动态能力、企业规模与双元创新关系研究
——基于fsQCA方法的实证分析

简兆权,刘 念,黄如意

(华南理工大学 工商管理学院,广东 广州 510641)

摘 要:对186家企业问卷数据进行模糊集定性比较分析(fsQCA),探寻3种类型动态能力和企业规模等因素对双元创新的组合效应以及不同因素之间的互动关系。研究发现,分别存在两种等效路径支撑中国企业实现探索式创新和利用式创新;吸收能力作为核心条件存在,联合不同水平的机会识别、资源拼凑和企业规模,大大提高企业实现双元创新的可能性;此外,资源拼凑兼具探索性和利用性双重特征,联合机会识别促进双元创新,其中,资源丰裕的大规模企业更具优势。采用QCA构型研究方法,推动了企业创新行为选择的因果逻辑性研究,从单维视角向多维交互的整体视角转变,明确了各种类型动态能力与双元创新之间的关系以及不同能力间的依赖/替代关系。

关键词:动态能力;企业规模;双元创新;模糊集定性比较分析

Effect on Ambidextrous Innovation by Dynamic Capability and Firm Size
——an Empirical Study based on fsQCA

Jian Zhaoquan,Liu Nian,Huang Ruyi

(School of Business Administration,South China University of Technology,Guangzhou 510641,China)

AbstractBased on the data collecting from 186 enterprises in China to make a fuzzy set qualitative comparative analysis,this paper explores the critical configuration of ambidextrous innovation and the interaction among three types of dynamic capabilities and firm size.The results show that there are two equivalent paths to support Chinese enterprises to achieve exploratory innovation and exploitative innovation respectively.Further,absorptive capacity as the core condition,combined with different levels of opportunity identification,resource bricolage and firm size can greatly promote ambidextrous innovation.On the other side,resource bricolage is the combination of "exploitation and exploration";the possibility of ambidextrous innovation can be greatly improved when resource bricolage jointly opportunity identification,among which the large-scale enterprises with abundant resources have obvious advantages.The research adopts the configuration research method of QCA to promote the causal logic of enterprise innovation behavior choice from the single-dimensional perspective to the overall perspective of multi-dimensional interaction,and clarify the relationship between various types of dynamic capability and ambidextrous innovation,as well as the dependence/substitution relationship between different capabilities.

Key Words:Dynamic Capability; Firm Size; Ambidextrous Innovation; fsQCA

DOI10.6049/kjjbydc.2019070356

开放科学(资源服务)标识码(OSID):

中图分类号:F273.1

文献标识码:A

文章编号:1001-7348(2020)19-0077-10

收稿日期:2019-10-25

基金项目:国家自然科学基金项目(71672061);中央高校基本科研业务费专项资金项目(C2180120)

作者简介:简兆权(1969-),男,福建永定人,博士,华南理工大学工商管理学院教授、博士生导师,研究方向为战略管理、服务创新;刘念(1991-),女,湖北武汉人,华南理工大学工商管理学院博士研究生,研究方向为战略管理、服务创新;黄如意(1992-),女,福建南平人,华南理工大学工商管理学院硕士研究生,研究方向为战略管理、服务创新。

0 引言

双元创新,即同时追求探索式创新和利用式创新,其是企业适应环境变迁、实现长远发展的重要战略手段[1-2],单独追求其中一种创新活动会导致企业陷入失败陷阱或能力陷阱[3]。例如,2017年,三星集中精力开展探索式半导体业务,但未对手机产品进行持续改进,导致绩效连续3年下滑[4]。当前,长期追求“模仿和改进”等利用式创新,导致自主创新能力相对不足[5],成为制约我国企业持续发展的主要短板。在此背景下,中国企业如何开展探索式创新、平衡两类创新在企业内比重,在竞争博弈中获胜,成为学术界和实业界关注的焦点问题。

现有文献已经认识到探索活动和利用活动间的紧张关系[6],也为如何处理两者间紧张关系、促进双元创新提供了一定的见解。其中,不少学者从组织效能视角,探讨了组织结构设计、组织环境塑造以及环境与结构互动等要素在双元创新中的重要作用[3]。另外,也有学者从动态能力视角展开研究[7],但大多采用以线性因果关系为基础的定量研究,探索某一类型动态能力对双元创新的边际“净效应”[8],如机会识别、资源拼凑[9]、吸收能力[10],且目前关于这些动态能力对双元创新的影响仍存在争议。由此,提出一个理论困境:动态能力与双元创新之间的关系到底如何?

在双元创新过程中,可能涉及多个要素之间的多方交互,即双元创新可能是多种动态能力联合发挥效应的结果,且存在多种等效实现路径[11]。此外,企业规模反映企业资源受限或丰裕程度,其可能与动态能力组合,影响企业创新行为选择。因此,本文采用一种探索组合效应和互动关系的有效方法——模糊集定性比较分析法(fsQCA)[12],将吸收能力、资源拼凑、机会识别以及企业规模纳入一个共同研究框架,考察这四大因素间复杂交互作用对双元创新的影响,以窥双元创新之全貌,厘清各因素对双元创新的影响以及彼此间互动关系,探寻以往研究结论不一致的原因。

1 文献综述

1.1 双元创新

双元创新是指企业兼顾探索式创新和利用式创新[2,13]。探索式创新也称突破式创新,是指企业基于对现有知识、技术的重构甚至颠覆,开发全新的产品/服务,以满足新顾客以及新市场需求;利用式创新也称渐进式创新,是指企业在现有知识、技术的基础上延伸或升级当前产品/服务的内容和改进提供方式,进一步满足和扩大现有顾客群[13]。尽管探索式创新和利用式创新对企业发展均至关重要,但单独追求某一种创新会导致企业陷入“次优均衡”[2]。具体而言,利用式创新虽能带来直接短期回报,但也可能抑制新颖解决方案或重要机遇的发现,并导致企业出现更具组织惯性的“能力陷阱”,进而被市场淘汰[6];而探索式创新虽能带来长期经济效益,但可能干扰组织正常运营,导致企业陷入“失败陷阱”[3]。有研究指出,探索式创新和利用式创新都与企业绩效呈现出先扬后抑的倒U型关系[14]。因此,企业要想成功,必须双管齐下,一方面通过探索活动进入新市场领域,另一方面充分利用现有资产和经验创造新价值[3],以实现效率和适应力的统一。

