多层级视角下京津冀科技创新政策府际关系研究

刘晓燕,侯文爽,单晓红,杨 娟

(北京工业大学 经济与管理学院,北京 100124)

摘 要:府际关系协调有利于实现创新资源、要素的有效汇聚与整合,进而提升政策有效性。以京津冀为例,构建中央-地方多层级府际关系模型,分析中央政策主体合作网络特征与政策扩散特征、地方政策主体合作网络特征与政策执行特征的相关性。研究发现,中央政府部门间形成了以科技部为核心的核心—边缘网络结构特征;北京市政府部门间呈现出以中关村科技管理委员会为核心的核心-边缘网络结构特征;天津市政府部门间呈现出以天津市科学技术委员会为核心的星型网络结构特征;河北省则没有形成稳定的网络关系。中央政策主体合作网络中的度中心性与政策扩散广度具有相关性;地方政策主体合作网络中介中心性、度中心性与政策执行强度具有相关性。

关键词:府际关系;多层级网络;科技创新政策;京津冀

0 引言

协同创新作为国家发展战略的重大决策,其实现的关键在于创新资源和要素的有效汇聚与整合,而资源和要素的汇聚、整合则依赖于政府部门间的协调关系[1]。各政府部门通过制定和实施科技创新政策指导协同创新[2],使复杂的科技创新事务治理成为可能[3]。然而,多部门共同参与科技创新事务治理,虽有利于不同政策主体优势的发挥,但无形中增加了部门间关系协调难度,抑制了政策效果发挥[4]。在央地关系上,由于利益诉求不同,容易导致地方政府为维护自身利益而出现执行偏差,影响政策执行效率[5],从而抑制科技创新发展。因此,在全面深化改革和加快政府职能转变背景下,构建协调有序的府际关系成为推进我国科技创新治理现代化的关键,以及保障科技创新稳步前进并取得重大突破的前提[6]

府际关系(Inter-governmental relations),即政府间关系[7],它是各级政府部门基于政策制定或执行而形成的纵横交错的网络关系[8]。作为政治系统内政府相互作用过程的一种表征[9],府际关系具有政治原则和治理机制的双重特性[10]。随着现代治理日趋复杂化,府际关系的重要性日益显现,并成为学者们研究的焦点。当前,学者们主要从3个方面开展府际关系研究:一是府际关系特征分析。府际关系主要有中央府际关系、地方府际关系及央地府际关系3个层面。在中央府际关系特征研究中,学者们更为关注政策发文部门间的合作模式及演化特征。黄萃[8]、刘凤朝[11]等指出,在科技创新政策制定中,中央政策主体逐渐形成了以科技部、发改委、财政部等政府部门为主导的府际合作关系网络;在中小企业创新治理中,中央府际关系不断向协作型发展[4]。吴宾[12]则认为海洋工程装备制造业政策府际关系呈现出协作型与跟随型并存的态势。地方府际关系是央地府际关系的延伸[7],具有动态性[13]。同时,地方府际关系处于中央的总体调控下,需符合中央立法规定的权力分享原则[10]。央地府际关系特征主要表现为政策制定中的央地互动[14]、政策执行中的府际协作[15],以及公共事务治理中的府际非对称博弈[16]。在中国,央地关系的本质仍为中央集权,即在中央统一调控下发挥地方的主动性与积极性 [7]。但上述3种关系并非相互独立。谢庆奎[7]指出,央地关系可以影响甚至支配地方府际关系。二是府际关系影响因素研究。Cairney[17]、Jones[18]认为党派一致性对于解决威尔士、苏格兰与英国间的政府冲突极为重要。中国属于中国共产党领导下的多党合作制国家,其府际关系影响因素主要为政府部门间的政治资源分配状况。在权责配置下,资源依赖会促使政府部门间寻求合作[12],府际合作有利于政府部门间的权力分享,促进府际关系制度化[19];而政治资源分配不平衡则会导致权力不平衡以及公共治理中部门角色的差异化[20],并引发政府部门竞争,同时,督责机制的缺位会加剧政府部门竞争[21]。三是府际关系改革方向的探索。府际关系研究的目的之一是优化府际关系。学者们通过研究指出,中央府际关系的改革方向是协作型府际合作关系[8],这是实现国家治理能力现代化的关键。新常态下地方府际关系的关键在于推进地方府际合作与协同发展[22];央地关系则是在保证高度集权的基础上,对地方政府合理分权,充分发挥地方的主动性与积极性[6]。在研究方法上,大多学者采用案例分析、深度访谈、文献分析等定性研究方法[14,16,22,23],少数学者基于政策文本与科学文献的相似性,从政策计量学角度对公共政策进行量化研究,以提升公共政策研究的解释力、分析力与分析空间[24,25]。同时,也有一些学者基于社会网络分析法,刻画中央政策主体合作模式,探究其演化特征[10,11,26]

