党的十九大报告指出,建设现代化经济体系,必须把发展经济的着力点放在实体经济上。发展实体经济,重点在制造业,难点在制造业,出路也在制造业。目前,我国制造业正面临国际竞争加剧和国内资源环境约束趋紧的双重挑战,迫切需要主动求变,推动创新转型与高质量发展,其中,技术创新是直接动力,绿色发展是必然要求。然而,绿色发展在短期内会对企业盈利产生一定影响,因此单靠市场机制难以推动制造业绿色发展,需要加强环境规制,既包括通过政府行政手段限制企业排污行为的正式环境规制,也包括提高公众环保参与意识、加强公众监督和污染企业曝光等非正式环境规制。无论是从国际经验还是从我国资源、环境承载力现状看,对制造业加强环境规制十分必要。在认识到这点后,还有必要明确环境规制对制造业结构的影响,从而力图做到环境规制有的放矢。如环境规制是否能倒逼技术创新进而促进制造业结构优化?正式与非正式两种环境规制对制造业结构优化的影响有何差异?二者分别在什么情况下效果更好?环境规制对制造业结构优化的影响是否存在区域差异性?如果存在又如何进行差异化规制?本文试图探究以上问题并找到答案,以期为实施环境规制、倒逼制造业结构优化提供依据与参考。
现有文献主要集中于探讨环境规制、技术创新与产业结构优化的关系,鲜见探讨环境规制对制造业结构优化的影响。由于环境规制的重点领域是制造业,因此研究环境规制对制造业结构优化的影响更具意义。在回顾与分析环境规制、技术创新与产业结构优化关系及机理的基础上,以制造业结构优化为对象,提出相关研究假设。
在新古典经济学理论背景下,早期的一些经济学家认为,环境规制会增加企业生产成本,使企业利润水平下降,由此影响整个行业和宏观经济发展。而“波特假说”[1]认为,环境规制虽然在短期内会导致企业成本增加,但长期来看,企业为了减轻环境规制带来的不利影响,必然会加大技术投入和管理创新力度,从而促进企业竞争力提高,结果有利于促进产业结构优化升级。近年来的文献研究大多支持环境规制促进产业结构优化的观点。环境规制是促进产业结构优化的新兴动力,结合我国现阶段经济发展状况,正式环境规制在促进产业结构优化过程中的倒逼作用显著[2],而非正式环境规制因尚未建立健全相关机制,对推动产业结构优化的作用有限[3]。原毅军和谢荣辉[4]认为,只有使正式环境规制与非正式环境规制两方面共同发挥作用,才能有效形成推动产业结构优化的倒逼机制。环境规制通过微观作用机制促进产业结构优化的机理,可以从以下方面解释:第一,环境规制会使企业认清技术改进方向和未来投资方向;第二,环境规制可以提升企业环保意识并促进资源节约;第三,环境规制可以给企业带来创新压力;第四,环境规制可以改变企业竞争环境、推动质量竞争。据此,提出以下研究假设:
H1:环境规制对制造业结构优化具有正向影响。
环境规制通过提高企业排污成本倒逼企业减少排污量,但这种方式会使企业生产成本骤然增加,从而造成企业技术研发投入资金受到挤兑,抑制企业技术创新行为[5],削弱企业竞争力[6],且这种抵消效应在污染密集型行业更为显著[7]。蒋伏心等[8]认为,环境规制虽然会在短期内使企业生产成本上升,但一味增加排污支出不符合利润最大化原则,所以企业会采取相应措施控制污染排放,而技术创新正是最好的解决方式。企业通过技术创新、生产技术改进提高生产效率,由此带来的利润可以补偿增加的污染费用,实现利润获取最大化[9-11]。技术创新是推动产业结构优化的根本动力[12-13],企业通过技术创新能改进生产技术、提高生产效率[14],优化资源配置和投入要素结构[15],推动产业结构从要素驱动向创新驱动方向演进[16],有利于产业迈向全球价值链中高端[17]。总之,无论是政府的正式环境规制,还是基于公众环保意识的非正式环境规制,在短期内都会在一定程度上增加企业生产成本。因此,企业为了实现利润最大化,或者通过大力开发新产品或改造升级原有设备以提高生产效率,或者通过采用绿色生产技术降低污染排放,这些都需要加大技术创新投入力度。从总体上看,合理的环境规制能够刺激企业技术创新,并由此促进资源优化配置和产业结构优化。据此,提出以下研究假设:
H2:技术创新在环境规制对制造业结构优化的作用中发挥中介效应。
