我国经济已迈入高质量发展阶段[1]。高质量发展是我国未来经济发展的战略方向,重点是把实体经济做好[2]。制造业作为实体经济的核心,是带动经济增长的重要引擎[3],从根本上决定着国家综合实力。推动制造业高质量发展,对我国成为世界制造强国具有极其重大的意义。制造企业作为推动经济高质量发展的直接承担者,是实现三大变革的基础。只有实现各制造企业高质量发展,才能实现全行业高质量发展。当前,我国制造企业高质量发展水平如何?如何展开评价?当前发展短板在哪?未来制造企业高质量发展的着力点在何处?以上是我国制造企业高质量发展过程中亟待解决的问题。本文在解读制造企业高质量发展内涵及要求的基础上,构建制造企业高质量发展评价指标体系,并基于1 881家A股制造业上市公司数据,实证分析我国制造企业高质量发展水平及存在的问题,进而提出促进高质量发展的具体措施。这对于我国制造企业高质量跨越式发展,具有重要现实指导价值。
自高质量发展战略提出以来,学界充分认识到制造企业高质量发展的重要性,在制造业面临变革、创新、融合背景下[4],学者们主要从内涵、影响因素、评价体系、路径对策等4个方面对制造企业高质量发展加以探讨。
何谓制造企业高质量发展?制造企业高质量发展的首要任务仍旧是发展[5],不仅包括发展质量,还包括发展效率[6]。提高运行质量、产品和服务质量,是企业高质量发展的内在要求[7]。研究表明,制造企业高质量发展应为以满足不同需求为导向,借助新资源与能力,通过创新手段,不断整合资源、提升效率[8],追求高效率、高层次、高水平的经济创造与社会价值创造[9]。
影响制造企业高质量发展的因素主要包括国家政策环境、技术创新水平、开放合作水平3个方面。实证研究表明,不同的政策工具对制造企业的成长性具有显著影响[10]。以税制改革为例,研究表明,增值税税率改革除能进一步减轻制造企业负担、激发市场活力[11]外,还会使制造企业资产收益率提高,并引导企业加强固定资产投资和研发创新投入[12]。另外,减税降费政策在帮助制造企业减轻负担的同时,也有利于促进制造企业内部结构优化[13]。技术创新是实现制造企业高质量发展的核心驱动力,但目前高端制造业内部科技创新效率还存在较大差距[14]。坚持以企业自身为创新主体,不断推进全行业关键核心技术创新[15],可以通过品牌协同技术进步的发展模式实现高质量发展[16]。信息通信技术与传统制造业技术深度融合有助于制造企业实现节能降耗,助力企业转变生产方式和制造模式(张三峰、魏下海,2019)。制造业出口增速回落对制造业升级有显著制约作用,应优化制造业出口商品结构和市场结构,引导外商投资高端制造业领域[17]。从产品质量视角看,外资准入政策放松会间接提升制造企业产品质量及其增速[18]。
参考已有研究对高质量发展含义[19]的充分阐释,借鉴已有经济高质量发展指标体系[20-21],对制造业高质量发展指标体系构架提出新的看法。从企业质量、产品质量、增长度、效率度、创新度、对外依存度、社会贡献度、环境度8个维度,评价制造业高质量发展水平,结果发现,我国制造业发展质量非常不乐观[22]。对全国各省份制造业在质量品牌、经济效益、高端发展、两化融合、绿色发展及技术创新上的表现进行质量水平测度发现,制造业总体高质量发展水平处于上升趋势,但存在严重的区域发展不均衡现象[23]。
在制造企业高质量发展水平提升路径与对策上,首先应完善制造企业顶层设计,把握关键,统筹推进[24]。制造企业要紧抓产业发展中的“变”,转型产业政策支持方式,加强落实引导政策[25],坚持实施创新驱动[26]、品牌提升、工业化、改革发展、智能化、新动能培育六大战略[27]。积极采用引进技术的平台开发嵌入等制造企业高质量发展路径[8],集中攻关核心技术,积极构建协同创新共同体[28],充分重视协同创新在制造企业转型升级中的重要作用[29],催动企业由资本驱动转向技术驱动(王家庭等,2019)。
