差序式领导、创造力自我效能感对员工创造力的影响:中庸思维的调节作用

吴士健1,高文超1,权 英2

(1.山东科技大学 经济管理学院;2.山东科技大学 文法学院,山东 青岛 266590)

摘 要:差序式领导是华人企业组织中普遍存在且蕴含独特文化价值的领导风格,对提高员工创造力发挥着重要推动作用。基于347份实证调查数据,构建一个被中介的调节效应模型,检验差序式领导对员工创造力的作用机理和边界条件。研究结果表明:差序式领导有利于员工创造力发挥;员工创造力自我效能感在差序式领导与员工创造力之间起到部分中介作用;中庸思维在差序式领导影响员工创造力过程中发挥正向调节作用,且部分调节作用通过创造力自我效能感进行中介传递。

关键词:差序式领导;创造力自我效能感;员工创造力;中庸思维

The Influence of Differential Leadership and Creative Self-efficacy on Employees' Creativity: Moderating Effect of Zhong-yong Thinking

Wu Shijian1,Gao Wenchao1,Quan Ying2

(1.College of Economics and Management,Shandong University of Science and Technology;2.College of Humanities and Law,Shandong University of Science and Technology,Qingdao 266590,China)

AbstractDifferential leadership is a popular leadership style with unique cultural values in Chinese enterprise organizations, which plays an important role in promoting employees' creativity. Based on 347 empirical survey data, a mediated moderation model was built to test the mechanism of differential leadership on employee creativity. The results indicate that differential leadership is conducive to employees' creativity. Employees' creative self-efficacy plays a partial mediating role between differential leadership and employees' creativity. Zhong-yong thinking positively moderates the relationship between differential leadership and employees' creativity, and the moderating role is partly mediated by creative self-efficacy.

Key Words:Differential Leadership; Creative Self-efficacy; Employees' Creativity; Zhong-yong Thinking

收稿日期:2021-03-26

修回日期:2021-05-19

基金项目:山东省自然科学基金项目(ZR2019MG030);青岛市哲学社会科学规划研究项目(QDSKL1801132)

作者简介:吴士健(1977-),男,山东齐河人,博士,山东科技大学经济管理学院教授,研究方向为组织行为与人力资源管理;高文超(1995-),女,山东青岛人,山东科技大学经济管理学院硕士研究生,研究方向为人力资源管理;权英(1977-),女,吉林永吉人,山东科技大学文法学院副教授,研究方向为组织行为管理。本文通讯作者:权英。

DOI10.6049/kjjbydc.2021020065

开放科学(资源服务)标识码(OSID):

中图分类号:F272.91

文献标识码:A

文章编号:1001-7348(2021)17-0144-08

0 引言

创新是推动企业发展的重要力量,一切创新成果的产生都源于创造性想法的成功应用。培育并挖掘组织内创造性想法,激发组织创造力是实现企业创新驱动发展的必由之路[1]。员工创造力是组织创造力的根本,也是提升组织创造力的关键。领导是组织中正式权力的真正拥有者,能够实现对组织资源和机会的有效控制与支配,是对员工创造力影响最直接的外在情境因素[2]。差序式领导是基于“差序格局”产生的、华人企业所特有且普遍存在的领导风格[3],相比于西方文化情境下的领导类型,其更能突显中国文化情境下领导者与员工互动方式[4]。差序式领导模式下,领导者根据“亲”“忠”“才”3类核心标准将部属分为内部人和外部人并区别对待,以自我为中心,按照亲疏远近进行人际交往和资源分配。有学者认为,差序式领导风格是偏私对待,有“获益者”就有“受损者”,内部人和外部人是互相对立的存在[5]。领导者的偏私对待可能使内部人拥有更多资源和机会,有利于激发其创造力。相比之下,外部人则可能由于自身能力有限和处于边缘地位,发挥创造力的意愿较低[6]。陶厚永等[7]认为,差序式领导可能形成对外部人的职场排斥和群体隔离现象,损耗外部人心理资源,不利于其创造力发挥。但也有学者认为,当外部人感受到剥夺感并认为这种现状可以改变时,会积极向领导者“输诚”,努力工作并向内部人靠拢。在这个过程中,其能力得到提升,创造力也相应增强[6]。基于当前不同观点,本文将实证检验差序式领导对员工创造力的影响。

当前学术界关于差序式领导的研究主要围绕差序式领导方式对团队、员工行为的影响展开。赵莉、韩杨等[8]从知识团队互动的动态过程视角出发,探究了差序式领导通过团队冲突对团队运作结果产生的双面影响;林英晖、程垦[9]实证检验了中国组织文化情景下差序式领导对员工亲组织非伦理行为的影响机制;王弘钰等[10]探究了差序式领导方式对员工越轨创新行为的影响机制;袁凌等[11]检验了中国情境下差序式领导影响员工创新行为的作用机理及边界条件。已有研究厘清了中国人面对差序式对待时的心理逻辑和行为认知,但关于差序式领导如何影响员工创造力的成果相对较少,对于领导如何在中国文化情境下通过影响员工自我认知进而作用于员工创造力,仍缺乏深入研究。因此,厘清差序式领导对员工创造力的作用机制显得尤为重要。