我国不同省市由于制造业发展情况不同,环境污染特征也不尽相同[18]。因此,结合各区域经济发展水平、资源禀赋条件与技术创新水平,制定不同的环境规制政策很有必要。一般来说,不同的环境规制强度对区域技术创新能力的影响存在差异[19],其通过技术创新对制造业结构优化的影响也存在差异。在经济发展水平高、区域创新能力强的地区实施严格的环境规制,有助于推动区域创新能力提高倒逼产业结构优化[20];在经济欠发达、创新能力薄弱的地区实施较严格的环境规制,会抑制区域创新能力发展,从而阻碍制造业产业结构优化[21]。因此,有必要根据各区域发展特征,研究环境规制对产业结构优化的不同影响[22-23]。由于区域经济发展水平和技术创新能力等方面的差异,环境规制会对产业结构优化产生差异化影响,为此本文基于东部、中部、西部及东北的区域划分方式,探讨差异化影响问题。据此,提出以下研究假设:
H3:环境规制通过技术创新路径对制造业结构优化的影响存在区域差异性。
2.1.1 被解释变量
制造业结构优化是产业结构动态变化的过程,体现为横向和纵向两个维度的同时优化,其中,横向是指结构合理化,纵向是指结构高级化,本文将从这两个方面对制造业结构优化程度进行衡量。
(1)制造业结构合理化(INDHL)。制造业结构合理化是指制造业各行业投入产出的聚合质量,反映为制造业各行业资源要素投入配置结构与最终产出结构的协调关系。由于实际生产中制造业各行业重要程度不同,本文借鉴干春晖等[24]的做法,采用泰尔指数衡量制造业结构合理化。具体测算公式如下:
![]()
(1)
式(1)中,INDHL表示制造业泰尔指数,Y表示制造业行业产值,L表示制造业行业就业人数,i表示制造业行业,n表示制造业行业部门数。INDHL值越接近于0,表明制造业结构发展越接近均衡状态,其结构更加合理化。
(2)制造业结构高级化(INDGJ)。产业结构高度化是指产业内各行业生产效率和核心技术价值由低技术水平向高技术水平提升[25],进而实现结构升级的过程。本文从制造业产业内部角度出发,参照韩国李贤珠[26]的分类方法,采用高端技术制造业产值和中端技术制造业产值之比(INDGJ1)以及高端技术制造业产值和中低端技术制造业产值之比(INDGJ2)两种测度方法衡量制造业结构高级化。
2.1.2 解释变量
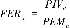
(1)正式环境规制(FER)。从现有文献看,正式环境规制的衡量方法大致分为3种:一是采用治理污染设施运行费用或单位产值的治理污染设施运行费[27-28];二是采用污染物治理投资或单位污染物治理投资额[17];三是采用地区人均收入水平[29]。其中,人均收入水平并不能全面反映一个地区的正式环境规制强度,并且治理工业污染的设施运行费用和工业污染物治理量等相关数据近年已不再公布,所以基于数据的连续可得性,本文采用单位工业污染物的治理投资额衡量正式环境规制。具体测算公式如下:
![]()
(2)
式(2)中,i表示省(市),t表示年份,FERit表示i省(市)在t年的正式环境规制强度,PIVit表示i省(市)在t年的工业污染治理投资总额,PEMit表示i省(市)在t年的工业总污染物排放量。单位工业污染物治理投资额(FERit)越高,表明正式环境规制强度越大。
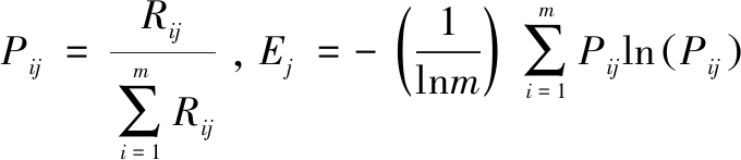
(2)非正式环境规制(IER)。非正式环境规制的核心思想在于公众环保参与意识对环境污染具有规制效用。正式环境规制更多强调从宏观角度利用政府力量对环境污染进行规制。然而,政府管制更多体现在大企业层面,对地区中小企业的污染行为缺乏有效规制手段[21]。在这种情况下,基于公众环保参与意识的非正式环境规制作为正式环境规制的补充,显得尤为重要。公众环保参与意识水平是一个综合性指标,不能片面地用单一指标衡量。本文综合现有文献,选取地区收入水平、受教育程度、人口密度、年龄结构为衡量指标。①地区收入水平。