目前,空间关联作用机制在区域协同创新发展中扮演着越来越重要的角色,对区域协同创新的影响也被普遍证实[1]。同时,学界和业界充分意识到区域知识产权保护在区域协同创新发展中的重要作用,区域知识产权保护空间作用机制是有效推进区域协同创新发展的重要基础。然而,区域协同创新发展的非均衡性导致了区域知识产权保护水平的空间差异。尽管越来越多的文献关注知识产权保护对协同创新发展的影响[2],尤其对知识产权保护在企业、高校及科研机构、中介机构和政府部门之间的归属、分配、协同合作等问题进行了大量研究,但相较于知识产权保护各微观主体来说,区域层面的研究较少,仍缺乏对空间演化结构以及驱动机制的探讨。同时,在区域协同创新发展过程中,区域知识产权保护网络演化态势分析有利于厘清知识产权政策发展脉络,对预测区域创新发展趋势,引进并吸收先进技术具有重要的理论意义和实践价值。
基于此,本文从复杂网络视角出发,采用社会网络分析方法以及可分离时间的指数随机图模型STERGM(Separable Temporal Exponential Random Graph Models),对区域知识产权保护网络空间演化形态与演化动因进行分析,尝试探讨以下内容:①从网络结构维度解析区域知识产权保护网络空间格局演化过程;②从网络主体维度明晰区域知识产权保护网络凝聚子群演变规律;③从作用规律揭示区域知识产权保护网络演化驱动机制。对于上述问题的探索与回答,有助于丰富与拓展区域知识产权保护研究,为相关部门决策参考提供理论支撑。
知识产权保护作为一种激励创新的制度安排,通过对技术创新和技术转移的影响实现其增长效应[3]。目前,学者们已从不同角度对知识产权保护制度进行了广泛研究,对于知识产权保护指标测度,已有研究主要借鉴韩玉雄和李怀祖[4]的做法,在G-P法基础上引入执法力度,从社会法制化程度、经济发展水平等方面加以刻画。尽管这一指标体系在某些情况下适用,可以反映某一特定时间段内知识产权保护水平,但不能反映知识产权保护随时间变化的趋势。显然,这一刻画方法存在一定的主观性[5]。鉴于此,本文借鉴相关文献,采用技术市场成交额占比地区GDP衡量知识产权保护水平。进一步,在区域知识产权保护测度基础上,已有文献较多采用面板数据门槛回归分析、VAR等方法,研究知识产权保护地区差异性并分析其原因,揭示知识产权保护水平对经济增长的动态均衡关系[3],但少有文献考虑区域知识产权保护之间复杂依赖关系的演化规律。虽然有部分学者尝试从复杂网络视角,研究网络拓扑结构演化规律[6,7],但上述研究仅仅对网络拓扑结构特征进行了宏观分析[8],表明区域知识产权保护网络具有小世界网络特征。而对于区域知识产权保护网络演化原因,相关研究并未考虑内生性及外生性因素对演化轨迹的影响,缺乏对网络演化机制的解释。事实上,区域知识产权保护网络演化影响因素众多、结构复杂,网络复杂性决定了研究其演化规律需要从多个关系层进行考察。然而,已有文献对网络演化的研究多是定性描述,只考虑关系和结构特性,很少注意节点或行为者本身特性,对网络演化驱动机制研判的文献鲜有。
进一步,网络演化研究除根据现有网络结构关系及其连带关系推动外[9,10],还有很多外在因素影响网络演化过程,如技术、经济、社会和制度环境等因素[11]。近年来,部分学者研究了知识流动、知识学习和互补性知识对创新网络形成、演化的作用机制[12,13]。至于网络演化机制研究,已有学者基于“关系-关系”的 QAP方法考察网络演化的主要影响因素[14,15],该方法仅适用于分析关系变量之间的关系,在研究各时点网络的影响因素时未能具体考虑网络结构随时间推移演化的原因,即节点退出、节点增加、节点间关系变化以及节点结构动态变化的原因。
因此,在区域知识产权保护网络演化特征及驱动机制分析中,可能同时包含网络结构变量和外生变量,单纯采用传统计量经济学模型或社会网络分析的统计学模型都不能满足上述要求,这也是现有研究在方法上存在的不足。为了解决这个问题,本文拟使用Krivitsky & Handcock[16]提出的STERGM,该模型可弥补传统研究方法在这一角度的缺陷,解决单一网络数据不能解决的动态演化问题,并通过AIC和BIC信息准则评价模型优劣,进一步,还可测度各影响因素对网络结构变化(网络边形成和边消失)的作用。鉴于此,本文采用STERGM对各区域知识产权保护网络演化动态关系进行实证研究,解析区域知识产权保护网络演化特征和驱动机制,有助于从更多维度识别、分析区域知识产权保护网络生长模式与发展规律。