然而,同时开展探索式创新和利用式创新对企业是一个重大挑战。因为这两类活动需要不同的战略、组织结构、文化、资源等支持[2],遵循不同发展路径,彼此间存在竞争关系,相互争夺注意力和资源[3]。在这一背景下,企业如何缓解探索活动和利用活动间紧张关系,实现双元创新,成为创新管理领域的一大核心问题。其中,不少学者基于组织效能视角,探讨缓解两类创新活动间紧张关系的方法[3],例如外包或建立联盟、集权或分权的临时安排、在公司内部建立具有小部分跨组链接的半孤立团队等组织结构设计,塑造融合纪律、支持、信任和浓厚学习氛围的组织内和组织间环境,以及促进组织环境和结构的互动等。此外,也有学者从动态能力视角展开研究,认为动态能力在双元创新中发挥重要作用[7]

1.2 动态能力与双元创新

动态能力是企业通过环境扫描发现机会并据此对内外部资源不断进行整合和重构,从而形成持久、快速适应环境变化的能力[15]。自动态能力提出以来,各国学者纷纷针对动态能力维度作了大量研究,如将动态能力解构为协调整合能力和重组转型能力[16],感知能力、利用能力和重构能力[17],吸收能力、整合能力和创新能力[18],机会识别能力、整合重构能力、技术和组织柔性能力等。尽管由于研究领域、观察视角不同而存在诸多不同观点,但研究普遍认为动态能力构成维度不仅包括资源整合和重构能力等行为维度,而且包括机会和威胁感知能力等认知维度[18]。吸收能力是企业识别外部知识等资源价值,并将其消化吸收,应用于生产运作以实现商业化的能力[19],蕴含资源获取、同化、转化和应用4个概念[20],其实质是企业侧重外部资源动态整合能力[18]。资源整合和运用不仅发生在企业与外部组织合作共享过程中,也发生在企业内部。资源拼凑是指企业组合资源以应对新机会的能力,蕴含手头资源、即刻行为和有方法的资源重组三大概念[21],与寻求新资源的能力形成鲜明对比[22],其实质是企业侧重内部资源整合能力,已成为不可替代的一种重要动态能力[23]。机会识别的概念产生于创业领域,并不断过渡到创新领域。它是指企业通过扫描环境识别新想法,并将新想法转化为能够创造价值的商业化行为的能力[24],体现企业警觉性和洞察力,其实质是一种动态环境感知能力。按照其具体特征,动态能力可分为吸收能力、资源拼凑和机会识别3种类型。

1.2.1 吸收能力与双元创新

现有研究表明,吸收能力作为资源和创新之间的转化工具,对企业创新绩效具有积极影响[25]。有学者将其作为调节变量展开研究[10],认为吸收能力较强的企业在知识转化和整合运用过程中具有更高效率和更好效果,企业创新力也更强。专门探讨吸收能力对双元创新影响效应的研究不多,且目前学者们对两者关系的认识还不明确。一方面认为,相比利用式创新,吸收能力对探索式创新具有更大影响[10]。因为持续吸收和利用外部知识的企业具备先发优势,能快速响应顾客需求以及避免“锁定效应”和“能力陷阱”[25],产生与当前产品组合大不相同的创新性产品,满足新市场需要。另一方面认为,吸收能力对双元创新具有显著正向影响,能够有效缓解两类创新活动因资源竞争产生的张力[26]。因为吸收能力不仅包含模仿性学习能力,能够消化吸收外来新知识,改进新产品/服务以满足现有市场需求;同时,还包含创造性学习的问题解决能力,能够创造出与原有知识具有较大差异的新知识,研发出新产品/服务以创造新市场需求[27]

1.2.2 资源拼凑与双元创新

资源拼凑作为一种资源集约型价值创造方法,帮助企业在原有资源基础上进行智力开发,实现资源价值内生性生长[28]。它不仅存在于初创企业中,而且体现在企业日常工作中[29]。基于此,学术界针对资源拼凑可能带来的影响展开了广泛探讨,但并未达成一致结论,拼凑与创新创业、绩效间关系呈现正向、倒U型甚至不显著的混合实证结果。有研究将资源拼凑和双元创新结合起来探讨,有的学者认为资源拼凑遵循“满意模式”,产生的创新更多是利用式、简单且微小的创新[9];也有学者认为资源拼凑致力于资源的创造性重组,能够产生突破式创新[29];还有学者指出资源拼凑兼具“探索”和“利用”双重特性,能够缓解并满足两类创新活动带来的压力和需求,从而实现双元创新的平衡[30]。总体来说,目前学者们就资源拼凑对双元创新的影响仍持不同立场。

1.2.3 机会识别与双元创新

企业感知、解读环境及其变化从而识别机会是企业动态能力绩效提升的前提,也是创新活动的重要源泉。现有研究表明,机会识别对绩效、创新创业、商业模式创新都具有积极影响,但对双元创新的影响尚不明确。有研究指出机会识别兼具探索式和利用式的双元特点,企业不仅具有识别与现有核心产品或业务高度相关的机会的能力,也具有识别与现有核心产品和业务完全不相关或低度相关的机会的能力[31]。也有研究对机会识别与双元创新之间的因果关系进行了实证检验,发现机会识别仅对利用式创新产生显著正向影响。但研究更多的是发现机会识别对探索式/突破式创新的积极影响,比如,机会识别与产品/服务创新性具有显著正相关关系[32]。破坏性创新是企业构建持续竞争优势的根本途径,而机会识别是关键环节。突破式创新是企业识别机会后,利用各种新知识、新技术整合而得到的结果[33]

1.3 企业规模与双元创新

此外,企业规模也是影响双元创新的一个重要因素。不论是探索式创新还是利用式创新,都需要耗费较多资源。大型企业往往能够为企业成功开展创新活动提供重要资源支撑,如投入更多资金、人才资源、物资等。一般来说,当企业资源丰裕时,组织离心力出现,创造性思维和即兴行为增多;相反,当资源较为稀缺时,企业在成本和风险控制方面更为严格,不利于开展创新活动,尤其是探索式创新。Lin等[34]通过实证研究发现,规模较大企业不受知识、技术等创新资源限制,并且能够承受创新活动带来的风险,适合选择双元创新模式。总的来说,企业规模可在一定程度上反映企业资源丰裕度,规模越大越有利于企业双元创新的实现。