综上,当前的府际关系研究多为对中央、地方府际关系及央地关系的单独分析,少有研究将3种关系置于同一分析框架下,对其进行综合分析。同时,在研究方法上,多为质性分析,虽能揭示政府部门间的关联性与本质规律,但研究结论缺乏一定精准性。定量分析采用社会网络分析法,能够反映出同类节点、同类关系特征,纵横交错的府际关系网络节点虽然都属于政府部门,但是政府部门间却存在明显的层级特征,网络关系也表现出合作发布、执行扩散等异质性特点。因此,本文力图将多层级网络引入府际关系网络分析,分别构建2012-2017年京津冀科技创新政策领域的中央—地方府际关系网络,在量化分析中央政策主体与京津冀地方政策主体府际合作关系特征及央地关系特征的基础上,阐述京津冀三地府际关系中存在的差异,最后以中央—北京府际关系为例,探究政策主体特征与央地关系特征的相关性。

1 中央—地方多层级府际关系网络构建

1.1 数据来源

本文利用中央、地方政府部门颁布的科技创新政策研究科技创新领域内复杂微妙的府际关系,原因有二:一是政策文本是能够客观呈现政府部门活动的印记,政策背后蕴含着政府部门间的协调与冲突[12];二是基于政策文本结构性编码的可行性[8]。政策文本颁布部门的共著关系与政策文本间的关联性,为挖掘与分析中央、地方府际关系以及央地关系提供了可能。

政策数据来源于“北大法意网(http://www.lawyee.org/)”与“北大法宝(http://www.pkulaw.cn/)”,时间区间为2012年1月1日-2017年12月30日,通过筛选与去重,最终得到259份科技创新政策文本。其中,中央99份,北京市96份,河北省53份,天津市11份。经过政策文本政策主体的抽取及整合,最终得到中央层面的科技创新政策主体55个、地方层面的科技创新政策主体65个(北京市35个,河北省24个,天津市6个)作为研究中央—地方府际关系的基础数据。

在整理河北省科技创新政策主体过程中,发现涉及9个地级市(其中,石家庄市4个,邯郸、衡水市各2个,保定、沧州、承德、廊坊、唐山、邢台市各1个),由于数据样本太少且政策主体间孤立,无法满足分析省级政府与地级市政府关系的要求,因此在本文中对河北省省级政府与地级市政府不作区分。

1.2 府际关系主体及关系抽取

在中央—地方府际关系研究中的两组独立节点分别为中央政策主体(政策扩散主体)与地方政策主体(政策执行主体)。这两组独立政策主体的科层等级不同,被赋予的政策地位与功能也有所差异。中央政府颁布的科技创新政策,其顶层设计性强,对平衡各地区政策安排具有强大的指导作用。地方政府作为该地科技创新治理主体,其制定的政策更具针对性,在地方科技创新发展中的可操作性更强。

中央府际关系、地方府际关系为同一层级内的横向府际关系,基于政策文本的共著关系可对上述两种府际关系进行刻画。央地关系为不同层级间的纵向府际关系,可利用地方政策文本对中央政策的引用关系进行刻画。政策文本引用不仅能够反映央地政策文本间的参照关系和知识扩散,而且能够反映央地政府机构间的相互影响[27]。政策文本间的引用关系可通过政策文本语义体现,并具有特定提示词。通过对已获取政策文本的阅读发现,现行政策文本用5种提示词反映政策间引用关系,具体如表1所示。

表1 部分常见政策引用提示词

关键词举例例证来源根据根据《国务院关于同意支持中关村科技园区建设国家自主创新示范区的批复》……制定本办法北京市中关村科技园区管理委员会关于印发《中关村国家自主创新示范区企业改制上市和并购支持资金管理办法》的通知按照按照国家和北京市《关于税收等优惠政策相关事项的通知》要求……制定本规定《北京市西城区支持中关村科技园区德胜科技园自主创新若干规定(2015修订)》依据依据《国务院办公厅关于深化高等学校创新创业教育改革的实施意见》……特制订本办法北京市教育委员会、北京市财政局关于印发《北京市属高等学校科技创新平台建设管理办法》的通知落实为落实《国务院关于改进加强中央财政科研项目和资金管理的若干意见》……制定本管理办法北京市财政局、北京市科学技术委员会关于印发《首都科技创新券实施管理办法(试行)》的通知转发现将《财政部国家税务总局关于中关村国家自主创新示范区有限合伙制创业投资企业法人合伙人企业所得税试点政策的通知》(财税[2013]71号,以下简称财税[2013]71号)转发给你们……北京市财政局等转发财政部国家税务总局关于中关村国家自主创新示范区技术有限合伙制创业投资企业法人合伙人企业所得税试点政策的通知