本文从区域视角出发,选取2005—2017年我国内地30个省市自治区(由于西藏数据严重缺失,故研究样本暂未涵盖)省际数据进行分析,数据主要来源于《中国科技统计年鉴》、《中国统计年鉴》、《中国工业统计年鉴》、《中国高技术统计年鉴》。STERGM估计结果借助R语言的tergm包实现。
区别于已有文献仅从复杂网络主体增减进行演化分析,本文创新性地基于网络结构关系变化,采用STERGM,从网络边形成和消失两个方面研究各影响因素对区域知识产权保护网络演化的作用,对区域知识产权保护网络进行时间序列上的动态跟踪与分析,以期从区域知识产权保护网络演化发展过程中发现和提炼区域知识产权保护发展的规律与模式。
众所周知,指数随机图模型(ERGM)在静态网络建模中具有重要地位,随后Krivitsky & Handcock[16]、Hanneke & Xing[17]以及Hanneke[18]对该模型进行了改进,针对时序网络数据(以面板数据方式观察网络,类似将静态网络视为一个“切片”)引入一类时间指数随机图模型。同时,基于马尔科夫链这一动态随机过程,根据网络和各变量现状及其变化趋势,分别对边的形成和消失进行建模。具体而言,令Y(t)和Y(t+1)表示网络在t及t+1时刻的邻接矩阵,Y+表示初始网络Y(t)加上(t+1)时刻新形成的边,Y-表示初始网络Y(t)减去(t+1)时刻消失的边,如图1所示。
图1 STERGM模型
Krivitsky&Handcock提出可分离时间ERGM,即STERGM。其中假定:①网络随时间推移的演化是离散时间马尔可夫形式;②网络形成和消失是条件独立的;③涉及条件分布具有指数族形式,模型如下:
![]()
(1)
![]()
(2)
式(1)、(2)分别为以其它节点对之间的边状态为条件时,一对给定节点之间形成边关系、解除边关系的概率。此处,模型运行采用R语言中的拓展包tergm,该程序包包含模型模拟、拟合与诊断函数。
研究区域知识产权保护网络演化机制,首先需要从网络拓扑结构解析网络演化规律,在此基础上,综合多种影响因素对网络演化机制进行实证分析,从而能够更好地解析区域知识产权保护网络驱动机制影响因素。
区域知识产权保护网络构建是本研究的逻辑起点。区域知识产权保护网络是指不同区域之间,基于区域协同创新发展需求,围绕知识产权应用和获得过程——区域知识产权保护这一关键影响因素而形成的正式或非正式关系的总和。网络模型构建主要涉及到网络中节点选取以及节点间关联边测度。本文以区域为节点,以区域知识产权保护关联关系为边构建区域知识产权保护网络[19]。其中,关联关系构建主要借鉴张新芝[20]提出的区域技术交易发生势差概念,将势能与势差推广到区域知识产权保护研究中,通过比较两区域间知识产权保护强度势能,判断高势能区域能否对低势能区域进行知识产权保护,以此测度区域知识产权保护关联关系。
当然,在构建关联关系过程中,还涉及到区域知识产权保护水平测度,本文以技术市场成交额占当地GDP比重进行测度。选择该变量主要是因为区域知识产权保护水平与区域创新发展密切相关,而区域创新发展依赖于区域创新资源获取,创新资源获取主要有两种途径:一是各区域自身积累的创新资源;二是其它区域的创新资源。若各区域仅从本位角度实施有利于自身的创新发展战略,由此产生的阻碍技术与知识扩散、抑制创新资源在区域间流动等一系列问题将不利于区域协同创新体系发展[21]。区域间技术市场交易不仅可反映区域自身创新发展状况,也可反映区域间创新资源流动。这是因为技术市场交易对象是附加在技术上的知识产权,其实质是知识产权转移及其利益分配,技术市场成交额包含与知识产权保护有关的所有信息,如该技术价值、买卖双方能否有效维护自身合法权益等[5]。此处,鉴于数据可得性以及区域间知识产权保护作用机理,利用势能之差的存在判断两区域间知识产权保护发生的可能性和倾向,可以借此表达和解释区域间知识产权保护网络关联边发生的条件与状态。那么能否利用势能之差构建关联边?知识扩散理论认为,知识扩散过程涉及显性知识和隐性知识传播,而区域技术市场成交额仅是区域间显性知识扩散过程中所涉及的知识产权保护直接测度指标,若仅采用区域技术市场成交额[5]进行测度,就会忽略对区域间隐性知识传递过程中知识产权保护与侵权行为的测度。诚然,两区域存在势能之差与区域知识产权保护关系强度具有一定的相关性,也不能完全替代知识产权保护关系,但相较于已有研究[5],选取区域知识产权保护势差有一定的可取之处,存在一定的合理性。
