研究指出,在嵌入式创新背景下,创新活动受到知识网络中知识元和协同网络中合作伙伴的双重影响。员工与网络中其它节点关系越紧密,越能交换更多数量和更高质量的资源,在协作中互惠成长,让有利于创新行为的隐性知识显性化。总的来说,网络嵌入为企业提供了高效、共赢的创新平台和协作模式,有助于员工克服企业内部资源同质性障碍,获取外部高价值的隐性知识资源及协作伙伴,进而促进创新行为。

基于此,本文提出以下假设:

H3:网络嵌入对员工创新行为具有显著正向影响。

H3a:关系嵌入对员工创新行为具有显著正向影响;

H3b:结构嵌入对员工创新行为具有显著正向影响。

2.4 网络嵌入的中介作用

创新活动需要承担较高风险,也需要消耗资源,员工创新行为受其感知到所拥有资源的影响,也取决于隐性知识能否被有效挖掘和传递[32]。企业内部资源存在信息滞后、资源同质化等问题,只有突破企业边界嵌入到更大的网络中获取资源,才能将组织创新氛围所提供的网络嵌入机会转换为实际创新行为。因此,衡量员工是否占据优势中心地位的结构嵌入和是否建立紧密联系的关系嵌入构成组织创新氛围与创新行为的中介机制。资源保存理论认为,个体有保存和获取资源的倾向,初始资源较多的个体更容易获得资源,也需要投资资源。组织创新氛围为企业员工提供创新资源激励,帮助员工进一步嵌入到网络中获得更多资源,并在创新网络中争取优势位置。员工嵌入网络获得异质性、非冗余性的知识、资源和信息,并拥有较多结构洞和桥接关系。同时,嵌入网络获得的硬件设施共享、前沿信息探讨,可以帮助员工突破组织内部资源瓶颈,进而促进员工创新行为。占据优势地位的员工可以对丰富的市场需求信息、技术、政府政策信息等资源进行选择和利用,进而获取差异化信息优势和控制优势,最终促进创新行为。

员工还能与网络中其他创新主体沟通和交流并建立友好、信任的关系,将网络打造成知识交融集聚地,获取有利于创新的隐性研发知识、管理知识和市场开发知识[33]。网络中各节点技术合作就是相互间知识匹配—知识流动—知识控制的过程,丰富的知识、信息、资源匹配和交流为员工在网络中建立创新技术合作提供了良好基础[34]。网络嵌入体现企业控制和配置资源的能力,反映网络节点间合作交流有效性,资源、信息的交换、分享、整合机制对员工创新行为具有积极影响[35]。个体感知到组织提供的创新资源越多,个体嵌入创新网络的动机就越强烈,其网络嵌入度也越高,越有利于其获取创新资源开展创新活动。从网络视角探索组织创新氛围与员工创新行为的关系,有利于挖掘个体对组织内部创新支持的认知与外部结网行为之间的关联,以及突破组织边界的网络内部资源流动与信息交流对个体行为的影响。基于此,本文提出以下假设:

H4:网络嵌入在组织创新氛围与员工创新行为的作用机制中发挥中介作用。

H4a:关系嵌入在团队协作影响员工创新行为的作用机制中发挥中介作用;

H4b:关系嵌入在领导效能影响员工创新行为的作用机制中发挥中介作用;

H4c:关系嵌入在资源供应影响员工创新行为的作用机制中发挥中介作用;

H4d:结构嵌入在团队协作影响员工创新行为的作用机制中发挥中介作用;

H4e:结构嵌入在领导效能影响员工创新行为的作用机制中发挥中介作用;

