十九大报告中明确提出要深化科技体制改革,建设以企业为主体、市场为导向、产学研深度融合的技术创新体系,强调了产学研协同创新在我国创新驱动发展战略中的重要地位。全国各地积极响应中央政策,相继建立了以地方政府支持为主导、以产学研协同创新为基础的创新体系[1]。在产学研协同创新机制中,校企合作逐渐成为区域创新发展的关键力量,也受到社会各界尤其是学术界的关注。现阶段,国内外关于校企合作的研究多聚焦于高校或企业创新绩效影响机理。如Huang & Chen[2]基于台湾地区高校数据,发现在组织层次的产学合作体系中,有产学合作的高校创新绩效会更高;王晓红、张奔[3]研究发现,校企合作对高校科研绩效存在倒U型影响,并且,高校类型发挥了负向调节效应;Soh & Subramanian[4]和解学梅[5]研究发现,校企合作能够通过促进企业产品创新或专利申请提升企业创新绩效。在校企合作中,校企协同创新是通过双方参与知识流动过程实现高校和企业间知识互动与资源优势互补,进而促进校企双方创新绩效。也就是说,提升校企知识流动效率对校企协同创新具有积极影响。但是,目前研究校企知识流动的文献较少,而基于高校主体视角研究校企知识流动效率的更为少见。因此,对高校校企知识流动效率进行测度分析并研究其影响机制,不仅在理论层面具有重要意义,而且对我国产学研协同创新体系建设和创新驱动发展战略实施具有积极推动作用。
知识流动是指知识通过相应媒介与路径在不同知识主体之间发生运动的过程[6],在校企知识流动过程中,主要可以分为知识研发阶段和知识转化阶段。依据知识供应链管理二元性的定义,即同时开展创新活动(探索)和应用活动(利用)的能力[7-10],结合校企知识流动中对知识研发阶段和知识转化阶段的划分,本文认为校企知识流动效率可以细化为知识研发效率和知识转化效率。具体而言,校企知识研发效率是指高校提供人力资本、企业提供物质资本进行研发创新活动并获得创新成果的效率,校企知识转化效率是高校科研创新成果转化为企业可以直接应用的技术工具或手段的效率。本文依据知识供应链二元性,将校企知识流动效率划分为知识研发效率和知识转化效率,分别测度两种效率并分析其影响机制,研究结论可以为我国产学研协同创新体系建设提供借鉴。
根据知识流动理论和价值网络理论,知识流动的本质是知识在创新主体之间发生知识共享、转移和使用,这个过程同时也会实现知识价值创造[11]。在校企协同创新体制中,高校为知识输出端,企业为知识输入端,通过知识流动过程将知识有效应用于企业创新活动各个环节从而提升企业绩效[7,12]。既有研究中,有学者依据知识价值链理论将知识流动归纳为4个阶段:知识获取、知识整合、知识转移与知识应用[8];也有学者认为知识流动主要有4种形式:知识溢出、知识扩散、知识转移以及知识共享[13]。不难看出,无论是知识流动的4个阶段还是4种形式,均无法清晰地实现量化,但是,存在合并的可能性。供应链管理理论将供应链企业二元能力界定为同时开展创新活动(探索)和应用活动(利用)的能力[9-10],将知识管理和供应链管理融合发展而来的知识供应链理论同样具有二元性特征[7]。那么,校企协同创新下的知识流动也存在探索和应用过程,因此,基于知识供应链理论,将校企知识流动过程分为知识研发阶段和知识转化阶段。
在校企知识流动过程中,高校作为知识输出端,是创造知识价值的主体,也是知识研发阶段的主要承担者和创新者[7,14]。在知识研发阶段,高校接受企业的资金投入作为研发经费来源,企业为高校研发人员的科研工作提供财力支持进而促进其实现知识创新[9];在知识转化阶段,高校在与企业合作的过程中,一方面获得企业对知识研发活动的资金支持,另一方面可以了解企业运营管理模式从而激发科研人员研发兴趣和灵感,帮助企业更好地实现知识转化[10,15]。知识网络理论强调,实现高效知识流动的前提是在知识主体之间形成知识势差,这主要体现为知识流动效率受到不同主体间知识距离的影响[12]。校企双方在专业背景、管理模式和知识水平等方面具有较大差异,导致校企之间存在知识距离[14,16-17],继而形成较大知识势差[18],这为校企开展创新合作提供了动力支持。
目前来看,基于高校主体视角研究校企知识流动效率的文献较少,主流研究仍然集中于高校科研效率或科研绩效测度分析[3,19],部分学者从组织层次角度出发研究科研团队或企业之间知识流动绩效[20]。结合前人研究成果与本文研究重点,在控制相关因素的基础上,提出从高校个体特征和省域基本特征两个层次出发,研究校企知识流动效率的影响机制。借鉴以往使用DEA模型进行效率评价的研究[21-22],采用两阶段DEA模型对校企知识流动效率进行测度分析,综合考察知识流动效率分布特征以及引发效率变化的关键因素。使用两阶段DEA模型测度的校企知识流动效率值介于0~1之间,如果使用普通OLS分析容易产生误差,因此,对效率值进行回归分析往往采用面板Tobit模型进行极大似然估计。但是,现实情况下,高校之间存在空间区位下的资源竞争和科研合作,尤其是位于同一省份的高校为了获得更多政府支持和企业投入会发生一定程度竞争与合作的空间博弈行为。考虑到普通面板Tobit模型无法纳入空间效应,在测度校企知识流动效率的基础上,为准确衡量各高校主体的空间相关性和异质性,决定采用Moran I指数法验证校企知识流动效率的空间溢出效应,并且使用空间面板Tobit模型对校企知识流动效率的影响机制进行实证分析,这也是本文研究校企知识流动效率时的创新之处。
