在人工智能、云计算、5G等快速更迭及知识流动全球化环境下,专利数据应从大数据应用[1]——海量持续“造”数据-分析推断“用”数据-创新生成“新”数据的3个循环过程视角加以理解。创新不仅可理解为对预期利润的知识投资,还可被视为未来现金流和增长机会的表征。研究专利价值问题的重要性远甚于对专利应用市场问题的理解。商务分析正成为创新的核心竞争力,专利数据有助于清晰描绘社会经济创新活动,数据分析评价有助于洞察专利布局现状并预判发展趋势。可见,专利大数据具有如下特点:①信息获取渠道从正式信息渠道(国家专利局数据库)拓展到非正式信息渠道(社交媒体知识分享和论坛成果交流),呈现复杂的数据生成与交互特征;②信息处理更便捷准确,可以利用数字技术对文本、语音、图片和视频等进行识别与编码,专利数据多样性和互补性成为新常态,多源异构和富媒体成为重要载体特征;③专利数据海量积累时也降低了价值数据比例,稀释了专利价值密度,提升了专利价值发现难度。价值密度降低意味着基于专利数据的挖掘与商务分析是专利大数据应用的关键,展现了专利大数据分析的重要性;④多源性、多类型和富媒体的数据生成与紧密交互强化了流数据形态及即时性,提高了专利数据传输和交换速率,对专利价值的连续识别提出了更高要求。
可见,企业合理使用专利大数据能够将传统决策变成基于数据分析的决策,从而更准确评判专利价值以降低知识产权交易过程中的不确定性风险。在单项专利竞赛转向为组合专利竞争的背景下[2],专利数量增加意味着专利组合价值评估复杂度与困难度提升[3],更需要形成清晰简明、合理实用的组合专利价值评估思想。中美贸易纠纷不仅意味着世界范围内专利博弈加剧,也意味我国企业在走出去进程中更要强调专利资产的海外布局与组合质量。由此,如何准确评估专利组合价值,促进企业前瞻性研判专利研发与布局,进而提升专利战略运用的有效性,是本研究的理论意义和应用价值所在。
Pitkethly[4]指出,理解专利价值的潜在障碍就是缺乏实用的价值评估方法(尤其是专利处于应用前景不确定的早期阶段)。在专利申请、续展、许可、购买和销售谈判时都需要价值评估,缺乏实用评估方法往往会导致专利组合管理过程出现次优决策;Kramer[5]认为,在涉及技术的正式商业决策中专利评估是至关重要的;Grimaldi等[6]认为,专利组合价值评估需要一个概念框架,价值评估过程旨在将专利管理与公司技术、创新战略进行比较并从中获取所有可能的战略信息;万小丽等[7]指出,专利价值分为静态价值和动态价值,并从技术价值、市场价值和权利价值3个方面构建专利价值测量指标体系;胡小君等[8]从专利技术价值、市场价值和间接经济价值,对基于专利向心引用网络的专利结构指标与传统专利技术价值指标的相关性进行实证分析,结果证明该结构指标能更好地评价现实中的专利技术价值;吕晓蓉[9]和谷丽(2017)指出,技术价值是专利内在价值,技术性评价指标能更准确客观评价专利质量;张冰莹[10]指出,专利数量越多并不意味着企业价值贡献度越高,专利品质对企业价值的贡献度更具关键作用;朱莎[11]、夏轶群[12]、郭建伟[13]实证了专利引用次数、权利要求数、专利有效期限、IPC分类、专利数量和专利类型等指标及发明专利等信息对专利质押融资额度的影响;张晓月等(2017)基于企业经营绩效角度,以专利被引用类指标和专利维持年限测量专利质量,发现发明专利近3年的被引次数对企业绩效有显著正向影响,技术溢出效应在一定程度上影响维持年限长的专利对企业绩效的促进作用;夏淑萍等[14]认为,专利法律状态、专利预期收益期限、专利权实施状态3个方面影响评估专利价值,其中专利法律状态调查为首要任务。很多学者认为,专利价值能采用专利权利主张加以反映[15]。专利引用显示了专利的实用性、独创性和相关性,并从法律上界定了专利财产权范围,多数学者认同专利引用在专利价值研究中的重要性[16-17]。对于指标权重的确定,大部分研究认为应以决策者直接参与权重值的评估为基础,因为在评估过程中若不考虑每个评价因素的背景和认知的重要性则难以进行可靠评估[18]。
Patel & Germeraad[19]认为,3类要素决定专利组合商业价值,一是专利有效性和专利实施潜力,二是专利技术实力和商业效用,三是专利覆盖国家的商业市场;李程[20]基于国内外专利价值评估体系概念和研究现状,构建以法律、技术和市场为一级指标的“总-子-分”三层架构进行专利价值度测量;Grimaldi等(2015)利用美国专利数据库信息,从权利要求、引用和市场覆盖3个维度对航空航天与国防等产业专利价值进行分析;Grimaldi等[21]提出了一个专利组合价值评价概念框架,评价要素除权利要求等定量数据外,还包括战略定位、经济重要性等定性决定要素及源自决策制定者观念和判断的信息等5个评价要素。