综上所述,制造企业高质量发展水平评价研究相对薄弱,缺乏系统性,缺少基于微观企业角度的实证测度评价,因而既难以有效衡量当前制造企业高质量发展水平,也难以发现阻碍制造企业高质量发展的问题。另外,制造企业高质量发展路径对策研究主要集中于技术创新,视角单一,未能体现高质量发展的全面系统特征。
制造企业高质量发展评价指标体系构建,要以制造企业高质量发展内涵为理论基础,以制造企业高质量发展要求为应用基础。从经济学角度看,制造业高质量发展是指一个国家或地区经济社会整体进入工业化中后期之后,主动适应社会主要矛盾变化,不断推动制造业持续高级化的创新过程。本文认为,制造企业高质量发展不仅包括经济发展质量、效率等因素,而且涵盖动力、生态、开放、民生等方面,是三大变革和新发展理念的融合,是更高水平上的持续发展。
(1)制造企业高质量发展,首要核心目标仍是增长。最大要务是发展,既包括发展质量,又包括发展效率。从企业经济效益增长质量看,要求企业偿债、营运、盈利等均处于较好运转状态;从企业生产效率看,要以更合理的要素投入获取更大产出,实现劳动、资本、技术等要素产出效率大幅提升。
(2)应坚持创新驱动战略,将新时代我国制造企业高质量发展增长动力逐渐转变为科技创新。创新是制造企业实现高质量发展的重要内容和发展前提,产品和服务创新是制造企业实施创新驱动战略的重要着力点。企业只有对科技研发充分重视并加大投入,才能够提高生产效率,获得源源不断的竞争优势,从而促使创新成为高质量发展的不竭动力。
(3)从生态环保可持续角度出发,制造企业高质量发展应充分体现绿色发展理念,制造企业经济增长坚决不能以破坏自然生态环境为代价。因此,制造企业应处理好发展与自然生态环境保护的关系,实现绿色、循环、可持续发展。
(4)开放是推动制造企业高质量发展的必由之路。引领经济发展新常态,必须以高水平开放推动高质量发展[30]。制造企业高质量发展应是开放合作发展,要在开放中寻求合作,在开放中推进创新,在开放中拓展经济发展空间,成为更高层次的开放型企业。
(5)制造企业高质量发展应以共享为根本目的。制造业既是国家社会发展的基础部门,又是国家重大物质资源的来源,更是社会发展的支撑。在经济发展新时代,全面共享发展成果是人民对制造企业提出的新要求。制造企业在发展中应积极承担社会责任,关注社会就业率、民生改善度、纳税贡献度,不断创造社会价值,让企业发展成果能够普惠人民。
为深入了解制造企业当前高质量发展水平并提出针对性对策建议,本文紧扣高质量发展主题,深刻把握制造企业高质量发展内涵及要求,遵循评价指标体系构建的系统性、科学性、动态性,以及数据可得性等原则,从制造企业高质量效益增长、高质量创新发展、高质量绿色发展、高质量开放合作、高质量社会共享五大维度出发,构建包含偿债能力、创新资本、环境意识等14个二级指标及资产负债率、研发投入强度等21个表征指标在内的制造企业高质量发展评价指标体系,如表1所示。
表1 制造业高质量发展评价指标体系
目标层子目标二级指标表征指标单位指标属性高质量效益增长(0.202)偿债能力(0.056 2)资产负债率( 0.029 8)%区间流动比率 (0.026 4)%中间营运能力(0.024 6)总资产周转率 (0.024 6)%正向盈利能力(0.031 1)净利润率 (0.031 1)%正向成长能力(0.028 8)营业收入增长率 (0.028 8)%正向运转效率(0.061 3)劳动生产率(0.030 4)元/人正向资本产出效率(0.030 9)%正向高质量创新发展 (0.25 7)创新资本(0.058 2)研发投入强度 (0.058 2)%正向创新人才(0.110 8)高学历人才占比 (0.058 8)%正向研发人员比率(0.052)%正向制造企业高质量发展创新产出(0.088)发明专利申请数 (0.402)个正向发明专利授权数 (0.047 8)个正向高质量绿色发展(0.189)环境意识(0.104 3)环境意识(0.104 3)分正向环境披露(0.084 7)环境数据披露 (0.084 7)分正向高质量开放合作(0.171)开放成果(0.131 5)海外业务收入 (0.067 3)元正向外国关联公司利润额(0.064 2)元正向对外投资(0.039 5)年对外投资金额 (0.039 5)元正向高质量社会共享(0.181)员工权益(0.088 1)应付职工薪酬增长率 (0.029 8)%正向年就业人数增长率(0.058 3)%正向社会价值(0.092 9)资产纳税率 (0.066 8)%正向社会捐赠 (0.026 1)万元正向
(1)高质量效益增长维度。一是效益增长质量,以企业偿债能力、营运能力、盈利能力、成长能力衡量,具体到表征指标上,以资产负债率、流动比率表征制造企业偿债能力,以总资产周转率表征制造企业营运能力,以净利润率表征制造企业盈利能力,以营业收入增长率表征制造企业成长能力;二是效益增长效率,以运转效率度量,企业运转效率包括劳动生产率与资本产出效率。
(2)高质量创新发展维度。制造企业创新发展包括创新投入与创新产出两个部分,创新投入包括资本要素投入与知识要素投入,即创新资本与科创人才。其中,创新资本以研发投入强度表示,创新人才以高学历(本科及以上)人才占全体员工的比率及研发人员占全体员工的比率表示。企业创新产出成果主要表现为专利发明,因而创新产出采用专利申请数及授权数表征。
(3)高质量绿色发展维度。制造企业高质量绿色发展既包括企业环境意识,又包括环境保护行为。制造企业环境意识表现在是否披露环境可持续发展相关信息、是否就气候变化进行讨论等方面,经综合处理后呈现为环境意识总得分;环境保护行为体现在废弃物回收、节省水量、废纸回收等方面,经综合处理后总计为环境数据披露得分。
(4)高质量开放合作维度。由于“引进来”数据缺失,高质量开放合作维度的数据指标更加侧重制造企业“走出去”的成果,包含开放成果与对外投资两个二级指标。其中,开放成果指标以企业相应海外业务收入及企业关联利润额表征,企业对外投资水平则由相应制造企业年对外投资金额表征。
(5)高质量社会共享维度。一是企业有能力保障员工权益,二是企业能够不断创造社会价值。企业员工权益首先表现为就业保障,其次表现为薪酬增长。因此,员工权益的具体表征指标为年就业人数增长率及应付职工薪酬增长率。企业社会价值创造指标既体现在企业税收贡献即资产纳税率上,又体现在制造企业的社会捐赠上,具体包括公益捐赠、精准扶贫、健康及生态保护扶贫等方面。
本文采用中国证监会行业分类标准,选择制造业A股上市公司,数据主要来源于国泰安数据库,对2015-2018年制造业上市公司年报和附注信息等数据进行提取整理,得到研究所需的基础数据。为确保样本的科学性、合理性、有效性,剔除ST、*ST及PT类公司、被证监会暂停上市的公司,以及因其它状况存在明显异常值的问题公司。经过处理,最终得到1 881家制造业上市公司数据,主要采用R语言软件对数据进行处理与分析。
2.4.1 指标权重计算
综合考虑制造企业高质量发展的现实意义与研究数据特点,结合主观与客观赋权法,运用AHP-熵权组合赋权进行权重确定。AHP-熵权组合赋权法能够结合主客观两方面优势:一方面,利用AHP进行有效分析,能够充分考虑评价指标的现实意义,得到具有丰富经验、严谨思维专家的意见;另一方面,利用熵权法进行客观赋权,能够对主观性认知进行修正,减少人为失误,确保评价的客观性。组合赋权法有效避免了单一评价的缺陷,使评价结果更加科学、有效、合理。
假设层次分析法所得权重为
基于组合赋权的权重确定得到如下步骤:
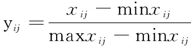