1.3 中央-地方多层级府际关系模型构建

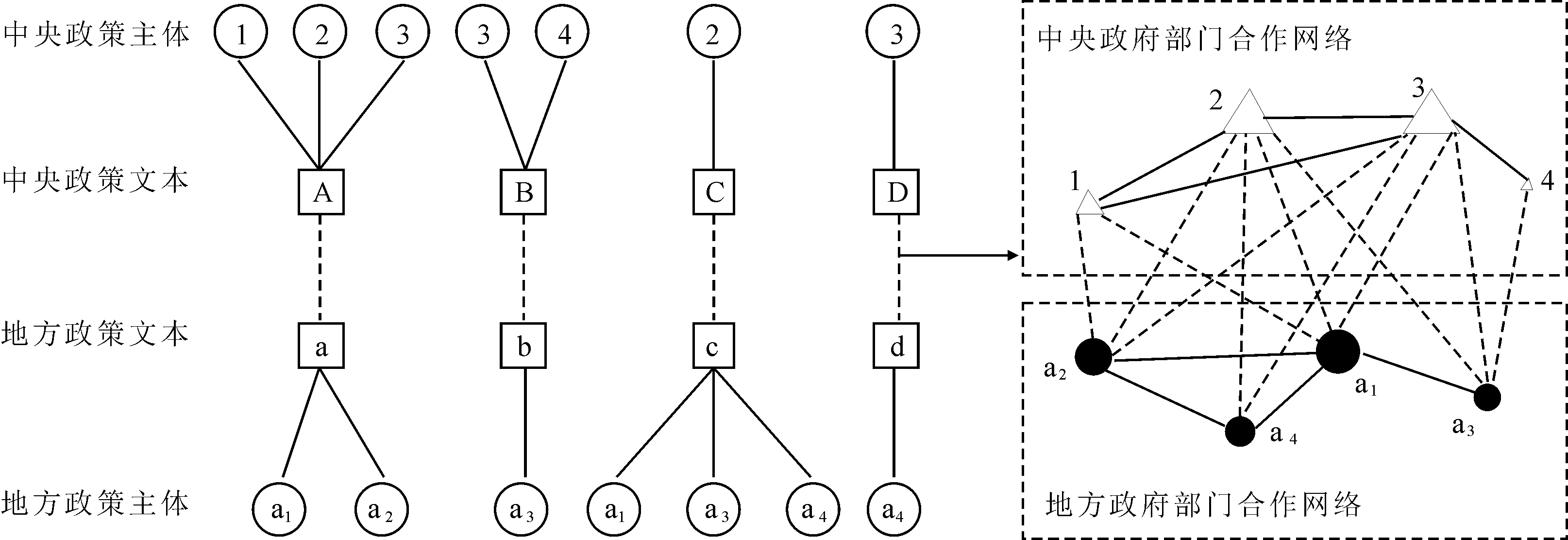
Wang等[28]在多层级网络背景下,提出了多层级网络的一般数据结构,其中,单模网络在层级内形成微观网络和宏观网络,并通过双模式联盟关系定义了跨层网络。多层级网络数据意味着一般数据结构至少需要两组独立节点,网络连接代表不同级别内的节点关系[29]。在抽取同一层级政策主体合作关系及不同层级(央地)政策主体引用关系的基础上,利用多层级网络方法,绘制综合展现地方与地方、地方与中央以及中央各部门间府际关系的多层网络。

假设3个中央政府机构(1,2,3和4)与3个地方政府机构(a1,a2,a3和a4)分别参与制定了8个科技创新政策文件(A,B,C,D和a,b,c,d)。其中,实线反映了政府机构与政策文件的颁布关系,虚线反映了政策文件间的引用关系。这样,6个机构形成了8对政策主体合作关系,即1-2,2-3,1-3,3-4,a1-a2,a1-a3,a1-a4,a3-a4及12对政策主体执行关系,如1-a1,1-a2,2-a1,2-a2,3-a1,3-a2,4-a3,3-a3,2-a1,2-a3,2-a4,3-a4,见图1所示。其中,线条宽度代表政府机构间共同颁布或引用政策文件的频次;节点大小表示政策主体的程度中心性。实线表示同一层级政策主体间的合作关系,虚线表示不同层级政策主体间的合作关系,即央地关系。该中央-地方多层府际关系模型可进一步扩展,以作为分析中央政府部门、中央政府部门与省级政府部门、省级政府部门、省级政府部门与地级市政府部门关系的基础。

图1 中央—地方多层级府际关系网络构建过程

2 中央科技创新政策主体合作与扩散特征

2.1 中央科技创新政策主体合作关系特征

2012-2017年中央层面的科技创新政策主体合作模式呈现出核心—边缘的网络结构特征,以科技部(MOST)为核心,以工业和信息化部(MOIIT)、财政部(MFPRC)、农业部(MOA)、国家发改委(NDRC)、教育部(MOE)为亚核心的网络结构(见图2)。度中心性反映了一个节点在网络中的重要程度,中介中心性反映了节点对资源的控制程度。因此,通过计算这两个网络结构特征,可准确描述政府部门在中央政策主体合作网络中的影响力,具体结果如表2所示。科技部无论是度中心性还是中介中心性均处于优势地位,在网络中居于核心位置,具有较强的资源和信息控制能力。该结果与科技部“同其它部门密切配合,共同决策,责任共担”的职能要求[11]有关。在创新驱动发展战略下,科技创新被提升到关乎国家发展全局的核心位置,科技创新治理也日益复杂。政府部门在承担部门责任的同时,出于维护自身利益的需要,在政策制定过程中也必须与其它部门合作以促进协调,实现责任与利益的均衡统一。然而,虽然科技部、发改委、教育部、财政部等关键部门间形成了较为密切的联系,但中央政策主体合作网络密度仅为0.194,整体上较稀疏,说明科技创新治理过程中中央政府部门间的协调性有待进一步提升。