综上,本文从区域层面知识产权保护出发,选取2005、2009、2013、2017年我国内地30个区域(由于西藏数据严重缺失,此处研究样本暂未涵盖)技术市场的技术吸纳和技术输出成交额双向数据与历年各省(市、自治区)地区GDP的比值分别作势差(剔除负的势差),构建代表年份区域知识产权保护关联矩阵。具体实施过程如下:若t年区域i对区域j的知识产权保护强度势差大于历年各区域间知识产权保护正向势差的均值,表明t年区域i对区域j的知识产权保护强度在规模之上,则认为t年区域i倾向于对区域j的知识产权进行保护,关联矩阵对应元素Mij,t=1,反之为0。选取历年各区域间知识产权保护正向势差的均值作为网络边构建的阈值,主要是因为若分别以各年各区域间知识产权保护正向势差的均值作为各年区域知识产权保护网络边构建的阈值,就会忽略各年区域知识产权保护关系的增长趋势,选取一个统一的阈值可以有效保留各年区域知识产权保护关系的增长趋势。区域知识产权保护网络构建如图2所示。
由图2可以直观地看出我国区域知识产权保护网络演变规律,区域知识产权保护网络以北京、上海、江苏、广东等发达地区为核心向外围辐射,随着时间推移,网络中心区域节点逐渐增多。同时,随着各区域协同发展战略实施,网络外围区域节点联系逐渐加强。整体来看,区域知识产权保护网络各节点联系越来越紧密,进一步,区域知识产权保护网络中的保护关联关系数量随时间推移不断增加,反映出区域知识产权保护网络演化过程中,区域间关联关系变化影响着知识产权保护的分化、衍生、交叉、合并。
图a 2005年区域知识产权保护网络 图b 2009年区域知识产权保护网络
图c 2013年区域知识产权保护网络 图d 2017年区域知识产权保护网络
图2 历年区域知识产权保护网络
网络整体拓扑结构特征采用网络密度、聚类系数、平均路径长度和网络紧密度表征,借助Ucinet软件统计历年区域知识产权保护网络的整体拓扑结构属性,解析其结构特征演化规律,结果如表1所示。
表1 区域知识产权保护网络整体拓扑特征演化
年份网络密度聚类系数平均距离网络紧密度20050.117 20.5171.7660.61720090.186 20.5331.6850.65720130.2310.5931.5380.73120170.263 20.6741.4740.763
由表1可以看出,2005—2017年区域知识产权保护网络密度、网络聚类系数、网络紧密度均逐渐提升,而网络平均距离逐年降低,表明各区域间知识产权保护联系日益紧密,区域知识产权保护范围扩大、保护力度显著提升,网络集团化趋势逐渐增强。
区域知识产权保护网络从整体维度上描述了区域知识产权保护演化特征,但具体到网络主体变化,需借助凝聚子群加以分析。凝聚子群是指具有相对较强的、直接的、紧密的、经常的或积极的关系所构成的一个成员的子集合,主要用于分析网络整体结构的小子群组成[22]。本文采用Ucinet软件中CONCOR方法进行非重叠的聚类分析[23],进而划分子群,各凝聚子群分类如表2所示。由表2可知,历年区域知识产权保护网络中各区域大致可分成4个凝聚子群,表现为:①以北京、上海、江苏、广东等发展水平较高的城市为中心的凝聚子群,随着各区域协同创新发展推进,该子群成员有所增加;②以海南、新疆、宁夏等科技水平不高、经济欠发达地区的凝聚子群,该子群成员总体而言变化不大;③将以安徽、山西、河南、辽宁、黑龙江等区域形成的两类凝聚子群划分为一类,这类子群变化较大,子群变化边界不明确。究其原因,一方面,可能由于上述区域与其它区域建立的知识产权保护关联关系相对较弱,随着自身发展政策变化,这些网络中较不稳定的“弱关系”更易发生变化,因而形成的凝聚子群变化较大;另一方面,上述区域经济发展、人力资源等处于各区域的中等水平,其发展一定程度上依赖周边较发达区域带动,因而受到周边地区政策的影响较大,所处子群变化较大。