1.4 简要评述

动态能力本身就是一系列能力的复合体,各种能力相互交叉并嵌入创新创业过程中。双元创新与多个因素相关,是多元能力相互作用的复杂过程。本文将吸收能力、资源拼凑、机会识别共同纳入动态能力范畴,对相关文献进行梳理后发现,现有研究多关注某一类型动态能力,并主要基于传统回归方法探究其与双元创新之间的二元关系[9-10],主要关注某一动态能力与环境要素的交互效应对双元创新的影响[16,30],缺乏从一个更完整的角度探索3种类型动态能力之间的多方复杂互动及其对组织双元创新的影响。目前,吸收能力和双元创新、资源拼凑和双元创新以及机会识别和双元创新之间的关系都尚未明确,有待进一步实证检验。针对上述局限,本文试图运用fsQCA方法,将吸收能力、资源拼凑、机会识别以及企业规模纳入同一研究框架,探寻动态能力视角下促进双元创新的多维因素构型,厘清各因素影响效应以及不同因素间互动关系。

2 研究设计

2.1 基于模糊集的定性比较分析方法(fsQCA)

本文采用模糊集定性比较分析(fsQCA)方法,主要有两大原因:①基于相关关系的回归分析方法假定变量都是独立的,适用于探索单个解释变量对被解释变量的“净效应”[11],而fsQCA分析原因条件不同组合所构成的多重并发因果关系[8],可以揭开原因条件(吸收能力、资源拼凑、机会识别和企业规模)如何相互作用共同影响企业双元创新的“面纱”;②fsQCA能够识别引起结果发生的原因条件的充分性和必要性以及不同原因条件间互补/替代性[35],进一步加深有关不同类型动态能力及企业规模对双元创新影响的理解。本文分析软件是fsQCA3.0。

2.2 数据收集

主要以珠三角地区企业为调研对象,发放问卷获取数据。这是因为珠三角地区是改革开放前沿阵地,企业创新意识较强,具有丰富创新经验。此外,研究团队在该地区具有一定的社会网络关系,相比其它区域,该区域收集的数据质量更好,收集效率也更高。问卷要求在企业工作满两年、接触创新活动并深刻了解活动内容、所在企业近3年内进行了服务或产品创新的中高层管理人员填写。问卷发放工作从2017年10月开始,到2018年1月结束,历时3个月,共发放问卷378份,收回252份,其中有效问卷186份,有效回收率为49.21%。具体包含以下两种问卷发放方式:①通过本研究团队与相关企业管理人员关系网络发放问卷,采用现场填写或邮件、微信、QQ等发送问卷星链接和二维码的方式调查受访者,成功发放问卷274份,回收166份,其中有效问卷114份,有效回收率为41.61%;②进入MBA\EMBA课堂,向企业管理人员发放纸质问卷,成功发放问卷104份,回收86份,其中有效问卷72份,有效回收率为69.23%。表1显示了样本企业在所属行业、成立时间、资本额、企业类型等方面分布情况。总体来说,样本企业分布较为广泛和分散,因此,选取的样本具有较好代表性。

表1 样本特征

行业样本比例(%)成立时间样本比例(%)资本额样本比例(%)银行/金融4323.125年以上5831.210亿元以上9048.4制造业3016.116~20年2915.60.01~0.05亿元2614.0咨询/旅游2714.50~3年1910.20.1亿元以下2312.4IT行业2614.010~12年179.11~5亿元2111.3房地产105.44~6年168.60.5~1亿元147.5医药/化工63.27~9年168.65~10亿元126.5贸易行业52.721~25年168.6企业类型批发零售52.713~15年158.1智力密集型8043.0交通/物流42.2资本密集型6836.6其它3016.1劳动密集型3820.4

本文按照问卷回收时间顺序将样本分为早期问卷和后期问卷两部分,并在行业类型、企业性质、成立时间等方面对两组样本数据进行独立样本t检验。结果表明,两组样本在上述方面并无显著差异,因此,不存在响应偏差。此外,为了避免共同方法偏差,在正式调研前,使用清晰简明的题项随机排列,通过不同方式(纸质问卷、电子问卷等)让受访者匿名填卷,避免心理因素导致的动机性偏差。在整理数据后,利用Harman单因素方法检验共同方法偏差,对所有测量题项进行未旋转的主成分因子分析,结果显示首个因子方差解释率14.961%(低于40%),因而不存在显著共同方法偏差。

2.3 变量测量与校准

各变量数据主要通过李克特5点量表(1表示“完全不同意”,5表示“完全同意”)获取。为保证量表信效度,变量测量尽可能参考国内外权威期刊中成熟量表,同时,不断与专家学者讨论,使其更符合本文研究情境。问卷设计步骤如下:①在设计问卷时,针对英文题项,按照翻译和回译程序,先自行翻译再请2位硕士研究生将其回译为英文,反复修改文字表述,以减少问卷翻译不准确或模糊性带来的偏差,形成初始问卷;②邀请创新领域内两名学术专家及两位行业专家对问卷进行修改和完善;③对150家企业进行预测试,得到有效问卷97份,有效回收率64.67%,根据数据信效度分析以及预测人员建议对问卷作进一步修正,形成最终问卷。通过这些步骤,较好地确保了问卷有效性。在获取数据后,根据实质性理论知识,对所有原因条件和结果的原始标度值,运用校准法将其转化为模糊隶属分数,其核心是定义3个定性锚点:完全隶属的阈值、交叉点和完全不隶属的阈值[11]。除企业规模外,本文运用fsQCA3.0软件,基于定性比较分析方法普遍采用10%、50%、90%的比例[35],对其它变量运行“compute”命令以自动进行校准转换。表2总结了3种动态能力以及双元创新的校准信息。

表2 动态能力与双元创新校准信息

变量模糊集校准完全不隶属交叉点完全隶属吸收能力 33.655资源拼凑 3.253.765机会识别 2.673.565探索式创新33.765利用式创新2.753.725

