专利代理服务质量综合评价体系及实证研究

马 翔1,丁 堃1,杨 阳1,张春博1,康旭东1,2

(1.大连理工大学 科学学与科学技术管理研究所;2.大连理工大学 技术研究开发院,辽宁 大连 116024)

摘 要:由于专利代理服务机构数量以及业务领域不断扩充,加之评价体系缺失,导致专利代理服务质量评价难度越来越高。基于专利代理服务业特征及内涵,结合服务质量的物理质量维度、交互质量维度和公司质量维度,构建包含3个维度、9个方面和21个具体指标的专利代理服务质量综合评价指标体系。然后依据该指标体系,运用jenks自然断点法和Matlab工具对北京地区专利代理服务质量进行分级评价与实证检验。研究结果对创新主体评价与选择专利代理服务机构、专利代理服务机构确立未来发展方向及战略具有一定指导与借鉴意义。

关键词:专利代理服务;服务质量;综合评价指标体系;jenks自然断点法

The Comprehensive Evaluation System and Empirical Research of Patent Agency Service Quality

Ma Xiang1,Ding Kun1,Yang Yang1,Zhang Chunbo1,Kang Xudong1,2

(1.Institution of Science of Science and S&T Management and WISE Lab,Dalian University of Technology;2.R&D Institution of Technology,Dalian University of Technology,Dalian 116024,China)

AbstractDue to the continuous expansion of the number of patent agencies and their business areas,as well as the lack of evaluation system,it is more and more difficult to judge the service quality of patent agency.Based on the characteristics and connotation of patent agency service industry,combining the physical quality dimension,interactive quality dimension and corporate quality dimension of service quality,this paper constructs a comprehensive evaluation index system of patent agency service quality consisting of 3 dimensions,9 aspects and 21 specific indicators.Then,according to this index system,jenks natural breakpoint method and Matlab tools are used to make a hierarchical evaluation and empirical research on the service quality of patent agency in Beijing.The research results have certain guidance and reference significance for innovative entities to evaluate and select the patent agencies,as well as for patent agencies to choose the future development directions and strategies.

Key Words:Patent Agency Service;Service Quality;Comprehensive Evaluation Index System;Jenks Natural Breakpoint Method

DOI10.6049/kjjbydc.2020110659

开放科学(资源服务)标识码(OSID):

中图分类号:G306.3

文献标识码:A

文章编号:1001-7348(2021)13-0118-08

收稿日期:2021-01-25

修回日期:2021-03-05

基金项目:国家社会科学基金项目(18BGL038);国家自然科学基金项目(61772103)

作者简介:马翔(1991-),男,河南郑州人,大连理工大学科学学与科学技术管理研究所博士研究生,研究方向为专利代理、高校技术转移;丁堃(1962-),女,吉林吉林人,博士,大连理工大学科学学与科学技术管理研究所教授、博士生导师,研究方向为知识计量、科技创新管理;杨阳(1989-),男,内蒙古鄂尔多斯人,大连理工大学科学学与科学技术管理研究所博士研究生,研究方向为专利知识挖掘;张春博(1985-),男,河北沧州人,大连理工大学科学学与科学技术管理研究所博士研究生,研究方向为科学计量学、科学技术政策;康旭东(1973—),男,黑龙江齐齐哈尔人,大连理工大学科学学与科学技术管理研究所、技术研究开发院教授,研究方向为科技政策、科技管理。

1 研究背景

随着对专利质量与审查质量要求的不断提高,创新主体借助专业化中介机构进行专利申请和管理成为一种有效方式[1]。作为将创新思想及创新成果转化为专利权利的重要环节,专利代理服务具备“二次创新”的功能,能够与创新主体进行信息及技术知识的反复交流与反馈,凝练、加工创新主体的创新想法及技术方案,进而为其设计出最佳权利保护范围,实现创新主体专利质量与创新绩效提高[2]。随着我国专利申请量不断攀升,对专利代理服务的需求也在持续上升,使其作用和地位得到了显著提高。同时,《专利代理行业发展“十三五”规划》、《关于促进专利代理行业发展的若干意见》等相关政策也明确了专利代理服务业对我国经济发展的重要性,从而有力地促进了专利代理服务业发展。