(1)由于本评价体系涉及指标类型较多,首先需要对原始数据进行无量纲化处理。
对于正向指标,令
(1)
对于负向指标,令
(2)
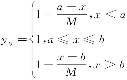
对于中间型指标,令M=max{|xij-xbest|},得到:
![]()
(3)
对于区间型指标,令M=max{a-min{xij},
max{xij}-b},则:

(4)
在进行以上处理的基础上,可以得到如下归一化矩阵:
(5)
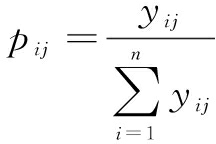
(2)采用第i个企业在第j个高质量发展水平评价指标上所占比重pij确定竞争力评价指标权重。
(6)
(3)计算熵值ej与差异性系数gj。
(7)
gj=1-ej
(8)
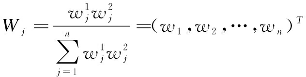
(4)计算第j项评价指标权重wj,记熵权法所得权重为![]()
(9)
(5)对
进行如下组合,得到最终指标权重。
(10)
经过以上计算,确定各指标权重如表1所示。
2.4.2 TOPSIS评价模型
在确定各指标权重的基础上,利用TOPSIS评价模型作进一步评价。TOPSIS法是由C·L·Hwang等[31]于1981年提出的,该评价方法对评价对象、指标及数据无明确要求,具有普遍适用性并突破了传统评价标准,以正负理想解作为指标评价标准计算相对贴进度。TOPSIS评价模型兼具整体评价和局部评价的优点,能客观地对多指标情况下各方案进行综合性评价,充分体现各高质量发展评价指标的实际情况,进而充分反映整体高质量发展水平。
(1)将Y的每行指标与对应权重相乘,得到加权规范化矩阵V={Wj×Yij}m×n。
(11)
(2)由V确定正、负理想解V+、V-。
V+=(maxvi1,maxvi2,…,maxvin)
(12)
V-=(minvi1,minvi2,…,minvin)
(13)
(3)计算各制造企业到正、负理想解之间的欧式距离D+、D-。
(14)
![]()
(15)
(4)计算相对贴近度Bi。相对贴近度Bi为第i个企业高质量发展水平的评价值,在[0,1]之间取值,越靠近1表示制造企业发展质量水平越高。
(16)
根据以上制造企业高质量发展各指标权重及评价方法,以1 881家制造业A股上市企业为研究样本,利用R语言软件对制造企业高质量发展综合水平及高质量效益增长、高质量创新发展、高质量绿色发展、高质量开放合作、高质量社会共享等5个子目标进行测算,评价结果如下。
(1)高质量效益增长。2015-2018年制造企业效益增长水平较低,平均贴近度为0.216。4年间,制造企业高质量效益增长贴近度波动幅度较小,2015年贴近度最高,为0.286;2016年制造企业贴近度下降至最低水平,仅为0.165;2017年贴近度回升至0.215;2018年稍有下降,贴近度为0.197,见图1。
图1 高质量效益增长水平评价结果
分析制造企业高质量效益增长的5个指标发现,制造企业营运能力较强,其贴近度在0.7以上。除营运能力外,其它各项指标贴近度均在0.3以下,其中,偿债能力、盈利能力贴近度处于0.1~0.3之间;成长能力和运转效率贴近度均不足0.1,但两者权重占比高达44.6%,在很大程度上阻碍企业效益增长,未来制造企业在营业收入增长率、劳动生产率及资本产出效率上还有很大提升空间。从各指标逐年变动状况看,制造企业成长、盈利及营运能力较为稳定,2015-2017年偿债能力经历下降后于2018年有所回升;运转效率经历先下降后上升的变动过程,自2016年起呈现缓慢回升态势,其变化趋势同总体效益增长水平变化趋势高度一致,企业效益增长变动受企业运转效率变动的影响较大。
(2)高质量创新发展。2015-2018年制造企业创新发展能力较低,平均贴近度为0.038。4年间,制造企业高质量创新发展贴近度波动幅度很小,2015-2016年经历轻微下降后基本稳定在0.036水平上,见图2。