一个地区经济发展水平高,该地区民众对居住环境的要求也高,其环保参与意识也就越强,公众对当地污染事件的关注度和监督力度也就越大,本文用城镇在岗职工平均工资衡量地区收入水平;②受教育程度。居民受教育程度越高,其环保参与意识越强,公众对污染事件的抵制也就越强烈,本文用各地区就业人员中大专以上学历人员比重衡量地区受教育程度;③人口密度。地区人口密度越大,遭受环境污染的人数就越多,也会有更多人参与环境保护活动,本文用城市人口密度衡量;④年龄结构。一般而言,年轻人的环保意识比其它年龄段人群的环保意识更强烈,本文采用地区15岁以下人口占地区总人口比重作为年龄结构的代理变量。对上述4个单项指标采用改进的熵值法[30],构建非正式环境规制水平的综合测量方法,步骤如下:
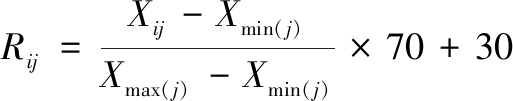
第一步,对4个单项指标进行线性标准化处理,消除指标量纲,同时将无量纲化结果进行平移,避免出现负值或极端值,使各指标数据介于30~100之间。
![]()
(3)
式(3)中,Rij表示标准化后的指标值,i为年份,j为非正式环境规制指标,Xij表示各单项指标的初始值,Xmax(j)和Xmin(j)分别表示各省市第j项指标在第i年的最大值与最小值。
第二步,计算指标值Rij的特征比重Pij,确定第j个单项指标的熵值Ej。

(4)
第三步,计算指标值Rij的差异性系数Dj。Dj值越大,表明第j项指标的重要性越突出,进一步计算得出各指标的熵权值Wj。
![]()
(5)
第四步,计算各省市第i年的非正式环境规制水平。
![]()
(6)
(3)技术创新(INNO)。技术创新作为内在动力,驱动产业结构由不合理向合理、低级向高级演化,这也是环境规制影响制造业结构优化的传导路径。创新产出成果是反映地区技术创新水平的重要标准,本文采用地区千人拥有的授权发明专利数作为地区技术创新水平的衡量指标。
2.1.3 控制变量
①贸易开放程度(TRADE)。根据当年人民币兑美元的平均汇率,采用各地区进出口总额占地区生产总值的比重衡量;②外资参与度(FDI)。根据当年人民币兑美元的平均汇率,采用实际利用外商投资额占地区生产总值的比重衡量;③政府干预力度(GOVERN),采用各地区政府财政支出占地区生产总值的比重衡量;④产业规模(SCALE),采用全社会固定资产投资总额占地区生产总值的比重衡量;⑤市场化程度(MARKET),采用非国有工业总产值占全部工业总产值的比重衡量;⑥人力资本水平(HUM),采用地区高等学校在校人数占年末常住人口数的比重衡量。
首先,探讨正式环境规制和非正式环境规制能否通过技术创新路径推动制造业结构优化。将正式环境规制(FER)、非正式环境规制(IER)、技术创新(INNO)作为核心解释变量,将影响制造业结构优化的其它因素,如贸易开放程度(TRADE)、外资参与度(FDI)、政府干预力度(GOVERN)、产业规模(SCALE)、市场化程度(MARKET)和人力资本水平(HUM)等6个指标作为控制变量,纳入计量模型,考察有关变量对制造业结构优化的影响。建立基本静态面板模型,如式(7)-式(9)所示。
INDHLit=λi+γt+α1FERit+α2IERit+α3INNOit+β1TRADEit+β2FDIit+β3GOVERNit+β4SCALEit+β5MARKETit+β6HUMit+εit
(7)
INDGL1it=πi+φt+α1FERit+α2IERit+α3INNOit+β1TRADEit+β2FDIit+β3GOVERNit+β4SCALEit+β5MARKETit+β6HUMit+τit
(8)
INDGL2it=ωi+υt+α1FERit+α2IERit+α3INNOit+β1TRADEit+β2FDIit+β3GOVERNit+β4SCALEit+β5MARKETit+β6HUMit+ζit
(9)
其次,由于技术创新在环境规制倒逼制造业结构优化过程中发挥传导路径的作用,因此引入正式环境规制和技术创新的交互项、非正式环境规制与技术创新的交互项,考察两种环境规制通过技术创新中介效应对制造业结构优化的影响。建立以技术创新为中介变量的静态面板模型,如式(10)-式(12)所示。
