区域创新产出空间异质性及关联网络分析

王 悦,张福琴,史文秀

(济南大学 商学院,山东 济南 250002)

摘 要:以1985-2015年29个省市创新产出为研究对象,以发明专利申请受理量作为基础数据,综合莫兰指数、VAR模型和块模型,对中国29个省市创新产出的空间特征和相关性进行研究。结果显示:①中国区域创新产出表现出强烈的空间集聚性,其空间格局呈现出非均衡性和空间异质性特征;②中国区域创新产出可分为4个功能板块:第一板块是“经纪人板块”,第二板块是“双向溢出板块”,第三板块是“净受益板块”,第四板块是“主受益板块”;③四大板块具有自反性的同时,板块之间的关联性也非常显著。上述结论有利于各省市区发现本区域创新变化轨迹,正确认识区域创新能力及差异的地理特征影响,以及各区域在关联网络中的不同地位和作用,以便更好地探究区域创新的传递机制和发展策略。

关键词:区域创新;创新产出;异质性分析;VAR模型;空间关联

武汉大学区域经济研究中心 协办

0 引言

创新经济学理论的兴起,使人们更加强调区域技术创新和生产方式的结合[1,2]。知识经济的深度发展和全球化程度的加深,使得依赖资源禀赋的物质经济日趋淡化,以高新科学技术为代表的知识经济逐渐成为各国或地区综合实力竞争的制高点。区域创新能力不仅是解释地区经济繁荣程度差异的重要因素,而且是区域经济获得竞争优势的决定性因素。区域内不同单元之间创新能力的空间关联和差异对周围地区创新能力产生了不同影响,即局域知识溢出导致了空间的创新依赖和创新活动的空间集聚[3,4]。因此,在深化供给侧结构性改革和加强国家创新体系建设的大背景下,研究区域创新产出的空间特征、相关性和异质性,以及区域创新产出的空间关联程度和关联角色,对于加快区域新旧动能转换,建立产学研深度融合的技术创新体系,谋划创新发展新路径,优化创新空间格局和制定合理的区域科技政策具有重要意义。

1 文献综述

Anselin[5]指出“几乎所有的空间数据都具有空间依赖性或空间自相关的特征”;方远平等[6]利用Moran′s I指数证明创新要素存在正向空间相关性,发现不同省域各个创新要素之间存在空间相关性差异和不同集聚模式。文献梳理发现,国内外学者普遍侧重于研究创新产出的空间分布及其影响因素。如范柏乃等[7,8]通过面板数据研究创新空间差异的影响因素,主要包括地理位置、创新环境等;马静等[9]构建了静态和动态空间面板杜宾模型,结果显示,知识存量和科技资本投入是推动区域创新产出的重要影响因素;张静等[10]研究发现我国两阶段区域创新绩效呈显著的空间正相关关系,并基本形成互动关联的协同创新链式结构;杨凡等[11]和蒋天颖[12]研究发现,中国省域创新产出存在正向空间溢出效应,资金投入、人力资本流动、经济发展水平、创新基础设施和制度条件是促使省域创新产出产生空间溢出效应的主要因素,这些因素在不同地区对溢出增长产生不同影响。张玉明[13]和王春杨[14]将研究方法主要集中于Moran′s I指数、区位Gini系数以及以洛伦茨曲线、变异系数为主的统计方法,这些研究普遍表明集聚状态下创新活动存在空间非均衡性和异质性。王锐淇、张宗益[15]基于不同地域间科技创新活动的空间异质性特点,运用省际空间面板数据分析了我国科技创新能力的影响因素。潘雄锋等[16]运用DEA方法对我国各省市能源效率之间局部空间差异时空格局演化规律进行了实证分析,结果显示我国能源效率在空间分布上具有不均衡性,区域之间具有空间异质性。潘文卿[17]利用DESA分析方法对1988-2009年中国各省市人均GDP的空间分布格局和特征进行了研究,结果显示中国局域性的空间集聚特征愈来愈明显。Groenewold等[18]使用向量自回归模型(VAR)研究发现,东部沿海地区对中、西部地区以及中部对西部地区具有显著溢出效应。李琳等[19]基于引力模型、改进的辐射模型,结合社会网络分析方法,探讨了我国区域创新产出的空间关联和网络格局,发现网络空间结构具有一定的层次性且不稳定、网络密度呈现出东-中-西的阶梯性差异。李瑞龙等[20]首次将基于空间相互作用理论的改进辐射模型应用于城市间创新关联及其空间格局研究中,证明城市间创新关联与空间格局具有一定的层次性。董必荣等[21]基于引力模型和社会网络分析法,研究发现省域创新产出空间联系并没有形成贯穿东西南北的交叉网状结构,而是呈现出严重的分配不均状况。赵雨涵等[22]运用最小生成树法进行测度,结果表明我国区域创新空间集聚现象不断加剧,逐步形成东、中、西三大创新活动板块,并且三大板块的分工呈现出显著差异。