2.2 中央科技创新政策主体扩散特征

中央通过科技创新政策指导地方科技创新,主要是基于政策文本间引用实现的,这在一定程度上反映了中央对地方政府的政策扩散。其中,中央政策主体与地方政策主体间的联结频次可视为中央政策主体的扩散强度;与中央政策主体直接联结的地方政策主体个数,可视为中央政策主体的扩散广度。表2列示了度中心性排名前十的中央政策主体以及国务院(SC)的相关指标度量值。

图2 中央政策主体合作网络(注:仅保留度大于1的节点)

中央对北京市地方政府的政策扩散效应较强。由图3可知,中央层面共有23个政策主体对北京市20个地方政策主体产生了政策扩散效应。结合表2可知,中央对北京进行政策扩散的核心主体为财政部(MFPRC)、科技部(MOST)和国家发改委(NDRC)以及国务院(SC),这些政策扩散主体大多为中央政策主体合作网络的核心主体。由此表明,在中央层面具有极强政策协调性的政策主体,其政策影响力也较强。在政策扩散中,中央与北京市地方政府间的互动有利于中央政策在北京市科技创新治理中得到更多体现,促使北京市科技创新治理更为全面。

中央对河北省地方政府的政策扩散效应较北京稍弱。由图4可知,中央层面共有6个政策主体对河北省15个地方政策主体产生了政策扩散效应。中央对河北省的政策扩散核心主体是国务院(见表2)。相较于北京市,环境保护部(MEP)的政策扩散效应更加凸显。这从侧面反映了河北省科技创新治理的重点是加强科技创新和生态环保的平衡与协调。

中央对天津市地方政府的政策扩散效应较弱。由图5可知,中央层面共有3个政策主体对天津市3个地方政策主体产生了政策扩散效应,中央对天津市的政策扩散核心主体为国务院(SC)、科技部(MOST),它们在天津市科技创新治理中发挥了较强的政策指导作用(见表2)。

通过以上分析发现,中央政策主体对北京、河北、天津等地方政策主体的扩散效应具有一定相似性,表现在国务院、科技部对三地均产生了较强政策扩散效应。国务院作为我国最高决策机构,在科技创新政策上享有最终决策权,因此对地方政府、基层政策及公众具有强大的行政影响力[30]。而科技部作为科技主管部门,其科技政策对加强地方科技创新治理具有极强的实践指导性。

图3 中央-北京市府际关系网络(注:仅保留度大于1的节点)

图4 中央-河北省府际关系网络(注:仅保留度大于1的节点)

3 地方科技创新政策主体合作与执行特征

3.1 地方科技创新政策主体合作特征

北京市科技创新主体形成了以中关村科技管理委员会(BZSPMC)为核心的网络结构特征(如图3)。该网络规模为35,网络密度为0.149。由此表明,北京市地方政府对于科技创新治理的重视程度较高,不同部门从不同角度对科技创新治理形成了规范,以指导北京市科技创新实践,并在实践中注重加强与其它部门的关系协调。中关村科技管理委员会作为北京市政策主体合作网络核心,具有较高的度中心性与中介中心性,在北京市科技创新治理中处于重要地位。相较于其它部门,中关村科技管理委员会发文最多,但与其它部门联合发文时均非第一政策主体,一般作为协调配合型政策主体存在。由此表明,中关村作为科教智力与人才资源集聚区,虽然在北京市科技发展中发挥了极强带动作用,但其离不开北京市财政局(BMBS)、北京市发展和改革委员会(BMDRC)、北京市国家税务局(BMSAT)和北京市科学技术委员会(BSTC)等掌握财政与行政资源部门的大力支持。

图5 中央-天津市府际关系网络(注:仅保留度大于1的节点)

表2 中央政策主体中心性对比

序号部门度中心性中介中心性扩散强度(北京)扩散广度(北京)扩散强度(河北)扩散广度(河北)扩散强度(天津)扩散广度(天津)1科技部(MOST)0.0750.266301011312工业和信息化部(MOIIT)0.0320.0426500003财政部(MFPRC)0.0280.036391011004农业部(MOA)0.0270.0020000005国家发改委(NDRC)0.0270.014241000006教育部(MOE)0.0220.0731100007国土资源部(MOLR)0.0170.0020000008国家质检总局(AQSIQ)0.0140.0100000009环境保护部(MEP)0.0140.04011220010海关总署(GAC)0.0130.00311000011国务院(SC)005415201142