H4f:结构嵌入在资源供应影响员工创新行为的作用机制中发挥中介作用。

综上,构建本文理论研究模型,如图1所示。

图1 关系假设模型
Fig.1 Proposed theoretical model

3 研究方法与数据来源

3.1 数据收集与研究样本

本文研究数据来源于中共武汉市委组织部委托的专题调研项目“市场化引才用才机制研究”,对武汉多家高新技术企业、创新创业企业的中高层管理者及关键技术研发人员发放问卷。问卷采取线上线下结合的方式,通过中共武汉市委组织部协调进行发放与回收。共收集323份样本数据,剔除数据缺失、多变量选项一致、问卷回答时间小于180秒等无效样本,最终获得294份有效数据。294份有效样本基本特征如下:男性194人,占66.0%,女性100人,占34.0%;年龄在25岁以下的有4人,占1.4%,26~30岁有59人,占20.1%,31~35岁有68人,占23.1%,36~40岁有59人,占20.1%,41~45岁有43人,占14.6%,46~50岁有37人,占12.6%,51岁及以上有24人,占8.2%;有26人为大专及以下学历,占8.8%,87人为本科学历,占29.6%,79人为硕士学位,占26.9%,102人为博士学位,占34.7%;工作性质方面,产品研究开发人员最多,共121人,占41.2%,职能管理人员和技术管理人员分别为99人和74人,占33.7%和25.2%。

3.2 变量度量

本文主要采用SPSS26.0和AMOS22.0对数据进行分析。为确保量表效度,问卷题项均参照国内外已有文献进行设计和适当修改。问卷包含组织创新氛围、网络嵌入和创新行为的量表,采用Likert 5点计分法,从“非常不符合”至“非常符合”分别给予1~5分的赋值。

(1)组织创新氛围。参考邱皓政等[14]开发的组织创新氛围量表,从“团队沟通”“资源供应”“领导效能”3个维度衡量组织创新氛围。其中,领导效能包括“我的主管能够尊重与支持我在工作上的创意”等4个题项,Cronbach′s α系数为0.854。资源供应包括“我拥有足够的设备器材以进行我的工作”等4个题项,Cronbach′s α系数为0.842。团队协作包括“我的工作伙伴与团队成员具有一致的目标”等4个题项,Cronbach′s α 系数为0.832。最终问卷包含12个题项。

(2)网络嵌入。该变量的测量参考许冠南(2011)和李永周等[36]编制的量表,从“关系嵌入”和“结构嵌入”两个维度衡量。其中,关系嵌入问卷包含“我和我的网络合作伙伴在沟通交流时能做到实事求是”等4个题项,Cronbach′s α系数为0.860,而结构嵌入问卷包含“我在关系圈子里的地位具有影响力”等4个题项,Cronbach′s α系数为0.798。

(3)员工创新行为。参考刘云等[15]编制的员工创新行为问卷,包括“工作中,我经常产生一些有创意的点子或想法”等5个题项,Cronbach′s α系数为0.877。

(4)控制变量。本研究对员工的年龄、性别、教育程度及工作性质等人口统计学变量进行控制。

4 数据分析与研究结果

4.1 验证性因子分析

本研究采用验证性因子分析方法检验数据与模型的适配性,并进行区分效度分析。运用AMOS22.0对团队沟通、资源支持、领导效能、关系嵌入、结构嵌入和创新行为6个变量进行验证性因子分析。检验结果如表1所示,六因素模型比其它备选测量模型显示出更好的拟合度,说明研究模型中6个变量具有较好的区分效度。同时,运用SPSS软件进行Harman单因子分析,结果显示,共有6个主成分因子的特征值大于1,解释总方差的66.049%,且第一个主成分因子方差贡献率为38.637%,小于40%,表明本研究同源方法偏差并不严重。

表1 验证性因子分析结果
Tab.1 Results of confirmatory factor analysis

模型 χ2dfχ2/dfTLIIFICFIRMSEA六因素模型TC,LE,RS,RE,SE,IB535.1522602.0580.9210.9330.9320.060五因素模型TC+LE,RS,RE,SE,IB833.5542653.1450.8410.8600.8590.086四因素模型TC+LE+RS,RE,SE,IB1 091.6322694.0580.7730.7980.7960.102三因素模型TC+LE+RS+RE,SE,IB1 247.2752724.5860.7360.7620.7610.111双因素模型TC+LE+RS+RE+SE,IB1 379.0052745.0330.7030.7310.7290.117单因素模型TC+LE+RS+RE+SE+IB1 785.1502756.4950.5950.6310.6290.137