分析高质量创新发展的3个指标发现,企业创新资本投入水平远远高于企业创新人才素质水平与创新成果产出水平。创新资本投入贴近度最低为2015年的0.179,且呈现出逐年上升趋势,2016-2018年贴近度均在0.2以上,2017年贴近度水平最高,达0.231。创新人才、创新成果产出指标变化趋势与总体创新发展水平变化趋势高度一致,均在2015-2016年轻微下降后保持稳定,但两者贴近度水平极低,平均贴近度分别为0.031、0.021。由于创新人才与创新成果产出两个指标的比重占创新发展能力的77.35%,因此,虽然制造企业逐年加大创新资本投入力度,不断提高研发投入强度,但创新人才短缺、企业员工素质能力较低成为阻碍制造企业创新发展的瓶颈,创新资本投入水平与创新人才数量素质存在严重不匹配的情况。在这种情况下,各制造企业创新产出数量存在较大差距,从原始数据看,除美的集团、格力电器、江淮汽车等大型制造企业拥有丰富的创新成果产出外,大部分制造企业创新成果产出量较低。此外,较低的创新成果转化率也是导致制造企业创新发展能力较低的重要原因。
图2 高质量创新发展水平评价结果
(3)高质量绿色发展。2015-2018年企业绿色低碳发展水平较低,平均贴近度为0.011。4年间,制造企业高质量绿色发展贴近度存在一定程度的波动,整体呈现逐年上升趋势。2015-2016年贴近度在0.009水平上,经过两年的增长后,2018年企业绿色低碳发展达到0.013,从相对值上看有了一定幅度的提升,见图3。
分析制造企业高质量绿色发展的两个指标发现,制造企业绿色发展意识薄弱与环境信息披露水平较低是导致制造企业绿色发展水平较低的重要原因,两者平均贴近度分别为0.011与0.008。从发展趋势看,绿色发展总体贴近度变化趋势与环境披露指标贴近度变化趋势具有高度一致性,均于2015-2016年下降,2016-2017上升。虽然2018年企业环境披露水平大幅度下降,但由于制造企业绿色发展环境意识贴近度逐年上升,因而制造企业绿色发展总体水平保持逐年上升态势。制造企业绿色发展前景可观,但极低的贴近度值暴露出当前制造企业绿色发展中的众多问题:各制造企业绿色发展意识虽不断增强,但以实际行动承担绿色发展责任的企业较少。从信息披露视角出发,CO2、废水排放等具体绿色会计项目披露存在严重的数据缺失,仅TCL集团、中兴通讯、歌尔股份等少数制造企业有较为全面的数据公开。
图3 高质量绿色发展水平评价结果
(4)高质量开放合作。2015-2018年制造企业对外开放合作水平较低,平均贴近度为0.240。4年间,制造企业高质量开放合作贴近度波动幅度较大,2015年对外开放合作发展水平较高,但2016-2017年对外开放合作水平严重下降,由2015年的0.518下降至2017年的0.034;2018年有所回升,贴近度提高到0.215,但仍在平均水平以下,见图4。
分析制造企业高质量开放合作的两个指标发现,制造企业开放成果指标变化趋势与开放合作变化趋势具有高度一致性,海外业务收入及企业关联公司利润额两个具体指标成为衡量制造企业对外开放水平的关键。对外投资指标贴近度非常低,4年来均处于0.05以下水平。从原始数据看,各制造企业对外投资额度存在较大差距,部分制造企业尚不具备对外投资实力。由制造企业对外投资呈现缓慢增长趋势可以看出,未来制造企业有望以对外投资形式继续促进开放合作发展。
(5)高质量社会共享。2015-2018年制造企业共享发展贴近度一直处于0.2以下,平均贴近度为0.087,共享发展水平较低。4年间,制造企业共享发展水平呈现一定程度的波动。其中,2015年共享发展水平最高,贴近度为0.198;2016年下降至最低,贴近度为0.032;2017年缓慢回升至0.070后,2018年再次下降至0.048,见图5。