河北省地方政府部门间并未形成较为稳定的合作关系(如图4)。河北省地方政策主体合作网络规模为24,网络密度为0.093,网络结构整体较松散,除少数核心政策主体(河北省科学技术厅(HSTD)与河北省财政厅(HPDF))形成了较为稳定的合作关系外,大部分政策主体在政策制定中处于单独发文或与其它政策主体形成不稳定合作关系。科技创新需要科技支撑与财政支持的双重驱动,且科技创新本身是一类极具交叉性的公共事务,需要多部门协调配合,立足本地区科技发展需求,使各创新主体与创新资源在最大程度上得以整合、优化,为科技创新发展协同发力。

天津市地方政府部门间形成了以天津市科学技术委员会(TSTC)为核心的星形网络体系结构,网络规模仅为6,并且部门间合作较少(见图5)。相比河北省,天津市拥有较为丰富的科技创新资源,在加强科技创新治理顶层设计的基础上,注重发挥各创新主体的自主创新能力,并在市场机制下促进创新资源的合理配置。

通过以上分析可知,京津冀3个地区政策主体合作网络的规模、密度均有所差异。其共同之处在于地方科技主管部门(即北京市科学技术委员会、河北省科学技术厅、天津市科学技术委员会)均在本地区科技创新治理中发挥了重要的决策与协调作用。

3.2 地方科技创新政策主体执行特征

在地方政策主体合作网络中,某地方政府部门与中央政府部门的联系频次可用来衡量该政策主体的执行强度。与地方政府部门直接联结的中央政府部门个数,可视为该政策主体的执行广度。

北京市政府对中央政策的执行度较高,且执行关系基本处于稳定状态(图3)。政策主体间联系紧密,有利于政策执行主体间协商、交流与相互学习。从政策执行个体角度而言,具有较高度中心性、中介中心性的中关村科技园区管理委员会(BZSPMC),其执行强度与执行广度也处于领先地位。由此表明,中关村科技管理委员会善于在政策制定过程中吸收利用同级部门和中央政府部门的政治思想与理念,并结合自身实际作出决策,以提高在北京市科技创新治理中的政策影响力。

河北省大部分地方政策主体对中央政策执行具有较高的积极性,但执行关系处于不稳定状态。从图4可看出,政策执行主体间基本处于隔离状态,这对于政策执行主体间的政策交流与协调极为不利。因此,在创新驱动发展战略下,河北省政府需提高对科技创新治理的重视程度,加强对不同中央政府部门科技创新政策的学习。

天津市地方政策主体在政策制定过程中注重对中央科技创新政策的学习,但天津市政府与中央政府的执行关系处于不稳定状态,并且天津市的科技创新政策从侧面反映出对中央政策的执行全面性不足(图5)。天津市科委、天津市统计局(TBS)在科技创新政策制定过程中,主要关注其直属上级中央部门(科技部、国家统计局(SSB))的科技创新政策,并以此为基础形成自己的科技创新治理偏好与思想。

3.3 京津冀地方政策主体对比

2017年首都科技发展战略研究院发布的中国城市科技创新发展报告显示,北京市科技创新综合指数为0.587,位居榜首,天津市与石家庄市分别位于第7位(0.416)与第55位(0.276)。因此,本文拟通过对比地方政策主体合作网络基本结构特征、地方执行中央政策的特征以及差异,探究造成地区科技创新水平差异的原因。其中,地方政策主体合作网络基本结构特征包括网络规模和网络密度,网络规模可反映为地方科技创新治理中地方政府部门的参与程度;网络密度表征了地方科技创新治理中地方政策主体的整体协调度。地方对中央的整体执行强度反映了地方对中央政策主体的执行积极度,以及地方对中央政策文本的熟悉度和理解度。地方对中央的整体执行广度表征为地方执行的中央政策主体个数,其数量与地方政策主体在科技创新政策制定中吸收的中央层面异质性资源量成正比。地方对不同中央政府部门的执行强度差异包括对国务院的执行强度占整体执行强度的比例、对科技部(职能性部门代表)的执行强度占整体执行强度的比例,比例大小反映了地方政策主体对执行中央政策主体的偏好。

在地方政策主体合作网络结构特征与地方科技创新水平关系方面,由表3可知,相较于河北、天津,北京的地方政策主体合作网络规模处于领先地位,网络密度适中。较大的网络规模体现了北京市对科技创新的高度重视,在科技创新治理中不同政府部门积极性的充分发挥有利于实现各种创新资源与要素集聚,推动技术创新能力快速提升。同时,适度的网络密度有利于加强地方政府部门间的整体协调度,保证科技创新政策的连贯性和一致性,发挥不同政策主体在科技创新治理中的优势。因此,地方政府部门在促进地区科技创新过程中,要充分调动政府部门的积极性,并使参与治理的政府部门间保持适度的协调性,进一步提高地方科技创新治理效率。