随着专利代理服务业规模逐渐壮大,专利代理服务质量呈现出参差不齐的情况,而对专利代理服务质量评价的缺失使其难以最大限度发挥作用与价值[3]。尽管国家层面出台了一系列政策,如《关于知识产权服务标准体系建设的指导意见》,要求推进专利代理服务质量评价机制建设,建立基本完善的服务标准体系,但未构建具体的量化指标和评价框架。关于专利代理服务,多数学者从概念、业务类型、服务主体等方面对专利代理服务的概念、内涵进行了阐释与界定[3-5];另外一些学者围绕专利代理服务的作用展开研究,分析其如何对专利申请策略、专利质量以及专利技术转移等产生影响[6-8]。对于专利代理服务质量评价这一重要环节的研究存在缺失,实践中缺少可供参考的评价体系,难以对各个专利代理机构服务质量的优劣进行识别。加之创新主体缺乏对专利代理服务质量的评判能力,致使难以为其创新成果选择合适的代理服务,不利于专利代理服务业良性竞争及服务质量提升。因此,专利代理服务质量评价体系构建对提升及强化专利代理服务质量与功能具有重要意义[9]。尽管IPR Daily公司对专利代理服务质量进行过评价,并将评价结果以“中国专利代理十强”榜单的形式展现,但只是以专利申请和授权的代理量作为主要评判依据。而当前专利代理服务的内容与业务领域并不局限于专利权利申请与获取,因而上述评价标准具有较大局限性,不足以对专利代理服务质量进行全面、准确评价。基于此,本文构建了专利代理服务质量综合评价指标体系,以期弥补此方面的不足,同时,为创新主体评判与选择专利代理机构提供依据,也为专利代理机构运营模式及发展方向选择提供参考,促进我国专利事业与专利代理服务业健康发展。

2 理论基础

2.1 专利代理服务概念辨析

《专利代理条例》将专利代理服务描述为围绕专利申请而展开相关业务。在此基础上,卫红[10]认为专利代理服务业务范围主要由专利代理、专利诉讼等构成;Suezeroglu-Melchiors[6]等指出,专利代理服务的主要内容是专利文件起草和撰写,以及申请策略选择与完善;赵志远[11]系统性地论述了专利代理服务业应在专利申请阶段、审查阶段和维权阶段分别提供何种服务和发挥怎样的作用。而随着创新主体专利意识增强以及专利管理与应用方式愈加多样化,部分学者发现在传统代理业务的基础上,专利代理服务又扩展出专利咨询、专利预警、专利法律顾问、专利许可贸易等内容[12-13]。如杨林松[14]研究发现,一些专利代理机构形成了专利代理、法律服务、价值评估、战略咨询、技术转移等环节兼备的专利技术服务产业链条;来小鹏[3]和谷丽[4]指出,专利代理服务既包含申请代理、复审代理等基础代理业务,又包括专利纠纷、专利权无效宣告等法律性质的业务,同时还涵盖专利成果实施、专利许可证贸易、专利战略制定等咨询服务范畴;张富强[15]研究发现,专利代理服务中的咨询、培训、商用化等专业化高端业务还处于发展初期,而代理服务、法律服务等基础性业务已发展到了成熟阶段。

综合上述分析,本文将专利代理服务分为广义和狭义两个层面:狭义的专利代理服务主要是围绕代理客户进行专利申请和授权而展开的相关业务;广义的专利代理服务主要是指专利代理机构所从事的各种与专利相关的活动,其不仅包括狭义的业务范围,还涉及咨询、培训和商业化等活动,是一种能够为委托人创新成果提供代理服务、信息服务、法律服务、商用化服务、咨询服务和培训服务,涉及技术、法律、经济等多领域的服务行为与活动。

2.2 专利代理服务质量及评价指标体系构建思路

当前,对于服务质量领域的研究已较为成熟,其中,Gronroos[16]和Parasuranman[17]提出的服务质量概念及评价模型是学术界较为认可的具有代表性的研究成果。而后,学者们基于上述研究对物流产业、网络产业等产业服务质量进行了评价[18-19]。然而,在研究过程中,学者们发现现有评价模型对具有复杂性、交互性、动态性特点的产业适用性较差[20]。专利代理服务作为知识密集型服务,对其质量的评价不仅要考虑接受方的服务感知,还需要对提供方的自身品质及服务能力进行综合考量[9];同时,鉴于其非单向性的服务提供方式,往往需要双方之间进行信息与知识的频繁、动态交流及反馈。因此,不能将现有服务质量评价研究结果及模型简单地套用于专利代理服务质量评价[9]。本文在充分考虑专利代理服务业特征与内涵的基础上,借鉴Lehtinen[21]提出的物理质量、交互质量、公司质量三维服务质量,构建专利代理服务质量综合评价指标体系。其中,专利代理机构提供的各项服务业务可视为服务过程中的实体产品,服务业务质量与物理质量维度相对应;消费者在与专利代理机构交流与互动过程中感知到的服务质量对应交互质量,即消费者感知服务质量与交互质量维度相对应;专利代理机构质量则对应公司质量维度。

3 专利代理服务质量综合评价指标体系框架

3.1 评价指标体系维度分析及测度

(1)服务业务质量。服务业务质量指专利代理机构提供的各项服务业务水平和质量,本文将专利代理服务业内涵和特征与服务质量差距模型进行融合,从有形性、安全保护性、商业沟通性、国际响应性和移情性5个方面对服务业务质量进行测度。