4.2 描述性统计与相关性分析

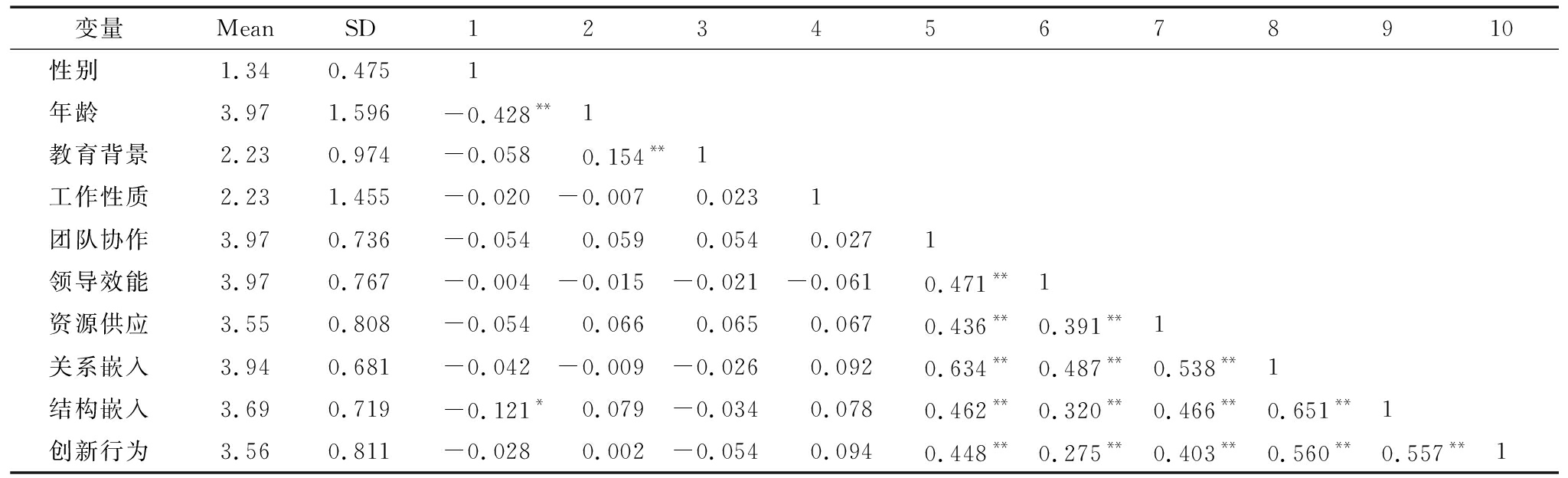
各变量的均值、标准差及相关系数如表2所示,组织创新氛围的3个维度,即团队协作与关系嵌入(β=0.634,p<0.01)、结构嵌入(β=0.462,p<0.01)和创新行为(β=0.448,p<0.01)均显著正相关,领导效能与关系嵌入(β=0.487,p<0.01)、结构嵌入(β=0.320,p<0.01)和创新行为(β=0.275,p<0.01)均显著正相关,资源供应与关系嵌入(β=0.538,p<0.01)、结构嵌入(β=0.466,p<0.01)和创新行为(β=0.403,p<0.01)显著正相关。同时,关系嵌入(β=0.560,p<0.01)和结构嵌入(β=0.557,p<0.01)与创新行为均显著正相关。因此,假设得到基本验证。

表2 变量描述统计与相关性分析
Tab.2 Correlations analysis and descriptive statistics

变量MeanSD12345678910性别 1.34 0.475 1 年龄 3.971.596 -0.428**1 教育背景2.23 0.974 -0.0580.154**1 工作性质2.23 1.455 -0.020-0.0070.0231 团队协作3.97 0.736 -0.0540.0590.0540.0271 领导效能3.97 0.767 -0.004-0.015-0.021-0.0610.471**1 资源供应3.55 0.808 -0.0540.0660.0650.0670.436**0.391**1 关系嵌入3.94 0.681 -0.042-0.009-0.0260.0920.634**0.487**0.538**1 结构嵌入3.69 0.719 -0.121*0.079-0.0340.0780.462**0.320**0.466**0.651**1 创新行为3.56 0.811 -0.0280.002-0.0540.0940.448**0.275**0.403**0.560**0.557**1