本文数据来源于教育部发布的《高等学校科技统计资料汇编》与国家统计局发布的《中国统计年鉴》,相关高校专利数据从国家专利局官网获得。样本期选择为2008-2017年,其中,研究样本主要选取我国104所省部共建或“211工程”高校,样本遍布我国东部、西部、中部以及东北四大地区,包括内地30个省市自治区(简称省域,西藏由于数据不全,未纳入统计),共1 040个观测样本。
2.2.1 两阶段DEA模型
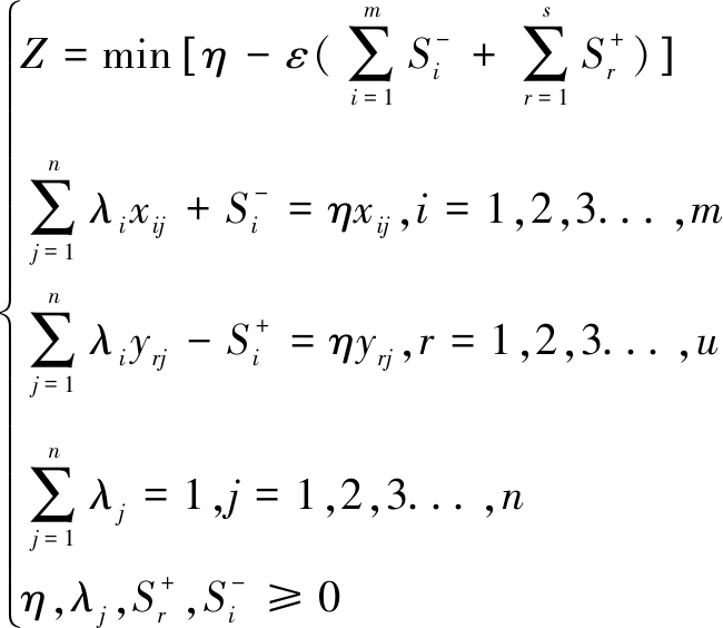
一般而言,校企知识流动效率测算往往依赖于多个投入指标与产出指标,具体到知识研发效率和知识转化效率均需使用多投入-多产出指标体系。使用2008-2017年我国104所高校面板数据,基于两阶段DEA模型测度校企知识流动效率,具体模型如下:

(1)
其中,η表示各高校的校企知识研发效率和知识转化效率,ε表示非阿基米德无穷小量,m表示各高校知识投入种类数,s表示各高校知识产出种类数,n表示高校数量,Si-与Sr+均表示松弛变量,xij表示第j个高校的第i种投入,yrj表示第j个高校的第r种产出,λi表示权重向量;η<1代表校企知识流动无效率,η=1代表校企知识流动有效率。
2.2.2 空间自相关检验
空间自相关检验是指对一定空间范围内集聚现象进行测度分析,这种集聚现象一般表现为一定空间区域范围内,某因素在相关空间地域单元之间存在相互影响的特性,如高值区域与高值区域聚集、低值区域与低值区域聚集[23]。在空间聚类检验中,一般采用莫兰指数Moran′s I法对空间集聚特征进行测度,具体测度标准为:Moran′s I取值范围为[-1,1],当Moran′s I值介于-1与0之间时,表明区域分布特征呈现负向空间相关性;反之,当Moran′s I值介于0与1之间时,表明区域分布特征呈现正向空间相关性;当Moran′s I值趋近于0时,表明区域分布特征不存在空间相关性。需要说明的是,Moran′s I值越大,表明区域分布特征的空间相关性越强[24]。莫兰指数计算公式如下:

(2)
其中,
代表属性的相似性指标,Xi是第i个高校的观测值,
表示样本数据中所有属性值均值(Xi或Xj),S2是样本数据方差,Wij是基于地理邻近性的二进制空间权重矩阵。
2.2.3 空间面板Tobit模型
在作空间计量分析之前,首先构建空间权重矩阵,衡量空间单元之间的关系,常用的空间权重矩阵有空间邻接矩阵和空间地理距离矩阵[23]。鉴于104所高校分布较为分散且无法准确量化其空间区位距离,加之高校的竞争与合作行为主要发生在本省域内,因此,本文基于省域层面,依据高校主体是否在同一省域内的条件构建空间权重矩阵,若在同一省域内设为1,反之为0,其是一种特殊的空间邻接矩阵。为保证空间计量分析结果稳健性,本文基于空间面板Tobit模型分别使用空间滞后模型(SLM)和空间误差模型(SEM)进行实证研究,并通过LM检验和LM-Robust检验证明选择空间误差Tobit模型更为合理。空间计量模型设定如下:
Yit=a+ρW(Yjt)+βxit+ε
(3)
其中,Yit表示第i个高校在第t个时期的校企知识研发效率和知识转化效率,xit表示各影响因素,α表示常数项,β表示回归系数,ρ表示空间自回归系数即空间溢出效应,W表示空间权重矩阵,ε表示随机扰动项。
2.3.1 因变量
本文因变量是基于两阶段DEA模型测度得来的104所高校2008-2017年的校企知识流动效率,分别是知识研发效率(crs_re)和知识转化效率(crs_te)。其中,参考既有文献中关于高校创新投入和成果产出的指标选取方法[25-26],测度校企知识研发效率的投入指标为高校研究与发展人员当时全量和企事业单位委托合作资金总额,产出指标是学术论文篇数和申请课题总数;测度校企知识转化效率的投入指标为校企知识研发效率产出指标,即学术论文篇数和申请课题总数,产出指标为技术转让签订合同数和技术转让经费总额。校企知识流动效率评价指标体系见表1。
2.3.2 自变量
参考已有研究和相关文献[15,27],本文自变量主要从高校基本特征和省域基本特征两个层面选取,其中,高校基本特征分别是高校创新能力(inno)、高校成立年限(schyear)、科研人员结构(highpro)以及政府科研支持(govern);省域基本特征分别是省域创新集聚水平(gather)、地区经济水平(gdp)和技术创新投入(rd)。
表1 校企知识流动效率评价指标体系
一级指标二级指标知识研发效率投入指标研究与发展人员当时全量(人)企事业单位委托合作资金总额(千元)产出指标学术论文数(篇)申请课题总数(项)知识转化效率投入指标学术论文数(篇)申请课题总数(项)产出指标研究与发展技术转让签订合同数(项)研究与发展技术转让经费总额(千元)