一是有形性。有形性指服务过程中的有形部分,专利代理服务基本业务即帮助委托人申请专利并获得授权,因此,撰写出的申请书以及获得授权的专利权利即为专利代理服务的有形部分;被视为“第二发明人”的专利代理师,对专利质量和专利代理服务质量均能产生显著影响[22],因而也被纳入有形性指标中。

二是安全保护性。专利权人被卷入诉讼官司及无效请求案件中的原因多种多样,如侵犯他人专利技术或阻碍竞争对手发展等[23]。即使最后能够胜诉,也显现出此项专利存在可能被攻击的方面,而且诉讼官司和无效案件都会一定程度地影响和阻碍企业发展[24-25]。所以,安全可靠的服务不仅要求准确领会发明人的创新想法及申请意图,还可以依赖代理人员的专业知识设计出更宽泛和更合理的保护范围,使企业创新成果具有较高的保护力度与稳定性,避免过多地陷入侵权诉讼、无效案件等危险与不利之中,从而在安全保护性上表现出较高业务水平。

三是商业沟通性。商业沟通性指专利代理机构作为中间人同企业、高校等多方创新主体进行沟通、协调和商业对接,促进专利技术在创新主体间商业化运作。转让与许可作为商业化运用最主要的两种形式,是实现专利自身价值、使权利人获得收益的主要路径[26]。因此,专利代理机构协助委托人实现专利转让或许可,不仅能够赋予专利实际市场价值,使交易各方各取所需,而且能体现专利代理机构在商业沟通性方面具备较高服务业务质量。

四是国际响应性。响应性指服务人员对于顾客提出的要求和投诉作出快速、有效反应并加以解决的能力[17]。国际响应性指专利代理机构不仅需要对国内发明人保持较高关注度,而且能够快速识别并响应国外发明人的需求,及时为国外申请人提供服务。所以,较多的涉外专利数量代表专利代理机构在国际响应性方面具有较高服务业务质量。我国专利法规定,专利代理机构的涉外服务主要包括接受我国单位或个人向国外申请专利的代理委托,以及外国人、企业或组织来我国申请专利、办理有关专利事务的代理委托。所以,本文涉外专利数量包括专利代理机构帮助我国申请人在国外申请的专利数量以及帮助外国申请人在我国申请的专利数量两部分。

五是移情性。移情性指服务人员对顾客特别关心与关注[27]。权利要求数指请求保护专利权利的项目和数量,代表了专利权利保护范围。而在实际的专利代理服务过程中,权利要求最终数值与内容的确定,往往建立在专利代理机构反复地与发明人进行沟通和探讨的基础上。多数发明人提交的技术交底材料常常未能准确聚焦于核心技术点,需要专利代理机构不断地与发明人进行商议和交流,以整理与提炼出具体的权利要求。而权利要求能够决定专利保护范围,进而对专利质量产生重要影响。所以,具备职业素养和责任心的专利代理机构往往会对权利要求投入较多关注及精力,以为客户提供最优权利要求方案,谋求最大保护范围,提升客户专利质量与价值。因此,权利要求数一方面能够体现专利权利保护数目和客户需求,另一方面还能体现专利代理机构对客户创新成果的负责、对客户权利保护范围和专利质量的关心,及其满足客户需求、保障客户权益的能力,反映专利代理机构在移情性方面的业务水平。

(2)消费者感知服务质量。由消费者感知服务质量相关研究可知,服务结果与服务过程是影响消费者感知服务质量的主要因素[16]。因此,本文基于消费者视角,从消费者从专利代理机构得到的服务结果质量和服务过程质量两个方面对消费者感知服务质量进行测度:在服务结果质量方面,委托人从专利代理机构得到的主要服务结果即为专利权利,所以,服务结果质量主要是对经由专利代理服务而产生专利的质量的衡量。当前,多数学者指出并验证了专利授权率、被引频次及专利家族数量都是影响专利质量的主要指标[28]。在服务过程质量方面,乔永忠[29]指出专利维持时间可反映创新主体在专利运用及管理等阶段的能力水平,即可对运用、管理等过程的专利质量产生影响。此外,本研究引入复审请求率指标对服务过程质量进行测量。复审请求表示在专利申请文件被认定为不符合法定授权标准而被驳回后,申请人或其委托的代理机构可向专利复审委员会提出复审请求[30],反映专利申请过程中申请人及其代理机构同复审委员会的博弈过程,能够在一定程度上体现委托人从专利代理机构得到的服务过程质量。