注:N=260,*代表p<0.05,**代表p<0.01,下同

4.3 假设检验

为进一步探讨组织创新氛围、网络嵌入与员工创新行为之间的关系,本研究对性别、年龄、教育背景、工作性质4个人口统计学变量进行控制,采用多层线性回归方法检验主要假设。由模型6可知,团队协作(β=0.331,p<0.01)和资源供应(β=0.251,p<0.01)与创新行为显著正相关,领导效能(β=0.023,p>0.01)对创新行为无显著影响。因此,假设H1a、H1c成立,H1b不成立。由模型2可知,团队协作(β=0.430,p<0.01)、领导效能(β=0.177,p<0.01)和资源供应(β=0.282,p<0.01)均与关系嵌入显著正相关。由模型4可知,团队协作(β=0.295,p<0.01)和资源供应(β=0.309,p<0.01)与结构嵌入显著正相关,领导效能(β=0.062,p>0.01)对结构嵌入无显著影响。因此,假设H2a、H2b、H2c、H2d、H2f成立,H2e不成立。由模型7可知,关系嵌入(β=0.33,p<0.01)和结构嵌入(β=0.336,p<0.01)均与创新行为显著正相关。因此,假设H3a和H3b成立。

由模型8可知,加入自变量后,组织创新氛围3个维度与创新行为的关系均不显著,而中介变量即关系嵌入(β=0.239,p<0.01)和结构嵌入(β=0.308,p<0.01)对创新行为的影响显著。为进一步验证中介效应的显著性,本研究采取不需要假设抽样正态化分布的Bootstrap方法,通过反复抽样估计中介效应的抽样分布和中介效应的置信区间。Bootstrap抽样样本数5 000,置信区间95%,检验结果如表4所示。

结果显示,关系嵌入在团队协作与创新行为之间的中介效应显著(间接效应值为0.314 8,CI95%为[0.210 3,0.426 7]),在资源供应与创新行为之间的中介效应显著(间接效应值为0.257 0,CI95%为[0.166 6,0.363 7]);结构嵌入在团队协作与创新行为之间的中介效应显著(间接效应值为0.222 7,CI95%为[0.146 5,0.311 3]),在资源供应与创新行为之间的中介效应显著(间接效应值为0.217 6, CI95%为[0.140 7,0.307 9])。因此,假设H4a、H4c、H4d和H4f成立。

表3 回归分析结果
Tab.3 Results of multiple regression analysis

变量关系嵌入M1M2结构嵌入M3M4创新行为M5M6M7M8常量4.0361.0523.8191.5403.6301.2740.5630.440性别-0.053-0.029-0.103-0.083-0.030-0.0110.0220.021年龄-0.026-0.0530.0430.019-0.002-0.025-0.007-0.018教育背景-0.027-0.059-0.048-0.077-0.058-0.086-0.032-0.048工作性质0.0910.0730.0770.0530.0950.0720.0380.038团队协作0.430**0.295**0.331**0.137领导效能0.177**0.0620.023-0.039资源供应0.282**0.309**0.251**0.089关系嵌入0.337**0.239*结构嵌入0.336**0.308**R20.0120.5200.0240.3190.0130.2670.3810.397调整后R2-0.0020.5090.0100.302-0.0010.2500.3680.378F0.84444.339**1.73919.148**0.94514.918**29.396**20.810**

表4 中介效应分析结果
Tab.4 Results of mediating effects analysis

路径Indirect EffectSELLCIULCI团队协作-关系嵌入-创新行为0.314 80.054 80.210 30.426 7资源供应-关系嵌入-创新行为0.257 00.049 90.166 60.363 7团队协作-结构嵌入-创新行为0.222 70.042 40.146 50.311 3资源供应-结构嵌入-创新行为0.217 60.042 80.140 70.307 9