(1)高校创新能力。高校创新能力往往意味着创新资本积累,能够体现高校主体知识创新基础和成果转化效率,雄厚的创新资本积累有利于高校在知识流动过程中更为游刃有余地实现知识资源优化配置[13],从而提升知识研发效率和知识转化效率。本文选取高校每年申请专利数量作为衡量高校创新能力的变量。
(2)政府科研支持。政府科研支持主要是指政府为高校提供的资金、政策、资源等支持,如高校获得的政府科学基金支持等,本文选取政府资金占高校科研经费总数的比例作为衡量政府科研支持的变量。
(3)高校成立年限。我国高等学校自成立起,就与知识创新、成果转化不可分割,作为科技创新主体,承担着大量产学合作项目,一般来说,高校科学研究存在明显的创新累积优势,随着高校成立年限的增长,其知识流动效率可能受益于创新累积优势而得以提升。本文使用样本期当年与高校成立年份之差作为衡量高校成立年限的变量。
(4)科研人员结构。高校科研人员是承担产学合作项目的主力军,在创新驱动发展战略中是重要的人力资本,但是,如果一味追求人力资本积累而忽视人力资本结构,往往会导致后期乏力的结果。既有文献也指出,通过吸收高素质科研工作者构建高效能科研团队,理论上对高校知识研发和知识转化存在正向作用[27]。本文使用高级职称人员占高校科研人员总数的比例衡量科研人员结构这一变量。
(5)技术创新投入。地方政府的技术创新投入是高校开展科学研究的前提,省域研发经费投入越多意味着对于高校科技创新的重视度和关注度越高。此外,充足的研发经费支持是保证高校科研人员科学创造性的关键因素,作为科研资源的集合,高校是产出科研效益的主要平台。省域研发经费投入越多,越有利于促进高校研发创新和成果应用[27]。本文采用省域研发投入R&D经费作为衡量技术创新投入的变量。
(6)区域创新资源集聚程度。高校拥有丰富的创新资源,是区域创新系统的重要组成部分。作为创新资源投入的多重复合系统工程,区域创新要求创新资源合理配置,在创新资源有限的条件下,创新资源集聚有利于提升区域整体创新能力[28]。因此,创新资源集聚程度越高,区域创新资源集聚水平越高,对高校产学知识流动双元效率的提升作用越强。本文选取地区高校科研人员数量占全国高校科研人员总数的比例作为衡量省域创新集聚水平的变量。
(7)地区经济水平。一方面,高校从事科学研究离不开资金支持,经济发达地区高校获得科研经费的渠道相对较多,故而高校科研经费总量一般较高;另一方面,经济发达地区企业对于高技能人才和研发技术的需求力度较大,与当地高校的合作广度和深度更高[29]。因此,地区经济越发达,越有利于促进校企协同创新发展,对校企知识流动效率的提升可能存在正向影响。本文使用地区生产总值GDP作为衡量地区经济发展水平的变量。
为缩小异方差造成的测量误差,对数值较大的变量如高校创新能力、政府科研支持、高校成立年限、技术创新投入以及地区经济水平作对数化处理。相关变量描述性分析结果见表2。
表2 变量定义、说明及描述性分析结果
变量类型变量符号 定义 说明均值标准差因变量crs_te校企知识研发效率DEA模型测度的知识研发效率0.6320.312vrs_te校企知识转化效率DEA模型测度的知识转化效率0.3930.141自变量—高校基本特征lninno高校创新能力高校每年申请专利数量的对数6.2521.167govern政府科研支持政府资金占高校科研经费总数的比例0.6070.125highpro科研人员结构高级职称人员占高校科研人员总数的比例0.4450.120lnschyear高校成立年限当年年份与高校成立年份之差的对数4.3480.367自变量—省域基本特征gather省域创新集聚水平地区高校科研人员数量占全国高校科研人员总数的比例0.4360.334lnrd技术创新投入省域研发投入R&D的对数9.8790.699lngdp地区经济水平地区生产总值GDP的对数15.1771.135
鉴于本文样本量较大,受篇幅限制,故而以高校所在地区为单位分析校企知识流动效率测度结果。全国范围以及四大地区样本高校2008-2017年校企知识研发效率均值与校企知识转化效率均值,如表3所示。
就知识研发效率而言,从表3结果中可以看出,中部地区高校知识研发技术效率均值(综合效率)最高,东北地区高校知识研发技术效率均值最低,并且西部地区和东北地区高校技术效率均值低于全国均值。横向对比纯技术效率(考虑规模效益时的技术效率)以及规模效率(考虑规模收益时的规模效率)可以发现,除中部地区外,无论全国范围还是其它三大地区,高校知识研发纯技术效率均值均低于知识研发规模效率均值,说明影响校企知识研发非效率的因素主要是校企合作过程中的科研运营效率较低。具体来看,中部地区高校知识研发技术效率均值高于东部地区的主要原因是其纯技术效率最高,尽管东部地区规模效率高于中部地区。这可能是因为,东部地区产业最为发达,高校与企业建立合作关系的竞争较为激烈,高校之间的竞争行为在一定程度上阻碍了其科研效率提升。西部地区和东北地区3种效率均值均低于中部地区和东部地区,并且东北地区知识研发效率最低。这与西部地区和东北地区经济发展水平、创新能力较低有一定关系,无论是校企合作规模还是高校开展科研活动的技术创新能力均处于较低水平[22,25-26]。