INDHLit=λi+γt+α1FERit*INNOit+α2IERit*INNOit+α3INNOit+β1TRADEit+β2FDIit+β3GOVERNit+β4SCALEit+β5MARKETit+β6HUMit+εit
(10)
INDGL1it=πi+φt+α1FERit*INNO+α2IERit*INNO+α3INNOit+β1TRADEit+β2FDIit+β3GOVERNit+β4SCALEit+β5MARKETit+β6HUMit+τit
(11)
INDGL2it=ωi+υt+α1FERit*INNO+α2IERit*INNO+α3INNOit+β1TRADEit+β2FDIit+β3GOVERNit+β4SCALEit+β5MARKETit+β6HUMit+ζit
(12)
最后,考虑到变量内生性问题,前期的制造业结构调整会对后期结构产生影响。因此,在式(10)-式(12)中加入滞后一期的制造业结构优化变量,建立动态面板回归模型,如式(13)-式(15)所示,以控制历史条件对变量自身变化的影响,从而提高实证估计结果的准确性。
INDHLit=λi+γt+α1FERit-1*INNOit+α2IERit*INNOit+α3INNOit+β1TRADEit+β2FDIit+β3GOVERNit+β4SCALEit+β5MARKETit+β6HUMit+εit
(13)
INDGL1it=πi+φt+α1FERit-1*INNO+α2IERit*INNO+α3INNOit+β1TRADEit+β2FDIit+β3GOVERNit+β4SCALEit+β5MARKETit+β6HUMit+τit
(14)
INDGL2it=ωi+υt+α1FERit-1*INNO+α2IERit*INNO+α3INNOit+β1TRADEit+β2FDIit+β3GOVERNit+β4SCALEit+β5MARKETit+β6HUMit+ζit
(15)
其中,i表示不同省市,t表示不同年份,λi、πi、ωi为地区非观测效应,γt、φt、υt为时间非观测效应,εit、τit、ζit为随机误差项。
基于数据有效性、可得性以及统计口径前后一致性,选取2005-2016年中国30个省市(未包括西藏、香港、澳门和台湾地区)的面板数据进行研究。数据主要来源于《中国统计年鉴》、《中国环境统计年鉴》、《中国劳动统计年鉴》、国研网统计数据库、国家统计局以及各省市统计年鉴,各省市所选取的制造业企业均为规模以上工业企业。部分指标个别年份的缺失数据采用插值法进行补充完善。此外,由于发布了新版本的国民经济行业分类标准,导致制造业细分行业在2012年后有所变化,为保持统计口径的一致性,将制造业数据进行必要调整,最终形成29个制造业细分行业。
采用Stata13.0软件,从全国、区域两个层面运用不同估计方法,对我国30个省市2005-2016年的面板数据进行实证研究。
根据式(2),通过测算,中国30个省市的正式环境规制水平值如表1所示。
根据式(3)-式(6),通过测算,中国30个省市的非正式环境规制水平值如表2所示。由表2可以看出,东部地区整体的非正式环境规制水平比中部、西部及东北地区高,原因在于东部地区经济较发达,人均收入水平和受教育程度高于其它地区,同时,人口密度也是全国最高的地区;中部和西部的非正式环境规制水平相差不大,公众具有环境保护意识;东北地区的非正式环境规制水平整体上落后于其它区域,表明公众参与环境保护的意识较为薄弱。
表1 中国30个省市及地区正式环境规制测度值