在地方执行中央政策的特征对地方科技创新水平的影响方面,由表3可知,北京市对中央政策的整体执行强度与执行广度均处于领先地位。由此表明,地区科技创新是地方政府科技创新治理和中央统一指导、调控双重作用的结果。地方政府在制定科技创新政策时,对中央科技创新政策的关联引用有利于加强中央政治价值与理念学习,使地区科技创新政策不仅适合地区实际发展需求,也符合中央整体规划与要求。因此,在我国中央集权制度下,地方政府部门要在遵循中央顶层设计的基础上进行积极、主动的探索,进而推动地区科技创新水平提升。

表3 京津冀三地中央—地方府际关系特征综合对比

北京河北天津地方政策主体合作网络规模35246地方政策主体合作网络密度0.1490.0930.286整体执行强度305268整体执行广度2563对国务院的执行强度占整体执行强度的比例(%)17.776.950对科技部的执行强度占整体执行强度的比例(%)9.843.8537.5

地方对中央政府部门的执行强度差异会影响地区科技创新水平。由表3可知,相较于河北与天津,北京对国务院和科技部的执行强度占整体执行强度的比例适中。在地方科技创新治理中,不仅需要接受来自国家级政策主体思想和整体规划的指导,而且还需要接受来自省部级(含副)等职能性政策主体的科技创新实践路径指导。地方在进行科技创新治理中对这两类政策主体的执行比例要适中,不偏颇,要通过综合学习,消化吸收与利用上述两类主体科技创新政策,从而提高地区科技创新政策的规范性与实践指导性。

3.4 政策主体特征与央地关系特征相关性

上述分析虽能展现中央与地方府际关系及央地关系特征,但对于具有何种特征的中央政府部门容易发生政策扩散,以及政策执行对地方政府部门有何影响并未涉及。一般而言,政府部门的联合行文有利于减少部门政策冲突,提高政策实施协调性,从而提高政策实施效率。地方对中央的政策执行在一定程度上也有利于央地关系协调,但对于具有何种特征的中央政府部门有利于提升政策影响力与影响范围,以及地方对中央政策的执行是否有利于地方政策主体提升地方政策主体合作网络中的重要度需作进一步分析。

3.4.1 中央府际关系网络合作特征对中央政策主体扩散的影响

为探究具有何种特征的中央政府部门有利于政策影响力与影响范围提升,以中央对北京市地方政府的政策扩散效应为例,分析中央政策主体(除国务院外)在中央政策主体合作网络中的中心性与扩散强度、扩散广度的关系,相关性分析结果如表4所示。

通过分析发现,中央政策主体网络度中心性与中介中心性相关性较高,相关系数为0.916;扩散强度与扩散广度高度相关,相关系数为0.951;度中心性与扩散广度存在相关性;度中心性、中介中心性与扩散强度均不相关。也就是说,在中央政策主体合作网络中处于重要位置、与其它政策主体有更多合作的政策主体,其颁布的政策扩散广度大,对地方政府部门的影响范围也更大。原因是,中央政府部门在政策制定中通过与不同政府部门的合作,有利于突破自身资源的局限性,提高自身行政权力,使其政策主张得到更多同级部门的认同,从而提高中央政府部门的吸引力,扩大中央政府部门对地方政府的影响范围。

表4 中央政策主体网络结构特征与扩散特征相关性分析

度中心性中介中心性扩散强度扩散广度度中心性 10.916∗∗0.6090.657∗中介中心性—10.4780.503扩散强度 ——10.951∗∗扩散广度 ———1

注:**表示在0.01的水平上显著相关,*表示在0.05的水平上显著相关,下同

3.4.2 地方政策主体执行对地方府际关系网络合作特征的影响

为分析地方执行中央政策是否有利于提升地方政策主体在地方政策主体合作网络中的重要度,以北京市地方政策主体执行中央政策为例,分析地方政策主体执行强度、执行广度对地方政策主体在地方政策主体合作网络中心性的影响。

由表5可知,地方政策主体在地方政策主体合作网络中的度中心性与中介中心性具有较强相关性,相关系数为0.971;地方政府合作网络的度中心性、中介中心性与执行强度强相关;地方对中央的执行强度与执行广度也具有一定相关性。这些表明地方政府部门对中央政府部门的执行强度越高,其在地方政策主体合作网络中的重要性越突出,同时,也具有更强的资源协调能力。

表5 北京市政策主体网络结构特征与执行特征相关性分析

度中心性中介中心性执行强度执行广度度中心性 10.971∗∗0.976∗∗0.524中介中心性-10.969∗∗0.516执行强度 --10.642∗执行广度 ---1

因此,地方政府部门在单独或与同级政府部门联合发布科技创新政策的过程中,不仅要体现自身与合作部门的政策意向,还要参考内容相似或关联度高的中央科技创新政策,以确保与中央科技创新政策的一致性、连贯性,提高其单独发布或与其它部门联合发布的科技创新政策的行政效力,进而提高地方政府部门在科技创新治理中的影响力。