从表2分析结果可以看出,网络子群演化呈现出一种“凝聚-淡化-再凝聚”的发展模式,标志着知识产权保护网络演化中产生质变。随着时间推移,原本处于边缘位置的节点由于和其它节点的关联关系逐渐显露而走向核心位置;原本处于核心地位的节点也可能由于与其它节点关联关系逐渐淡化而走向边缘。
在分析区域知识产权保护网络整体拓扑结构特征、微观结构和凝聚子群变化的基础上,本部分将利用STERGM实证检验各影响因素对知识产权保护网络演化机制的作用。
表2 历年区域知识产权保护网络凝聚性分析
时间子群编号子群成员20051北京、上海、浙江、广东、辽宁、江苏2重庆、内蒙古、天津、湖北、山东、福建、陕西3江西、黑龙江、河北、河南、湖南、安徽、甘肃、云南、四川4海南、贵州、吉林、山西、广西、青海、宁夏、新疆20091北京、湖北、上海、陕西、广东、江苏2四川、福建、天津、辽宁、山东、浙江3内蒙古、吉林、江西、安徽、河南、河北、湖南、重庆、山西、广西4黑龙江、贵州、云南、甘肃、青海、宁夏、新疆、海南20131山东、福建、北京、江苏、广东、天津、湖北、陕西、上海2江西、甘肃、山西、河南、河北、黑龙江、湖南3海南、广西、吉林、青海、新疆、宁夏4内蒙古、贵州、云南、浙江、安徽、辽宁、重庆、四川20171北京、广东、湖北、江苏、山东、重庆、天津、上海、陕西2福建、内蒙古、甘肃、河南、河北、湖南、山西、青海、吉林、贵州、云南3海南、新疆、宁夏、广西4浙江、四川、辽宁、江西、黑龙江、安徽
本部分主要是对区域知识产权保护网络的小世界网络属性进行验证。已有研究发现,社会网络既不是规则网络也不是随机网络,而是具有较大平均聚类系数和较小特征路径长度的小世界网络或无标度网络。因此,为了更好验证区域知识产权保护网络演化规律,仅对小世界及无标度网络特性进行分析,而上述构建的区域知识产权保护网络是具有小世界网络特征还是具有无标度网络特征,需进一步进行检验。此处,借鉴文献[24]研究思路,使用小世界系数转换不等式作为检验标准,即将该网络和同规模的(相同节点数和密度)随机网络进行比较,若满足不等式:C/Cr>L/Lr,则表明该网络是小世界网络。其中,C和Cr是知识产权保护网络与同规模ER网络聚类系数,L和Lr是知识产权保护网络与同规模ER网络特征路径长度。
首先,借助Ucinet软件模拟出与知识产权保护网络相同规模的ER随机网络,然后计算出C和Cr、L和Lr并进行比较[25],结果如表3所示。
从表3可以看出,C/Cr>L/Lr,表明历年知识产权保护网络具有小世界网络特征,可以采用STERGM进行回归分析。
STERGM模型中解释变量一般包括网络结构内生变量以及网络行为者属性变量(节点或边属性变量)[26]两部分,具体解释变量选取如下所示。
4.2.1 网络结构内生变量
网络结构内生变量用来测度网络内生效应,借鉴已有文献研究结果,此处选取边数(Edges)和交替k-三角形(Gwesp)研究网络结构属性对网络演化的影响。其中,网络边数的作用与一般计量模型中的常数项类似,此处不再加以说明。网络交替k-三角形用来反映网络中各节点的传递性。
4.2.2 网络行为者属性变量
(1)经济发展水平(PERGDP):知识产权保护水平会对经济发展产生直接或间接影响,反过来,各区域经济发展水平差异也会导致知识产权保护水平差异。单纯分析经济发展水平和知识产权保护强度的线性关系,将在一定程度上忽略其空间关联性。因此,各区域经济发展水平需纳入分析体系,此处,采用人均GDP度量经济发展水平。
(2)人力资本(HL):人力资本水平既是自主创新与技术模仿的重要影响因素,也是探讨知识产权保护影响机制不可或缺的基本因素[27]。人力资本、技术模仿与知识产权保护之间的联系错综复杂,一方面,人力资本水平很大程度上决定技术跟随主体对技术领先主体先进技术的模仿能力;另一方面,知识产权保护强度可以降低创新被模仿的概率。此处,借鉴阳立高等[27]的研究结果,以区域内人均受教育年限测度区域人力资本水平。