当前,企业倾向于增加专利获取——包括自主研发、许可或购买资金投入,以期增强技术实力、话语权和谈判能力,隐含着3个值得思考的问题:一是专利数量剧增伴生着多源性、多类型和富媒体的海量数据(例如截至2017年12月底,华为授权专利为7.4万件,中兴通讯授权专利超过3万件),大规模专利数据的价值已不能简单地以数量和质量加以理解;二是现代企业获取的专利具有多样性和互补性,整体上形成了Parchomovsky & Wagner[22]指称的超级专利,现实中专利组合往往还具有持续优化的动态特征,专利组合价值并非单项专利价值之和;三是企业面临专利等无形资产占比快速提升的现状。在环境不确定性加剧的环境下,战略目标实现的前提是“硬”资源能力与“软”无形资产的有效匹配,这就需要对专利价值进行准确的理解。
现有专利价值评估研究成果较为丰富[23-24],学者们从技术价值、法律价值等角度提出了不同观点,以期对专利价值达到全面、准确的认识,但也存在有待研究之处:一是现有研究虽注意到了理论的合理性与完整性,但既忽视了与实践层面(内部需求)的结合,也忽视了环境变化(上述3个问题隐含的外部需求)对专利价值评估的影响;二是现有研究(尤其是国内)在评估指标设计时往往没有充分考虑单项专利与专利组合的差异。发明专利不等于高价值专利,外观设计不等于低价值专利,适用于单项专利价值评估的指标体系并不一定适用于专利组合。当然,可以考虑指标体系的兼容性。
需要指出的是,专利固有的独特性通常使专利评估显得复杂、昂贵且容易出错。
(1)单项专利价值评估方法。传统方法包括重置成本法、收益现值法和市场价值法。有研究指出,在外购专利(企业并购)核算时常采用重置成本法[25]。该方法采用的历史数据准确可靠,满足会计准则要求,操作简单快捷,但缺陷在于忽略了专利的经济价值、技术生命周期及法律风险等因素。关于收益现值法,专利权人许可他人使用时能够以被许可方未来支付的使用费作为现金流,通过折成现值评估专利价值。专利权人若选择不许可,自行使用,其节约所需支付的使用费同样可作为现金流进行专利价值评估[26]。然而,在计算过程中未来现金流的现值很大程度会受使用的折现率影响,通货膨胀率、同期银行利率、技术生命周期、经济寿命期、专利产品市场供求状况不确定等因素同样影响专利收益折现率。采用市场价值法需满足两个条件:一是存在同类或类似资产活跃的公开市场,可获取可靠的类比资产;二是可比资产的交易信息能够在公开市场准确获取。由于专利权的独有性导致类比资产难寻,我国尚没有充分的公开专利交易价格信息库,从而限制了该方法的运用[27]。总之,上述3种方法往往在某种静态情景(例如专利权属处于稳定状态)下用于单项专利价值评估,一旦存在侵权诉讼等不确定性风险,评估就会变得更为复杂。
(2)组合专利价值评估方法。Ernst & Omland[28]从专利组合规模、技术关联度和市场覆盖程度提出衡量专利组合实力的专利资产指数;Collan & Kyläheiko[29]基于对未来结构不确定的模糊信息提出战略专利组合的预期价值,通过专利占有的市场规模、企业未来市场份额、专利组合获得预期市场份额的可能性、基于风险规避的预估对覆盖未来全部技术的可能性等4个指标的乘积加以衡量;于谦龙等[30]基于拍卖专利信息提出专利资产指数的专利价值评价方法,通过采用Shapley值分解专利超过10个的要求权数、技术宽度、授权等待期、专利剩余寿命对专利拍卖价格的贡献度,从而确定其对专利价值的贡献权重,构建专利资产指数模型;Wang 等[31]设计了一个模型计算专利池中各专利相对重要度,并对MPEG2专利池的770项专利进行测算,采用的指标是专利数量、专利年龄、专利范围、前向引用、后向引用、权利要求数和企业规模;许泽想[32]考虑到无形资产的期权性质,采用二叉树期权定价方法对专利组合价值进行评估;靳晓东和谭运嘉[33]从专利资产证券化角度分析专利组合的特点,构建模式转换算法下的三叉树模型以评估被证券化的专利组合价值。然而,该方法在实践中应使用极其复杂;Vakili[34]、Ganbardella[35]和刘澄等[36]提出未来价值评估法,认为可使用当前市场数据为未来价值设定基准并构建基于收益的估值模型,尽管需要考虑市场和技术风险对未来价值的影响。