分析制造企业高质量社会共享的两个指标发现,制造企业在员工权益共享成果上的表现远远优于其在社会价值贡献上的表现。员工权益保障水平与社会共享总体水平变动趋势较为一致,员工权益指标贴近度在2016年出现大幅度下降,2017-2018年逐年缓慢回升,虽4年间变动幅度较大,但一直在0.1水平之上。由此可见,制造企业在吸纳就业人员、提高社会就业率、提高职工薪酬方面作出了更多努力。相反,制造企业的社会价值贡献微乎其微,企业对于更广泛意义上的社会责任,如社会捐赠、精准扶贫、健康及生态保护等项目缺乏足够关注。当前,制造企业社会价值贡献是其共享发展水平提升的关键。
图4 高质量开放合作水平评价结果
图5 高质量社会共享水平评价结果
2015—2018年制造企业高质量发展贴近度一直处于0.4以下,平均贴近度为0.181,总体发展质量较低(见图6)。对制造企业高质量发展效益增长等子目标平均贴近度进行排序,从大到小依次为开放合作(0.240)、效益增长(0.216)、社会共享(0.087)、创新发展(0.038)及绿色发展(0.011)。由此可见,各子目标发展过程中存在较为严重的不均衡。值得关注的是,4年间创新发展能力、绿色低碳水平两大子目标的贴近度在0.1以下,平均贴近度之和对高质量发展的贡献率仅为27.39%。但两者在高发展质量指标体系中占有较高权重,两者权重之和达44.6%。因此,如何实现创新发展、提升绿色发展水平是事关制造企业高质量发展的关键问题。
2015—2018年制造企业高质量发展贴近度存在较大幅度波动,呈现先下降后上升趋势。其中,2015-2017年制造企业发展质量处于大幅下滑状态,2015年制造企业发展质量水平为4年最高,贴近度达到0.380;2016年下降幅度最大,达68.42%,贴近度下降至0.122;2017年贴近度为4年最低水平,仅为0.067;2017-2018年制造企业发展质量缓慢回升,2018年贴近度回升至0.153,相较2017年增长53.33%,体现了较好的发展势头,见图6。
图6 制造企业高质量发展水平趋势变化
2015年制造企业发展质量贴近度较高得益于开放合作、效益增长、社会共享等子目标均处于较高水平,但2016年开放合作、效益增长、社会共享3个子目标贴近度均呈现不同强度下降,拉低了总体发展质量水平;2017年,企业效益增长、社会共享水平虽有所回升,但开放合作一直处于下降趋势,贴近度低至0.034,导致总体高质量发展水平为4年最低水平;2018年,由于开放合作水平实现较大幅度回升,带动总体发展质量转好。总体看,当前制造企业发展质量受开放合作水平变动的影响较大。
本文在深入理解制造企业高质量发展内涵及要求的基础上,构建由5个一级指标、14个二级指标及21个表征指标组成的制造企业高质量发展评价体系,通过对2015-2018年1 881家制造业上市公司高质量发展水平进行综合评价,得到以下结论:
(1)我国制造企业总体发展质量水平较低。2015-2018年制造企业高质量发展贴近度一直呈现0.4以下,平均贴近度为0.181。2015-2017年制造企业总体发展质量呈现下降趋势,2018年回升至0.153,但仍在平均水平以下。效益增长、创新发展、绿色发展、开放合作、社会共享发展质量对制造企业总体高质量发展的贡献率分别为36.43%、6.49%、1.86%、40.51%、14.70%。可见,创新发展、绿色发展对制造企业高质量发展的贡献严重不足,当前制造企业发展质量受开放合作水平变动的影响较大。
(2)制造企业开放合作及效益增长质量表现相对较好。2015-2018年制造企业开放合作及效益增长平均贴近度分别为0.24、0.22,高于总体高质量发展水平。当前,制造企业海外业务收入及企业关联公司利润额两个具体指标成为衡量制造企业对外开放合作水平的关键,但企业对外投资的积极性非常低。营运能力即企业总资产周转率较高,但制造企业在成长能力和运转效率上还存在很大提升空间。