就知识转化效率而言,东部地区高校知识转化技术效率均值最高,东北地区高校知识转化技术效率均值最低,并且中部地区和东北地区技术效率均值均低于全国均值。与知识研发效率类似,无论是全国范围还是四大地区,高校知识转化纯技术效率均值均低于规模效率均值,说明校企知识转化的非效率主要是校企合作过程中高校知识成果转化运营效率低下所致。具体来看,东部地区3种效率均值均最高,其次是西部地区,中部地区技术效率均值和纯技术效率均值均高于东北地区,但是,规模效率均值低于东北地区。
综合来看,在全国范围内和四大地区内部,高校知识研发技术效率均值和纯技术效率均值均高于知识转化效率,表明2008-2017年我国校企知识流动过程中,校企知识转化相比知识研发仍存在效率低下问题,高校知识转化的实践表现不佳。具体来看,对比四大地区高校的校企知识转化效率和知识研发效率排名可以发现,当一地区研究型高校数量较多且产业较为发达时,该地区高校为获得企业财力支持会发生较为激烈的竞争行为进而对其科研效率产生抑制作用[3],同时,高校也会尽可能提升成果转化效率从而吸引企业合作[29]。这一规律在东部地区体现得尤为明显,东部地区高校规模和企业规模均处于较高水平,知识研发效率相较知识转化效率的优势不明显。
表3 2008-2017年各地区校企知识流动效率测度结果 单位:%
地区知识研发效率技术效率纯技术效率规模效率知识转化效率技术效率纯技术效率规模效率东部68.0076.9788.3547.3850.0794.62中部79.7792.2786.4535.2140.5786.79西部57.0069.7381.7440.5343.6592.85东北47.2959.6679.2633.9037.2391.05全国63.1575.4783.6839.2742.5392.33
为判断我国高校校企知识流动效率的空间相关性,本文使用Stata15软件对校企知识研发效率和知识转化效率分别测算莫兰指数Moran′s I。从表4可以看到,2008-2017年知识研发效率和知识转化效率均存在正向空间相关性,且都通过了显著性统计水平检验,即我国高校的校企知识流动效率存在空间溢出效应,在研究其影响机制时应考虑高校之间的空间溢出效应。
表4 2008-2017年我国高校校企知识流动效率的莫兰指数分析结果
统计指标检验知识研发效率知识转化效率20080.441∗∗∗0.251∗∗20090.437∗∗∗0.269∗∗20100.378∗∗∗0.302∗∗20110.415∗∗0.316∗∗20120.392∗∗∗0.269∗∗20130.381∗∗0.308∗∗∗20140.417∗∗∗0.324∗∗20150.389∗∗∗0.272∗∗∗20160.440∗∗0.319∗∗∗20170.422∗∗∗0.324∗∗
注:*、**、***依次代表显著性水平为10%、5%和1%,下同
基于基准回归和空间Tobit模型,本文采用空间计量分析方法研究校企知识研发效率和校企知识转化效率的影响机制。其中,模型1为知识研发效率的空间计量分析结果,模型2为知识转化效率的空间计量分析结果。所有模型的回归结果见表5。
观察表5的模型分析结果,首先可以发现两个模型的空间相关性系数均显著,表明研究校企知识研发效率和校企知识转化效率的影响机制应考虑空间溢出效应的存在,即使用空间Tobit模型是合适的,可以进一步分析模型1和模型2回归结果。
在模型1中,高校创新能力对校企知识研发效率的影响在1%的统计水平上显著为正,表明高校创新能力对知识研发效率存在促进效应,高校提高创新能力有利于提升其校企知识研发效率;政府科研支持和技术创新投入均在10%的显著性水平下对校企知识研发效率呈正向影响,表明政府对高校科研创新和省域技术创新的财政投入越大,越有利于提升高校知识研发效率;省域创新集聚水平与经济发展水平均在5%统计水平上对校企知识研发效率呈显著正向影响,表明创新集聚水平较高或经济发达的省域,高校的校企研发效率显著高于创新集聚水平较低或经济相对落后省域的高校。为探究各自变量对因变量的相对重要性,即自变量对因变量方差变化(或拟合优度)的解释力度,对校企知识研发效率的影响因素进行贡献率分解和比较。结果显示,在通过显著性检验的影响因素中,高校创新能力是最重要的因素(贡献率为0.038 3),其次是政府科研支持(0.024 5)和技术创新投入(0.021 4),最后是省域创新集聚水平(0.018 4)和经济发展水平(0.012 9)。这一结果表明,提升校企知识研发效率最为重要的除高校自身科研创新能力外,政府对高校的财政支持以及地区研发投入也是关键路径。