文献研究表明,虽然国内已有较多文献利用空间计量经济学方法分析创新产出的空间关联问题,将空间关联建立在经济地理学上的“相邻”、经济距离、地理距离等方面,但与我国现实创新产出联系和经济增长仍存在一定的偏差,创新产出的异质性特征阐述尚不充分。基于此,本文通过空间关联网络分析方法,研究区域创新产出的空间关联特征,找出其空间异质性特征,并提出针对性的政策建议。

2 区域创新产出空间关联网络分析方法

创新产出应具有在特定地区聚集的空间分布特征,这就是所谓的空间依赖(Spatial Dependence)或空间相关性[23]。经济空间关联理论由美国地理学家UIIman[24](1957)提出,该理论可为研究区域创新产出空间关联度提供理论基础,其发现空间关联的基本形式是人流、物流、资金流、信息流和技术流,而空间关联的条件是通达性、互补性和介入机会。

2.1 区域创新产出空间关联网络构建方法

每个省份是网络中的“点”,“线”用来表述不同省份间在创新产出上的空间关联关系。点和线的组合被视为省际之间的创新产出关系集合,这便构成了区域创新产出的空间关联网络。该部分内容采用非结构化的向量自回归模型(VAR),研究区域创新产出动态关联关系。VAR模型的前提是序列平稳性,因此,首先运用ADF检验时间序列平稳性;其次,针对平稳的时间序列,建立两两区域间的VAR模型,并确定最优滞后期;最后,通过格兰杰因果检验确定区域间准确的相互影响关系。若A和B两个区域之间创新产出的动态关联关系通过检验,A对B有影响,在网络中画一条由A指向B的箭头,并将AB两点连接起来,说明A与B是显著关联。以此方法检验区域两两之间的空间关联关系,建立区域创新产出空间关联网络[25]

2.2 区域创新产出空间关联网络特征刻画

(1)网络密度。网络密度是反映网络中各个区域之间关联关系疏密情况的指标。网络中关联关系的数量越多,则网络密度越大[19]。网络密度是实际存在的关联关系数与网络中可能拥有的最多关系数之比,其测度取值范围为[0,1]。

(2)关联性分析。关联性反映网络自身的稳健性和脆弱性[26]。关联性的测度指标是关联度C,其通过可达性测量,该测度取值范围为[0,1],值越大说明关联程度越高。

(3)中心性分析。中心性分析是研究网络中各区域在网络中的地位和作用的指标,一个区域在网络中越处于中心位置,其在网络中的影响力越大,越能影响其它区域[27]。常见的中心性刻画指标为相对度数中心度和中间中心度。相对度数中心度De是指网络中与某区域直接相关联的区域数目和可能直接相连的最大区域数目之比。中间中心度的大小在一定程度上代表了一个区域是否处于其它区域的“中间”,是判定一个区域是否为“中介”、“桥梁”的重要指标。

(4)区域创新产出空间关联网络的块模型分析。White等[28]引入了块模型(block models)分析,作为社会角色的描述性代数分析,Snyder等[29]采用此方法研究世界经济系统。块模型是多重关系网络的简化表示,反映网络结构的某些特征[30]。根据该理论,需要分析各个位置的规模[31]。分析来自位置Gk的各个成员间关系,其中,有gk个行动者,那么,Gk内部可能具有的关系总数为gk(gk-1)个。在总体中含有g个行动者,因此,Gk位置各个成员的所有可能关系有gk(g-1)。可以期待一个位置关系的期望比例为[30]

根据这一指标,基于位置内部以及位置之间的关系,可以划分为4种经济增长板块(见表1)。

表1 块模型中经济增长板块分类

位置内部关系比例位置接受到的关系比例≈0>0≥(gk-1)/(g-1)双向溢出板块主受益板块<(gk-1)/(g-1)净溢出板块经纪人板块

本文利用全局、局部空间相关分析方法和块模型分析方法,研究中国省域创新产出空间格局的非均衡性和空间异质性特征,并检验确定创新产出空间关联网络关联程度,这将有利于我国各省市了解和重识自身创新产出的地理特征。