(3)专利代理机构质量。专利代理机构质量指专利代理机构的形象、信誉、荣誉等软性实力水平,本文参考潘瑾[9]的研究,主要从企业形象和企业资信两个方面对专利代理机构质量进行测度:企业形象指消费者对某一企业的总体印象和认识,主要包含功能性因素和情感性因素两方面[31]。其中,功能性因素指容易测量的有形特征,而情感性因素侧重于对感知、心理等维度的测度。本文着眼于对客观数据的使用,侧重于对功能性因素的考量,选择成立时间和获奖数量等有形指标对企业形象进行衡量。其中,成立时间以各家代理机构成立年份与2019年差值的绝对值进行计量。企业资信指企业在融资过程中,按期偿还贷款、债务及利息的信用行为,当前对企业资信的评估主要从企业经营状况、偿债能力等方面进行综合考察和分析[32]。专利代理机构的分支机构数量越多,表明在全国范围内业务往来越多,通常具有较好的经营状况,而注册资本额往往与企业偿债能力相挂钩,即拥有较多注册资本额的企业通常具备较强偿债能力[33]

3.2 评价指标体系框架

本文基于专利代理服务业特征与内涵,从服务质量3个维度出发,构建由服务业务质量、消费者感知服务质量和专利代理机构质量构成的专利代理服务质量综合评价指标体系,如表1所示。考虑到仅以绝对值衡量某些指标可能造成结果不准确和不均衡,甚至产生负面影响[34],所以,对转让、许可和涉外几项指标的绝对值与相对值都进行了考量,以作出更为全面、系统的分析。

表1 专利代理服务质量综合评价指标体系

一级指标二级指标三级指标服务业务质量P有形性p1专利代理师数量p11申请量p12授权量p13安全保护性p2被诉讼数量p21被无效请求数量p22商业沟通性p3转让数量p31转让比率p32许可数量p33许可比率p34国际响应性p4涉外数量p41涉外比率p42移情性p5平均权利要求数p51消费者感知服务质量I服务结果质量i1授权率i11平均被引频次i12平均专利家族数量i13服务过程质量i2平均维持时间i21复审请求率i22专利代理机构质量C企业形象c1成立时间c11获奖数量c12企业资信c2分支机构数量c21注册资本额c22

3.3 评价指标体系权重

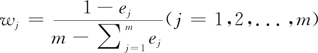
当前,对服务质量评价指标权重的计算尚未形成一个统一、权威的方法,学者们使用的计算方法包括Delphi法、AHP法、频率分布决策法等。尚未有关于专利代理服务质量的评价研究或评价体系可供借鉴,且专家调查法往往因受访专家知识领域、学科背景等方面的差异使得调查结果难以趋同,因此,本文选择依附于客观数据的熵权法计算各个指标权重。

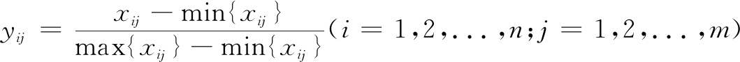
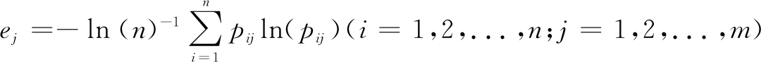
熵权法是一种客观的权重赋值法,它基于指标变异程度而赋予其相应权重,即某个指标的信息熵越小,其在体系中具有的影响和作用越大,相应权重也就越大,利用熵权法赋值需要对各项指标对应数据进行正向化和归一化处理。其中,只有安全保护性下的被诉讼数量和被无效请求数量为逆向指标,其余均为正向指标。

第一步,对安全保护性下的指标进行正向化处理:

第二步,对其余指标进行归一化处理:

第三步,计算第j项指标的熵值:

其中,pij=0时,令pijln(pij)=0。

第四步,计算各项指标权重:

其中,

根据上述熵权法计算步骤可得到专利代理服务质量综合评价体系各项指标的权重,如表2所示。

表2 评价体系指标权重

指标代码权重指标代码权重指标代码权重P0.6075c20.1225p420.0416I0.1561p110.0293p510.0060C0.2364p120.0521i110.0178p10.1371p130.0557i120.0234p20.0015p210.0004i130.0128p30.3307p220.0011i210.0369p40.1322p310.0624i220.0652p50.0060p320.0235c110.0188i10.0540p330.1147c120.0951i20.1021p340.1301c210.0707c10.1139p410.0906c220.0518

通过观察一级指标权重可知,服务业务质量权重(0.607 5)最高,专利代理机构质量指标权重(0.236 4)次之,而消费者感知服务质量指标权重(0.156 1)最低,表明服务业务质量指标对专利代理服务质量的重要程度最高、影响作用最大。从三级指标看,服务业务质量指标下的许可数量(0.114 7)、许可比率(0.130 1)、涉外数量(0.090 6)以及专利代理机构质量指标下的获奖数量(0.095 1)、分支机构数量(0.070 7)等指标具有较高权重,而消费者感知服务质量指标下的三级指标权重普遍偏低。