在模型2中,高校创新能力与校企知识转化效率的关系为显著负相关且显著性水平为5%,即高校创新能力对知识转化效率存在抑制效应,这可能是因为高校创新能力和企业创新能力存在较大差距且关注重点不同,在校企合作中产生较大知识势差,不利于将高校知识创新成果转化为企业可以直接应用的技术手段;科研人员结构与政府科研支持对校企知识转化效率的影响显著为正,表明高校优化科技人力资源配置、政府加大对高校科技创新的财政支持力度有利于提升知识转化效率;省域创新集聚水平与经济发展水平均在5%显著性水平下对校企知识转化效率呈正相关影响,表明省域创新集聚水平越高、经济越发达,对本地区高校知识转化效率的促进作用越显著。对各自变量对校企知识转化效率的影响情况进行相对重要性分析(Dominance Analysis)发现,在通过显著性检验的影响因素中,政府科研支持是最重要的因素(贡献率为0.032 9),其次是省域创新集聚水平(0.020 2)和高校创新能力(0.018 2),最后是科研人员结构(0.014 6)和经济发展水平(0.011 4)。这一结果表明,政府对高校科研资金支持对提升校企知识转化效率的贡献度最高,此外,省域创新资源集聚程度和高校自身创新能力也是影响校企知识转化效率的重要因素,只是前者呈正向影响而后者为负向影响。
表5 校企知识流动效率的空间面板Tobit分析结果
自变量模型1crs_re模型2crs_telninno0.328∗∗∗(0.071)-0.203∗∗(0.098)govern0.176∗(0.123)0.228∗∗(0.102)highpro0.073(0.097)0.126∗(0.085)lnschyear-0.035(0.045)0.004(0.052)gather0.109∗∗(0.050)0.126∗∗(0.056)lnrd0.042∗(0.029)0.024(0.098)lngdp0.078∗∗(0.039)0.104∗∗(0.048)_cons0.381∗(0.218)-0.362∗(0.221)Spatial rho0.452∗∗∗0.323∗∗N1 040 1 040Prob>chi20.0030.000Log likelihood474.553362.481
为保证主回归结果的稳健性,本文通过加入校企知识流动效率的滞后一期项,构成动态空间面板Tobit模型进行实证结果再检验。其中,模型3为知识研发效率的稳健性检验结果,模型4为知识转化效率的稳健性检验结果。具体回归结果见表6。
由表6可知,首先,两个动态空间面板Tobit模型的空间相关性系数均通过了5%显著性检验,证明校企知识研发效率和校企知识转化效率均存在正向空间溢出效应,即相近(相邻)高校之间的校企知识流动效率具有较强的正相关性。其次,观察知识研发效率和知识转化效率各自的滞后一期项在模型中的回归结果可以发现,滞后项均表现为显著正向影响,表明高校校企知识流动效率存在明显的“时间惯性”,即校企协同创新机制可以通过创新积累实现知识研发和知识转化的创新接力[3]。最后,比较稳健性检验中其它自变量结果与主回归结果的异同,发现高校层面和省域层面的变量回归结果均与主回归结果大体一致。综合上述结果来看,上文中主回归结果的稳健性得到验证。
表6 动态空间面板Tobit模型稳健性检验结果
自变量模型3crs_re模型4crs_teL.crs_re0.448∗∗∗(0.052)L.crs_te0.357∗∗(0.170)lninno0.225∗∗∗(0.031)-0.311∗∗∗(0.052)govern0.162∗∗(0.076)0.421∗∗(0.202)highpro0.138(0.172)0.164(0.157)lnschyear-0.046(0.058)0.074∗(0.045)gather0.219∗∗(0.093)0.312∗∗∗(0.070)lnrd0.242∗(0.145)0.143∗(0.088)lngdp0.145∗(0.091)0.217∗∗∗(0.062)_cons1.381∗∗∗(0.352)-1.621∗∗(0.733)Spatial rho0.238∗∗0.196∗∗N10401040Prob>chi20.0000.005Log likelihood245.331327.175
4.2.1 基于四大地区的异质性分析
我国东部、中部、西部以及东北四大地区的地区经济发展水平和空间分布特征均有较大差异[30]。因此,在全国层面的实证分析之外,在考虑空间异质性的基础上,基于四大地区层面研究校企知识流动效率的异质性影响机制。上文中基于四大地区分析的校企知识研发效率和知识转化效率均存在差异,也说明了空间异质性研究的必要性。鉴于此,本文基于四大地区建立各自的高校空间邻接矩阵,以此进行空间面板Tobit模型异质性分析,其中,模型5-模型6为东部地区估计结果、模型7-模型8为中部地区估计结果、模型9-模型10为西部地区估计结果、模型11-模型12为东北地区估计结果。异质性研究结果见表7。