差序式领导对内部人和外部人的不同对待方式使得员工产生不同心理反应和行为,那么,这种影响如何作用于员工创造力呢?根据社会认知理论,个体认知与行为间的关系受到自我效能感的影响,已有研究就自我效能感对个体创造力的影响机制进行了深入探讨。张勇等[12]证明了挑战性压力通过自我效能感对创造力发挥更强的正向作用,阻碍性压力抑制自我效能感从而对创造力产生显著负向影响;张韬[13]研究发现,正念思维通过自我效能感对员工创造力产生正向影响。随着研究的深入,学者们发现创造力自我效能感对员工创造力具有更好的预测作用。创造力自我效能感是反映个体工作中创新态度的重要变量,往往在领导风格与个体创造力间扮演中介角色。已有研究证明了创造力自我效能感在包容性领导[14]、魅力型领导[15]、自我牺牲型领导等领导风格与员工创造力间发挥中介作用,本研究将进一步探讨创造力自我效能感能否在差序式领导与员工创造力之间发挥中介作用。此外,个体创造力依赖于情境因素与个体特质间相互作用。认知—情感系统理论认为,个体面对的情境会与其认知-情感单元发生交互作用,对个体态度和行为产生决定性作用。考虑到中庸思维在中国存在的普遍性和重要性,以及中庸思维所体现的目标和价值观是中国文化情境下认知—情感单元的重要组成部分,本文引入中庸思维作为调节变量,探索其在差序式领导影响员工创造力过程中的调节作用,厘清差序式领导影响员工创造力的边界条件。

综上所述,本文以差序式领导理论、社会认知理论、认知—情感系统理论为基础,分析中国情境下差序式领导对员工创造力的影响机制,引入创造力自我效能感作为中介变量,探究其在差序式领导与员工创造力之间发挥的中介作用,并检验中庸思维在其中发挥的调节作用,进一步丰富差序式领导理论,也有助于中国企业管理者更好地理解和发挥差序式领导的实际作用,有效激发员工创造力。

1 研究假设与概念模型

1.1 差序式领导与员工创造力

员工创造力是指员工所拥有的在工作中开创性地、有价值地解决问题的能力和想法[16]。领导是影响员工创造力的重要情境因素之一,其所处位置以及掌控的资源条件可以为激发员工创造力提供良好组织环境[17]。郑伯埙[18]依据华人领导者对部属进行差别对待的现象,提出华人差序式领导的概念;姜定宇、张苑真[3]将差序式领导定义为在人治主义氛围下,华人领导者对不同部属采取不同领导方式,并且将更多偏私给予内部人部属的领导风格。沟通照顾、宽容亲信和提拔奖励是差序式领导内涵的3个方面。

依据差序式领导理论,企业领导者基于关系、忠诚和才能3个归类标准将部属分为内部人与外部人,部属在3个方面评定中得分越高,越有可能被认定为内部人[18]。差序式领导以此对内部人部属和外部人部属进行动态归类,实现有效运作。若部属的表现不能满足领导者期望,则会由内部人转变为外部人;若部属拉关系、输诚或者提高工作能力,则会由外部人转变为内部人。这种情况下,内部人部属努力提高办事效率和质量以维持组织内地位,外部人部属努力上进力求转变为内部人。因此,差序式领导能够对内部人与外部人态度和行为产生有效影响,激发员工创造力发挥。

差序式领导者对待内部人部属更为关心照顾,与之进行更多交流互动,使得员工敢于表达自己的想法,员工也能够更为及时地得到有用的工作信息和工作反馈,有利于激发员工创造力。当发挥创造力过程中出现差错时,领导者对内部人部属出现的差错更易产生包容之心,使得内部人不畏创新可能带来的风险,更容易产生创造性想法。另外,领导者在工作中将更多资源、机会和授权分享给内部人部属,为员工创造力的发挥提供良好条件支持。从员工自身出发,领导者的亲近信任使他们相信自己更有可能获得提拔,并改进工作方法,提高工作质量,亦或对改进组织方法、流程提出建设性意见。此外,报恩心理也会因为领导的偏私和赏识在内部人部属中产生,领导对内部人的信任使内部人产生亏欠与感恩心理,他们认为有义务回报领导者,便会更努力地投入到工作中,满足领导者对他们的角色期待,有利于创造力提高[6]