3 区域创新产出空间相关性实证分析

3.1 数据来源

本文以1985-2015年中国内地29个省市区(除重庆、海南外)为基本时空单元(2016、2017年数据获取不充分),选取发明专利申请受理量作为创新产出的衡量指标[32],数据来源于《国家知识产权局统计年报》。以此作为指标,主要基于以下原因:一是专利制度的标准化和规范化程度高;二是相对于外观设计和实用新型专利而言,发明专利获得条件更为严格、质量要求更高。发明专利在衡量区域创新产出时,会随着创新要素、创新环境变化而变化,因此,在研究中使用发明专利申请受理量是合理的。

3.2 区域创新产出地理分布表述

1985年中国国内发明专利申请受理量仅为4 064件,到2015年发明专利申请受理量达到92万件,年均增长率约为20%,增长速度、幅度较大。然而,创新产出的空间发展却呈现出鲜明的地理非均衡特征。1985-2015年31年间中国区域创新产出的地理分布主要集中在东部地区,其专利产出占全国总量的73%左右,且累计量排名前6的均为东部经济发达省份;与此相比,中部地区占比较小,西部地区仍在低水平徘徊,累计排名后10位的都是中西部区域,两者累计总数低于全国累计总量的30%,数据显示创新活动呈现出明显的两极分化现象。

图1描述了1985、1995、2005和2015年以发明专利申请受理量(默认重庆市、海南省数据为零)为基础的各省市创新产出的空间分布特征。从图中对比分析可以看出,区域创新产出表现出一定的地理集聚和空间集聚,一个最明显的特征就是大部分创新活动主要集中在东部及沿海经济发达地区,1985年主要分布在北京、山东、江苏、广东、辽宁等区域;1995年主要分布在北京、东北三省、江苏、上海;2005年主要集中在广东、北京、上海、江苏、山东等区域;2015年则集中在江苏、广东、山东、浙江、上海、安徽等区域。该区域是我国经济发展的龙头,其与周边形成的创新经济群为我国经济贡献了约50%的GDP。

图1 1985-2015年专利申请受理量空间分布

3.3 区域创新产出全局空间自相关分析

利用ArcGIS的空间统计分析工具计算出全局Moran′s I值[33],通过该指数检验我国区域创新产出的空间集聚是随机发生的还是存在一定的分布规律,计算结果如图2所示。

(a)Moran′s I指数

(b)P值、Z值得分
图2 1985-2015年区域创新产出全局Moran′s I值

从图2可知,区域创新产出1985-2015年的Moran′s I值均大于0,且都在5%的显著性水平下通过检验(除1999、2005年外)。这表明区域创新产出的空间分布不是随机的,省市区域创新产出存在空间正相关关系,且具有空间集聚特征,具有较高创新强度的区域倾向于接近其它创新强度较高的区域,较低创新产出地区倾向于接近其它创新强度较低的地区。从整体看,我国区域创新产出的全局Moran′s I值大致经历了先上升后下降再上升的阶段,尽管期间有所波动,但其数值围绕0.16上下波动。图中有两个最低点,1994年的Moran′s I值为0.123 32,2006年的Moran′s I值为0.131 21,但这并不影响研究其相关性。图中显示,2010年之前,Moran′s I值较小,区域创新产出的空间集聚特征并不显著;近5年,Moran′s I指数变化幅度较大,不断上升,从2008年的0.213 1上升到2015年的0.328 5,区域创新产出的空间集聚趋势较为显著,说明我国经济发展水平不断提高,经济发达地区和欠发达地区经济活动联系更加紧密,区域创新产出表现出强烈的空间依赖性特征。

3.4 基于Moran散点图的局部空间相关模式分析与异质性分析

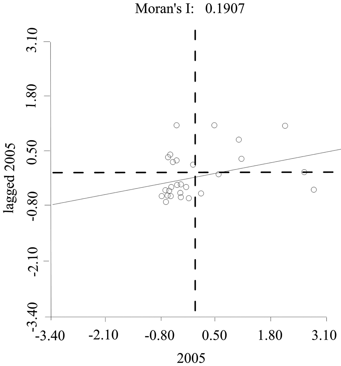
利用局部空间相关分析方法,采用Moran散点图识别区域单元所属局部空间的集聚类型。该部分内容利用GeoDA软件分析Local Moran′s I结果,并识别出各省市区域的空间关联模式。限于文章篇幅,这里只对1985、2005和2015年进行对比分析(由于1995年Moran散点图出现异常,不再分析),结果见图3。