与国内相比,国外相关成果更为丰富,已注意到不确定风险因素的影响[37],指标选取以定量指标为主,在评估专利法律价值时主要采用权利要求这一指标。尽管上述研究数据背景与我国存在较大差异,评估指标选择及结果是否适合我国有待考虑,然而,其评估指标构建思想依然非常值得借鉴。
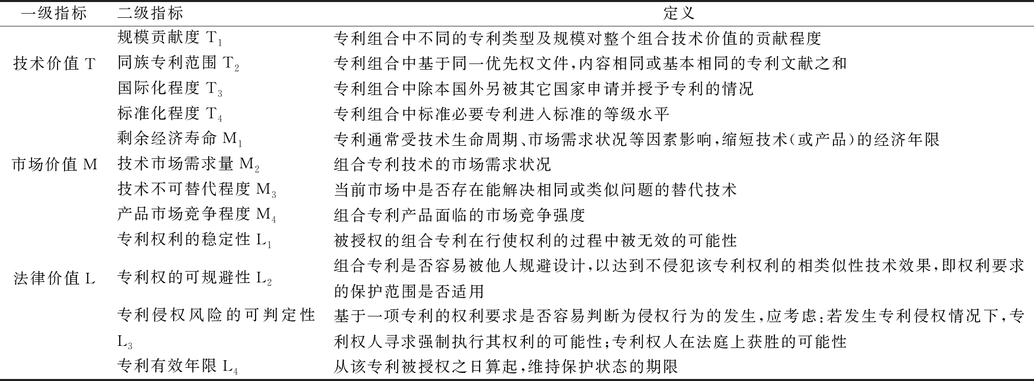
专利商业化的本质可理解为专利价值实现,专利价值包括专利的技术价值、市场价值和法律价值[38]。运用价值理论和专利战略理论,结合现有文献,本文认为,技术价值、市场价值和法律价值3个维度可以构成专利组合价值评估一级指标。在三维度指标的基础上,结合单项专利和组合专利特征对比分析,归纳提炼出12个二级指标(见表1)。
目前,指标评估理论方法多为单独或结合采用层次分析方法和模糊综合评估方法。层次分析方法考虑总—子—分各层级之间的依赖关系,但即使上述两种方法的有效结合也难以消除同一层级间各元素的影响。模糊综合评估方法可用于降低决策者在决策过程中因主观性和模糊性产生的影响。为厘清层次分析方法中同层级各元素间的依赖关系,本文采用模糊网络分析法(Fuzz-ANP)。该方法既能克服评估者进行指标量化时在权重确定过程中产生的主观性和模糊性,又能体现层级间及同层级中各要素间的依赖关系和反馈机制,使分析结果更为准确有效[39]。FANP评估方法的权重赋值计算步骤如下:
(1)将X=(x1,x2,...,xn)作为对象集,U=(U1,U2,…,Um)为目标集,每个对象对每个目标进行分析,gi是依据此方法计算所得。M为每个对象程度分析值,采用以下符号表示:Mgi1,Mgi2,...Mgim,i=1,2,...,n,其中Mgij(j=1,2,...,m)都是三角模糊数。需要注意的是,这里三角模糊数为Mgij=(l,m,u)或者Mgij=(l/m,m/u),其中-∞<l≤m≤u<+∞。l,m,u分别为各元素可能的最小值、中值和最大值,(l+u)/2=m。
表1 专利组合价值评估指标体系
一级指标二级指标定义规模贡献度T1专利组合中不同的专利类型及规模对整个组合技术价值的贡献程度技术价值T同族专利范围T2专利组合中基于同一优先权文件,内容相同或基本相同的专利文献之和国际化程度T3专利组合中除本国外另被其它国家申请并授予专利的情况标准化程度T4专利组合中标准必要专利进入标准的等级水平剩余经济寿命M1专利通常受技术生命周期、市场需求状况等因素影响,缩短技术(或产品)的经济年限市场价值M技术市场需求量M2组合专利技术的市场需求状况技术不可替代程度M3当前市场中是否存在能解决相同或类似问题的替代技术产品市场竞争程度M4组合专利产品面临的市场竞争强度专利权利的稳定性L1被授权的组合专利在行使权利的过程中被无效的可能性法律价值L专利权的可规避性L2组合专利是否容易被他人规避设计,以达到不侵犯该专利权利的相类似性技术效果,即权利要求的保护范围是否适用专利侵权风险的可判定性L3基于一项专利的权利要求是否容易判断为侵权行为的发生,应考虑:若发生专利侵权情况下,专利权人寻求强制执行其权利的可能性;专利权人在法庭上获胜的可能性专利有效年限L4从该专利被授权之日算起,维持保护状态的期限
(2)假定第i个对象的模糊综合程度值定义为:
其中,![]()
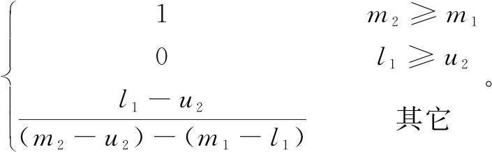
(3)M2=(l2,m2,u2)≥M1=(l1,m1,u1)的可能性程度定义为:V(M2≥M1)=μM2=
因此,需要比较M1≥M2和M1≤M2。
(4)一个模糊数Mi(i=1,2,...,k)大于k个模糊数的可能程度被定义为V(M ≥ M1,M2,...,Mk)=min(M≥Mi),i=1,2,...,k,则相对权重d'(Ai) = min V (Si≥Sk) ,Ai (i=1,2,...,n)有n个元素,k = 1,2,...,n; k≠I。通过归一化规范相对权重,规范式权重为W=[d(A1),d(A2),....d(An)]T ,W为非模糊数。
上述计算过程可利用Microsoft Excel和Super Decision软件计算出三角模糊矩阵各指标的相对权重与整体权重。首先,通过专家访谈确定各层级及同层级指标间的依赖关系,构建价值评估模型(见图1)。其次,依据三角模糊数隶属度函数公式(1)[40],构建语意变量评估集合的模糊区间值。