4 实证研究

4.1 数据来源与样本选择

本文选择北京地区的专利代理机构作为研究对象,首先是因为其专利代理机构与专利代理师数量均高居全国第一;其次是在IPR daily公司的“中国专利代理十强”榜单中,每年均有一半以上代理机构来自于北京。由此可见,北京地区专利代理机构不论在规模上还是品质上都处于国内领先地位,对其进行研究具有较高代表性。在国家知识产权局网站的专利代理管理系统中检索北京地区专利代理机构,共有571家。除经营异常及部分信息缺失的代理机构外,最终得到530家代理机构的成立时间、分支机构数量、注册资本额及专利代理师数量等相关信息(查询日期截至2019年5月4日),企业获奖数量从各家代理机构官方网站上爬取统计而来(查询截止日期为2019年5月8日)。

所有专利数据及其字段信息均来自于IncoPat科技创新情报平台,在IncoPat的高级检索页面逐个查询并下载530家北京地区专利代理机构2015年后在全球范围内代理申请的发明专利,检索时间为2019年5月8日。为了避免因申请量过少而导致某些指标存在异常值的情况,剔除专利申请数量在10件以下的代理机构,得到488家北京地区的专利代理机构作为本文最终研究对象。其中,选择发明专利是因为其需要经过更严格的审查,直至满足“三性”要求才能给予授权,更能体现专利代理机构服务质量水平,并且本文指标体系中的复审请求率指标只有发明专利才会涉及。选择2015年这个时间节点,首先是由于距今5年时间,通过对专利代理机构5年时间的数据分析能够大致掌握其发展状况及走势;其次是国家知识产权局在2015年连续出台了《专利代理管理办法》、《关于知识产权服务标准体系建设的指导意见》等政策条例,可见国家层面开始重视专利代理服务业及其服务标准体系建设和发展,所以,从此时间点对专利代理机构进行研究较有意义。

4.2 实证分析结果

(1)综合指标评价分析。基于上文得到的各个指标权重,可依次算出每家专利代理机构二级指标评价值及相应综合评价值。如表3所示,仅列出了综合值排名前30位专利代理机构。

表3 专利代理服务质量综合评价值

专利代理机构p1 p2p3p4p5i1i2c1c2综合值北京集佳知识产权代理有限公司100 57.411.9476.5824.122.3528.4245.4227.7140.69中国国际贸易促进委员会专利商标事务所45.7157.46.3194.2242.2725.4449.2542.9443.8237.81北京信远达知识产权代理事务所3.8536.179.24021.7824.3225.5360.2531.54北京市中咨律师事务所20.3410025.0666.4937.0827.9964.378.516.9231.36北京市柳沈律师事务所39.99100389.9140.1624.9255.9622.071.7228.53北京三友知识产权代理有限公司44.1536.13.6375.9728.4427.6929.2826.559.9826.25北京市金杜律师事务所23.521003.2469.7348.1723.5565.134.093.0426.13中科专利商标代理有限责任公司36.0936.13.9168.5733.3825.7240.8122.210.324.91北京康信知识产权代理有限责任公司31.5857.46.7253.8134.5419.2135.2942.445.7524.14北京众合诚成知识产权代理有限公司44.0710023.650.159.4127.2722.469.529.2722.52北京科亿知识产权代理事务所47.766.0919.51.68.8327.1523.14.531.9721.52北京品源专利代理有限公司44.45011.6321.9522.626.2526.5314.5716.220.75中原信达知识产权代理有限责任公司20.211002.2968.13425.6644.3311.54.2320.63北京林达刘知识产权代理事务所20.341000.9357.2224.1927.3557.1511.854.1420.12北京超凡志成知识产权代理事务所47.5436.111.98.5321.7814.0525.111.8325.1419.51北京律盟知识产权代理有限责任公司7.471003.0442.1659.2522.9567.3617.941.9418.5北京银龙知识产权代理有限公司23.761005.2437.2532.8325.0336.0919.573.8818北京清亦华知识产权代理事务所40.91295.818.2527.4630.3832.328.510.817.38北京安信方达知识产权代理有限公司19.591001.8146.649.3317.6632.0922.794.2317.24北京路浩知识产权代理有限公司33.981004.5314.2620.8930.4626.1418.9413.0216.38北京轻创知识产权代理有限公司28.8336.17.311.3710.0216.8221.4219.1135.9416.34北京市君合律师事务所1.781006.8727.7890.2625.29046.7320.2816.06北京得信知识产权代理有限公司0.610040.277.317.9620.1301.50.0815.89北京铭硕知识产权代理有限公司13.11003.0549.837.8423.5429.977.54.915.55北京中济纬天专利代理有限公司18.457.44.630.5212.825.7423.542.558.5415.54北京市中伦律师事务所3.521000.9728.642.6122.37059.5419.0415.31北京市汉坤律师事务所1.51100017.3710019.79084.57.9214.93北京天昊联合知识产权代理有限公司16.821000.4937.8830.2733.5234.2111.52.3614.71北京尚诚知识产权代理有限公司9.9557.41.948.4128.5324.2637.575.870.8514.57北京同达信恒知识产权代理有限公司23.691003.9517.0237.6929.7634.029.619.2814.49