5 研究结论与管理启示

5.1 研究结论和理论贡献

本研究基于资源保存理论,从网络嵌入视角揭示组织创新氛围对员工创新行为的影响作用。在理论分析的基础上,对组织创新氛围、网络嵌入与员工创新行为三者之间的关系进行调查研究和实证分析。得到以下主要结论:一是在组织创新氛围3个维度中,资源供应和团队协作与员工创新行为显著正相关,领导效能对员工创新行为影响不显著;二是组织创新氛围与员工关系嵌入显著正相关,资源供应和团队协作与结构嵌入显著正相关,但领导效能对结构嵌入影响不显著;三是网络嵌入在组织创新氛围(资源供应和团队协作)与员工创新行为中发挥中介作用。

研究主要理论贡献如下:首先,探索网络嵌入能否成为连接组织与员工个体行为的中介机制,呼应了企业竞争激烈背景下创新活动对跨越组织边界资源的需求。现有研究多从个体心理视角探索组织创新氛围对员工创新行为的作用机制,本研究从网络嵌入视角探索员工创新绩效的影响因素,发现网络嵌入在组织创新氛围与员工创新行为关系中发挥中介作用,丰富了组织创新氛围对员工创新行为影响的作用机制研究。尽管嵌入理论可以解释个体和组织的经济行为,但现有研究一般将组织整体看作创新网络中的主体,从网络嵌入视角分析员工等个体创新行为的研究比较少见。本研究也丰富了嵌入性理论,加强了嵌入性理论在个体层面的实证应用,有利于在创新背景下解释员工的技术累积、资源流动、信息交流及创新行为。

其次,以往研究一般将组织创新氛围作为一个整体进行测量,没有考虑组织创新氛围作为一个多维变量,其内在不同维度对创新行为可能产生的不同影响。本研究从组织创新氛围3个维度分别探讨其对网络嵌入和创新行为的影响,实证结果证明了资源供应和团队协作对网络嵌入与创新行为的显著影响,但是,没有证明有关领导效能的假设。产生这一结果可能是因为样本量不够大,仅选取武汉市高新技术企业的管理和技术人员作为研究对象,存在局限性,也可能因为组织为员工提供了设备、资金和技术支持等资源,团队协作为员工提供了信息和知识等资源,而领导效能更侧重于员工如何感知领导对创新的态度,没有直接衡量其为员工提供的物质资源。领导效能所提供的关系和情感资源仅有助于员工在网络中与其他主体沟通和建立关系,并未直接对创新行为和结构嵌入产生影响。

最后,拓展了资源保存理论对创新行为的解释机制。资源保存理论被广泛用于工作家庭冲突、建言行为和工作参与相关研究,但是,较少有研究关注其对创新行为的解释力。创新是充满风险和需要损耗资源的活动,资源和信息是创新活动的关键要素,因此,资源保存理论能够用于分析员工创新行为影响因素。创新氛围程度高的组织为企业员工提供较多资源,丰富的初始资源促使员工在网络中获取资源,建立紧密关系。若员工能在网络中获得资源,则会更有动力和能力拓宽创新思维,有效整合和利用资源,打破原有组织的创新边界。

5.2 启示与建议

近年来,信息化、多元化、全球化发展趋势给企业带来前所未有的机遇和挑战。人力资本和知识生产力成为企业独特的竞争资源,重视人才地位、鼓励人才创新、激励创新行为的员工创新管理是企业在激烈竞争中抢占先机、探寻可持续发展道路的关键。基于研究结论,本文提出以下管理建议:

首先,企业应根据主导创新活动的员工(如高技术企业的管理人员和技术人员)特征,为其建立独特的高绩效工作系统和激励机制。员工作为创新活动的主体和异质性人力资本,具有高价值性、高稀缺性,其研发成果及创新能力为企业提供了形成核心竞争力的技术、知识产权、管理制度等无形资产。传统的薪酬激励方法无法满足企业员工高成就动机、高创新需求,因此,企业应重视员工的个性、需求及目标特征,打造良好的创新工作环境,提供创新所需资源和信息,表彰和奖励员工贡献,并为员工创造更多与网络内其他创新主体沟通和交流的机会。