(3)研发投入(R&D):各区域进行研发投入的目的是将这部分专利等无形资产转化为垄断收益,而知识产权保护可以为垄断收益获取提供有力的制度和法律保障。知识产权保护可以减少模仿,提高研发投入回报,反过来,各区域研发投入水平也对区域实施知识产权保护具有直接影响,是知识产权保护的直接动力因素。此处,采用各区域R&D经费支出测度。
表3 知识产权保护网络类型检验结果
年份聚类系数知识产权保护网络同规模ER随机网络特征路径长度知识产权保护网络同规模ER随机网络C/CrL/Lr20050.5170.3231.7661.7081.600 6191.033 95820090.5330.3961.6851.6021.345 961.051 8120130.5930.5191.5381.3711.142 5821.121 80920170.6740.5861.4741.3261.150 1711.111 614
(4)对外开放水平(OPEN):区域对外开放不仅可以增强区域内部活力,同时也是寻求对外合作的重要方式。各区域对外开放水平提升往往伴随着知识溢出,从而大大提升了知识产权受到侵犯的风险。因此,各区域对外开放水平也是研究区域知识产权保护网络演化不可缺少的因素。此处,借鉴曾鹏等[28]的研究结果,使用第三产业生产总值/地区生产总值表示。
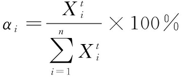
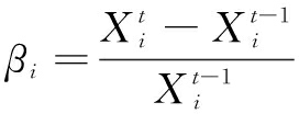
(5)市场竞争态(Ωi(αi,βi)):一国市场竞争程度、技术产品盈利状况、科技产品市场占有率会对知识产权保护产生重要影响。在知识产权保护市场中,整体市场竞争越强,知识产权保护意识和程度就越高,这种情况与单个企业知识产权保护和市场竞争程度的关系正好相反[29]。鉴于此,本文从区域层面考虑市场竞争态对知识产权的影响。此处,参考周旗等[30]的研究结果,采用双指标组合Ωi(αi,βi)反映市场竞争态势,其中,αi为区域经济的市场占有率,βi为市场增长率,计算公式如下:

(3)
![]()
(4)
其中,
为第i个区域第t年的经济统计量。由于高技术产业作为知识产权密集型行业,各区域高技术产业市场占有率和市场增长率既与各区域知识产权保护水平相联系,又能体现各区域市场竞争态。因此,本文以区域高技术产业利润额测度各区域市场竞争态的经济统计量![]()
本部分将运用STERGM,分别测度2005—2009年、2009—2013年、2013—2017年网络边属性以及各行为者属性变量对网络边形成与边消失的影响,以此表征区域知识产权保护网络演化驱动机制,结果如表4所示。
由表4回归结果可知,模型(1)研究了2005—2009年知识产权保护网络演化影响因素,对比边形成模型与边消失模型中交替k-三角性(Gwesp)系数,两者分别在0.1%和1%水平下显著,而Gwesp在边形成模型中的系数大于其在边消失模型中的系数,表明网络传递性效应对网络边形成(对外建立新的保护关系)具有显著促进作用。对比边形成模型与边消失模型中nodecov(PERGDP)的系数,两者分别在1%和5%水平下显著,两系数相当接近,表明nodecov(PERGDP)在边形成和边消失中均有显著作用且两者作用相当。进一步,在边形成模型中,nodecov(HL)在1%水平下显著为正,表明人力资本因素对网络边的形成具有显著进作用,即人力资本每提高一个单位,建立新的保护关系的机率就会提升0.434 66(EXP(0.360 93)-1)倍。nodecov(OPEN)未通过显著性检验,表明2005—2009年,对外开放水平对知识产权保护网络演化的影响不显著。nodecov(R&D)在5%水平下显著为正,表明研发投入每增加一个单位,对外保护关系建立的机率就会提升0.065 85(EXP(0.063 78)-1)倍。模型的AIC、BIC均较小,说明边形成模型与边消失模型拟合较好。在边消失模型中,nodecov(Mar-shares)的系数在0.1%水平下显著为正,表明各区域市场占有率对网络边消失具有显著促进作用,即市场占有率每提高一个单位,已有保护关系解除机率就会提升0.620 443 7(EXP(0.482 7)-1)倍。两模型的AIC、BIC均较小,说明边形成模型与边消失模型拟合较好。