图3展示了1985、2005和2015年我国省市区域发明专利申请受理量的Moran散点图。1985年,共有19个省市显示出正的空间相关性,5个省市位于第一象限——HH,即高创新强度-高空间滞后;14个省市位于第三象限——LL,即低创新强度-低空间滞后;其余10个城市存在负的空间相关性,空间异质性较强。2005年,69%的省市显示出正空间相关性,其余地区表现出负的空间相关性。2015年,5个省市位于第一象限,14个省市区域位于第三象限,34%位于非典型区域,表现出强烈的空间异质性,有7个省市位于第二象限——LH,即低创新强度-高空间滞后,3个省市位于第四象限——HL,即高创新强度-低空间滞后。

图3 1985、2005、2015年发明专利的Moran散点图

表2 1985、2005与2015年发明专利区域空间相关模式

省市198520052015省市198520052015北京HHHHHL河南LLLLLH天津HHHHLH湖北HLLLLL河北LHLHLH湖南HLLHLH山西LLLLLL广东LLHLHL内蒙古LLLLLL广西LLLHLH辽宁HLHLLL四川HLLLLL吉林LHLLLL贵州LLLLLL黑龙江HLLLLL云南LLLLLL上海HHHHHH西藏LLLLLL江苏HHHHHH陕西HLLLLL浙江HHHHHH甘肃LLLLLL安徽LHLHHH青海LLLLLL福建LLLHLH宁夏LLLLLL江西LLLHLH新疆LLLLLL山东HLHLHH

通过图3、表2对比分析可知,HH型空间关联模式主要集中在北京、天津、上海、江苏、浙江、山东等东部经济发达地区,其聚集态势不断向沿海城市转移,这与我国沿海城市经济快速发展存在一定关系。LL型空间关联模式主要分布在中西部经济欠发达地区,在西部地区HL型空间关联模式极其罕见且未曾出现HH型空间关联模式,这种关联模式与其落后的经济现状相对应。HL型空间关联模式主要集中在我国东北、中部地区和广东省,该关联模式的一个明显分布特征是从东北地区逐渐向广东以及周围区域过渡,主要原因在于随着知识经济发展,东北地区产业结构不合理、经济发展模式落后和以重工业为支撑的经济体系衰落、人口流失导致整体创新水平下降;由于区域创新环境改善、国家政策支持、地理环境改善等多种因素,珠三角地区经济飞速提升,创新产出水平不断提高。LH型空间关联模式主要集中在河北、安徽、福建、江西、广西,这些区域经济发展水平不高,区域内部创新能力提升缓慢,再加上地理区位的影响,对外部技术转移的承接能力较弱,即使被高创新产出水平区域包围,也无法快速提高创新水平。

4 区域创新产出空间关联实证分析

4.1 区域创新产出空间关联网络构建

以1985-2015年29个省市发明专利申请受理量作为基础分析数据,并对数据进行对数处理以便消除异方差影响。首先,对发明专利申请受理量取对数后进行单位根检验,发现原样本数据不平稳,但二阶差分的时间序列变为平稳,因此,该时间序列数据服从I(2);其次,对二阶差分后的数据建立两两区间的VAR模型,并通过LR、FPE、AIC、SC和HQ等5种方法进行最优时滞选择,确定最优时滞为8;最后,在最优时滞的VAR模型下进行脉冲响应和格兰杰因果检验,用5%作为显著性检验标准,由于本文篇幅有限,相关检验的原始结果没有列出,根据检验结果,用UCINET画出区域创新产出的空间关联网络图(见图4)。

图4 区域创新产出空间关联网络

结果表明,区域创新产出空间网络由233条“管道”进行空间溢出。每个区域至少存在两个以上空间关系,说明我国区域创新产出在各个省域之间普遍存在关联关系。

4.2 区域创新产出空间关联网络特征分析

从整体上看,29个区域理论上应有812个关联关系数,而实际存在的关联关系为233个,因此,29个区域的网络密度为0.287,这在一定程度上说明我国区域之间关联程度较低,区域间创新协作有待进一步加强。