4 研究结论与政策建议

通过对中央及京津冀的科技创新政策研究,得到以下结论:

(1)中央科技创新政策主体呈现出核心—边缘结构网络特征。该网络以科技部为核心,工业和信息化部、财政部、农业部、国家发改委、教育部为亚核心。虽然网络中的关键政策主体间形成了紧密联系,但中央政策主体合作网络整体密度较低,部门间协调度有待进一步提升。国务院政策基本为单主体发布,在中央政策主体合作网络中处于边缘位置,但其在科技创新治理中的作用不容忽视。作为中国最高决策机构,国务院在科技创新政策中享有最终决策权,并处于央地府际关系网络中政策扩散的核心位置。

(2)地方政府具有一定自主性,即具有为自身发展和利益作出自主性决策的能力。在网络结构上表现为北京政府合作网络呈现核心-边缘结构特征、天津政府合作网络呈现星型网络结构特征、河北政府部门间未形成稳定的网络关系。这种自主性不仅会导致不同地区在科技创新治理中的政策主体协调状况、参与程度,以及中央科技创新政策的执行效果存在差异,同时在一定程度上也会导致地方科技创新水平不平衡。为了提升京津冀协同创新能力,需要结合不同地区的创新资源禀赋,通过构建符合资源禀赋特征的府际关系网络,保障政策制定的合理性和有效性。

(3)在中央政策主体合作网络中,中央政府部门度中心性与政策扩散广度正相关,对地方政府部门的政策影响力较高。因此,中央政府部门在政策制定过程中,要充分协调与其它中央政府部门的关系,在政策协商过程中与其它中央政府部门达成政策共识,减少政策冲突,提高政策质量,进而增大对地方政府部门的政策影响力,提高政策执行效率,促进央地府际关系协调。

(4)在地方政策主体合作网络中,网络度中心性、中介中心性与执行强度正相关,即地方政府部门政策执行强度越大,在地方政策主体合作网络中的重要性越突出。地方政策主体在政策制定中对中央科技创新政策的关联引用,有利于对中央政治价值与理念的学习,增强央地政府部门关系协调度,同时,也有利于提升自身在科技创新治理中的政策影响力。

本研究突破了以往从单模网络角度研究府际关系的局限性,实现了横向、纵向府际关系的联动研究,为进一步研究政策协同、政策评估等奠定了理论基础,并为府际关系研究开辟了一条新路径。本文提出的多层级府际关系网络模型可以进一步应用到中央、省(直辖市)、地级市、县级市等多个行政层级的府际关系研究中。

参考文献:

[1] 蔡英辉. 政府间伙伴关系:合作治理之路[J]. 经济体制改革, 2013(5):20-24.

[2] AMANKWAH-AMOAH J. The evolution of science, technology and innovation policies: a review of the Ghanaian experience[J]. Technological Forecasting & Social Change, 2016, 110:134-142.

[3] 边晓慧, 张成福. 府际关系与国家治理:功能、模型与改革思路[J]. 中国行政管理, 2016(5):14-18.

[4] 章文光, 闫蓉. 基于政策文本计量的中国中小企业创新政策变迁研究[J]. 湘潭大学学报, 2017, 41(5):19-28.

[5] 颜金. 论政府环境责任中的利益困境——基于府际关系视域[J]. 理论与改革, 2014(3):105-107.

[6] 蓝志勇, 苗爱民, 李东泉. 深化府际关系改革 推动城乡协调发展[J]. 中国行政管理, 2016(11):30-35.

[7] 谢庆奎. 中国政府的府际关系研究[J]. 北京大学学报:哲学社会科学版, 2000(1):26-34.

[8] 黄萃, 任弢, 李江,等. 责任与利益:基于政策文献量化分析的中国科技创新政策府际合作关系演进研究[J]. 管理世界, 2015(12s):68-81.

[9] JOHN PHILLIMORE. Understanding intergovernmental relations: key features and trends [J]. Australian Journal of Public Administration, 2013, 72(3):228-238.

[10] BIRRELL D. Intergovernmental relations and political parties in Northern Ireland[J]. British Journal of Politics & International Relations, 2012, 14(2):270-284.

[11] 刘凤朝, 徐茜. 中国科技政策主体合作网络演化研究[J]. 科学学研究, 2012, 30(2):241-248.

[12] 吴宾, 杨一民, 娄成武. 基于文献计量与内容分析的政策文献综合量化研究——以中国海洋工程装备制造业政策为例[J]. 情报杂志, 2017, 36(8):131-137.

[13] 王鹏. 跨域治理视角下地方政府间关系及其协调路径研究[J]. 贵州社会科学, 2013(2):142-147.

[14] 苏利阳, 王毅. 中国“央地互动型”决策过程研究——基于节能政策制定过程的分析[J]. 公共管理学报, 2016(3):1-11.

[15] 李元珍. 政策网络视角下的府际联动——基于重庆地票政策执行的案例分析[J]. 中国行政管理, 2014(10):95-100.