图1 专利组合价值评估模型

(1)
专家对各层级和同层级的两两指标进行重要程度打分,然后利用Excel软件并基于表2语意变量评估集合的模糊区间值构建成对比较矩阵。本文构建了两个具有代表性的三角模糊比较矩阵,表2为控制层成对比较矩阵,表3为组织层成对比较矩阵,表4为通过Excel算出的控制层归一化相对权重。
表2 专利组合价值基本面准则间成对比较矩阵
以专利组合价值基本面为准则TMLT(1,1,1)(3/2,2,5/2)(1,3/2,2)M(2/5,1/2,2/3)(1,1,1)(1/2,2/3,1)L(1/2,2/3,1)(1,3/2,2)(1,1,1)
表3 T1基准面M准则间成对比较矩阵
以T1为准则M1M2M3M4M1(1,1,1)(1,3/2,2)(2/1,1,3/2)(3/2,2,5/2)M2(1/2,2/3,1)(1,1,1)(2/5,1/2,2/3)(1/2,1,3/2)M3(2/3,1,2)(3/2,2,5/2)(1,1,1)(2,5/2,3)M4(2/5,1/2,2/3)(2/3,1,2)(1/3,2/5,1/2)(1,1,1)
表4 专利组合价值基本面相对权重
元素lmuSi≥SkW'W3.54.55.5S1≥S2S1≥S310.550 4ST(S1)l1m1u1110.286 90.454 50.696 21.92.22.7S2≥S1S2≥S30.191 20.105 2SM(S2)l2m2u20.191 20.575 50.155 70.222 20.341 82.53.24.0S3≥S1S3≥S20.625 60.344 4SL(S3)l3m3u30.625 610.204 90.323 20.506 3∑xi=1∑x1=jM1gt7.99.912.2
最后,将表4中的权重W输入到Super Decision软件中,逐步运行直至极限矩阵达到稳定,得到专利组合价值评价指标权重(见表5)。
表5 利组合价值评价指标权重
一级指标权重二级指标权重规模贡献度T10.214 180技术价值T0.575 992同族专利范围T20.111 541国际化程度T30.119 182标准化程度T40.131 089剩余经济寿命M10.048 658市场价值M0.143 702技术市场需求量M20.017 387技术不可替代程度M30.067 957产品市场竞争程度M40.009 700专利权利的稳定性L10.143 732法律价值L0.280 306专利权的可规避性L20.067 681专利侵权风险的可判定性L30.044 089专利有效年限L40.024 804
由表5可知:①一级指标中,T的权重最高,M的权重最低,基本符合现实情况。这是因为专利组合的竞争优势既体现为专利组合规模形成的保护范围扩大,也反映在组合中单个专利多样化可降低创新的不确定风险。M的权重最低表明,目前国内专利商业化水平不高,专利市场价值仍不受重视,技术价值更受关注;②二级指标中权重排名前5的指标,有4项指标从静态情景下反映出专利组合的技术水平,一项指标从动态情景下体现专利组合的法律特征,即权重占比大的指标能适应动态与静态两种情景,符合真实情景。就单个指标而言,T1体现专利组合规模宽度和多样化程度,L1衡量权属稳定状况,T4从认证等级水平反映组合的技术实力,T3反映保护范围广度的同时也体现了质量水平,T2强调同一专利族中的技术关联程度,权重占比同样验证了地位;③M1的权重大于法律价值中L4,符合现实状况。这是因为专利受生命周期、市场供求等影响,产品的经济年限通常远远短于专利法律年限,该指标能较好地体现出组合专利的市场价值。可见,表5中评价指标权重分布较合理,能较好地解释组合专利的整体价值。
深圳市大疆创新科技有限公司(DJ-Innovations,简称DJI)成立于2006年,致力于为无人机工业、行业用户及专业航拍应用提供智能飞控产品和解决方案。截至2016年,DJI在全球已提交专利申请超过1 500件,获得专利授权400多件,涉及领域包括无人机各部分结构设计、电路系统、飞行稳定、无线通信及控制系统等。作为无人机行业标杆企业,DJI积极参加国际无人机系统标准化协会的标准化制定和推广应用等工作。