进一步,对29个区域创新产出的空间关联网络进行中心性分析,分别计算各个省市的相对度数中心度和中间中心度。表3结果表明,在受益关系中排名靠前的有福建、内蒙古、广西、陕西、云南、黑龙江、河北、上海、江苏、湖北、西藏,其中,最靠前的为福建省。在溢出关系中排名靠前的有上海、云南、贵州、安徽、福建、天津,其中,最靠前的是上海市,其溢出关系高达17个,说明上海凭借其发达的经济条件、雄厚的科技力量、新进的文化等因素在区域创新产出网络中具有较强的扩散作用。在关联关系总数中,福建的关联关系最多,有28个,其中,受益关系15个,溢出关系13个,说明福建总体上是受益的。内蒙古总体上也是受益的,上海和云南总体是溢出的。在相对度数中心度中,福建、上海、云南、内蒙古、黑龙江和安徽的相对度数中心度处于前几位,说明在区域创新产出空间关联网络中,与这几个区域直接相关联的关联关系最多。由表3可计算出我国区域创新产出空间关联网络的中间中心度标准差为2.575,方差较大,说明区域创新产出空间关联网络存在较大的不均衡性。具体分析,中间中心度指标值排在前12位的是福建、上海、云南、西藏、内蒙古、安徽、广西、湖北、甘肃、青海、陕西、河南,说明这些省份在区域创新产出空间关联网络中起着“桥梁”和“传导”作用,在区域创新空间网络中充当着门户和枢纽的重要角色。

表3 区域创新产出空间关联网络中心性分析

地区受益关联关系溢出关联关系关联关系总数相对度数中心度中间中心度北京33621.4290.054天津4121657.1430.953河北1081864.2862.160山西851346.4292.497内蒙古13112485.7146.037辽宁951450.0001.535吉林6111760.7141.352黑龙江1192071.4292.619上海10172796.4298.355江苏1021242.8570.629浙江861446.4291.673安徽8132171.4295.092福建151328100.0009.530江西27932.1430.727山东731035.7140.791河南971653.5712.928湖北1091964.2864.677湖南54932.1430.682广东941346.4261.848广西1251760.7144.918四川54932.1430.515贵州3141760.7142.010云南11142589.2868.077西藏1091967.8576.370陕西1171864.2863.122甘肃791657.1434.343青海9101967.8574.028宁夏34725.0000.381新疆581346.4290.984

4.3 区域创新产出空间关联网络块模型分析

根据以上关联度内容分析,在对29个省市进行块模型分析时,利用UCINET进行CONCOR分析,选择最大分割深度为2,收敛标准为0.200 ,由此得到区域创新产出板块,各个板块包括的省域如表4所示。

根据块模型理论和公式,进一步对区域创新产出板块进行溢出效应分析,如表5所示。29个省市共有233个关联关系,4个区域创新产出板块内部的关系为65个,4个板块之间的关系数为168个,区域创新产出溢出效应显著。第一个创新产出板块共有10个省域,发出关系数为80个,其中,板块内部关系29个,接收到其它板块成员的关系51个,实际关系比例(36%)大于期望内部关系比例(32%),属于“经纪人板块”,在区域创新产出中扮演“桥梁”角色。第二板块共发出关系83个,其中板块内部关系24个,期望内部关系比例与实际内部关系比例相等,且接收外部关系60个,该板块对其内部和板块外均产生了溢出效应,属于“双向溢出板块”。以此分析出第三板块为净受益板块,第四板块为主受益板块。

表4 区域创新产出板块分布情况

板块省域第一板块北京、内蒙古、河北、吉林、黑龙江、安徽、湖北、四川、新疆、广东第二板块天津、福建、浙江、江苏、上海、河南、云南、西藏、山东第三板块山西、湖南、青海、甘肃、陕西第四板块江西、辽宁、广西、宁夏、贵州

通过CONCOR分析出区域创新产出密度矩阵,如表6所示。

密度矩阵可用来描述区域创新产出的溢出效应分布情况,矩阵数值越大,溢出效应越明显。从表6可知,第一创新产出板块的溢出效应主要体现在第一板块内部、第二板块和第三板块,对第四板块的溢出效应较弱;第二创新产出板块的溢出效应主要体现于第一板块、第二板块内部,对第三、第四板块的溢出效应相对较弱;第三创新产出板块的溢出效应主要体现于第二板块、第三板块内部和第四板块;第四创新产出板块的溢出效应主要体现于第二板块、第三板块和第四板块内部;第三板块和第四板块的共同特征是对第一板块没有显著溢出效应。

29个省市的整个网络密度为0.287,若板块密度大于0.287,则该板块的密度水平高于整体水平,具有在该板块集中的趋势。将表6中大于0.287的赋值为1,小于0.287的赋值为0,可得到像矩阵,像矩阵可以更清晰地展现出各区域创新产出板块间溢出效应。