[16] 陈晓剑, 唐兴和. 次区域经济合作国内纵向府际关系构建分析——以丝绸之路经济带为例[J]. 兰州大学学报:社会科学版,2015,43(5):57-62.

[17] CAIRNEY P. Intergovernmental relations in scotland:what was the SNP effect[J]. British Journal of Politics & International Relations, 2012, 14(2):231-249.

[18] JONES R W, ROYLES E. Wales in the world: intergovernmental relations and sub-state diplomacy[J]. British Journal of Politics & International Relations, 2012, 14(2):250-269.

[19] BOLLEYER N. Consociationalism and intergovernmental relations-linking internal and external power-sharing in the swiss federal polity[J].Swiss Political Science Review,2006,12(3): 1-34.

[20] BOLGHERINI S,GIULIO M D,LIPPI A.From the change of the pattern to the change in the pattern:the trilateral game in the Italian intergovernmental relations[J].European Policy Analysis,2018 ,4(1): 49-71.

[21] 史普原. 政府组织间的权责配置——兼论“项目制”[J]. 社会学研究, 2016(2):123-148.

[22] 张子礼, 赵佳佳. 新常态下区域发展中的地方政府间关系探析[J]. 中国社会科学院研究生院学报, 2016(6):128-134.

[23] 林雪霏. 政府间组织学习与政策再生产:政策扩散的微观机制——以“城市网格化管理”政策为例[J]. 公共管理学报, 2015(1):11-23.

[24] 黄萃, 任弢, 张剑. 政策文献量化研究:公共政策研究的新方向[J]. 公共管理学报, 2015(2):158-15.

[25] 李江, 刘源浩, 黄萃,等. 用文献计量研究重塑政策文本数据分析——政策文献计量的起源、迁移与方法创新[J]. 公共管理学报, 2015(2):138-144+159.

[26] SUN Y, CAO C. The evolving relations between government agencies of innovation policymaking in emerging economies: a policy network approach and its application to the Chinese case[J]. Research Policy, 2018, 47:592-605.

[27] 陈芳. 政策扩散理论的演化[J]. 中国行政管理, 2014(6):99-104.

[28] WANG P, ROBINS G, PATTISON P, et al. Exponential random graph models for multilevel networks[J]. Social Networks, 2013, 35(1):96-115.

[29] GUAN J, ZHANG J, YAN Y. The impact of multilevel networks on innovation[J]. Research Policy, 2015, 44(3):545-559.

[30] 刘怡君, 蒋文静, 陈思佳. 中国网络舆情治理的主客体实证分析——基于1997-2016年网络舆情治理政策[J]. 管理评论, 2017, 29(11):227-239.

Research on the Inter-governmental Relations of the Technology and Innovation Policies of Jing-Jin-Ji under Multi-level Perspective

Liu Xiaoyan, Hou Wenshuang, Shan Xiaohong, Yang Juan

(College of Economics and Management, Beijing University of Technology, Beijing 100124, China)

AbstractThe coordination of inter-governmental relationships is conducive to the effective convergence and integration of innovative resources and elements, thereby improving the effectiveness of policies. Taking the Beijing-Tianjin-Hebei as an example, the article constructed a multi-level, central-local relationship model, then analyzed the correlation between the characteristics of the central government policy partner network and the characteristics of policy diffusion, the characteristics of the local policy partner network and the characteristics of policy implementation. The study found: Central government departments have formed the core-edge network structure with the Ministry of Science and Technology at its core; Beijing government departments presented core-edge network structure with Zhongguancun Science and Technology Management Committee at its core; Tianjin government departments presented star-based network structure with Tianjin Science and Technology Committee at its core; Hebei did not form a stable network relationship. The degree of centrality in the cooperation network of the central policy subjects is related to the proliferation of policies; the mediating centrality and degree centrality of the cooperation network of local policy subjects are related to the intensity of policy implementation.

Key Words:Inter-governmental Relations; Multi-level Networks; Technological and Innovation Policy; Beijing-Tianjin-Hebei

收稿日期:2018-09-20

基金项目:国家社会科学基金重点项目(17AGL009);北京市自然科学基金项目(9172002,9174029)

作者简介:刘晓燕(1974-),女,河北唐山人,博士,北京工业大学经济与管理学院副教授,研究方向为组织理论与战略管理;侯文爽(1994-),女,河北邢台人,北京工业大学经济与管理学院硕士研究生,研究方向为组织理论与战略管理;单晓红(1976-),女,吉林吉林人,博士,北京工业大学经济与管理学院副教授,研究方向为信息管理、商务智能;杨娟(1979-),女,湖北松滋人,博士,北京工业大学经济与管理学院高级实验师,研究方向为网络组织理论与实践。

DOI10.6049/kjjbydc.2018060346

开放科学(资源服务)标识码(OSID):

中图分类号:F204

文献标识码:A

文章编号:1001-7348(2019)08-0115-09

(责任编辑:胡俊健)