本文以深圳市大疆创新科技有限公司为研究对象。首先,进入国家知识产权局专利检索平台,定义检索“申请(专利权人):深圳市大疆创新科技有限公司”得到2 419条记录,通过过滤功能筛选出被授权且有效的专利,得到1 355条记录。其次,缩小检索范围,输入“申请(专利权人):深圳市大疆创新科技有限公司”、“发明人:汪滔”、“被授权且有效”等定义条件,得到63条记录。第三,考虑到公司创始人以个人名义申请专利,专利权人发生变化,因而以“申请(专利权人):汪滔”、“发明人:汪滔”及“被授权且有效”进行检索,得到2条记录。最后,以“深圳市大疆”和“大疆”为关键词检索,最终得到110条基本数据。
数据分析发现,就专利类型而言,发明专利26项,实用新型68项,外观设计45项;专利区域分类包括A63、B64、F16、G01、G03、G05、G08、H01、H02、HO4、外观;该公司专利最早申请年份为2008年且申请类型为实用新型,专利大多申请时间集中于2012-2014年;各项专利同族数量差距显著,实用新型及外观设计专利的同族专利数量远远少于发明专利;引证专利数量差距更为显著,实用新型及外观设计专利的引证数量几乎为零。由于国内外学者大多以专利引证数量衡量专利质量,高引证数量表征为高质量专利,故本文筛选出“引证数量至少大于等于1”的专利表征为企业核心专利。同时,同族数量越多,在一定程度上意味着其为高质量专利,因为同族分布可以体现出企业市场扩张倾向和市场布局策略,只有有用的专利才会被用于目标国布局,非常有用的专利才会不惜代价在世界各国申请同族专利,一是出于商业考虑,二是出于保护意图[41]。综上分析,将引证数量和同族数量两项指标纳入考虑范围,最终筛选出26个专利数据用于实证测算(限于篇幅不逐一列出)。
通过分析这26个专利的IPC分类号,上述专利组合涉及无人机全部关键技术的不同领域,符合现实情景。同时,经过引证数量和同族数量两项指标筛选后,发现专利类型均为发明专利,进一步证明上述专利均为高质量专利。它们在适应复杂环境路况防碰撞、解决通信链路中断以及降低云台对重质量敏感性等方面发挥了巨大作用,也是未来前沿科技的发展方向[42]。
定性指标数据处理过程:①选择熟悉相关技术领域的数名专家,根据以下定性指标判断标准进行打分(见表6);②对专家打分情况进行相应处理,计算出定性指标隶属度矩阵(见表7),得出各定性指标相应分值。
表6 定性指标评判标准及分值分配
定性指标评判标准及分值分配5分4分3分2分1分专利标准化程度国际标准国家标准行业标准企业标准无专利剩余经济寿命5年及以上4年3年2年1年专利技术市场需求量很大较大一般较少很少专利技术不可替代程度不存在替代技术,且本技术在国际上处于领先水平不存在替代技术,且本技术在国内上处于领先水平本技术有效促进公司支柱产品销售存在替代技术,与本技术水平相当存在替代技术,且比本技术存在优势专利产品市场竞争程度几乎没有竞争对手竞争对手较弱一般竞争对手较强竞争对手很强专利权的稳定性非常稳定比较稳定稳定不太稳定很不稳定专利权的可规避性很难规避较难规避一般较容易规避很容易规避
表7 专家打分得出的定性指标隶属度矩阵
定性指标jZ1Z2Z3Z4Z5专利标准化程度00.40.600专利剩余经济寿命00.80.200专利技术市场需求量0.40.6000专利技术不可替代程度0.60.4000专利产品市场竞争程度00.60.400专利权的稳定性00.60.400专利权的可规避性0.40.6000
根据专家打分得到定性指标隶属度矩阵,进一步将其定量化处理。首先,选取定性指标的评语向量 Z=[Z1,Z2,Z3,Z4,Z5];其次,确定模糊关系向量V=[V1,V2,V3,V4,V5]T,其中, Vk(k=1,2,3,4,5)是定性指标Gij的隶属度,包括模糊关系向量![]()
其中:
最后,设D=[5,4,3,2,1],根据公式:

(2)
本文认为,专利大数据信息包括官方公布信息、专家访谈内容、新闻报道及相关文献,以确定定量指标评判标准及分值分配。其中,专利组合的规模贡献度、同族专利范围及专利有效年限3个指标数据可从知识产权局专利检索平台中获取,国际化程度可通过WIPO平台中Patentscope检索得到的国外申请数量进行测量。需要注意的是,在统计同族专利范围指标数据时,专利组合为同一族号不重复计算,只计一次同族数量;在统计国际化程度指标时除本国外的专利申请数分别为5项0国、8项2国、8项3国、2项6国且大多集中于US、EP、WO,因此,选取专利组合中专利申请数量的众数为3国。