表5 区域创新产出板块间溢出效应分析

创新产出板块第一板块接收关系第二板块接收关系第三板块接收关系第四板块接收关系板块成员数目期望的内部关系比例(%)实际的内部关系比例(%)板块特征第一板块2930156103236经纪人板块第二板块392411992929双向溢出板块第三板块7146851417净受益板块第四板块5168651417主受益板块

表6 区域创新产出板块密度矩阵

第一板块第二板块第三板块第四板块第一板块0.3220.3330.3000.120第二板块0.4330.3330.2440.200第三板块0.1400.3110.3000.320第四板块0.1000.3560.3200.300

表7 区域创新产出板块像矩阵

第一板块第二板块第三板块第四板块第一板块1110第二板块1100第三板块0111第四板块0111

从表7可知,像矩阵对角线上全部为1,其它位置也有赋值为1的情况,说明区域创新产出板块不是完全自相反的,整体区域创新产出的各个板块不仅内部联系较为紧密,而且板块之间有着显著关联性。

图5 中国区域创新产出板块网络

根据像矩阵,能够清楚反映出区域创新产出的传递机制。图5直观地显示了四大板块之间的溢出关系,其中,中国省市区域创新产出传递机制由作为发动机制的第二板块向第一板块发出,第一板块又将创新产出传递给第二和第三板块,第一板块充当了一定的桥梁和枢纽作用;第三板块又将创新产出传递给第二和第四板块,第四板块传递给第二和第三板块;一个明显特征是各自板块具有自反性,同时,第一和第二板块、第三和第四板块之间存在“逆向”溢出,可见板块之间的关联性非常显著;第一、第三和第四板块都对第二板块具有溢出效应,第二板块具有一定程度的集聚作用。

5 结论与启示

5.1 结论

本文研究了1985-2015年区域创新产出的空间分布,对我国区域创新产出进行空间自相关分析和空间关联分析。主要得出以下结论:

(1)1985-2015年区域创新产出的全局Moran′s I指数表明,我国区域创新活动具有正的空间相关性。从Moran′s I散点图发现,对于1985-2015年各省市创新产出水平,北京、天津、上海、江苏、浙江等高新技术群占比较优势,表现出高-高的空间关联形式。相比而言,中部欠发达区域和西部区域则表现出低-低空间关联模式,整体上处于比较落后位置。以广东省为依托的福建、广西、江西、湖南,以北京为依托的河北省,以山东省为依托的安徽省、河南省表现出低-高空间关联模式;而辽宁、山东、广东由于产出水平提高,表现出高-低空间关联模式,这些区域由于各方面的差异而表现出强烈的空间异质性。

(2)通过中心性分析可知,福建、上海、安徽、云南、湖北、河北的相对度数中心度和中间中心度排名比较靠前,表明在省市创新产出空间关联网络中,与这些省市直接相关的关联关系最多,在区域创新空间网络中充当门户和枢纽的重要角色。通过块模型关联度分析,中国省市创新产出分为四大板块,各个板块扮演着不同角色。第一板块在区域创新中承担“中介”责任,第二板块作为发动机制的同时又具有聚集作用,作为净受益板块的第三板块和主受益板块的第四板块主要为中西部发展较快的地区,受益作用较明显。各个板块具有自反性的同时,第一和第二板块、第三和第四板块之间存在“逆向”溢出,第一、第三和第四板块都对第二板块具有溢出效应,板块关系更为复杂,形成紧密的网络关系。

5.2 对策建议

基于上述结论,提出如下对策建议:

(1)打破区域创新产出的市场壁垒,“取长补短”,全面提高自身创新能力,实现创新能力可持续增长。对于HH型区域,要加快以高新技术产业为支撑的区域科技中心建设,形成以北京、上海为中心,天津、山东、江苏、浙江为依托的纵向创新轴带,充分发挥该省市人才集聚、科技雄厚的创新优势,以及资本、市场等资源优势,建设具有全球影响力的科技创新中心。针对HL型省域,尤其广东、深圳,应依托创新资源集聚、体制机制灵活的优势和珠三角地理位置优势,推动战略性新兴产业快速发展,形成以市场为导向、以企业为主体、产学研相结合的高效创新模式。对于LH型、LL型的东北老工业基地和中西部创新产出落后区域,一方面要“自力更生”,既要调整产业结构,加快产业转型和升级,提高内生动力,把提高自主创新能力作为促进经济发展的重点,又要加大科技研发投入,改善区域创新环境,取得“量”和“质”双赢;另一方面,要“对外吸收”,完善技术交易市场,充分利用创新集聚、知识溢出、空间依赖等地理条件,在交流与合作中,吸收更多先进技术和管理理念,以提升区域创新要素集聚水平和创新能力。利用不同类型区域的特色政策,发挥其优势,降低区域之间的空间异质性,促进区域之间的相互关联关系,带动区域创新协调发展。