省份2005200820122016省份2005200820122016北 京7.743 18.234 73.188 410.754 2内蒙古0.791 15.491 43.272 86.510 5天 津5.966 37.672 05.990 85.103 6广 西0.695 30.708 90.721 62.191 9河 北1.784 61.458 11.403 62.288 9重 庆0.451 11.403 41.131 70.959 8上 海1.648 22.348 22.386 210.03 7四 川1.551 91.642 01.328 61.347 0江 苏1.288 81.482 81.583 33.422 4贵 州2.997 45.792 83.980 61.753 3浙 江1.022 80.724 31.572 94.018 3云 南1.793 92.502 93.348 41.950 1福 建2.563 41.071 22.083 22.676 9陕 西2.673 31.949 25.984 73.953 1山 东4.076 84.440 33.317 85.924 3甘 肃3.487 76.028 78.143 94.707 5广 东1.578 81.847 71.462 21.754 4青 海0.564 01.321 71.030 63.673 3海 南0.501 30.607 56.146 92.631 4宁 夏0.799 24.191 43.538 011.567 9-----新 疆2.058 23.504 12.099 04.754 0东部均值2.817 42.988 72.913 54.861 1西部均值1.623 93.139 73.143 63.942 6山 西4.559 49.211 44.184 34.494 1辽 宁3.201 62.036 51.042 81.732 4安 徽0.670 91.545 61.607 14.751 8吉 林1.179 82.245 61.154 42.388 6江 西1.184 70.658 70.499 31.058 3黑龙江0.942 22.189 40.607 14.394 9河 南1.593 31.723 10.971 44.489 1-----湖 北1.539 71.634 91.500 54.217 7-----湖 南1.122 01.484 71.705 11.611 0-----中部均值1.778 32.709 71.744 63.437 0东北均值1.774 52.157 20.934 82.838 6
资料来源:根据历年《中国统计年鉴》、《中国环境统计年鉴》、国研网等相关数据计算整理得出
表2 中国30个省市及地区非正式环境规制测度值
省份2005200820122016省份2005200820122016北 京0.056 60.054 30.051 80.047 0内蒙古0.028 70.026 50.027 40.027 0天 津0.039 60.040 70.040 50.039 8广 西0.029 0 0.029 10.028 50.031 3河 北0.030 10.029 20.029 70.031 2重 庆0.030 30.029 20.029 90.030 1上 海0.054 40.053 50.047 80.048 8四 川0.027 60.029 50.030 90.030 8江 苏0.034 00.031 00.031 10.031 3贵 州0.029 70.033 60.034 70.033 9浙 江0.037 80.032 80.030 90.031 9云 南0.029 00.031 90.033 80.032 7福 建0.030 50.030 70.032 10.033 6陕 西0.032 50.036 90.037 80.033 9山 东0.028 40.028 10.027 80.028 5甘 肃0.040 30.033 00.033 40.033 9广 东0.038 00.035 10.033 80.034 2青 海0.036 60.034 40.035 10.034 8海 南0.033 70.030 50.030 10.031 4宁 夏0.031 40.032 50.032 20.032 9-----新 疆0.030 00.037 50.038 00.037 1东部均值0.038 30.036 60.035 60.035 8西部均值0.031 40.032 20.032 90.032 6山 西0.031 20.031 60.032 30.033 