领导者对内部人部属的偏私也可能激发外部人部属的焦虑和不满情绪,使外部人部属对领导的角色期待降低,但通常这种焦虑和不满情绪会被控制在一个适度范围内。有学者指出,适度的焦虑情绪可以提高员工对问题识别的敏感度,适度不满也会对员工创造力产生激发作用[10]。当个体处于不满状态时,若其产生通过改变行为能够获得期望结果的认知,则有利于其创造力的发挥[19]。更进一步地,产生于人治主义氛围下的领导偏私某种程度上符合中国人的正义观,外部人部属比较容易接受这种“合理的不公平” [20],认可领导者对关系较好、忠诚、有才干的员工有所偏私,这可能促使他们对自身行为进行改善,努力转变为领导内部人部属[18],由此,创造力得到提升。另外,内部人部属的创造性工作若被外部人部属认可成为榜样,便会引起外部人部属对他们所掌握创新知识或技巧的关注,从而主动学习和提高创造力[21]。基于此,提出如下假设:

H1:差序式领导对员工创造力有显著正向影响。

1.2 创造力自我效能感的中介作用

员工创造力自我效能感是在自我效能感概念上发展形成的,Tierney等[22]将自我效能感与创造力理论相结合进行了开创性研究,提出了“创造力自我效能感”,即在所从事的特定工作中个体对于自己产生创新行为能力与自信心的评价, 反映创造性活动中个体对自己的信念或期望。领导行为及其对事件的反应受到员工高度关注,直接影响员工自我效能感。一方面,由于中国人治主义氛围的存在,差序式领导者与内部人部属之间的关系亲密度极大地超过西方组织中领导与部属间仅依靠工作建立的情感,领导与员工之间可以建立工作之外的亲密私人情谊。领导者对内部人部属给予较多授权和较少控制、较多关怀和沟通机会以及更多培训机会,使其更易接触到有效的工作资源。这种信任和照顾使内部人部属自我价值认知得到提升,员工创造力自我效能感也得到提升。Tierney等(2010)研究发现,创造力自我效能感与员工接受的领导创造性支持行为正相关;安彦蓉(2020)也研究证实直接上级为员工提供的学习、工作、发展等方面的反馈正向影响员工创造力自我效能感。另一方面,差序式领导者的偏私作风会对外部人部属产生激励作用。根据相对剥夺理论,当员工感知到剥夺感并相信自己可以改变现状时,他们会作出积极改变,期望通过良好表现获得领导青睐并成为内部人。外部人部属通过努力工作、参加培训等方式提升能力,进而高效率地完成工作,不断提高工作绩效,这些成功经验会给员工创造力自我效能感带来重要正向影响。基于此,提出如下假设:

H2:差序式领导对员工创造力自我效能感有显著正向影响。

依据社会认知理论,个体的认知、行为与所处环境相互影响、相互作用。创造力自我效能感作为一个个体认知变量在此模式下深刻影响员工创造力,在环境影响行为过程中发挥重要中介作用。已有大量研究指出,创造力自我效能感作为员工发挥创造力的内驱力,对员工创造力提升具有积极影响[23]。首先,创造力自我效能感使员工对自己在工作中的控制力更为自信,通常认为领导对自己高度重视、充分认可。因此,其对领导的信任程度较高,心理安全感也较强,更乐于在领导面前积极表达自己的观点,与领导沟通自己的创造性想法;其次,创造力自我效能感使得员工对处理复杂人际关系更为自信,相信自己能够在组织中与其他成员建立良好关系,不会担心由于提出不同意见而被反对或误解,更乐于与同事分享自己的创造性想法,有利于创造力提高;最后,尽管创造性活动充满了风险和不确定性,但是创造力自我效能感能够帮助员工积极面对困难情境,不畏惧各种可能出现的挫折与难题,反而会刺激创造性想法的产生[24]。基于此,提出如下假设:

H3:创造力自我效能感在差序式领导与员工创造力之间起中介作用。

1.3 中庸思维的调节作用

认知-情感系统理论认为,个体面对的情境会与他们的认知-情感单元发生交互作用,对个体的态度和行为发挥决定性作用。目标和价值观是个体认知—情感单元的重要组成部分。在中国情境下,中庸思维是中国文化心理中良好应对多元和多样化变化挑战的核心要素[25]。吴家辉和林以正[26]将中庸思维划分为多方思考、整合性、和谐性3个维度,认为中庸思维关注整体及各组成部分间关系,从多元化视角看待问题,在不同观点之间建立联系进行整合,同时,理解矛盾的统一性和斗争性,追求事物和谐发展,体现个人行动目标和价值观。