在特殊情况下,专利侵权风险的可判定性至少需要考虑两个因素:①在发生专利侵权的情况下,专利所有者寻求强制执行其权利的可能性E,取决于强制执行权利的意愿Ew和寻求强制执行权利的能力Ea;②专利所有者在法庭上获胜的可能性F,其概率为58%[11]。结合Alexander & Paul[43]的观点和相关研究,推算出该公司强制执行权利的意愿Ew=0.8,寻求强制执行权利的能力Ea=1,专利所有者在法庭上获胜的可能性F=0.58。由此,专利侵权风险的可判定性=0.8*1*0.58≈0.46。基于上述分析,定量指标数值及得分如表8、9所示,最终计算出专利价值评估得分(见表10)。
表8 定量指标评判标准及分值分配
定量指标计算方法评判标准及分值分配5分4分3分2分1分规模贡献度规模贡献度=∑每种专利类型在整体专利组合价值的贡献率*该种专利类型规模。其中,发明专利的贡献率为1,实用新型的贡献率为0.3,外观设计的贡献率为0.1>15>10>5>1>0同族专利范围专利组合中非同一族号的专利数量之和200以上151-200101-15051-10050以内国际化程度除本国之外另被其他国家申请并授予专利的数量4国及以上3国2国1国仅本国专利侵权风险的可判定性专利侵权风险的可判定性=专利权利强制执行的可能性E*法庭审判中获胜的可能性F≥0≥0.06≥0.36≥0.64=1专利有效年限从最早获得专利权的专利授权之日开始计算到最晚被授权专利的保护期截止16年以上12-15年8-11年4-7年3年以内
表9 定量指标数值及得分
定量指标数值得分(r)规模贡献度265同族专利范围2415国际化程度34专利侵权风险的可判定性0.463专利有效年限21.55
计算得知专利价值评估总分为4.23分(满分5分),验证了其为高价值专利组合。其中,一级指标T、M和L的总分分别为2.55、0.61、1.07。
(1)一级指标中,T为17.4,M为16.4,L为16,可见该组合在技术先进水平、市场经济效益和法律权属稳定方面表现良好,对企业价值贡献率达83%,T、M和L的贡献率分别为29%、27%和27%。计算结果还验证了赵晨[44]的“80∶20规则”。
表10 专利组合价值评估得分
一级指标权重总分二级指标权重得分总分规模贡献度T10.214 18051.070 9技术价值T0.575 9922.551 0同族专利范围T20.111 54150.557 7国际化程度T30.119 18240.476 7标准化程度T40.131 0893.40.445 7剩余经济寿命M10.048 6583.80.184 9市场价值M0.143 7020.608 9技术市场需求量M20.017 3874.40.076 5技术不可替代程度M30.067 9574.60.312 6产品市场竞争程度M40.009 7003.60.034 9专利权利的稳定性L10.143 7323.60.517 4法律价值L0.280 3061.071 5专利权的可规避性L20.067 6814.40.297 8专利侵权风险的可判定性L30.044 08930.132 3专利有效年限L40.024 80450.124 0
(2)二级指标中T1、T2和L4均为满分,揭示了该组合的规模与多元化优势,在扩大保护范围的同时,也延长了组合的整体有效年限,从而为专利商业化提供了有利条件。正因如此,M2、M3和M4得分为4.4、4.6、3.6,3个指标在市场竞争下均有优异表现。
(3)T4权重为0.13、得分为3.4分,可见该技术达到行业标准,将对专利组合标准化、市场开拓和法律稳定性等发挥关键作用。
(1)高质量专利组合对企业价值具有非常显著的贡献度。企业应通过定期评估调整专利组合,以提升企业价值和增强创新实力。上述计算表明,专利组合价值评估模型测算结果与案例企业专利产品的市场表现总体吻合,验证了本模型的实用性和合理性,有助于快速确定高质量专利组合对企业价值的贡献度。通过专利价值评估,有助于发现专利战略路径与选择、专利布局(尤其是海外专利布局),从而规避专利交易风险。因此,企业应定期开展专利价值评估,持续优化专利结构并完善专利组合,形成能够提升技术竞争优势的高质量专利等无形资产组合,奠定技术创新战略绩效的坚实基础。此外,高质量专利组合能够推进企业专利标准化工作,提升专利经济价值与战略价值。