表4 STERGM回归结果
变量模型(1)2005-2009模型(2)2009-2013模型(3)2013-2017formationEdges2.0395 5***2.480 71**2.739 7**Gwesp0.11**0.308***0.455 24***nodecov(HL)0.360 93**0.610 6***1.23 82***nodecov(OPEN)-0.243 760.320 7*0.377 82***nodecov(R&D)0.063 78*1.635 5**1.190 41***nodecov(PERGDP)0.185 9**0.021 2**0.026 3**AIC182.6251334.5BIC210.2279.3361.4dissolutionEdges2.153 16***2.295**2.592 66***Gwesp0.071 54**0.111 7-0.154 77nodecov(PERGDP)0.181 6*0.023 1**0.002 7*nodecov(Mar-shares)0.482 7***0.484 8***0.263 5***nodecov(Mar-Growth )0.021 020.208 3*0.047 9AIC90.2422.3987.63BIC107.834.65107.7
注:***、**、*分别表示在0.1%、1%、5%水平下显著;边形成模型中市场竞争态变量均不显著,由于篇幅限制,此处略去
模型(2)研究了2009—2013年知识产权保护网络演化影响因素,类似模型(1)的分析结果,传递性效应、各区域人力资本水平、对外开放水平、研发投入均对区域间新保护关系的建立具有不同程度的促进作用;各区域市场占有率、市场增长率对网络中已有保护关系的解除具有显著促进作用;各区域人均GDP对网络中保护关系解除的影响程度与其促进新保护关系形成的影响程度相当。两模型的AIC、BIC均不大,说明边形成模型与边消失模型拟合较好。
模型(3)研究了2013—2017年知识产权保护网络演化影响因素,类似模型(1)、模型(2)的分析结果,传递性效应、各区域人力资本水平、对外开放水平、研发投入均对区域间新保护关系的建立具有不同程度的促进作用;各区域市场占有率对网络中已有保护关系的解除具有显著促进作用。各区域人均GDP对网络中保护关系解除的影响程度与其促进新保护关系形成的影响程度相当。两模型的AIC、BIC均较小,说明边形成模型与边消失模型拟合较好。进一步,各影响因素对区域知识产权保护网络影响程度变化如表5所示。
表5 各因素影响趋势
项目2005-20092009-20132013-2017交替k-三角形+++++人力资本水平++++++++对外开放水平++研发投入+++++++人均GDP000市场占有率———————市场增长率—
注:“+”数目越多,建立新的保护关系的促进作用越强;“-”数目越多,解除原有保护关系的促进作用越强;“ ”建立和解除保护关系无显著影响;“0”表示建立和解除保护关系的作用程度相当
由表5可知,交替k-三角形、人力资本水平、对外开放水平、研发投入对网络中新保护关系形成的促进作用均有不同程度的增强;各区域人均GDP对网络中新保护关系形成和已有关系解除的影响程度相当;各区域市场占有率对网络边消失具有一定的促进作用,但2013—2017年其作用有所减弱。究其原因,随着我国市场化程度不断加深,各区域市场占有率不断提升,技术创新水平与创新模仿能力显著提高,加快区域间知识流动,一定程度上促进了区域知识产权保护网络关系边消失,而2013—2017年这一时期处在新旧动能转换的关键期,信息化程度较高的新经济模式一定程度上促进了创新主体的知识技术管理能力与知识传递效率提升,区域对自身及其关联区域的知识产权保护能力有所加强。因此,相较于前期,对区域知识产权保护关系边消除的促进作用有所减弱。对于区域市场增长率来说,区域市场增长率对网络边消失的作用不明显,仅在2009—2013年对网络边消失有显著促进作用,这一时期受金融危机的影响,区域内企业融资难度加大,研发投入相对减少,市场增长率明显放缓,一定程度上影响了区域知识产权保护关系与网络结构。总体来说,区域市场竞争态对网络关系边消失具有一定的促进作用。进一步,有关各区域之间横向比较结果,可参见文献[21]的研究结果,此处不再赘述。