中庸思维一方面体现了不偏不倚、顾全大局的中和性行动目标,另一方面体现了追求整体与个体和谐平衡的价值观。同样面对差序式领导,员工的中庸思维程度不同,其创造力水平也可能存在差异。差序式领导本身体现的就是对不同员工的领导方式存在差异,而高中庸思维的员工更能包容这种差异性,愿意在充满矛盾的环境中寻求机会发展进步,创造性想法更易在此情境下产生。对于高中庸思维的员工而言,他们更倾向于合作共享并从中获得有用信息,收获更多创新知识,并且高中庸思维的员工追求和而不同,会在看法出现分歧时找到和谐平衡的解决方式,拥有更好的适应能力,也有利于创造性想法的产生。而低中庸思维的员工更拘泥于手头现有工作任务和资源,对于不同想法和意见缺乏包容性,不能很好地调节自身想法和思维,无法调和自己内心的矛盾,不愿拓宽工作边界,不利于创造性想法的产生。张光曦等(2015)指出,中庸思维所体现的包容性和整体性有利于个体适应复杂情境、获取有效信息,为员工创造性想法的产生提供条件;吴士健等(2020)也研究证明,中庸思维帮助个体整合外界信息与内在要求,在保证和谐的前提下作出行动,促进员工创造力的产生。基于此,提出如下假设:

H4:中庸思维正向调节差序式领导与员工创造力之间的关系,即随着员工中庸思维的提高,差序式领导对员工创造力的正向影响增强。

具有高水平中庸思维的员工能更为有效地利用各种信息,并游刃有余地处理工作中的矛盾冲突,使得员工在复杂工作环境中拥有更强控制感,对创造力自我效能感产生正向影响。班杜拉(1999)指出,员工对于发挥创造力的信心增强,在处理工作中的各种矛盾时展现出更加积极的态度和行为,较少担心创造过程中的风险,因而会产生更多创造性想法,开创性解决问题的能力进而得到提升。相反,低水平中庸思维的员工只能利用有限信息,无法有效化解工作中的矛盾冲突,因差错带来的恐惧和不安等负面情绪难以很快消除或调节,员工对外界缺乏控制感,创造力自我效能感较低,更倾向于回避创造性活动以规避其可能带来的不利影响,员工创造力因而被削弱。基于此,提出如下假设:

H5:中庸思维在差序式领导与员工创造力之间的调节效用通过创造力自我效能感起作用,即随着中庸思维的提升,差序式领导对创造力自我效能感的影响增强,从而对员工创造力的影响增强。

本研究理论模型如图1所示。

图1 理论模型

2 研究设计

2.1 变量测量

采用姜定宇、张苑真开发的差序式领导量表测量差序式领导,包括3个维度,共14个题项,其中,照顾沟通5个题项、提拔奖励5个题项、宽容犯错4个题项[3]。采用Tierney等[22]的3题项单维员工创造力自我效能感量表测量创造力自我效能感。中庸思维的测量借鉴吴佳辉和林以正的维度划分方法,分为多方思考(多方面思考问题)、整合性(作决定时整合自己及大家的意见)以及和谐性(崇尚以和谐的方式处理冲突)3个维度,采用13个条目的量表[26]。员工创造力的测量,采用George等[27]开发的员工创造力量表,包括13个条目。所有量表的测量均采用李克特5点评分法。

已有研究表明,员工认知和行为可能受到人口统计特征和工作相关特征的影响[9,10,28]。根据差序式领导与创造力相关研究,选取性别、年龄、受教育程度、与直接领导合作时间作为控制变量。

2.2 研究样本

本次调查主要面向山东省济南、青岛、烟台等地区高新技术企业员工发放问卷。为避免共同方法偏差问题,调查时在问卷中加入标记变量。调查共发放并收取问卷403份,利用SPSS22.0过滤掉存在缺失值、反应倾向明显的无效问卷56份,得到有效问卷347份,问卷有效率86%。被调查对象基本统计信息如表1所示。

表1 研究样本人口统计学特征

人口统计变量人数百分比(%)性别男19756.91女15043.09年龄20~30岁6017.2431~40岁17049.1341~50岁9627.56 50岁以上216.07婚姻状况未婚15043.18已婚19756.82学历专科及以下288.13本科19656.38硕士9828.32博士及以上257.17在本企业工作时间2年及以下4312.452~5年12435.876~10年12636.2310年以上5415.45与直接领导合作时间2年及以下4914.132~5年13338.276~10年12034.5110年以上4513.09

由表1可知,参与问卷调查的男性多于女性;40岁以下的占66%,说明员工呈现年轻化态势;拥有本科及以上学历的占91.87%,说明当前我国高新技术企业员工大都受过良好教育,知识水平较高。 表1较好地反映了我国高新技术企业员工构成情况。