其次,企业应加强内部创新文化氛围建设,增强资源支持、领导效能和团队沟通。创新需要耗费大量时间、精力、资源,是风险性较大、失败可能性较高的活动,企业应为员工创新提供良好的资金、技术、设备基础,并在规章制度上保障员工创新行为的利益,使组织支持成为员工创新的坚实后盾。此外,管理者应建设鼓励创新、宽容失败的创新文化氛围,为员工提供积极、有效的沟通和反馈渠道,协助解决员工在创新中遇到的困难,及时奖励和表彰员工创新行为和创新成果。

最后,企业和员工都应提高自身网络嵌入深度和广度。目前,很多公司已经开始注重公司内部组织创新氛围建设,但是,对创新网络嵌入度的重要性认知不足。从企业角度来看,应积极参与到组织网络建设和维系中,为员工打造更好的知识共享、信息交流、经验沟通平台,也为员工提供更多超越公司边界的创新活动机会。从员工角度来看,要发挥自身异质性人力资本的独特知识和能力,积极嵌入组织网络,加强与合作伙伴的沟通和交流,提升自己在网络中的中心度和重要性,充分利用网络嵌入的信息和资源优势,提升创新能力,促进创新行为。

5.3 不足与展望

本研究也存在一些不足:首先,尽管研究结果显示共同方法偏差的影响并不严重,但是,由于问卷调查采取自我报告形式,测评结果带有较强主观色彩,未来研究可以采取个人报告加主管评价的形式收集数据。研究结论没有支持领导效能对结构嵌入和创新行为的影响,未来可以深入研究为什么组织创新氛围不同维度会对创新行为产生不同影响。其次,采用横向研究设计,忽略了研究变量在不同阶段产生的变化,未来可以采用纵向研究设计进行跟踪调查分析。最后,只探讨了网络嵌入在组织创新氛围与员工创新行为关系中发挥的中介作用,没有讨论组织创新氛围对员工创新行为影响作用机制中是否存在其它边界条件,未来可以探讨员工个人特质如主动性人格和调节焦点等在组织创新氛围对员工网络嵌入影响中的调节作用。

参考文献:

[1] SCOTT S G,BRUCE R A. Determinants of innovative behavior: a path model of individual in the workplace[J]. Academy of Management Journal, 1994, 37(3): 580-607.

[2] AMABILE TM, CCONTI R, COON H, et al. Assessing the work environment for creativity[J].Academy of Management Journal, 1996, 39(5):1154-1184.

[3] 阎亮,张治河.组织创新氛围对员工创新行为的混合影响机制[J].科研管理,2017,38(9):97-105.

[4] LIU F, CHOW H S, ZHANG J C, et al. Organizational innovation climate and individual innovative behavior: exploring the moderating effects of psychological ownership and psychological empowerment[J]. Review of Managerial Science, 2019,13(4):771-789.

[5] HSU M, CHEN F H. The cross-level mediating effect of psychological capital on the organizational innovation climate-employee innovative behavior relationship[J]. The Journal of Creative Behavior, 2017, 51(2):1-16.

[6] 王金凤,吴蕊强,冯立杰,等.企业创新氛围、员工创新意愿与创新绩效机理研究——基于高新技术企业的实证分析[J].经济与管理研究,2017,38(9):127-136.

[7] 张宝建,裴梦丹,陈劲,等.价值共创行为、网络嵌入与创新绩效——组织距离的调节效应[J].经济管理,2021,43(5):109-124.

[8] ANCONA D, BRESMAN H. X-teams: how to build teams that lead, innovate, and succeed [M]. Cambridge, MA: Harvard Business Press, 2013.

[9] 高丽娜,华冬芳.创新环境、网络外部性与城市群创新能力——来自长三角城市群的经验研究[J].华东经济管理,2020,34(9):55-60.

[10] HOBFOLL SE.Conservation of resource caravans and engaged settings [J]. Journal of Occupational & Organizational Psychology,2011,84(1):116-122.

[11] HUNTER L, WEBSTER E,WYATT A. Measuring intangible capital: a review of current practice [J]. Australian Accounting Review, 2005, 15(36):4-21.