本文利用省际技术市场成交额发生势差构建区域知识产权保护网络,从网络整体结构维度、网络主体维度对区域知识产权保护网络时空演化特征进行解析,同时利用可分离时间指数随机图模型(STERGM)对区域知识产权保护网络时空演化特征的驱动机制进行深化研究,拓展了已有研究结论,主要验证了以下几点:
(1)从区域知识产权保护网络整体拓扑结构演化分析可以看出,各区域间知识产权保护联系日益紧密,空间作用机制在区域知识产权保护中起重要作用,区域知识产权保护范围扩大及程度提升,网络集团化趋势也逐渐增强,某种程度上表明,区域知识产权保护在区域协同创新发展中起着越来越重要的作用,区域知识产权保护是区域协同创新发展的关键影响因素。
(2)从区域知识产权保护网络凝聚子群划分结果可以看出,区域知识产权保护网络中各主体大致分成4个凝聚子群,随着区域创新格局演化,各凝聚子群成分也发生了相应的变化。其中,以北京、上海、江苏、广东等经济较发达区域为中心的子群变化不大,而围绕海南、新疆、宁夏等科技水平不高且经济欠发达地区的凝聚子群主体有所增加;同时,以安徽、山西、河南、辽宁、黑龙江等区域所形成的两类凝聚子群可划分为一类,这类子群变化较大,子群变化边界不明确。凝聚子群变化表明,应进一步加强凝聚子群这种小团体之间的直接有效联系,加强区域间协同创新、融合创新。
(3)从STERGM回归结果可以看出,网络传递性(交替k-三角形)、人力资本、对外开放、研发投入对网络演化的影响程度均有不同程度提升;各区域人均GDP对网络中新保护关系形成和已有关系解除的影响程度相当;同时,各区域市场占有率对网络边消失的影响程度不断加深,而区域市场增长率对网络边消失的作用不显著,仅在2009—2013年对网络边消失有显著促进作用。进一步表明,网络结构性和外生性影响因素在一定程度上影响着区域知识产权保护网络演化轨迹。
区域知识产权保护政策已成为政府鼓励创新,充分发挥知识产权功效的重要手段。区域知识产权政策的制定,既要对接国家知识产权保护总体战略,又要适应本地实际以谋求本区域创新力和竞争力优势。根据本文研究结果,提出以下政策建议:
(1)建立以知识产权保护为核心导向的区域创新资源配置机制。知识产权保护政策制定应遵循集约、高效的原则,制定知识产权战略科学规划,充分发挥知识产权保护对各区域创新资源配置的引擎作用。各区域通过搭建知识产权合作平台,高效整合各创新主体资源和技术,充分发挥整体效能,提升区域市场竞争优势,促进二者良性互动发展。同时,各区域应继续实施区域间协同创新发展战略,以市场为导向充分发挥知识产权保护的市场价值和竞争优势,不断提升知识产权保护与区域创新发展需求之间的契合度,为各区域创新资源可持续发展提供保障。
(2)培育区域知识产权保护联盟,促进区域协同发展。通过培育区域知识产权保护联盟,推动创新主体合作,提升产学研合作广度和深度,发挥自身技术优势,破除阻碍区域创新资源流动的机制障碍,从而利用区域知识产权保护网络的复杂特性涌现出更多价值。同时,扩大并健全区域合作空间,运用知识产权保护制度工具促进区域错位发展,带动周边区域协同联动发展,从源头上为协同创新保驾护航,增强知识产权保护网络的稳定性。
(3)完善区域知识产权保护机制,创造适宜的区域知识产权保护环境。鉴于区域研发投入、人力资本水平等因素对知识产权保护的促进作用,各区域要进一步加强研发投入、重视教育、加大区域人才培养力度,这不仅有利于积累知识资本,还有助于科技创新能力提升。同时,因地制宜努力营造良好的知识产权保护合作环境,发挥知识产权保护对技术的促进作用,合理、灵活地推进各区域知识产权保护政策实施,促进知识产权保护与区域协同创新发展相适应,使二者协调发展。
[1] 胡品平,袁剑锋,翟铖.空间视角下中国产学研协同创新网络演化研究[J].科技进步与对策,2018,35(14):15-21.
[2] 周密,申婉君.研发投入对区域创新能力作用机制研究——基于知识产权的实证证据[J].科学学与科学技术管理,2018,39(8):26-39.