3 研究结果分析

3.1 相关性分析

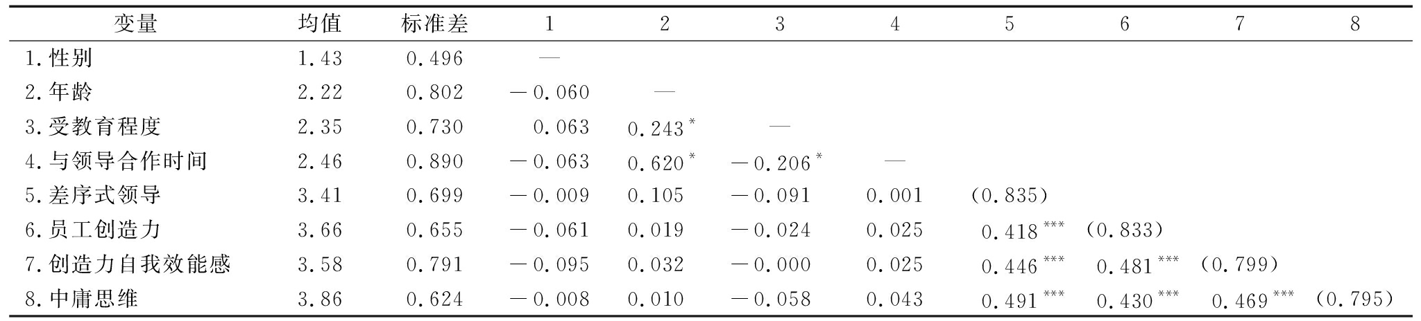
由表2可知,差序式领导与员工创造力显著正相关(β=0.418,p<0.001),差序式领导与创造力自我效能感显著正相关(β=0.446,p<0.001),假设H1、H2得到初步验证,且各潜变量间呈显著正相关关系,适合进行回归检验。

表2 描述性统计与相关系数

变量均值标准差12 3 4 5 6 7 81.性别1.430.496—2.年龄2.220.802-0.060—3.受教育程度2.350.7300.0630.243*—4.与领导合作时间2.460.890-0.0630.620*-0.206*—5.差序式领导3.410.699-0.0090.105-0.0910.001 (0.835)6.员工创造力3.660.655-0.0610.019-0.0240.0250.418***(0.833)7.创造力自我效能感3.580.791-0.0950.032-0.0000.0250.446***0.481***(0.799)8.中庸思维3.860.624-0.0080.010-0.058 0.0430.491***0.430***0.469*** (0.795)

注:*表示p<0.05,**表示p<0.01,***表示p<0.001,括号内数值表示对应变量AVE的平方根

3.2 信效度分析

为确保所采用量表具有良好可靠性和有效性,在数据分析之前对各量表进行信度和效度检验。首先,采用内部一致性指标对信度进行检验。利用SPSS22.0软件计算得到差序式领导、创造力自我效能感、员工创造力、中庸思维的Cronbach′s 系数分别为0.924、0.913、0.947、0.941,均在0.9以上,说明调查问卷的信度较好。其次,通过潜变量的平均提炼方差(AVE值)进行效度分析,结果显示所有潜变量的平均提炼方差均在0.5以上,收敛效度良好。所有变量AVE值的平方根数值均超过其与其它变量的相关系数,区分效度良好。利用AMOS软件进行验证性因子分析,结果如表3所示,发现四因子模型(差序式领导、创造力自我效能感、员工创造力、中庸思维)的各项拟合指数(χ2/df=2.821,RMSEA=0.045,CFI=0.951,GFI=0.950,NFI=0.927)均达到较好的拟合标准,且相对于其它模型表现更佳,说明适合采用四因子模型。

表3 验证性因子分析结果

模型因子χ2/dfRMSEACFIGFINFI单因子模型DL+CS +ZT+EC5.3930.1170.7380.7390.791二因子模型DL+CS +ZT、EC4.9720.1110.7730.7880.723三因子模型DL、CS +ZT、EC3.5320.0790.7920.8340.833四因子模型DL、CS 、ZT、EC2.8210.0450.9510.9500.927

注:DL表示差序式领导,CS表示创造力自我效能感,EC表示员工创造力,ZT表示中庸思维

为规避共同方法偏差问题,问卷调查时已进行程序处理,在此采用主成分分析法进行检测。对全部问卷题目采用Harman单因子分析法进行主成分因子分析,未旋转时得到的第一主成分占35.237%,在40%以下,没有对大部分变量形成解释力,表明不存在严重的共同方法偏差,可以作进一步统计研究。

3.3 假设检验

3.3.1 中介效应检验

运用SPSS22.0对创造力自我效能感的中介效应进行检验,结果如表4所示。模型1、模型2的因变量是创造力自我效能感,模型3、模型4、模型5的因变量为员工创造力。模型1和模型3只包括控制变量,模型2在模型1的基础上加入自变量差序式领导,模型4在模型3的基础上加入自变量差序式领导,模型5在模型4的基础上加入中介变量创造力自我效能感。由模型4可知,在控制了员工性别、年龄、受教育程度、与直接领导合作时间等变量后,差序式领导显著正向影响员工创造力(β=0.421,p<0.001),假设H1得到验证;由模型2可知,差序式领导显著正向影响创造力自我效能感(β=0.317,p<0.001),假设H2得到验证;由模型5可知,在加入创造力自我效能感后,创造力自我效能感对员工创造力有显著正向影响(β=0.265,p<0.001),且差序式领导对员工创造力的影响程度较模型4有所下降(β=0.352,p<0.001),表明创造力自我效能感在差序式领导与员工创造力之间起部分中介作用,假设H3得到验证。