(1)双元创新。双元创新体现在探索式创新和利用式创新两个方面。为得到双元创新这一变量测量结果,宋春华等[1]总结出乘积法、加合法、求差法以及分别测量法等4种方法。本文采用国内频繁使用的分别测量法,主要参考Jansen等[13]以及He & Wong[2]的量表,分别以4个题项测量探索式创新和利用式创新,对比两种创新类型差异,并结合分析得出结论。探索式创新的数值是5时为完全隶属,3为完全不隶属,3.76为交叉点;利用式创新的数值是5时为完全隶属,2.75为完全不隶属,3.72为交叉点。

(2)吸收能力。Jansen等[20]提出了较为完整的测量方案,将吸收能力分为实际吸收能力(包含知识转化和知识应用两维度)和潜在吸收能力(包含知识获取和知识消化两维度),共22个题项。本文结合研究情境以及4位专家的修改建议,对量表进行删减。在知识转化维度,重点考察企业把握市场趋势、追踪需求变化、快速判定信息有效性的能力。在知识应用维度,重点考察部门内权责分工明确性、员工间交流学习畅通性。在知识获取维度,重点考察企业与其它企业/第三方交流频率。在知识消化维度,重点考察企业分析市场需求、把握市场机遇、将新知识融入企业的能力。最终确定了吸收能力的10个题项。若数值为5时,为完全隶属,3为完全不隶属,3.65为交叉点。

(3)资源拼凑。现有研究对资源拼凑的测量较为统一,主要参照Senyard等[36]的量表,包含企业利用手边资源应对挑战的信心、偏好程度,获取廉价资源的能力及利用手边零散资源产生的成效等8个题项。本文借鉴该量表,将8个题项全部纳入资源拼凑测量中。数值是5时,为完全隶属,3.25为完全不隶属,3.76为交叉点。

(4)机会识别。机会识别体现企业识别机会的感知能力、警觉性。本文重点借鉴Ma等[37]的测量指标,确定衡量机会识别的3个题项,包括“日常活动中能发现潜在新想法”、“对新机会特别的警觉和敏感”以及“发现潜在新机会较为自然”,得分越高表示机会识别能力越强。数值是5时,为完全隶属,2.67为完全不隶属,3.56为交叉点。

(5)企业规模。本文主要采用员工数量衡量企业规模。根据fsQCA方法常用的四分法,按照相应赋值标准将企业规模从属集合值确定为0(员工人数为100人及以下),0.33(员工人数为101~500人),0.67(员工人数为501~1 000人),1(员工人数为1 000人以上)。

2.4 信度与效度检验

本文采用SPSS22.0以及AMOS23.0对量表进行信度和效度分析,相关数据结果见表3。首先,采用克隆巴赫信度系数(Cronbach′s α)和组合信度(CR)检验量表内部一致性,发现各变量Cronbach′s α和CR值均在0.7以上,表明该量表具有较好信度。其次,使用SPSS22.0进行探索性分析(EFA),发现各变量KMO值在0.737~0.896之间,显著性均为0.000***。最终析出5个特征值大于1的公因子,解释了62.305%(高于50%)的方差。因此,该量表具有较好结构效度。接着,运用AMOS23.0作验证性因子分析(CFA),结果显示五因子模型拟合度较优(RMSEA=0.053,χ2/df =1.517,GFI=0.849,CFI=0.921, NFI=0.803)。所有题项标准因子负载均在0.6之上,各变量AVE值在0.41~0.70之间,说明该量表聚合效度较好。各变量的均值、标准差及相关系数如表4所示。

表3 变量信效度分析结果

变量指标题项负载α值CRKMOAVE吸收能力A1定期讨论市场趋势、新产品/服务开发事宜0.6740.8470.8730.8650.409A2密切追踪新产品/服务的需求变化0.601A3快速识别外部新知识的有用性0.603A4公司各部门有明晰的权责分工0.587A5员工对产品/服务有共同的话题0.690A6员工经常参观其它企业0.596A7常与其它企业/第三方交流并获取新知识0.561A8能够善于分析变化的市场需求0.722A9能够迅速理解外部技术/服务机遇0.738A10员工擅长将外部新技术吸纳进来0.593资源拼凑R1对利用现有资源寻找可行方案有信心0.6410.8790.8790.8960.478R2能运用手边资源应对复杂挑战0.663R3善用任何可用手边资源应对新问题/机会0.660R4通过整合现有与廉价资源应对新挑战0.650R5面对新问题/机会,总认为能找到可行方案0.656R6通过整合手边资源,成功应对新挑战0.759R7能通过手边资源组合成可行方案0.834R8整合原本他用的手边资源成功应对挑战0.645机会识别O1日常活动中能发现潜在新想法0.8020.8720.8740.7370.698O2对新机会特别的警觉和敏感0.874O3发现潜在新机会较为自然0.828探索式创新E1不断推出新一代的产品或服务0.6200.8130.8140.7760.525E2经常增加产品或服务的种类0.684E3经常寻求新的、有发展前景的新技术0.814E4不断开拓新市场0.766利用式创新E5不断提升现有产品或服务的质量0.7910.7840.7890.7510.490E6 经常提高当前产品或服务的灵活性0.819E7不断降低产品或服务的生产成本0.597E8青睐于巩固现有市场0.554

表4 描述性统计与相关矩阵

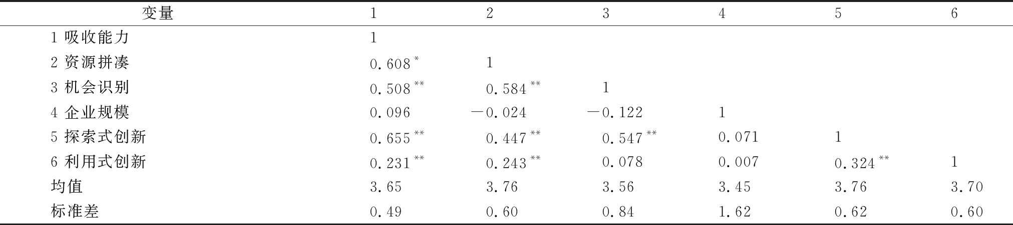
变量1234561 吸收能力12 资源拼凑0.608*13 机会识别0.508**0.584**14 企业规模0.096-0.024-0.12215 探索式创新0.655**0.447**0.547**0.07116 利用式创新0.231**0.243**0.0780.0070.324**1均值3.653.763.563.453.763.70标准差0.490.600.841.620.620.60