(3)制造企业绿色发展水平、创新能力及社会共享水平距高质量发展目标差距较大。2015-2018年制造企业绿色发展、创新发展及社会共享平均贴近度分别为0.087、0.038、0.011,严重低于总体高质量发展水平。虽然制造企业绿色环保意识逐年增强,但真正承担绿色环保责任的企业较少,绿色制造体系尚未建立。制造企业研发投入强度较大,创新资本投入水平逐年提高,但创新人才不足、创新成果转化效率低等问题突出。员工权益指标贴近度较高,但制造企业在社会价值贡献上表现不佳。
(1)作好制造企业高质量发展的长期准备,促进制造企业高质量转型升级。制造企业要以高质量发展要求及新发展理念为指导,紧盯国家高质量发展战略部署和布局。制造企业要制定质量提升系统规划,抓住质量提升关键点,整体协调推动。在保持效益增长基本稳定的前提下,促使创新成为企业效益增长的内生动力,以质量效益提高为目标导向,持续优化升级要素结构,不断探索制造企业高质量发展模式。
(2)稳步提升运转效率,积极融入全球价值链。我国制造企业应将经济规模、发展速度和质量效益三方面相融合,积极探索科学的企业成长模式。制造企业要积极借助新能源、使用新材料、开发新技术,拓展信息化应用广度和深度,不断促进生产模式和生产要素升级,全面提升制造企业智能化水平,促使生产效率不断提高;持续深化对外开放合作,在“引进来”过程中,汲取经验、更新理念,促进自身发展。各制造企业要积极推进高质量的“走出去”,在国际分工协作中提高要素资源配置效率,根据自身发展现状深度融入全球产业链。
(3)着力实施创新驱动发展战略,加快绿色制造体系构建。制造企业应重视科技创新,以科技创新驱动持续发展。一方面,制造企业应积极构建企业外部创新合作机制,加强与科研院所合作,发挥开放式协同创新优势。另一方面,企业要构建内部科技创新体系与创新成果转化机制,优化创新资本、创新人才等创新资本要素、知识要素投入结构,加强人才保障。制造企业要以绿色科技创新为支撑,不断推动生态技术创新,积极引进先进绿色制造技术工艺,提升资源利用效率,提高整体绿色绩效水平,加快绿色转型升级。
(4)加强高质量社会责任管理,实现经济效益和社会效益双赢。政府应积极倡导企业承担社会责任,并对有突出贡献的制造企业进行激励。制造企业应将社会责任、社会价值纳入自身高质量发展规划,并贯穿于整体经营活动中。企业应制定长久性社会责任公约并及时发布企业社会责任报告,将高质量经济发展与社会贡献统一起来,从而树立良好的企业形象。
本文从体现制造企业高质量发展的五大维度出发构建评价指标体系,是制造企业高质量发展水平评价的初步探索,尚存在以下不足之处:一是本文研究对象为A股制造企业,是对制造企业高质量发展的综合考量,但当前各制造企业发展水平不一,未来可针对某一(类)具体制造企业展开详细研究,以便提出更具有针对性建议;二是本文是在评价的基础上指出发展不足,未来研究可进一步找出影响制造企业高质量发展的主要障碍因子,开展更深层次分析;三是产品质量提升是企业高质量发展的重要体现,但由于产品质量相关信息披露不足等原因,本文指标体系中尚未涉及该指标,未来研究可考虑纳入产品质量指标。
[1] 习近平.决胜全面建成小康社会夺取新时代中国特色社会主义伟大胜利——在中国共产党第十九次全国代表大会上的报告[R].2017-10-18.
[2] 关键是做好自己的事情!习近平这样论述高质量发展[EB/OL].http://www.qstheory.cn/zhuanqu/2019-07/29/c_1124812946.htm.
[3] 推动制造业由量大到质强[EB/OL].http://www.xinhuanet.com/2019-10/24/c_1125144303.htm.