2辽 宁0.031 10.031 10.025 60.024 9安 徽0.030 40.030 00.031 80.030 5吉 林0.027 20.026 50.028 60.026 9江 西0.032 30.034 30.036 20.036 7黑龙江0.026 00.031 40.032 40.032 2河 南0.037 70.036 40.036 00.036 4-----湖 北0.027 10.027 70.027 70.029 7-----湖 南0.028 80.031 20.032 00.033 7-----中部均值0.031 30.031 90.032 70.033 4东北均值0.028 10.029 70.028 90.028 0
资料来源:根据历年《中国统计年鉴》、《中国劳动统计年鉴》等相关数据计算整理得出
考虑到实际经济发展中,各变量之间或多或少存在不同程度的关联性,本文中的主要变量也可能存在双向因果关系。此外,制造业结构变迁往往有其自身内在惯性,前期调整会对后期产生一定影响,模型中被解释变量滞后一期的存在也会导致解释变量与扰动项相关,若这时再采用一般面板回归估计方法,得到的估计结果是有偏的,而系统广义矩估计(SYS-GMM)可以有效解决模型变量的内生性问题。因此,模型1-模型6基于全国层面,采用系统广义矩估计法进行回归估计,估计结果如表3所示。其中,模型1-模型3是未引入环境规制与技术创新交互项的估计结果,模型4-模型6是引入环境规制与技术创新交互项的估计结果。模型1-模型6中,Sargan检验的p值结果表明,接受“所有工具变量均有效”的原假设;AR(1)的P值均小于0.1,表明在10%的显著性水平下拒绝“不存在一阶自相关”的原假设,即变量之间存在一阶自相关;AR(2)的p值均大于0.1,表示接受“不存在二阶自相关”的原假设。Sargan检验P值与AR(1)、AR(2)的P值结果表明,选择的工具变量是合理的,模型识别有效。
表3 全国层面相关变量对制造业结构优化影响的估计结果(SYS-GMM)
模型变量模型1INDHL模型2INDGJ1模型3INDGJ2模型4INDHL模型5INDGJ1模型6INDGJ2FER-0.000 30.008 5∗∗∗0.003 9∗∗∗(0.000 8)(0.001 3)(0.000 8)IER-6.153 0∗∗∗12.280 0∗∗∗4.240 0∗∗∗(2.010 0)(2.124 0)(1.346 0)INNO-0.030 6∗∗∗0.227 0∗∗∗0.065 5∗∗∗(0.009 4)(0.020 0)(0.006 2)FER∗INNO-0.001 3∗∗∗0.017 5∗∗∗0.005 3∗∗∗(0.000 2)(0.000 7)(0.000 3)IER∗INNO-0.703 0∗∗∗4.705 0∗∗∗0.892 0∗∗∗(0.219 0)(0.387 0)(0.124 0)TRADE-0.004 2∗∗∗0.040 5∗∗∗0.010 1∗∗∗-0.005 66∗∗∗0.045 4∗∗∗0.011 8∗∗∗(0.000 8)(0.001 1)(0.000 6)(0.000 7)(0.000 9)(0.000 3)FDI5.178 0∗∗∗2.495 0∗∗∗1.636 0∗∗∗5.019 0∗∗∗3.297 0∗∗∗1.316 0∗∗∗(0.189 0)(0.527 0)(0.496 0)(0.306 0)(0.876 0)(0.491 0)GOVERN0.576 0∗∗∗0.733 0∗∗∗0.163 00.611 0∗∗∗0.277 0∗0.104 0(0.071 6)(0.195 0)(0.134 0)(0.089 7)(0.162 0)(0.097 9)SCALE -0.205 0∗∗∗0.289 0∗∗∗0.011 4-0.192 0∗∗∗0.248 0∗∗∗0.007 2(0.022 2)(0.045 9)(0.031 5)(0.023 6)(0.028 4)(0.031 3)MARKET0.224 0∗∗∗0.174 00.032 