依据表3可知,集佳、专商所、信远达、中咨、柳沈位列综合评分前5名。进一步观察发现,排名靠前的如集佳、专商所、柳沈等几乎在各二级指标上也具有较高评价值。由此可见,专利代理服务业可能存在一定程度的“马太效应”,即代理机构在完成数次成功的合作后,往往能够拥有一批稳定的客户来源,同时提升自身在业界的影响力和知名度(专利代理机构质量提升),继而能够吸引越来越多的顾客(消费者感知质量提升),开拓出越来越多的业务领域(服务业务质量提升),使其综合实力越来越强。

基于综合评价值,采用jenks自然断点法对北京地区488家专利代理机构进行分级,共分为5级。其中,第一级范围为22.523 8~40.694 0(10家);第二级范围为13.142 0~22.523 7(24家);第三级范围为7.553 6~13.141 9(105家);第四级范围为3.655 1~7.553 5(158家);第五级范围为0.359 6~3.655 0(191家)。从第一级到第五级的综合评价值逐级降低,但专利代理机构数量却呈现逐级增加趋势,且第四和第五级的机构数量占比在70%以上,表明大多数代理机构综合评分都较低,服务质量还处于较低水平。

然而,综合评价指标也有其局限性,具体表现为部分代理机构受限于人力、资金、服务能力、战略目标等方面因素,可能仅仅聚焦于发展一到两个核心或优势业务领域,其战略重心并非一味地倚重综合能力提升和全面发展。因此,综合评价指标对于此类代理机构服务质量的识别与评价可能存在偏差。下文将从分指标角度对各个专利代理机构进行评价与分析,为各种类型专利代理机构提供最优发展路线。

(2)分指标评价分析。将服务业务质量、消费者感知服务质量和专利代理机构质量作为专利代理服务质量分指标评价模型的3个维度,构建图1所示的立方体结构。其中,节点大小由每个专利代理机构的综合评价值决定;节点颜色是基于jenks自然断点法划分出的5个级别,从第一级到第五级分别由灰黑色、深灰色、浅灰色、黑色和灰色表示。

依据图1,可以将北京地区的专利代理机构划分为3个聚类:①第一类为在消费者感知服务质量分指标上具有较高评分的代理机构,主要由综合评分前两级的代理机构组成,其中也有部分第三级代理机构。此类代理机构主要凭借为客户提供安心的服务过程和良好服务态度,使自身在行业中获得竞争力。进一步分析可知,以五洲洋和为代表的第三级代理机构在消费者感知服务质量分指标上有较高评分,而在其它两个分指标上的得分都不高,致使其综合评分值不高。而以专商所和中咨为代表的代理机构除在消费者感知服务质量分指标上有较高评分外,其它两个分指标的评分也都处于中上等水平,得到了较高综合评分;②第二类是在3个分指标上均具有中等评分的代理机构,主要由综合评分前两级的代理机构构成。它们试图开拓并发展自身在各个方向和领域的能力,全面提升业务水平,使自身在行业竞争中获得有利地位。此类代理机构有较大发展潜力,当前也普遍具备较高综合评分;③第三类则在3个分指标的评分均处于中低水平,主要由综合评分排名靠后的第三级代理机构组成。此类代理机构没有竞争优势,也未找到自身潜在优势。这部分代理机构需要尽快确立一个适合自身发展的方向或业务领域,避免被领先集团进一步拉开差距,同时,逐步提升自身竞争力。

图1 专利代理服务质量分指标评价模型

从图中还能够观察到一些孤立点,其中在服务业务质量分指标上具有较高评分的集佳与信远达最为显著。深入分析发现,集佳在服务业务质量与专利代理机构质量这两个分指标上均具有较高评分,获得较高综合评分。信远达虽然具有较高综合评分,但其仅在服务业务质量分指标上有较高评分,其余两个分指标的评分均处于中低水平。对数据进一步挖掘发现,信远达在许可方面的表现尤为突出,此方面评分在代理机构中高居第一,然而其许可行为较为单一,均为重庆长安汽车股份有限公司向其下属公司重庆长安新能源汽车科技有限公司的许可行为。这可能是由委托人及专利代理机构的战略决策或资源禀赋决定的,值得学术界和专利代理服务业深思。集佳则在国际响应性方面表现较为出色,代理申请了来自全球55个国家或地区专利权人的18 546件在我国申请专利,客户包括西门子、道达尔、丰田、耶鲁大学、麻省理工学院等世界知名企业和大学,同时也代理了国家电网、阿里巴巴、华为、清华大学、中国科学技术大学等我国著名企业和高校向世界知识产权组织提交的4 334件专利申请。

此外,中伦和汉坤在专利代理机构质量分指标上有较高评分,而在服务业务质量与消费者感知服务质量分指标上评分均处于较低水平,拉低了它们的综合评分值。由此可见,主要依靠建立之初的资金投入与发展过程中的机构扩张维持竞争力的专利代理机构易出现后劲不足的情况,此类代理机构需要在一定时期内进一步发掘自身潜力、寻找优势业务领域,以转变战略重心和发展方向。