(2)加强区域创新产出关联程度,统筹整体区域创新能力发展,推动区域间协同创新。在提高整体区域创新空间关联度、稳定网络结构,创造更多空间溢出“管道”的同时,将区域创新空间关联作为统筹区域协调发展的重要因素。针对各个区域在创新产出空间关联中的地位、作用及各个板块的功能,制定具有针对性的发展方针。在制定区域创新政策时,既要充分发挥第二板块集聚和扩散的双向功能,在吸收外来效应的同时进一步激发该板块空间溢出效应的“发动机制”,为其它地区提供源源不断的动力,又要加强第一板块的传导作用,成为一个“合格专业性的经纪人”,还要兼顾以受益为主的第三、第四板块,采取相应的“倾斜政策”,增加该区域财政支出、科技人才供给,打造良好的区域创新产出空间溢出的接收平台。因此,转变落后地区创新发展方式、缩小区域之间创新条件差异,对于放大中国区域创新产出的空间溢出效应具有非常重要的意义。

由于中国各地区之间的空间关联关系是复杂的、多线程的,具有复杂的网络结构性质,本文对空间溢出效应的分析还不够充分,省域创新产出的收敛性研究还需进一步加强,只有发挥政府和市场的双重作用,才能更好地推动区域创新和技术进步。

参考文献:

[1] 陈秀山, 张可云. 区域经济理论[M]. 北京: 商务印书馆, 2007.

[2] 熊彼特. 经济发展理论[M]. 北京:中国画报出版社, 2012.

[3] MARIA T R, LOBOGUERRERO A M. Spatial dependence and economic growth: evidence from a panel of countries[J]. Working Paper, 2002(4): 84-88.

[4] 白俊红, 蒋伏心. 协同创新、空间关联与区域创新绩效[J]. 经济研究, 2015(7): 174-187.

[5] ANSELIN L, VARGA A, ACS Z. Local geographic spillovers between university research and high technology innovation[J]. Journal of Urban Economics, 1997, 42(3): 422-488.

[6] 方远平, 谢蔓. 创新要素的空间分布及其对区域创新产出的影响——基于中国省域的ESDA-GWR分析[J]. 经济地理, 2012, 32(9): 8-14.

[7] 范柏乃, 余钧. 资源投入、区域环境对高校技术转移的影响——基于1994-2009年我国省级面板数据的分析[J]. 科学学研究, 2013, 31(11): 1656-1662.

[8] GEROSKI P A. Procurement policy as a tool of industrial policy[J]. International Review of Applied Economics, 1990, 4(2).

[9] 马静, 邓宏兵, 蔡爱新. 中国城市创新产出空间格局及影响因素——来自285个城市面板数据的检验[J]. 科学学与科学技术管理, 2017, 38(10): 12-25.

[10] 张静, 李平. 中国区域创新绩效的过程溢出与空间关联[J]. 西部论坛, 2017, 27(3): 34-44.

[11] 杨凡, 杜德斌, 林晓. 中国省域创新产出的空间格局与空间溢出效应研究[J]. 软科学, 2016, 30(10): 6-10+30.

[12] 蒋天颖. 浙江省区域创新产出空间分异特征及成因[J]. 地理研究, 2014, 33(10): 1825-1836.

[13] 张玉明, 李凯. 中国创新产出的空间分布及空间相关性研究——基于1996-2005年省际专利统计数据的空间计量分析[J]. 中国软科学, 2007(11): 97-103.

[14] 王春杨, 张超. 中国地级区域创新产出的时空模式研究——基于ESDA的实证[J]. 地理科学, 2014, 34(12): 1438-1444.

[15] 王锐淇, 张宗益. 区域创新能力影响因素的空间面板数据分析[J]. 科研管理, 2010, 31(3): 17-26+60.

[16] 潘雄锋, 李良玉, 杨越. 我国能源效率区域差异的时空格局动态演化研究[J]. 管理评论, 2012, 24(11):13-19.

[17] 潘文卿. 中国的区域关联与经济增长的空间溢出效应[J]. 经济研究, 2012, 47(1): 54-65.

[18] GROENEWOLD N, GUOPING L, CHEN A. Regional output spillovers in China: estimates from a VAR model[J]. Papers in Regional Science, 2007, 86(1): 101-122.