70.327 0∗∗∗0.006 10.063 3(0.043 2)(0.177 0)(0.134 0)(0.023 6)(0.144 0)(0.090 1)HUM-4.198 0∗∗39.790 0∗∗∗4.380 0∗∗-10.220 0∗∗∗51.350 0∗∗∗8.170 0∗∗∗(1.949 0)(4.662 0)(2.057 0)(1.846 0)(4.181 0)(1.453 0)被解释变量的滞后一阶0.606 0∗∗∗0.773 0∗∗∗0.985 0∗∗∗0.619 0∗∗∗0.700 0∗∗∗0.967 0∗∗∗(0.006 7)(0.015 7)(0.011 9)(0.011 5)(0.011 1)(0.009 7)Constant0.111 0-1.040 0∗∗∗-0.308 0∗∗∗-0.066 9∗∗∗-0.536 0∗∗∗-0.235 0∗∗∗(0.072 1)(0.107 0)(0.037 0)(0.022 0)(0.109 0)(0.050 1)AR(1)-2.454 2-2.320 7-2.221 4-2.424 2-2.479 9-2.234 9(0.013 6)(0.018 6)(0.026 3)(0.015 2)(0.013 3)(0.025 4)AR(2)0.57920.298 00.166 70.630 10.030 30.051 5(0.114 3)(0.765 7)(0.867 6)(0.103 1)(0.975 9)(0.959 0)Sargan检验26.477 022.962 221.397 928.404 424.482 423.444 9(1.000 0)(1.000 0)(1.000 0)(1.000 0)(1.000 0)(1.000 0)
注:①括号中数值为稳健标准误, *、**、***分别表示10%、5%和1%的显著性水平;②Sargan检验结果为过度识别的检验值,AR(1)、AR(2)分别表示一阶和二阶差分残差序列的Arellano-Bond自相关检验;③INDHL为负向指标
3.2.1 各变量对制造业结构优化的直接影响
(1)正式环境规制。从模型1的估计结果看,正式环境规制对制造业结构合理化产生一定正向影响但不显著,主要是因为正式环境规制更偏向推动制造业产业内部生产结构优化,对制造业产业间的投入产出协调度影响较小。从模型2和模型3的估计结果看,正式环境规制对制造业结构高级化具有显著正向影响。从企业层面看,虽然正式环境规制使生产过程中治污成本增加,但通过增加创新投入和调整生产行为,实现了生产技术革新和生产效率提升。从行业层面看,高技术水平制造业具备规模性和集约性,边际治污成本低;而中低技术水平制造业生产规模偏小,边际治污成本高,因此环境规制会导致中低技术制造业规模缩减,从而有利于制造业结构向高级化方向发展。综合模型1、模型2和模型3的结果看,假设H1得到较大程度支持。
(2)非正式环境规制。从模型1-模型3的估计结果看,非正式环境规制在1%的显著性水平下对制造业结构合理化、高级化均具有正向影响,假设H1得到支持。非正式环境规制综合指数每增加1%,模型1中的泰尔指数下降6.153%,即制造业结构合理化水平提高6.153%,模型2中制造业结构高级化水平提升12.28%,模型3中制造业结构高级化水平提升4.24%。一个地区居民收入水平越高、受教育程度越高、人口密度越大以及年龄结构越年轻,则该地区民众环保参与意识越强,对污染厂商进行监督、披露的意愿越强,以及由公众消费习惯改变带来的消费结构优化,都有利于倒逼企业改变生产方式和产品结构,减少污染排放,从而有利于制造业结构不断优化。
(3)技术创新。从模型1-模型3的估计结果看,技术创新在1%的显著性水平下对制造业结构合理化、高级化均有正向驱动效应。千人拥有的授权发明专利数每增加一项,模型1中的泰尔指数下降0.030 6%,即制造业结构合理化水平提高0.030 6%,模型2中的制造业结构高级化水平提升0.227%,模型3中的制造业结构高级化水平提升0.065 5%。技术创新作为经济增长的内生动力,在提高生产效率的同时,能加速生产要素在各产业间的流动,使资源配置趋向均衡,实现产业协调发展,推动制造业结构趋于合理化。高技术产业较中低技术产业更能实现核心技术创新与突破,推动价值链环节攀升,且能带动传统中低技术产业改造升级,使制造业结构趋于高级化。