(2)专利组合价值是企业知识产权战略绩效的重要评价指标。长期以来,如何衡量企业专利战略绩效是一个受人关注的问题。无论是从专利申请量、授权量等指标衡量创造环节的成效还是从销售额和利润率等经济效益指标衡量运用成效,上述指标的局限性之一在于无法深刻揭示专利组合的互补性和多元性特征对企业新增价值及专利战略绩效的影响。实际上,对于企业专利战略绩效评价,评价客体(专利)的价值实现问题似乎仍未成为焦点。鉴于专利组合的合法性和独占性特征,这种价值扩张对专利战略绩效的贡献度更具稳定性和持续性,更有助于降低企业绩效的不确定性。
(3)基于大数据视角的专利组合价值评估是需要进一步研究的问题。中美贸易战可能是未来中美大博弈的序幕,也会体现在越来越激烈的专利竞争中。随着“一带一路”倡议持续推进和我国企业走出去数量的增加,专利活动范围逐渐从国内扩展到海外,专利大数据增加是一个必然趋势。在竞争环境不确定性加剧的背景下,利用正式渠道和非正式渠道更有助于全面评判专利组合价值,降低专利在研发、布局、交易和标准化等方面的决策风险。本文对大数据与专利组合价值的评估只是一个开始,如何理解专利大数据内涵并加以运用有待进一步探索。
[1] 陈国青,吴刚,顾远东,等.管理决策情境下大数据驱动的研究和应用挑战——范式转变与研究方向[J].管理科学学报.2018,21(7):1-10.
[2] 刘林青,谭力文.专利竞争优势的理论探源[J].中国工业经济,2005(11):89-94.
[3] 谢智敏,郭倩玲,伊雷,张建文.我国专利组合文献研究综述[J].科技管理研究,2015,35(6):122-127.
[4] ROBERT PITKETHLY.The valuation of patents:a review of patent valuation methods with consideration of option based methods and the potential for further research[R].Judge Institute Working Paper WP 21/97,1997.
[5] MICHAEL S KRAMER.Valuation and assessment of patents and patent portfolios through analytical techniques[J].The John Marshall Review of Intellectual Property Law,2007(6):463-488.
[6] MICHELE GRIMALDI,LIVIO CRICELLI,MARTINA DI GIOVANNI,et al.The patent portfolio value analysis:a new framework to leverage patent information for strategic technology planning[J].Technological Forecasting & Social Change,2015,94(C):286-302.
[7] 万小丽,朱雪忠.专利价值的评估指标体系及模糊综合评价[J].科研管理,2008(2):185-191.
[8] 胡小君,陈劲.基于专利结构化数据的专利价值评估指标研究[J].科学学研究,2014,32(3):343-351.
[9] 吕晓蓉.专利价值评估指标体系与专利技术质量评价实证研究[J].科技进步与对策,2014,31(20):113-116.
[10] 张冰莹.R&D存量和专利对企业价值的影响研究[D].长沙:湖南大学,2014.
[11] 朱莎.我国科技型中小微企业专利质押融资研究[D].长沙:长沙理工大学,2015.
[12] 夏轶群,梁冉.科技型中小企业专利质押融资信用风险分担机制研究——基于多任务委托—代理模型[J].南方金融,2019(3):42-48
[13] 郭建伟,郭文.知识产权质押融资困境[J].中国金融,2019(5):90-91
[14] 夏淑萍,陈国清,朱雪忠.企业并购中专利权的调查及价值评估[J].电子知识产权,2004(8):24-26.
[15] OUYANG K,WENG C S.A new comprehensive patent analysis approach for new product design in mechanical engineering[J].Technological Forecasting and Social Change, 2011,78(7):1183-1199.