[19] 李琳, 牛婷玉. 基于SNA的区域创新产出空间关联网络结构演变[J]. 经济地理, 2017, 37(9): 19-25+61.

[20] 李瑞龙, 周永根, 陈锐, 等. 基于复杂网络的城市间创新关联与空间格局[J]. 系统工程, 2017, 35(10): 105-113.

[21] 董必荣, 赵婷婷, 王敬勇, 等. 基于引力模型的省域创新产出空间联系研究[J]. 南京审计大学学报, 2018, 15(1): 25-34.

[22] 赵雨涵, 宋旭光. 我国区域创新空间关联的测度与分析——兼论区域创新网络结构的动态特征[J]. 西南民族大学学报:人文社科版, 2017, 38(7): 84-92.

[23] 苗长虹, 魏也华, 吕拉昌. 新经济地理学[M]. 北京: 科学出版社, 2011: 176.

[24] ULLMAN E L. American commodity flow[M]. Seattle: University of Washington Press, 1957.

[25] 李敬, 陈澍, 万广华, 等. 中国区域经济增长的空间关联及其解释——基于网络分析方法[J]. 经济研究, 2014, 49(11): 4-16.

[26] KRACKHARDT D. Graph theoretical dimensions of informal organizations[M]. Lawrence: Erlbaum Associates Inc., 1994.

[27] STANLEY W, KATHERINE F. Social network analysis: methods and applications[M]. Cambridge:Press Syndicate of the University of Cambridge, 1994: 286-287.

[28] BOORMAN S A, WHITE H C. Social structure from multiple networks. II. role structures[J]. American Journal of Sociology, 1976(22).

[29] SNYDER D, KICK E L. Structural position in the world system and economic growth, 1955-1970: a multiple-network analysis of transitional interactions[J]. American Journal of Sociology, 1979, 84(5): 1096-1126.

[30] 刘军. 整体网分析讲义——UCINET软件实用指南[M]. 上海: 格致出版社, 2009.

[31] WASSERMAN S, FAUST K. Social network analysis: methods and applications[M]. Cambridge: Cambridge University Press, 1994.

[32] LIM U. The spatial distribution of innovative activity in U.S. metropolitan areas: evidence from patent data[J]. Journal of Regional Analysis and Policy, 2003(2): 84-126.

[33] 张延伟, 裴颖,葛全胜. 基于BDI决策的居住空间宜居性分析——以大连沙河口区为例[J]. 地理研究,2016,12(35): 2227-2237.

Spatial Correlation Network and Heterogeneity Analysis of Regional Innovation Output

Wang Yue, Zhang Fuqin, Shi Wenxiu

(Business School, University of Jinan, Jinan 250002, China)

AbstractIn this paper, it takes innovation output of 29 provinces during 1985-2015 as the research object. Specifically, it uses the amount of patent applications received as the basic data analysis to research the spatial characteristics and correlation and of regional innovation output of 29 provinces based on Moran′s I index, VAR model and block model. The results show that regional innovation output in China have shown strong spatial agglomeration, and its spatial pattern presents non-equilibrium and spatial heterogeneity. The regional innovation output in China can be divided four plates. The first is "agent plate", the second is "bidirectional spillover plate", the third is "net beneficial plate", the fourth is "main beneficial plate". While the four plates are reflexive, the correlation between the plates is also very significant. These conclusions will help to discover the change trajectory of regional innovation, and correctly understand their regional innovation capability and the influence of geographical characteristics of difference, and the different position and function of each region in the associated network, in order to better explore the transfer mechanism and development strategy of regional innovation.

Key Words:Regional Innovation; Innovation Output; Heterogeneity Analysis; VAR Model; Spatial Association

DOI10.6049/kjjbydc.L201808115

开放科学(资源服务)标识码(OSID):

中图分类号:F061.5

文献标识码:A

文章编号:1001-7348(2019)09-0043-08

收稿日期:2018-12-18

基金项目:教育部社会科学规划基金项目(13YJA790038);国家社会科学基金项目(17BJL055)

作者简介:王悦(1970-),女,山东烟台人,博士,济南大学商学院副院长、教授,研究方向为区域空间经济发展;张福琴(1994-),女,山东济宁人,济南大学商学院硕士研究生,研究方向为区域经济创新战略;史文秀(1989-),女,山东菏泽人,济南大学商学院硕士研究生,研究方向为区域经济发展规划。

(责任编辑:万贤贤)