表4 中介效应检验结果

变量类型创造力自我效能感模型1模型2员工创造力模型3模型4模型5性别-0.123-0.104-0.076-0.142-0.078年龄0.0780.0890.1450.0860.151受教育程度-0.109-0.136-0.063-0.138-0.076与领导合作时间0.0970.0870.1070.0950.143差序式领导0.317***0.421***0.352***创造力自我效能感0.265***R20.0270.2910.0190.3530.478△R2-0.264-0.3340.125F值3.17335.092***2.2146.648***62.451***

3.3.2 有中介的调节效应检验

运用SPSS22.0检验中庸思维在差序式领导与员工创造力、差序式领导与创造力自我效能感之间的调节作用,结果如表5所示。

表5 有中介的调节效应检验结果

变量类型创造力自我效能感模型1模型2模型6模型7员工创造力模型3模型4模型8模型9模型10性别-0.123-0.104-0.108-0.029-0.076-0.142-0.087-0.075-0.045年龄0.0780.0890.1020.0830.1450.0860.1470.2130.053受教育程度-0.109-0.136-0.146-0.254-0.063-0.138-0.171-0.059-0.448与领导合作时间0.0970.0870.0730.0840.1070.0950.1090.0830.106差序式领导0.317***0.385***0.462***0.421***0.462***0.537***0.235***创造力自我效能感0.361***中庸思维0.271***0.213***0.183***0.262***0.209***DL*ZT0.182***0.207***0.064***CS*ZT0.079R20.0270.2910.3650.4510.0190.3530.4350.4880.512△R2-0.2640.0740.086-0.3340.0820.0530.024F值3.17335.092***39.202***46.551***2.21046.648***52.508***54.010***44.328***

模型1、模型2、模型6和模型7是对创造力自我效能感的回归,模型1只包含控制变量,模型2在模型1的基础上加入自变量差序式领导,模型6在模型2的基础上加入调节变量中庸思维,模型7在模型6的基础上加入差序式领导与中庸思维的交互项。模型3、模型4、模型8、模型9和模型10是对员工创造力的回归,模型3只包含控制变量,模型4在模型3的基础上加入自变量差序式领导,模型8在模型4的基础上加入调节变量中庸思维,模型9在模型8的基础上加入差序式领导与中庸思维的交互项,模型10在模型9的基础上加入中介变量创造力自我效能感与中庸思维的交互项。按照温忠麟等提出的方法对被中介的调节模型进行检验,首先,由模型9可知,差序式领导和中庸思维的交互项显著正向影响员工创造力(β=0.207,p<0.001),假设H4得到验证。为进一步验证中庸思维在差序式领导与员工创造力间的调节效应,本文进行简单斜率分析,结果如图2所示。高水平中庸思维组的回归直线更为陡峭,斜率更大,说明相较于低中庸水平的员工,中庸水平较高的员工在差序式领导水平增加同等程度时,其创造力水平提升更多,中庸思维正向调节差序式领导与员工创造力的关系。其次,由模型7可知,差序式领导与中庸思维的交互项显著正向影响创造力自我效能感(β=0.182,p<0.001)。最后,由模型10可知,中介变量创造力自我效能感显著正向影响员工创造力(β=0.361,p<0.001)。因此,被中介的调节模型成立。此外,模型10中差序式领导与中庸思维的交互项对员工创造力的影响依然显著(β=0.064,p<0.001)。由此得出,创造力自我效能感部分中介中庸思维在差序式领导影响员工创造力过程中的调节作用,H5得到验证。

综合上述分析可知,中庸思维正向调节差序式领导对员工创造力的影响,同时,创造力自我效能感在差序式领导与员工创造力关系的正向调节效应中起部分中介作用。为进一步对有中介的调节效应进行验证,本文进行简单斜率分析,结果如图3所示。高水平中庸思维的回归直线更为陡峭,说明当员工的中庸思维水平更高时,差序式领导能更大程度激发员工创造力自我效能感。结合图2和回归数据可以发现,中庸思维强化差序式领导对员工创造力的影响。这种调节作用以创造力自我效能感为中介进行传递,先强化差序式领导对创造力自我效能感的正向作用,再进一步影响员工创造力,即对于高中庸思维的员工,差序式领导能更有效地增强员工创造力自我效能感,从而更大程度提高员工创造力水平。