注:*表示P<0.01,**表示P<0.05

3 研究结果

3.1 必要性分析

在校准每个变量后,运用fsQCA3.0对所有条件变量及其否定变量进行必要性分析,评估双元创新的发生是否具备必要条件。在fsQCA中,当结果发生时,若某个条件总是存在,则说明该条件为必要条件[12]。按照fsQCA分析中的惯例,当一致性水平高于0.9时,可认为该条件是结果出现的必要条件[12,35]。表5是结果变量分别为探索式创新和利用式创新的条件检验结果。从表5中可以发现,无论是探索式创新还是利用式创新,各单项条件的必要性水平均未超过0.9的阈值(必要水平认定标准),说明吸收能力、资源拼凑、机会识别、企业规模这4个条件中不存在实现双元创新的必要条件。

表5 双元创新必要条件分析

条件结果探索式创新一致性覆盖度利用式创新一致性覆盖度吸收能力0.797 7050.819 9760.714 5770.736 448~吸收能力0.606 0920.531 1760.689 0730.605 478资源拼凑0.764 7460.777 2000.718 3180.731 924~资源拼凑0.617 5710.546 5700.663 6820.588 916机会识别0.786 6810.769 2820.698 2550.684 597~机会识别0.558 5860.511 8720.659 3750.605 811企业规模0.750 8810.530 0870.723 8730.512 356~企业规模0.367 6560.527 2160.396 8490.570 567

3.2 双元创新的前因条件构型

借助真值表进行充分性分析,在因果关系上明确足以使结果发生的条件组合(构型)[35]。本文基于fsQCA方法的相应运算规则,将频数阈值与一致性阈值分别设置为1和0.8进行因果充分性评估。先后将探索式创新和利用式创新作为结果变量运行“Standard Analysis”程序,得出相应的复杂解、简约解和中间解,并据此分析双元创新实现路径(同时存在于简约解和中间解中的条件为核心条件,仅存在于中间解中的条件为辅助条件)。表6显示了4个条件所形成的探索式创新和利用式创新构型结果。实心圆表示核心条件存在,含叉圆表示核心条件缺席,空格表示条件可存在亦可缺席。一致性是指案例与解决方案中所表示的集论关系对应程度;覆盖度是指案例结果被特定解决方案解释的案例比例,类似于回归分析中的R2统计量[11]。从表6中可以看出,探索式创新、利用式创新整体解决方案的覆盖度分别是0.88和0.61,均显示了样本中相当一部分的覆盖率。而且,表中呈现的6种构型,无论是探索式创新还是利用式创新,其单个解决方案和总体解决方案的一致性水平均高于最低可接受的一致性水平0.75[12]。这意味着6种构型都能充分解释结果的存在,可以视为帮助企业实现双元创新的充分条件组合。

表6 双元创新影响组态

条件探索式创新解1解2a解2b利用式创新解3a解3b解4吸收能力●●● 机会识别●● 资源拼凑● ●企业规模●●一致性0.819 9760.859 3330.813 2040.785 0060.811 907 0.809 524原覆盖度0.797 7050.662 3480.590 7490.484 2440.456 0190.383 473唯一覆盖度0.134 4470.018 0700.031 7080.043 0740.024 5980.096 123总一致性0.762 0160.763 392总覆盖度0.884 6460.612 220

注:●代表构型中核心条件存在,⊗代表核心条件缺席,“空白”代表可以存在也可以缺席,下同

3.2.1 探索性创新的前因条件构型

在吸收能力、机会识别、资源拼凑和企业规模4个因素的复杂作用下,探索式创新呈现出3种实现构型,即构型1、2a和2b。构型1的一致性水平为0.82,唯一覆盖度在3种构型中最高,为0.13。在这一构型中,吸收能力的存在发挥了核心作用,而资源拼凑、机会识别和企业规模是无关紧要的条件。这意味着无论其它因素是否存在,吸收能力作为核心条件存在,可以有效促进探索式创新。这是因为培养出强大的吸收能力,能够帮助企业更积极、更大范围地搜寻和消化新的知识、技术等资源,扩展自身资源库[26],并打破既定思维模式进行创造性学习[27],从而更前瞻性地探索新市场[19]、提升创新新颖性[26]以及更有力地处理探索式活动过程中遇到的问题。构型2a的一致性水平在3种构型中最高,为0.86,但唯一覆盖度最低,为0.02。在这一构型中,资源拼凑和机会识别为核心条件,而吸收能力、企业规模成为无关紧要的条件。这意味着同时存在机会识别和资源拼凑两种动态能力的企业,大大提高了其开展探索式创新的可能性。企业可以极具创意的方式对当前资源集合尤其是闲置且看似无用的资源进行重新编排和巧妙组合[21],形成全新功能的资源基础,并创造出一个独特的更大机会集,进而成功设计出市场上全新的产品或服务。构型2b的一致性水平为0.81,唯一覆盖度为0.02。在这一构型中,企业规模和机会识别是核心条件存在,资源拼凑和吸收能力则可存在也可缺席。这表明大规模企业可以充分发挥机会识别能力,促进探索式创新[33]。处在资源相对富余的组织环境中的大型企业,对失败和试错的容忍度相对较高[28],其创造式思维随之增多,从而较易识别独特的、新兴的创新机会。构型2a和2b在一定程度上说明单靠机会识别并不足以解释探索式创新的产生,但其的确是影响探索式创新的一个核心条件,能够联合资源发挥效用。更具体地说,探索式创新是企业整合机会和资源的过程。机会蕴藏于资源之中[38],又指导资源利用。企业可以对手边资源加以创造性重组,识别机会并将机会转化为探索活动,从而创造出全新价值。其中,具有资源禀赋的大企业能够更好地发挥机会识别效用。由此,可以总结出支撑中国企业实现探索式创新的两条等效路径:

路径1:无论其它条件是否存在,吸收能力作为核心条件存在,能够有效促进探索式创新(构型1)。

路径2 :探索式创新也是企业整合机会和资源的结果。企业可以通过对现有资源的创造性重组识别机会,将机会转化为探索式创新,其中资源丰裕的大规模企业更具优势(构型2a和2b)。