由表7回归结果可知,基于东部、中部、西部以及东北四大地区的空间异质性回归结果与主回归结果大体一致,表明校企知识流动效率的影响机制在全国范围内适用性较高。但是,地区层面的分组回归结果仍然存在一定异质性,主要表现为基于四大地区的空间面板Tobit模型的空间溢出效应有所差异,西部地区和东北地区空间自回归系数的显著性弱于东部地区和中部地区。此外,各自变量对四大地区校企知识流动效率的影响情况各有不同,其中较为明显的是,高校基本特征中科研人员结构对东部地区校企知识研发和转化效率均呈显著正相关关系,对中部地区和东北地区校企知识转化效率具有显著积极影响,对西部地区没有显著影响;省域基本特征中技术创新投入只对东部和西部地区校企知识研发效率存在显著促进作用,对中部地区校企知识研发和转化效率均具有显著正向影响,但是,对东北地区校企知识流动效率的影响不显著。
表7 基于四大地区的空间异质性研究结果
自变量东部地区模型5crs_re模型6crs_te中部地区模型7crs_re模型8crs_te西部地区模型9crs_re模型10crs_te东北地区模型11crs_re模型12crs_telninno0.348∗∗∗0.221∗∗0.215∗∗0.277∗∗∗0.158∗∗0.227∗∗0.201∗∗0.129∗(0.027)(0.108)(0.101)(0.059)(0.074)(0.112)(0.081)(0.074)govern0.226∗∗∗0.243∗∗0.212∗∗0.148∗∗∗-0.1050.184∗∗0.126∗0.115(0.063)(0.117)(0.091)(0.032)(0.107)(0.093)(0.062)(0.121)highpro0.069∗∗0.118∗∗0.0850.131∗∗0.0820.1030.0730.160∗(0.033)(0.050)(0.076)(0.059)(0.084)(0.082)(0.087)(0.113)lnschyear-0.052-0.011-0.044∗0.016-0.038-0.0190.0390.041∗(0.056)(0.020)(0.028)(0.013)(0.023)(0.018)(0.034)(0.026)gather0.191∗∗∗0.132∗∗0.162∗∗-0.207∗0.144∗∗0.151∗0.137∗0.212∗∗(0.041)(0.062)(0.077)(0.131)(0.072)(0.092)(0.083)(0.102)lnrd0.054∗∗∗0.0320.045∗∗0.065∗0.048∗∗0.0260.0640.038(0.012)(0.058)(0.019)(0.041)(0.024)(0.078)(0.092)(0.045)lngdp0.103∗∗0.116∗∗0.056∗∗∗0.095∗0.0780.059∗0.061∗∗0.035(0.049)(0.058)(0.012)(0.057)(0.065)(0.036)(0.026)(0.050)_cons0.263∗∗-0.433∗∗0.392∗∗∗-0.263∗0.378∗∗∗-0.195∗0.519∗∗-0.326(0.128)(0.211)(0.186)(0.196)(0.053)(0.122)(0.243)(0.313)Spatial rho0.342∗∗∗0.381∗∗∗0.169∗∗0.198∗∗∗0.201∗∗0.163∗∗0.181∗∗0.136∗N530530180180220220110110Prob>chi20.0000.0000.0010.0000.0090.0040.0130.008Log likelihood246.431193.389194.565215.752224.39092.353172.15369.741
注:括号中为标准误,下同
4.2.2 基于高校类型的异质性分析
主回归是基于全样本研究高校校企知识流动效率的影响机制,但是,对于不同高校来讲,知识研发效率和知识转化效率的影响情况也可能存在异质性,故本文依据高校不同类型,将样本高校分为研究型大学和非研究型大学。参照既有研究中关于研究型大学的划分方式,将样本高校中的“985工程高校”定义为研究型大学,其它高校定义为非研究型大学。因此,基于两种高校类型建立相应高校空间邻接矩阵进行空间异质性分析,其中,模型13-模型14为研究型大学估计结果,模型15-模型16为非研究型大学估计结果。异质性研究结果见表8。
由表8回归结果可知,基于高校类型的异质性回归结果与主回归结果基本一致,表明校企知识流动效率的影响机制在研究型高校和非研究型大学的适用性均较高。两种高校类型下分组回归结果虽然在显著性和系数方面的差异较小,但是,仍然无法确定分组回归结果不存在异质性。因此,基于似无相关模型,采用组间系数差异检验方式,对模型13与模型15、模型14与模型16的显著自变量结果分别进行SUR估计。结果发现,在校企知识研发效率回归结果中,两组模型中的高校创新能力和技术创新投入均通过显著性检验,表明研究型大学和非研究型大学的高校创新能力与地区研发投入对各自校企知识研发效率的影响效力存在显著差异;由校企知识转化效率回归结果可知,两组模型中的高校创新能力和政府科研支持均通过显著性检验,表明研究型大学和非研究型大学的高校创新能力与获得的政府资金支持对各自校企知识转化效率的影响效力存在显著差异。