[16] HIKKEROVA L, KAMMOUN N, LANTZ J S S.Patent life cycle:new evidence[J].Technological Forecasting and Social Change, 2014,88(10):313-324.
[17] VAN ZEEBROECK N.The puzzle of patent value indicators[J].Economics of Innovation and New Technology, 2011,20(1):33-62.
[18] MICHELE GRIMALDI, LIVIO CRICELLI, FRANCESCO ROGO.A theoretical framework for assessing managing and indexing the intellectual capital[J].Journal of Intellectual Capital, 2013,14(4):501-521.
[19] ARVIN PATEL, PAUL GERMERAAD.How to value IP portfolios for acquisition[J].Intellectual Asset Management,2014(1/2):57-62.
[20] 李程.基于大数据分析的专利价值评估体系构建研究[J].中国新技术新产品,2016(20):3-6.
[21] MICHELE GRIMALDI, LIVIO CRICELLI, FRANCESCO ROGO.Valuating and analyzing the patent portfolio:the patent portfolio value index[J].European Journal of Innovation Management, 2018, 21(2):174-205.
[22] GIDEON PARCHOMOVSKY,WAGNER R P.Patent portfolios[J].University of Pennsylvania Law Review,2005,155(1):1-77.
[23] 徐鲲,张楠,鲍新中.专利价值评估研究[J].价格理论与实践,2018(3) :143-146.
[24] QIN YANG,MARCEL MINUTOLO.The strategic approaches for a new typology of firm patent portfolios[J].International Journal of Innovation and Technology Management, 2016, 13,(2):1-18.
[25] 于谦龙,赵洪进.企业专利资产价值评估研究综述[J].现代情报,2014,34(9):171-176.
[26] 郑成思.知识产权论[M].北京:社会科学文献出版社,2007.
[27] 程文婷.专利资产的价值评估[J].电子知识产权,2011(8):74-80.
[28] HOLGER ERNST, NILS OMLAND.The patent asset index:a new approach to benchmark patent portfolios[EB/OL].(2010-08-08)[2018-08-30].https://www.sciencedirect.com/science/article/pii/S0172219010000864.
[29] MIKAEL COLLAN,KALEVI KYL
HEIKO.Forward-looking valuation of strategic patent portfolios under structural uncertainty[J].Journal of International Property Rights.2013(18):230-241.
[30] 于谦龙,李中华,贾燕琛,等.中国拍卖专利的专利资产指数开发研究[J].数量经济技术经济研究,2016,33(6):111-127.
[31] XIAOLU WANG,FERNANDO GARC
A,FRANCISCO GUIJARRO,et al.Evaluating patent portfolios by means of multicriteria analysis[J].Revista de Contabilidad,2011,14(1):9-27.
[32] 许泽想.新兴产业创业期企业无形资产评估——以专利组合价值评估为例[J].中国商贸,2015(3):142-146.
[33] 靳晓东,谭运嘉.一种专利组合价值评估模型的设计[J].数量经济技术经济研究,2013,30(4):99-110+137.
[34] MASOUD VAKILI.Patent portfolio valuations——importance of ip and patents[EB/OL].(2017-07-12)[2018-08-30].http://www.ipwatchdog.com/2017/07/12/patent-portfolio-valuations/id=85409/.
[35] ALFONSO GAMBARDELLA,DIETMAR HARHOFF,BART VERSPAGEN.The economic value of patent portfolios[J].Journal of Economics &Management Strategy, 2017,26(4):735-756.
[36] 刘澄,张羽,鲍新中.专利质押贷款风险动态监控预警研究[J].科技进步与对策,2018,35,(15):132-137
[37] 宋河发,廖奕驰.专利质押贷款保险模式与政策研究[J].中国科学院院刊,2018,33(3):242-248
[38] 陈朝晖.企业专利商业化模式研究[M].北京:知识产权出版社, 2014.
[39] SAATY T L.Decision making with dependence and feedback:the analytic network process[M].Pittsburgh, PA:RWS Publications, 1996.
[40] 党兴华,张晨.基于FANP的创新型企业评价模型研究[J].科学学与科学技术管理,2015,36(3):114-122.
[41] 云创专利通.高价值专利发现之二:同族数量包含的秘密[EB/OL].(2017-07-27)[2018-08-30].http://www.sohu.com/a/160360008_99916535.
[42] 孙健,倪训友.无人机国内外发展态势及前沿技术动向[J].科技导报,2017,35(9):109.
[43] ALEXANDER IPOLTORAK, PAUL JLERNER.知识产权精要[M].于东智, 谷立日,译.北京:中国人民大学出版社,2004.
[44] 赵晨.专利价值评估的方法与实务[J].电子知识产权,2006(11):24-27.