3.2.2 利用式创新的前因条件构型

在吸收能力、机会识别、资源拼凑和企业规模4个因素的复杂作用下,利用式创新也呈现出3种实现构型,即构型3a、3b和4。构型3a的一致性水平为0.79,唯一覆盖度为0.04。在这一构型中,吸收能力作为核心条件存在,机会识别作为核心条件缺席,其它条件无关紧要。构型3b的一致性水平在3种构型中最高,为0.81,但唯一覆盖度最低,为0.02。在这一构型中,吸收能力同样作为核心条件存在,但资源拼凑作为核心条件缺席,其它条件无关紧要。构型3a和3b表明在缺乏其它动态能力(资源拼凑和机会识别)的情况下,吸收能力能够助力企业进行利用式创新。这意味着当机会和资源两大要素缺失时,吸收能力能够起到弥补作用。拥有较高吸收能力的企业能够有效识别和获取外部资源,并利用现有知识经验进行模仿性学习[27],从而促进利用式创新。所以,在利用式创新过程中,企业培养出强大的吸收能力以克服自身劣势至关重要。构型4的一致性水平仅次于构型3b,唯一覆盖度在3种构型中最高,为0.1。在这一构型中,资源拼凑和企业规模作为核心条件存在,吸收能力作为核心条件缺席,机会识别则成为无关紧要的条件。这意味着不具备吸收能力时,企业尤其是大规模成熟企业可以通过培养资源拼凑能力促进利用式创新。这是因为大企业相比小企业存在更多组织冗余,能够更好地发挥资源拼凑效用[28],更自由、更快速地切换现有资源用途,对不同资源模块进行组合,并沿着企业现有知识基础和技术发展轨迹配置资源,从而实现对现有产品、服务内容、营销渠道等多方面的改进。由此,可以总结出支撑中国企业实现利用式创新的两条等效路径:

路径3:当企业缺乏资源拼凑和机会识别的动态能力时,可以依靠吸收能力推动利用式创新(构型3a和3b)。

路径4:当企业缺乏吸收能力时,通过资源拼凑可以促进利用式创新,其中,具有资源禀赋的大企业更具优势(构型4)。

进一步地,结合探索式创新和利用式创新的实现路径发现:①吸收能力作为核心条件存在,联合不同水平的机会识别、资源拼凑和企业规模促进双元创新(路径1和3)。双元创新实施过程是一个系统过程,是创新资源不断消耗的过程,需要企业不断扩展现有资源库,以克服创新资源不足的劣势。具备较高吸收能力的企业能够获取、消化外部信息、知识和技术等资源,不仅有助于改善企业各利益团体间冲突,维持组织和谐运作,使得企业有足够资源和精力对不同类型创新行为进行投资,促进探索式创新和利用式创新平衡开展[27];②资源拼凑兼具探索性和利用性双重特征,联合机会识别促进双元创新,其中资源丰裕的大规模企业更具优势(路径2和4)。在一定条件下,资源拼凑与吸收能力具有替代关系。资源拼凑实质是缓解资源约束的一种动态能力,企业通过拼凑巧妙地重组、编排资源基础,对其进行有效匹配,并运用于探索和利用活动中,在一定程度上也解决了两类创新因竞争稀缺资源而产生的矛盾[30]。企业资源拼凑能力越强,“创意层的探索”、“资源层的利用”活动越丰富,识别的机会越多,越有利于企业开展双元创新。其中,大企业相比小企业拥有更多组织资源,更具备资源拼凑和机会识别能力,能够更大限度地发挥动态能力效用。

因此,提出以下两大命题:

命题1 :吸收能力作为核心条件存在,联合不同水平的机会识别、资源拼凑和企业规模能够大大提高企业实现双元创新的可能性。

命题2:资源拼凑兼具探索性和利用性双重特征,联合机会识别促进双元创新,其中资源丰裕的大规模企业更具优势。

3.3 稳健性检验

本文通过以下两种方式进一步检验研究结果稳健性。①将频数阈值由1设置为2(频数阈值的设定需满足至少包含75%的观察案例这一条件[8]),一致性阈值保持不变,运行结果如图7所示,可以看出相关数据未发生任何改变;②调整校准标准,在-25%~25%之间改变变量交叉临界值[11],如将探索式创新的校准标准调整为(5,3.78,3),将利用式创新的校准标准调整为(5,3.74,2.75)。结果发现,相关数据仅发生了微小改变,其在结果解释上并未发生本质变化,如表8所示。因此,本文构型结果是稳健的。

表8 双元创新影响组态(调整校准标准)

条件探索式创新解1解2a解2b利用式创新解3a解3b解4吸收能力●●● 机会识别●● 资源拼凑● ●企业规模●●一致性0.812 1490.851 6660.806 0080.778 0230.805 4490.803 781原覆盖度0.803 5140.667 5920.595 4700.487 3950.459 4220.386 670唯一覆盖度0.133 4950.017 2220.030 8600.043 0530.024 5200.097 042总一致性0.752 2270.756 749总覆盖度0.888 1190.616 323

4 结论与展望

4.1 研究结论

本文结合珠三角地区186家样本企业问卷数据,采用最符合构型思维的fsQCA研究方法[11],从系统角度探讨3种类型动态能力与企业规模因素对中国企业双元创新的组合效应,以及不同因素间互动关系,结果发现:

(1)双元创新具有“多重并发”和“殊途同归”的特点,任何单一类型动态能力均非促进探索式创新和利用式创新的必要条件。事实上,双元创新是多种动态能力和企业规模共同作用而产生的等效结果。

(2)吸收能力是企业探索式创新的一个充分条件,即无论其它条件是否存在,吸收能力作为核心条件存在,能够有效促进探索式创新(构型1)。同时,探索式创新也是企业整合机会和资源的结果。企业通过对资源的创造性重组识别机会,并将机会转化为探索式创新(构型2a和2b)。

(3)当企业缺乏资源拼凑和机会识别的动态能力时,可以依靠吸收能力进行模仿学习,推动利用式创新(构型3a和3b)。同时,当企业缺乏吸收能力时,企业尤其是大规模成熟企业可以通过培养资源拼凑能力促进利用式创新(构型4)。