5 结论与启示

尽管学术界在服务质量评价研究方面取得了长足进步,但目前对于专利代理服务质量的评价研究仍处于空白,对专利代理服务质量的评价缺少一套可供参考的指标体系。究其原因在于:专利代理服务业作为知识密集型服务业,具有复杂性、交互性、动态性等特征,现有的成熟服务质量评价模型无法简单适用其中;专利代理服务业的部分评价指标和数据难以测量及获取,不易对其服务质量作出全面评价。针对上述情况,本文在充分考虑专利代理服务业特征及内涵的基础上,结合Lehtinen提出的服务质量概念,构建了包含服务业务质量、消费者感知服务质量、专利代理机构质量3个维度、9个方面以及21个指标的专利代理服务质量综合评价指标体系。而后基于此指标体系,采用jenks自然断点法、Matlab工具对北京地区488家专利代理机构进行比较分析与实证研究,得出以下研究结论:

(1)本文综合评价指标体系有效克服了社会各界仅从申请量、授权量等较为单一的视角探讨专利代理服务质量优劣的评价思路,能够为今后专利代理服务质量评价指标体系完善提供基本框架。从综合角度较为全面地评价了专利代理服务质量现状,进而为专利代理机构未来发展方向选择与战略规划制定提供参考,为消费者遴选专利代理机构提供依据。但该评价指标体系的不足之处表现为:在指标设计与权重计算上均以客观数据和分析为主,可能导致指标体系设计不完善。这也为进一步完善专利代理服务质量评价指标体系研究指明了方向,未来研究可利用调查问卷法充实指标体系,并结合Delphi法或层次分析法完善权重计算。

(2)从指标体系中可以看出,服务业务质量维度的重要程度最高。具体来看,许可数量、许可比率、涉外数量、获奖数量等4项三级指标的权重较高,对专利代理服务质量的影响作用相对较大。由此,专利代理机构可依据本文指标体系及实证研究结果选择合适的发展路线:具备较强综合实力或基础的代理机构可持续提升自身在各项指标上的水平,使各个业务领域得到均衡全面发展,进一步提高服务质量水平;对于实力不强且未发掘自身优势领域的代理机构,如某些小型或新创专利代理机构,在不断巩固基础代理业务的前提下,可优先考虑发展服务业务质量指标下的相应业务领域,尤其是以“商业沟通业务”和“国际响应业务”为聚焦点,逐步建立自身竞争优势,为今后开拓多样化业务、推动自身全面发展打下基础;不建议代理机构以专利代理机构质量这一分指标下的相关内容为突破口,因为相较于服务业务质量和消费者感知服务质量,专利代理机构质量较为稳定,不易发生改变和提升[21],并且往往与企业业务绩效挂钩,而业务绩效却与服务业务质量的相关性最高,同时,在专利代理机构质量这一分指标上具有优势的中伦、汉坤等并未得到较高综合评分,所以,以此方向为发展重心并非长久之计;代理机构在选择发展路线时,还需考虑服务价格、地理位置、时间成本等因素,这些因素也是未来需要融入本文指标体系的重要指标。

(3)通过对北京地区488家代理机构的实证分析发现,由综合值排名前10位组成的第一级别代理机构,也常常出现在“中国专利代理十强”榜单中。在一定程度上检验了本文指标体系信度和效度,同时,反映了专利代理服务业可能存在一定程度的“马太效应”,即拥有较高影响力和知名度的代理机构,其综合实力也会越来越强。此外,90%以上的专利代理机构服务质量都处于第三级别及以下水平,表明专利代理服务业整体服务质量水平还不高。如何解决此问题也是未来研究的主要方向。

(4)以北京地区为例,本指标体系还可为创新主体遴选专利代理机构提供参考和依据:优先选择以集佳、专商所、中咨为代表的综合值较高的代理机构,其服务质量水平较高,不过相应的服务价格可能偏高;可以选择科亿、品源、中原信达等在3项分指标均有中等评分的代理机构,其服务质量也有一定保障;若创新主体只专注于某一具体方面的服务质量,如重视专利技术的商业化应用,则可以选择信远达、得信等代理机构,如需要涉外服务则优先考虑集佳,如最关心代理机构自身质量和信誉,则可以选择中伦、汉坤等代理机构。

参考文献:

[1] BECKER T M.Attorney-client privilege versus the PTO's duty of candor:resolving the clash in simultaneous patent representations[J].Washington Law Review,1996,71:1035-1067.

[2] 谷丽,任立强,丁堃.知识产权服务中合作创新行为的相关研究综述[J].情报杂志,2017,36(10):90,104-109.

[3] 来小鹏.规范我国专利代理服务的法律思考[J].法学杂志,2017,38(7):60-66.