图2 中庸思维对差序式领导—员工创造力的调节效应

图3 中庸思维对差序式领导—创造力自我效能感的调节效应

4 研究结论与启示

4.1 研究结论

本文构建了一个有中介的调节效应模型,研究发现:首先,差序式领导对员工创造力具有显著正向影响。差序式领导对内外部员工的不同对待方式,以及内外部员工的合理流动性,可以激励员工努力工作,并促使“圈外人”积极向“圈内人”靠拢,推动员工创造力提升。其次,创造力自我效能感在差序式领导与员工创造力之间发挥部分中介作用。员工态度和行为受到外界影响,差序式领导给予员工资源或心理支持,激励员工提升业务能力,有助于提高员工创造力自我效能感。创造力自我效能感高的员工更加相信自己能够较好地发挥创造力,在面对困境时勇于坚持,敢于表达和实施自己独特的想法,有助于员工创造力涌现。最后,中庸思维在差序式领导影响员工创造力过程中起到正向调节作用,且这种调节作用部分通过创造力自我效能感进行传递。高中庸思维的员工能够更为广泛地吸纳处理工作环境中的有用信息,更自如地协调安排创新性工作,更好地处理组织中人际关系,进而创造力水平较高。此外,高中庸思维的员工能够更为全面地认知差序式领导,并据此调整自己的行为,通过能力展现或“输诚”获得领导认可,因而差序式领导对于激发员工创造力自我效能感的作用更为突出,员工创造力更可能得到提高。

4.2 管理启示

本文对中国文化情境下特有且普遍存在的差序式领导影响员工创造力的机理进行了实证分析,丰富了差序式领导研究成果,也有助于组织完善员工创造力管理实践。基于研究结论,得到如下管理启示:

(1)领导者要正确区分内部人与外部人,并努力使部属认可这种区分标准,保持良好的内外部人员流动性。在中国人治主义氛围下,领导者将适度的偏私给予更为努力或更忠诚的部属,这一行为被认为是公平的,内部人部属乐于同领导交流,有助于积极开展创造性活动,外部人部属也会努力表现,以期得到领导者赏识进而成为内部人。但如果差序式领导者在区分内部人和外部人时明显有失公允,在资源分配、情感照顾、信任支持等方面过于偏私对待内部人,且外部人感觉难以进入内部人圈子,则可能引发外部人部属的反感,影响组织稳定性。因而,差序式领导者要让外部人部属看到向内部人部属转化的可能性,让他们对工作怀有更多期待,对组织更加认同,以提高他们发挥创造力的热情。

(2)领导者要重视培养员工产生创造性结果的信心,使员工感知到自己创新性工作的价值所在,提高其创造力自我效能感。领导在给予部属支持时要注意个人需求差异,员工需要的可能是发挥创造力失败后被包容的心理安全感,也可能是有效发挥创造力后的认可与赞赏,亦或是发挥创造力过程中各种有效信息、资源的支持等。领导者要在工作过程中细心体察不同员工的真正需求,给予恰当支持,有效提高员工创造力自我效能感,从而激发员工个体创造力。同时,差序式领导者还应留意外部人部属发挥创造力所取得的成绩,及时给予必要赞赏与奖励,增加资源支持,让其感知到自己在向内部人部属靠拢过程中所付出的努力得到了领导认可,进一步激发其创造力自我效能感。

(3)领导者要积极看待员工中庸思维,引导员工从整合性视角看待问题。中庸思维强调多方思考,注重整合性与和谐性,注重从个体与整体统一的角度看待问题,慎独自修并体察他人,不以一己之私损害组织利益,为实现组织目标而忠恕宽容、至诚尽性。这对营造和谐的组织氛围,提高员工创造力自我效能感,进而激发个体创造力是极为重要的。因此,领导者可以通过轮岗制度引导员工更全面地了解公司运作,接收不同信息,实现资源整合,锻炼员工多方思考能力和整合思考能力;积极鼓励员工特别是内部人部属理解他人工作,容忍和接纳各种新奇想法,并有效约束自己的行为。同时,领导者要处事公正,正确处理好与不同员工、外部组织之间的关系,引导员工相互团结,尊重他人在工作中表现出的创造性,营造和谐宽松的组织氛围。

本文也存在一些局限性,未来研究可以从以下几个方面拓展:一是本研究发现创造力自我效能感在差序式领导与员工创造力之间起部分中介作用,未来研究可以引入其它中介变量,明确其中介效应;二是本文主要利用横截面数据进行研究,未来可以进行纵向追踪研究,使研究结论更为严谨。

参考文献:

[1] 吴士健, 孙专专, 刘新民. 知识治理、组织学习影响组织创造力的多重中介效应研究[J]. 中国软科学, 2017,32(6): 174-183.

[2] 王磊. 中国家族企业成长中差序式领导对员工及团队创造力的影响: 一个跨层次跟踪研究[J]. 心理科学进展, 2015, 23(10): 1688-1700.