[12] 杨百寅,连欣,马月婷.中国企业组织创新氛围的结构和测量[J].科学学与科学技术管理,2013,34(8):43-55.

[13] 崔淼,肖咪咪,王淑娟.组织创新氛围研究的元分析[J].南开管理评论,2019,22(1):98-110.

[14] 邱皓政,陈燕祯,林碧芳.组织创新气氛量表的发展与信效度衡鉴[J].测验学刊,2009,56(1):69-97.

[15] 刘云,石金涛.组织创新气氛与激励偏好对员工创新行为的交互效应研究[J].管理世界,2009(10):88-101,114,188.

[16] GRANOVETTER M S. Economic action and social structure: the problem of embeddedness [J]. Administrative Science Quarterly, 1984, 19:481-510.

[17] MCEVILY B, MARCUS A. Embedded ties and the acquisition of competitive capabilities [J]. Strategic Management Journal, 2005, 26(11):23.

[18] 刘兰剑.网络嵌入性:基本研究问题与框架[J].科技进步与对策,2010,27(13):153-160.

[19] BURT RS. Structural holes: the social structure of competition [M]. Cambridge: Harvard University Press, 1995:779.

[20] UZZI B .Social structure and competition in interfirm networks :the paradox of embeddedness [J].Administrative Science Quarterly,1997,42(1):35-67.

[21] 董津津,陈关聚.创新网络嵌入性、社区意识对企业创新绩效的影响[J].科技进步与对策,2020,37(5):77-86.

[22] MITCHELL TR, LEE TW. The unfolding model of voluntary turnover and job embeddedness: foundations for a comprehensive theory of attachment [J]. Research in Organizational Behavior,2001,23:189-246.

[23] MORAN P. Structural vs. relational embeddedness: social capital and managerial performance [J]. Strategic Management Journal,2005,26(12):1129-1151.

[24] MAHMOOD I P, ZHU H, ZAJAC E J. Where can capabilities come from:network ties and capability acquisition in business groups [J].Strategic Management Journal,2011, 32: 820-848.

[25] 孙甫丽,蒋春燕.自我决定视角下组织创新氛围、和谐型激情与员工持续创新行为研究[J].科技进步与对策,2019,36(10):138-145.

[26] 彭本红,仲钊强.治理机制、网络嵌入对平台企业开放式服务创新绩效的影响[J].科技进步与对策,2021,38(3):96-105.

[27] LOPEZ-KIDWELL V, NIVEN K, LABIANCA G. Predicting workplace relational dynamics using an affective model of relationships[J]. Journal of Organizational Behavior, 2018,39(9): 1129-1141.

[28] FEELEY T H, MOON R I, KOZEY R S, et al. An erosion model of employee turnover based on network centrality [J]. Journal of Applied Communication Research, 2010, 38(2):167-188.

[29] 刘松博,李育辉.员工跨界行为的作用机制:网络中心性和集体主义的作用[J].心理学报,2014,46(6):852-863.

[30] 李浩,胡海青.孵化网络视角下毕业企业角色转换影响研究[J].软科学,2015,29(11):70-74.

[31] 侯仁勇,严庆,孙骞,等.双重网络嵌入与企业创新绩效——结构视角的实证研究[J].科技进步与对策,2019,36(12):98-104.

[32] 潘颖雯, 万迪昉.三种不确定性对研发人员激励契约设计的影响研究[J].管理学报,2010,7(4):525-528.

[33] 张方华.网络嵌入影响企业创新绩效的概念模型与实证分析[J].中国工业经济,2010,27(4):110-119.

[34] 贾卫峰, 党兴华.技术创新网络中核心企业形成的三状态模型研究——基于企业间关系耦合的分析[J].科学学研究,2010,28(11):1750-1757.

[35] 孔晓丹, 张丹. 创新网络知识流动对企业创新绩效的影响研究——基于网络嵌入性视角[J]. 预测, 2019,38(2):15-21.

[36] 李永周,高楠鑫,易倩,等.创新网络嵌入与高技术企业研发人员创新绩效关系研究[J].管理科学,2018,31(2):3-19.

(责任编辑:万贤贤)