[3] 刘慷,李世新.知识产权保护、标准化与经济增长的动态关系——基于VAR模型的实证分析[J].山西财经大学学报,2010,32(7):55-62.
[4] 韩玉雄,李怀祖.关于中国知识产权保护水平的定量分析[J].科学学研究,2005,23(3):377-382.
[5] 胡凯,吴清,胡毓敏.知识产权保护的技术创新效应——基于技术交易市场视角和省级面板数据的实证分析[J].财经研究,2012,38(8):15-25.
[6] 柯文前,陈伟,陆玉麒,等.基于高速公路流的江苏省城市网络空间结构与演化特征[J].地理科学,2019,39(3):405-414.
[7] 黄修杰,姚飞,储霞玲,等.基于科技奖获奖项目的科研合作创新网络研究——以广东省为例[J].中国科技论坛,2019(3):19-28.
[8] 曹薇,薛秋霞,苗建军.区域知识产权保护发展的空间格局及结构体系研究[J].科技进步与对策,2019,36(14):38-45.
[9] 蒋军锋,党兴华,薛伟贤.技术创新网络结构演变模型:基于网络嵌入型视角的分析[J].系统工程,2007,25(2):11-17.
[10] 田钢,张永安,兰卫国.基于刺激—反应模型的集群创新网络形成机理研究[J].管理评论,2009 (7):49-55.
[11] KOGUT B.The network as a knowledge: generative rules and the emergence of structure[J].Strategic Management Journal,2000,21(3):405-425.
[12] OZMAN M. Knowledge integration and network formation[J].Technological Forecasting and Social Change,2006,73(9):1121-1143.
[13] BAUM J A C,COWAN R,JONARD N. Network-independent partner selection and the evolution of innovation networks[J].Management Science,2010,56(11):2094-2110.
[14] 盛广耀.中国省际人口流动网络的演化及其解释[J].中国人口•资源与环境,2018,28(11):1-9.
[15] 姚星,王博,蒲岳.“一带一路”沿线国家服务中间投入的网络结构特征及其影响因素[J].世界经济研究,2018(1):122-133+136.
[16] KRIVITSKY P N,HANDCOCKM S. A separable model for dynamic networks[J]. Journal of the Royal Statistical Society: Series B (Statistical Methodology),2014,76(1): 29-46.
[17] HANNEKE S,XING E P. Discrete temporal models of social networks[M]. Berlin,Heidelberg:Springer,2006: 115-125.
[18] HANNEKE S,FU W,XING E P. Discrete temporal models of social networks[J]. Electronic Journal of Statistics,2010(4): 585-605.
[19] 曹薇,董瑶,苗建军.基于ERGM的区域知识产权保护网络形成机制研究[J].软科学,2019,33(11):131-137.
[20] 张新芝,陈斐.中国区域产业转移的发生机制研究——基于发生势差的综合评价与分析[J].中国科技论坛,2012(4):100-105.
[21] 夏丽娟,谢富纪,付丙海.邻近性视角下的跨区域产学协同创新网络及影响因素分析[J].管理学报,2017,14(12):1795-1803.
[22] 徐宜青,曾刚,王秋玉.长三角城市群协同创新网络格局发展演变及优化策略[J].经济地理,2018,38(11):133-140.
[23] 宋冬林,齐文浩.东北区域经济一体化演变的社会网络分析[J].吉林大学社会科学学报,2018,58(10):97-107+206.
[24] DAVIS,GERALD F. The small world of the American corporate elite,1982—2001[J]. Strategic Organization,2003 (1):301-326.
[25] 罗泰晔,马翠嫦.基于指数随机图模型的协同创新网络形成机理研究[J].情报理论与实践,2018,41(10):143-146+72.
[26] 李杨.网络数据的统计分析:R语言实践[M].西安:西安交通大学出版社,2016.
[27] 阳立高,贺正楚,柒江艺,等.发展中国家知识产权保护、人力资本与经济增长[J].中国软科学,2013(11):123-138.
[28] 曾鹏,秦艳辉.城市行政级别、产业集聚对外商直接投资的影响[J].国际贸易问题,2017(1):104-115.
[29] 张伟,刘东.影响知识产权保护的经济因素定性分析[J].科技进步与对策,2010,27(16):106-109.
[30] 周旗,赵景波.我国省级市场竞争态及其转移模型应用研究[J].经济地理,2004(2):167-171.