[3] 姜定宇, 张苑真. 华人差序式领导与部属效能[J]. 本土心理学研究, 2010,15(33): 109-177.

[4] 田在兰, 黄培伦. 差序式领导理论的发展脉络及与其他领导行为的对比研究[J]. 科学学与科学技术管理, 2013, 34(4): 150-157.

[5] BREUKELEN W, LEEDEN R, WESSELIUS W, et al. Differential treatment within sports teams, leader-member (coach-player) exchange quality, team atmosphere, and team performance [J]. Journal of Organizational Behavior, 2012, 33(1): 43-63.

[6] 王磊, 杜贝贝. 中国本土情境下的差序式领导与创造力研究——团队建言氛围的跨层次作用[J]. 东北财经大学学报, 2017,19(3):25-33.

[7] 陶厚永, 章娟, 李玲. 差序式领导对员工利社会行为的影响[J]. 中国工业经济, 2016(3): 114-129.

[8] 赵莉, 韩杨, 罗瑾琏, 等. 知识团队中差序式领导的影响机制研究[J]. 研究与发展管理, 2018, 30(3): 64-74.

[9] 林英晖, 程垦. 差序式领导与员工亲组织非伦理行为: 圈内人和圈外人视角[J]. 管理科学, 2017, 30(3): 35-50.

[10] 王弘钰, 邹纯龙, 崔智淞. 差序式领导对员工越轨创新行为的影响: 一个有调节的中介模型[J]. 科技进步与对策, 2018, 35(9): 131-137.

[11] 袁凌, 李静, 李健. 差序式领导对员工创新行为的影响——领导创新期望的调节作用[J]. 科技进步与对策, 2016, 33(10): 110-115.

[12] 张勇, 刘海全, 王明旋, 等. 挑战性压力和阻断性压力对员工创造力的影响: 自我效能的中介效应与组织公平的调节效应[J]. 心理学报, 2018, 50(4): 450-461.

[13] 张韬. 正念思维对员工创造力的影响——以自我效能感为中介[J]. 科技进步与对策, 2016,33(7): 150-155.

[14] 彭伟, 朱晴雯, 乐婷. 包容型领导影响员工创造力的双路径——基于社会学习与社会交换的整合视角[J]. 财经论丛, 2017,33(10): 90-97.

[15] 王华强, 袁莉. 魅力型领导、创造自我效能感与员工创造力[J]. 华东经济管理, 2016, 30(12): 143-147.

[16] 吴士健, 孙专专, 刘新民. 社会网络对员工知识隐藏与个体创造力的影响研究[J]. 软科学, 2018, 32(12): 89-92.

[17] 陈璐, 高昂, 杨百寅, 等. 家长式领导对高层管理团队成员创造力的作用机制研究[J]. 管理学报, 2013, 10(6): 831-838.

[18] 郑伯埙. 差序格局与华人组织行为[J]. 本土心理学研究, 1995,20(3): 142-219.

[19] SHIN S J, YUAN F, ZHOU J. When perceived innovation job requirement increases employee innovative behavior: a sensemaking perspective [J]. Journal of Organizational Behavior, 2017, 38(1):68-86.

[20] 徐淑英, 张志学. 管理问题与理论建立: 开展中国本土管理研究的策略[J]. 重庆大学学报: 社会科学版, 2011, 17(4):1-7.

[21] LIAO H, LIU D, LOI R. Looking at both sides of the social exchange coin: a social cognitive perspective on the joint effects of relationship quality and differentiation on creativity [J]. Academy of Management Journal, 2010, 53(5): 1090-1109.

[22] TIERNEY P, FARMER S M. Creative self-efficacy: its potential antecedents and relationship to creative performance [J]. Academy of Management Journal, 2002, 45(6): 1137-1148.

[23] GONG Y, HUANG J C, FARH J L. Employee learning orientation, transformational leadership, and employee creativity: the mediating role of employee creative self-efficacy [J]. Academy of Management Journal, 2009, 52(4): 765-778.

[24] MALIK M A R, BUTT A N, CHOI J N. Rewards and employee creative performance: moderating effects of creative self-efficacy, reward importance, and locus of control [J]. Journal of Organizational Behavior, 2015, 36(1): 59-74.

[25] 马晓苗. “中庸思维”的自组织涌现机理——基于“一分为三”的分析框架[J]. 系统科学学报, 2021,29(4): 28-33.

[26] 吴佳辉, 林以正. 中庸思维量表的编制[J]. 本土心理学研究, 2005,10(24): 247-300.

[27] ZHOU J, GEORGE J M. When job dissatisfaction leads to creativity: encouraging the expression of voice [J]. The Academy of Management Journal, 2001, 44(4): 682-696.

[28] 赵金金. 差序式领导对知识型员工建设性越轨行为的影响机制研究[J]. 商业经济与管理, 2019, 39(11):42-54.

(责任编辑:万贤贤)