[4] 谷丽,阎慰椿,任立强,等.专利代理人胜任特征对专利质量的影响路径研究[J].科学学研究,2016,34(7):1005-1016.

[5] SHRIDHAR M,JAIN S K,GAUTAM V.Patent activity by patent agents in India[J].Journal of Intellectual Property Rights,2009,14(2):142-148.

[6] SUZERO LU-MELCHIORS S,GASSMANN O,PALMIE M.Friend or foe?the effects of patent attorney use on filing strategy vis-a-vis the effects of firm experience[J].Management Decision,2017,55(6):1122-1142.

[7] KROHER J.The patent attorney-role and function in the legal system[J].International Review of Industrial Property and Copyright Law,2003,34(5):575-576.

[8] KIM Y C,RHEE M.Professional collaboration in technological innovation:a case of technology licensing of university inventions[J].Technology Analysis &Strategic Management,2018,30(11):1351-1363.

[9] 潘瑾,陈媛.创意产业知识产权中介服务质量满意度评价指标体系的构建[J].科学学与科学技术管理,2007,28(6):171-173.

[10] 卫红.美国专利代理行业发展现状研究[J].科技促进发展,2017,13(Z2):728-732.

[11] 赵志远.高质量专利离不开高质量代理[N].中国知识产权报,2017-12-13(8).

[12] 李增顺,朱雪冬,欧阳平.由专利代理机构申请专利引发的思考[J].中国发明与专利,2018,15(7):77-80.

[13] 刘菊芳.论改革开放背景下知识产权服务业发展[J].中国发明与专利,2018,15(8):57-68.

[14] 杨林松.我国专利技术国际转移初探[J].中国发明与专利,2014(7):13-15.

[15] 张富强.税收公平视野下知识产权服务业增值税制的优化设计[J].暨南学报(哲学社会科学版),2015,37(9):152-160.

[16] GRONROOS C.Strategic management and marketing in the service sector[M].England,Bromley:Chartwell Bratt,1984.

[17] PARASURAMAN A,ZEITHAML V A,BERRY L L.A conceptual model of service quality and its implications for future research[J].Journal of Marketing,1985,49(4):41-50.

[18] RAFELE C.Logistic service measurement:a reference framework[J].Journal of Manufacturing Technology Management,2004,15(3):280-290.

[19] BARNES S J,VIDGEN R T.An integrative approach to the assessment of e-commerce quality[J].Journal of Electronic Commerce Research,2002,3:114-127.

[20] SETH N,DESHMUKH S G,VRAT P.A conceptual model for quality of service in the supply chain[J].International Journal of Physical Distribution &Logistics Management,2006,36(7):547-575.

[21] LEHTINEN U,LEHTINEN J R.Two approaches to service quality dimensions[J].The Service Industries Journal,1991,11(3):287-303.

[22] 谷丽,阎慰椿,丁堃.专利质量视角的专利代理人胜任特征模型研究[J].科研管理,2018,39(12):179-188.

[23] RUDY B C,BLACK S L.Attack or defend?the role of institutional context on patent litigation strategies[J].Journal of Management,2018,44(3):1226-1249.

[24] HU W,YOSHIOKA-KOBAYASHI T,WATANABE T.Impact of patent litigation on the subsequent patenting behavior of the plaintiff small and medium enterprises in Japan[J].International Review of Law and Economics,2017,51:23-28.

[25] 陈雁,张海丰.专利保护强度与发展中国家的技术创新:理论、历史与逻辑[J].管理学刊,2018,31(4):10-16.

[26] WNUK U,MAZURKIEWICZ A,POTERALSKA B.Towards an effective model of technology transfer from polish public research organisations[C].GALBRAITH B.9th European Conference on Innovation and Entrepreneurship.NR Reading:Acad Conferences LTD,2014.

[27] ZEITHAML V A,BERRY L L,PARASURAMAN A.Communication and control processes in the delivery of service quality[J].Journal of Marketing,1988,52(2):35-48.

[28] MESSENI PETRUZZELLI A,ROTOLO D,ALBINO V.Determinants of patent citations in biotechnology:an analysis of patent influence across the industrial and organizational boundaries[J].Technological Forecasting and Social Change,2015,91:208-221.

[29] 刘庆辉.我国专利复审制度的性质、问题与重构[J].电子知识产权,2015,25(10):61-70.

[30] WALTON S D.American business and its environment[M].New York:Mac Milton Company,1996.

[31] 谭中明,胡百灵,卜松.保险公司资信评级指标体系的设计与应用[J].保险研究,2012,33(11):21-29.

[32] 邹海林.我国司法实务应对公司注册资本制度改革的路径选择[J].法律适用,2014,29(5):17-23.

[33] 钱澄.影响因子与期刊评价[J].科技与出版,2015,34(11):111-113.

(责任编辑:万贤贤)