[4] 辛国斌.推动制造业高质量发展[J].宏观经济管理,2019(2):5-7.
[5] 王一新.实现我国经济高质量发展的战略擘画[J].前线,2018(9):39-42.
[6] 黄汉权.突破难点 系统推进制造业高质量发展[N].经济日报,2019-03-14:16.
[7] 田志龙,钟文峰.中国本土管理学发展:理论发展、实践挑战和待研究问题——“中国管理50人”论坛(2018上半年)会议侧记[J].管理学报,2018,15(7):957-961.
[8] 李巧华.新时代制造企业高质量发展的动力机制与实现路径[J].财经科学,2019(6):57-69.
[9] 黄速建,肖红军,王欣.论国有企业高质量发展[J].中国工业经济,2018(10):19-41.
[10] 罗蓉,周湘,湛泳.货币政策工具对企业成长性影响的差异性研究——来自制造业的实证[J].河北经贸大学学报,2018,39(6):57-69.
[11] 张淑翠,李建强,秦海林.增值税税率三档并两档改革对制造业的影响研究[J].经济与管理评论,2019,35(4):75-82.
[12] 徐超,庞保庆,张充.降低实体税负能否遏制制造企业“脱实向虚”[J].统计研究,2019,36(6):42-53.
[13] 李慜劼.“减税降费”推动我国制造企业高质量发展[J].财务与会计,2019(8):41-44.
[14] 刘亭立,李翘楚.高端制造业创新效率驱动力研究——基于技术产品价值发现视角的分析[J].价格理论与实践,2019(2):137-140.
[15] 谢富胜,王松.突破制造业关键核心技术:创新主体、社会条件与主攻方向[J].教学与研究,2019(8):46-56.
[16] 裴秋蕊,卢进勇.品牌协同技术进步推动中国制造业高质量发展问题研究[J].管理现代化,2019,39(4):18-21.
[17] 杨阔,郭克莎.中国制造业升级的外部需求制约:出口阶段变化的影响[J].区域经济评论,2019(2):117-125.
[18] 韩超,朱鹏洲.改革开放以来外资准入政策演进及对制造业产品质量的影响[J].管理世界,2018,34(10):43-62.
[19] 任保平,赵通.高质量发展的核心要义与政策取向[J].红旗文稿,2019(13):23-25.
[20] 魏敏,李书昊.新时代中国经济高质量发展水平的测度研究[J].数量经济技术经济研究,2018,35(11):3-20.
[21] 李金昌,史龙梅,徐蔼婷.高质量发展评价指标体系探讨[J].统计研究,2019,36(1):4-14.
[22] 李春梅.中国制造业发展质量的评价及其影响因素分析——来自制造业行业面板数据的实证[J].经济问题,2019(8):44-53.
[23] 江小国,何建波,方蕾.制造业高质量发展水平测度、区域差异与提升路径[J].上海经济研究,2019(7):70-78.
[24] 吕铁,刘丹.制造业高质量发展:差距、问题与举措[J].学习与探索,2019(1):111-117.
[25] 任继球.推动装备制造业高质量发展[J].宏观经济管理,2019(5):24-29.
[26] 胡迟.以创新驱动打造我国制造业高质量成长——基于70年制造业发展回顾与现状的考察[J].经济纵横,2019(10):53-63.
[27] 任保平.新时代我国制造业高质量发展需要坚持的六大战略[J].人文杂志,2019(7):31-38.
[28] 马宗国,张辉.推进国家自主创新示范区高质量发展的战略思考[J].宏观经济管理,2019(7):47-54.
[29] 王展祥,魏琳.信息共享有利于制造企业的协同创新吗——基于中国企业营商环境调查数据的实证分析[J].当代财经,2019(10):95-106.
[30] 李辉.大数据推动我国经济高质量发展的理论机理、实践基础与政策选择[J].经济学家,2019(3):52-59.
[31] HWANG C L, YOON K.Multiple attribute decision making[M].Heidelberg: Springer,1981.