本文首先依据知识供应链二元性理论,将知识流动效率分为知识研发效率和知识转化效率,然后运用两阶段DEA模型测度高校的校企知识研发效率和知识转化效率,最后,基于空间面板Tobit模型研究校企知识流动效率的影响机制。研究结论如下:①总体来看,全国范围内高校的校企知识研发效率高于校企知识转化效率,但是,知识研发效率和知识转化效率均存在空间地理区位差异,不同地区的分布特征不同。此外,空间自相关检验也验证了两种效率均存在正向空间溢出效应;②在高校层面,高校创新能力对知识研发效率存在促进效应,但是,对知识转化效率存在抑制效应,科研人员结构只对知识转化效率存在促进效应,政府科研支持对知识研发效率和知识转化效率均具有促进作用;③在省域层面,省域创新集聚水平与地区经济水平对知识研发效率和知识转化效率均具有显著正向影响,技术创新投入只对知识研发效率存在正向影响;④基于四大地区和高校类型进行分组回归发现,校企知识流动效率的影响机制在不同地区和不同类型高校之间存在明显的异质性。
表8 基于高校类型的异质性研究结果
自变量研究型大学模型13crs_re模型14crs_te非研究型大学模型15crs_re模型16crs_telninno0.535∗∗∗0.417∗∗∗0.358∗∗0.249∗(0.116)(0.133)(0.171)(0.155)govern0.271∗∗0.346∗∗∗0.126∗∗∗0.280∗∗(0.135)(0.101)(0.031)(0.137)highpro0.124∗∗0.238∗0.1560.193∗(0.059)(0.135)(0.106)(0.126)lnschyear0.083-0.031-0.057-0.019(0.078)(0.042)(0.081)(0.016)gather0.2210.412∗∗0.296∗∗0.283∗(0.195)(0.203)(0.127)(0.161)lnrd0.143∗∗∗0.092∗0.074∗∗0.105(0.045)(0.059)(0.035)(0.088)lngdp0.236∗∗0.174∗∗0.195∗0.099∗∗(0.104)(0.082)(0.122)(0.047)_cons0.244∗∗-0.369∗∗∗0.295∗∗-0.383∗∗(0.116)(0.125)(0.146)(0.187)Spatial rho0.382∗∗∗0.274∗∗0.310∗∗0.228∗∗N390390650650Prob>chi20.0010.0000.0000.008Log likelihood363.284238.293249.358187.454
5.2.1 提升科研成果整体转化效率,推动地区创新均衡发展
当前我国校企协同创新机制应更加注重知识成果转化进程,在保障知识研发活动顺利开展的前提下,积极促进高校知识创新成果有效转化为企业可以应用的技术手段或工具。一方面,政府应继续加大对高校科研创新工作的财政支持力度,配合企业对高校的经费投资,为科研成果转化提供资金支持;另一方面,高校应持续优化科研人员结构,加强科技人力资源培养,为校企知识流动提供科研力量支持,尤其要注重科研成果转化,不能单纯追求知识创新数量。与此同时,政府应积极推动校企协同创新机制在地区层面的均衡发展,发挥地区联动作用和知识溢出效应,协调各地区在校企知识流动方面的研发创新与成果转化活动,帮助知识流动双方提升创新绩效。尤其是要立足于我国不同地区的经济与创新发展现状,对不同地区给予针对性政策支持,协调各地区创新要素投入与使用,最大限度发挥创新财力投入的有效性。
5.2.2 加强高校科研创新能力,发挥政府宏观调控作用
对高校主体而言:①在提升自身科研创新能力的基础上,积极与企业开展交流互动,不能一味埋头科研而不注重实际成果转化;②合理配置科研资源,优先引进青年科研人才,激励提升青年教师科研效率;③有效运用政府给予的科研支持,积极开展知识研发活动和知识转化活动,实现校企协同创新机制中知识流动效率最大化。
对地方政府而言:①把握地理优势,积极促进高校和企业之间开展交流互动,协调区域创新资源要素集聚;②将政府财政预算向校企协同创新机制建设倾斜,其中,高校作为知识创新主体更应获得政府财政支持;③加大对地区技术创新力量的财政投入,营造良好的区域创新氛围,提升区域创新能力。在此基础上,地方政府对于研究型大学和非研究型大学提供的科研支持方式与力度应有所区别,通过创新财政支持方式,对不同创新能力的高校突出绩效导向,发挥激励机制的作用。
本文在测度校企知识流动效率时建立的指标体系较为简单,未来研究可以进一步对指标进行细化,比如针对高校发表的学术论文可以依据普通期刊、核心期刊以及国际期刊区分不同水平层次。此外,本文在使用空间面板Tobit模型分析校企知识流动效率的影响机制时主要采用邻接距离矩阵,未来研究可以建立其它类型的空间权重矩阵,比如基于创新能力构建创新距离矩阵。
[1] 陈子韬,孟凡蓉,王焕.科技人力资源对科技创新绩效的影响:基于企业和高校机构的比较[J].科学学与科学技术管理,2017,38(9):173-180.