(4)吸收能力作为核心条件存在,联合不同水平的机会识别、资源拼凑和企业规模,能够大大提高企业实现双元创新的可能性(路径1和3)。此外,资源拼凑兼具探索性和利用性双重特征,联合机会识别促进双元创新。其中,资源丰裕的大规模企业更具优势(路径2和4)。

表7 双元创新影响组态(调整频数阈值)

条件探索式创新解1解2a解2b利用式创新解3a解3b解4吸收能力●●● 机会识别●● 资源拼凑● ●企业规模●●一致性0.819 9760.859 3330.813 2040.785 0060.811 907 0.809 524原覆盖度0.797 7050.662 3480.590 7490.484 2440.456 0190.383 473唯一覆盖度0.134 4470.018 0700.031 7080.043 0740.024 5980.096 123总一致性0.762 0160.763 392总覆盖度0.884 6460.612 220

4.2 理论价值

(1)将资源拼凑、机会识别、吸收能力以及企业规模共同纳入研究框架,探究其对双元创新的组合效应。以往研究多从单一类型的动态能力出发,探讨其与双元创新之间的二元关系[9-10],忽略了这些因素间互动关系以及组合可能产生的化学反应[8]。事实上,动态能力在不同维度上呈现出特定的能力水平,结合形成不同的能力构型,从而带来各异的影响效应。基于此,本文严格遵循构型的思维方式,将集合了定量和定性研究优势的fsQCA方法引入双元创新研究领域,研究发现任何单一类型动态能力均非促进企业探索式创新和利用式创新的必要条件,双元创新实质上是多种动态能力和企业规模共同作用产生的等效结果。不同类型的动态能力间存在替代/互补关系,吸收能力联合其它类型动态能力能够促进双元创新。在一定条件下,资源拼凑和吸收能力具有替代关系,即资源拼凑能够联合机会识别促进双元创新。本文采用fsQCA方法是对传统回归方法的有效补充[39],在一定程度上推动了企业创新行为选择的因果逻辑性研究从单维视角向多维交互的整体视角转变[11],回应了中国学术界对创新创业领域能力多元化研究的呼吁。

(2)运用fsQCA的构型方法展开研究,进一步明晰了动态能力与双元创新之间的关系,解决了现有文献多关注单一动态能力而带来混乱结果的困境[9,16,36]。现有研究多从数据本身质量问题、度量方式差异、外部环境差异等方面,就吸收能力、机会识别、资源拼凑对双元创新的影响争议作出解释。本文借助fsQCA方法进行研究,发现吸收能力能够促进两类创新活动的平衡[27],这与吸收能力对双元创新具有显著正向影响的实证研究结果一致[26]。但同时,机会识别并不能保证双元创新的必然发生,而需要联合资源发挥效用。只有利用机会识别和资源拼凑的复合优势,才能够助力企业尤其是大规模企业实现双元创新。这响应并延伸了现有文献对机会资源一体化研究视角的呼吁[38],也解释了企业通过动态能力实现创新发展的“迷思”。

4.3 实践启示

本研究对中国企业创新实践具有一定的管理启示。动态能力构建是企业在双元创新方面取得卓越成就的重要法宝。企业在培养动态能力时,可以根据自身特点、发展需求或者外部环境构建不同动态能力,包括吸收能力、机会识别和资源拼凑,而不是只选择一种动态能力。具体而言,企业在没有时间压力或网络能力限制情况下,可以通过社会交易和经济交易建立外部网络并不断提高自身开放程度,同时加强与外部合作伙伴间交流和信任,跨越地域、知识、网路等边界,搜寻和共享技术、市场知识等资源,构建强大的吸收能力。一方面,企业可以通过吸收能力进行创造性学习,打破现有创新逻辑,产生全新想法和创意,进而促进探索式创新。另一方面,企业可以通过吸收能力进行模仿性学习,在现有技术知识、市场知识等资源基础上强化自身技能以及改进现有服务内容、服务流程或产品结构等,从而实现利用式创新。

此外,为避免过度依赖外界资源而陷入“模仿—落后—再模仿”或“合作—受制”的困境,或当企业尤其是大企业面临紧急状况时,可以大胆对现有资源进行创造性利用,最大限度激发手边资源尤其是廉价甚至看似无用资源的协同性,构建强大的资源拼凑能力。一方面,应充分发挥资源拼凑的“探索”属性,打破常规和惯例,以极具创意的方式重组、编排资源基础,主动识别和开发机会,产生意料之外的创造力和洞察力,进而转化为令人惊喜的探索式创新成果。另一方面,应充分发挥资源拼凑的“利用”属性,积极探索手边资源的潜在用途与价值,并沿着企业现有知识基础和技术发展轨迹组合配置资源,从而产生利用式创新。

4.4 研究局限与展望

本研究亦存在不足。首先,本文数据主要来自于珠三角地区企业问卷信息,样本在地域代表性方面存在明显局限。未来研究可以适当扩大调研地区范围,使研究成果具有更高稳定性和推广性。其次,采用横截面数据,变量影响效应在时间上可能存在一定滞后性,未来可以收集纵向和面板数据来检验本文研究结论。最后,现有研究既有从动态能力视角也有从组织效能视角(如组织结构、组织环境、结构与环境的互动等)分析双元创新的影响因素,而本文仅考虑动态能力影响下双元创新实现构型,未来研究可以将动态能力与组织效能结合起来,同时加入外部因素(如环境动荡性),运用fsQCA方法进行更系统的研究,更深入地挖掘触发双元创新多个原因条件的构型。

参考文献:

[1] 宋春华,马鸿佳,马楠.关系学习、双元创新与企业绩效关系研究[J].外国经济与管理,2017,39(9): 32-46.

[2] HE Z L,WONG P K.Exploration vs exploitation: an empirical test of the ambidexterity hypothesis[J].Organization Science,2004,15(4): 481-494.

[3] YANG Z,ZHOU X,ZHANG P.Discipline versus passion: collectivism,centralization,and ambidextrous innovation[J].Asia Pacific Journal of Management,2015,32(3): 745-769.

[4] 金昕,陈松,邵俊岗.企业创新中的“双元平衡”一直重要吗——基于机器学习的动态分析[J].科学学与科学技术管理,2018,39(11): 74-84.

[5] 邹荣,王满仓,李勇.新常态下中国自主创新困境的制度性因素分析[J].西北大学学报(哲学社会科学版),2017,47(1): 123-127.