[2] HUANG M H, CHEN D Z. How can academic innovation performance in university-industry collaboration be improved [J]. Technological Forecasting and Social Change, 2017,123(3): 210-215.
[3] 王晓红,张奔.校企合作与高校科研绩效:高校类型的调节作用[J].科研管理,2018,39(2):135-142.
[4] SOH P H, SUBRAMANIAN A M. When do firms benefit from university-industry R&D collaborations? the implications of firm R&D focus on scientific research and technological recombination [J]. Journal of Business Venturing, 2013, 29(6): 807-821.
[5] 解学梅.中小企业协同创新网络与创新绩效的实证研究[J].管理科学学报,2010,13(8):51-64.
[6] 张宝生,王晓红.虚拟科技创新团队知识流动意愿影响因素实证研究——基于知识网络分析框架[J].研究与发展管理,2012,24(2):1-9+57+126.
[7] 王晰巍,赵树宽.知识供应链构建的绩效评价研究[J].图书情报工作,2009,53(16):108-111+132.
[8] 宋曼祺,徐一旻,吕伟,等.政用产学研战略联盟知识价值链的研究[J].软科学,2018,32(2):96-100.
[9] OJHA D, ACHARYA CH, COOPER D. Transformational leadership and supply chain ambidexterity: mediating role of supply chain organizational learning and moderating role of uncertainty[J]. International Journal of Production Economics, 2018,197(5): 215-231.
[10] GUALANDRIS J, LEGENVRE H, KALCHSCHMIDT M. Exploration and exploitation within supply networks: examining purchasing ambidexterity and its multiple performance implications[J]. International Journal of Operations & Production Management, 2018(3): 667-689.
[11] MOLLER K,RAJALA A.Rise of strategic nets-new modes of value creation[J]. Industrial Marketing Management, 2007,36(7): 895-908.
[12] GUSTAVO DALMARCO, W HULSINK, PAULO ANTNIO ZAWISLAK. New perspectives on university-industry relations: an analysis of the knowledge flow within two sectors and two countries[J]. Technology Analysis & Strategic Management,2019,31(5): 1314-1326.
[13] 王莉,游竹君.基于知识流动的创新生态系统价值演化仿真研究[J].中国科技论坛,2019(6):48-55.
[14] 王文静,赵江坤.产学专利合作网络:结构演变与知识流动——合作形式视角[J].科技进步与对策,2019,36(7):1-9.
[15] ZHANG B,WANG X.Empirical study on influence of university-industry collaboration on research performance and moderating effect of social capital: evidence from engineering academics in China[J]. Scientometrics, 2017, 113(4):1-21.
[16] 张艺,孟飞荣,朱桂龙.海洋战略性新兴产业的产学研合作网络:特征、演化和影响[J].技术经济,2019,38(2):40-51.
[17] 张艺,龙明莲,朱桂龙.科研团队视角下我国研究型大学参与产学研合作对学术绩效的影响[J]. 科技进步与对策,2019,36(1):132-141.
[18] CHRISTIAN R,STERGAARD. Knowledge flows through social networks in a cluster: comparing university and industry links[J]. Structural Change and Economic Dynamics, 2008(10): 196-210.
[19] 胡德鑫,王轶玮.基于DEA的“985”高校科研竞争力评价[J]. 北京理工大学学报(社会科学版),2017,19(4):163-168.
[20] 张宝生,张庆普.虚拟科技创新团队知识流动效率影响因素的实证研究[J].情报科学,2016,34(2):70-76+132.
[21] 赵晓萍,刘隽,古天龙,等.“双一流”建设背景下地方高校内部院系三阶段DEA效率评价[J].数学的实践与认识,2019,49(14):77-87.
[22] 张卫国.我国高校科研生产率提升路径研究——基于31个省份的模糊集定性比较分析[J].中国高教研究,2019(7):78-84.
[23] 沈能,彭慧,姚炯.多渠道国际研发溢出与创新效率空间收敛研究[J].科学学研究,2019,37(6):1091-1101+1141.
[24] 赵增耀,章小波,沈能.区域协同创新效率的多维溢出效应[J].中国工业经济,2015(1):32-44.
[25] 吴卫红,杨婷,张爱美.高校创新要素集聚对区域创新效率的溢出效应[J].科技进步与对策,2018,35(11):46-51.
[26] 李彦华,张月婷,牛蕾.中国高校科研效率评价:以中国“双一流”高校为例[J].统计与决策,2019,35(17):108-111.
[27] 郑丽霞,翟磊.产学研合作项目模式与高校科研绩效——R&D投入的中介作用[J].科技管理研究,2017,37(2):104-110.
[28] 吴卫红,杨婷,张爱美,等.创新资源集聚对区域创新绩效的溢出效应——高校与高技术产业对比研究[J].科技进步与对策,2017,34(17):40-45.
[29] 刘笑,陈强.产学合作数量与学术创新绩效关系[J].科技进步与对策,2017,34(20):51-56.
[30] 王晓红,胡士磊.中国高校产学合作效率:测算及外部环境因素的影响[J].世界科技研究与发展,2017,39(12):503-510.