[6] FANG C,LEE J,SCHILLING M A.Balancing exploration and exploitation through structural design: the isolation of subgroups and organizational learning[J].Organization Science,2010,21(3): 625-642.

[7] 孙家胜,刘路明,陈力田.知识动态能力研究进展及前沿演进可视化分析[J].科技进步与对策,2019,36(13): 1-9.

[8] 杜运周,贾良定.组态视角与定性比较分析(QCA): 管理学研究的一条新道路[J].管理世界,2017(6): 155-167.

[9] WU L,LIU H,ZHANG J Q.Bricolage effects on new-product development speed and creativity: the moderating role of technological turbulence[J].Journal of Business Research,2017(70): 127-135.

[10] 段庆锋,潘小换.组织间技术扩散网络对双元创新的影响研究[J].研究与发展管理,2018,30(5): 27-37.

[11] FISS P C.Building better causal theories: a fuzzy set approach to typologies in organization research[J].Academy of Management Journal,2011,54(2): 393-420.

[12] RAGIN C C.Redesigning social inquiry: fuzzy sets and beyond[M].Chicago: University of Chicago Press,2008.

[13] JANSEN J J P,VAN DEN BOSCH F A J,VOLBERDA H W.Exploratory innovation,exploitative innovation,and performance: effects of organizational antecedents and environmental moderators[J].Management Science,2006,52(11): 1661-1674.

[14] UOTILA J,MAULA M,KEIL T,et al.Exploration,exploitation,and financial performance: analysis of S&P 500 corporations[J].Strategic Management Journal,2009,30(2): 221-231.

[15] TEECE D J,PISANSO G,SHUEN A.Dynamic capabilities and strategic management[J].Strategic Management Journal,1997,18(7): 509-533.

[16] 李德强,彭灿,奚雷.动态能力对双元创新协同性的影响: 环境竞争性的调节作用[J].运筹与管理,2017,26(9): 183-192.

[17] TEECE D J.Explicating dynamic capabilities: the nature and microfoundations of (sustainable) enterprise performance[J].Strategic Management Journal,2007,28(13): 1319-1350.

[18] 李非,祝振铎.基于动态能力中介作用的创业拼凑及其功效实证[J].管理学报,2014,11(4): 562-568.

[19] COHEN W M,LEVIBTHA D A.Absorptive capacity: a new perspective on learning and innovation[J].Administrative Science Quarterly,1990,35(1): 128-152.

[20] JANSEN J J P,VAN DEN BOSCH F A J,VOLBERDA H W.Managing potential and realized absorptive capacity: how do organizational antecedents matter[J].Academy of Management Journal,2005,48(6): 999-1015.

[21] BAKER T,NELSON R E.Creating something from nothing: resource construction through entrepreneurial bricolage[J].Administrative Science Quarterly,2005,50(3): 329-366.

[22] WITELL L,GEBAUER H,JAAKKOLA E,et al.A bricolage perspective on service innovation[J].Journal of Business Research,2017(79): 290-298.

[23] 周飞,沙振权,孙锐.市场导向、资源拼凑与商业模式创新的关系研究[J].科研管理,2019,40(1): 113-120.

[24] GUO H,TANG J T,SU Z F,et al.Opportunity recognition and SME performance: the mediating effect of business model innovation[J].R&D Management,2017,47(3): 431-442.

[25] ZAHRA S A,GEORGE G.Absorptive capacity: a review and reconceptualization and extension[J].Academy of Management Review,2002,27(2):185-203.

[26] 王建,胡珑瑛,马涛.吸收能力、开放度与创新平衡模式的选择——基于上市公司的实证研究[J].科学学研究,2015,33(2): 304-312.

[27] 陈劲,蒋子军,陈钰芬.开放式创新视角下企业知识吸收能力影响因素研究[J].浙江大学学报(人文社会科学版),2011,41(5): 71-82.

[28] 赵兴庐,刘衡,张建琦.冗余如何转化为公司创业——资源拼凑和机会识别的双元式中介路径研究[J].外国经济与管理,2017,39(6): 54-67.

[29] 刘人怀,王娅男.创业拼凑、创业学习与新企业突破性创新的关系研究[J].科技管理研究,2017,37(17): 1-8.

[30] 奚雷,彭灿,杨红.资源拼凑对双元创新协同性的影响: 环境动态性的调节作用[J].技术经济,2017,36(4): 1-5.

[31] 于晓宇,陶向明,李雅洁.见微知著?失败学习、机会识别与新产品开发绩效[J].管理工程学报,2019,33(1): 51-59.

[32] GIELNIK M M,KRAMER A C,KAPPEL B,et al.Antecedents of business opportunity identification and innovation: investigating the interplay of information processing and information acquisition[J].Applied Psychology: An International Review,2014,63(2): 344-381.

[33] O'CONNOR G C,RICE M P.Opportunity recognition and breakthrough innovation in large established firms[J].California Management Review,2001,43(2): 95-116.

[34] LIN Z,YANG H B,DEMIRKAN I.The performance consequences of ambidexterity in strategic alliance formations: empirical investigation and computational theorizing[J].Management Science,2007,53 (10): 1645-1658.

[35] STROE S,PARIDA V,WINCENT J,et al.Effectuation or causation: an fsQCA analysis of entrepreneurial passion,risk perception,and self-efficacy[J].Journal of Business Research,2018(9): 265-272.

[36] SENYARD J,BAKER T,STEFFENS P.Bricolage as a path to innovativeness for resource-constrained new firms[J].Journal of Product Innovation Management,2014,31(2): 211-230.

[37] MA R,HUANG Y C,SHENKAR O.Social networks and opportunity recognition: a cultural comparison between Taiwan and the United States[J].Strategic Management Journal,2011,32(11): 1183-1205.

[38] AN W W,ZHAO X L,CAO Z,et al.How bricolage drives corporate entrepreneurship: the roles of opportunity identification and learning orientation[J].Journal of Product Innovation Management,2018,35(1): 49-65.

[39] 陶秋燕,李锐,王永贵.创新网络特征要素配置、环境动荡性与创新绩效关系研究——来自QCA的实证分析[J].科技进步与对策,2016,33(18): 19-27.

(责任编辑:万贤贤)