(4)控制变量。贸易开放促进了制造业结构合理化和高级化。外资参与对制造业结构合理化具有负向影响,对制造业高级化具有正向影响;政府干预对制造业结构合理化存在抑制作用,对制造业结构高级化具有促进作用;产业规模扩大对制造业结构合理化和高级化均有正向作用;市场化水平提高对制造业结构合理化具有负向影响,对制造业高级化无显著影响;人力资本水平提升促进了制造业结构合理化和高级化。
3.2.2 环境规制通过技术创新中介效应对制造业结构优化的影响
从模型4-模型6的估计结果看,正式环境规制与技术创新交互项、非正式环境规制与技术创新交互项均在1%的显著性水平下,对制造业结构合理化、高级化具有正向促进作用,假设H2得到支持。这说明在制造业结构变迁过程中,正式环境规制、非正式环境规制分别与技术创新产生了良性交互驱动作用。正式环境规制通过提高生产厂商的排污成本倒逼厂商加强技术创新、改进生产技术、提高生产效率和减少污染排放,这种创新补偿效应能进一步推动制造业生产结构合理化、高级化。非正式环境规制通过对污染厂商的持续监督和污染事件的严厉曝光,以及公众消费意识与习惯改变形成绿色化、环保化消费结构,能够倒逼厂商提高技术创新能力、改进现有生产条件和提高水平,从而实现符合标准的绿色化生产。
我国不同区域经济发展水平、资源禀赋条件与技术创新水平均有较大差异,制造业发展状况也大不相同。根据总体样本回归得出的环境规制影响制造业结构优化的结论不一定适用于每个区域。为此,进一步针对东部、中部、西部及东北4个区域,以技术创新为中介变量,考察正式环境规制、非正式环境规制对各区域制造业结构优化的影响,以提高研究结论的针对性和适用性。由于区域样本数较少,采用静态面板模型进行估计,综合F检验和Hausman检验结果看,选择固定效应模型,估计结果如表4所示。
表4 区域层面相关变量对制造业结构优化影响的估计结果(固定效应)
模型变量模型7东部INDHL中部INDHL西部INDHL东北INDHL模型8东部INDGJ1中部INDGJ1西部INDGJ1东北INDGJ1FER∗INNO-0.001 2-0.002 4-0.014 40.009 50.042 7∗∗∗0.019 2-0.115 0∗∗∗0.114 0(0.003 0)(0.004 6)(0.009 5)(0.014 6)(0.011 9)(0.028 3)(0.021 0)(0.140 0)IER∗INNO0.010 4-0.901 0-1.935 0-1.890 02.478 021.740 0∗∗∗26.020 0∗∗∗18.130 0(0.762 0)(0.851 0)(1.452 0)(2.245 0)(3.067 0)(5.231 0)(3.228 0)(21.400 0)TRADE0.000 4-0.005 2-0.017 0-0.013 00.012 80.092 70.050 20.004 7(0.006 2)(0.010 5)(0.020 6)(0.011 6)(0.025 0)(0.064 4)(0.045 9)(0.111 0)FDI0.785 01.222 0∗∗-0.701 0-2.006 0∗∗∗-5.042 04.469 0-2.990 018.630 0∗∗∗(1.5150)(0.517 0)(0.945 0)(0.651 0)(6.098 0)(3.182 0)(2.101 0)(6.208 0)GOVERN1.249 0-0.466 0∗∗-0.259 00.610 0∗2.433 0-0.227 0-0.336 0-0.610 0(0.7990)(0.231 0)(0.193 0)(0.350 0)(3.216 0)(1.420 0)(0.428 0)(3.337 0)SCALE-0.996 0∗∗∗-0.131 0∗∗∗-0.164 0∗∗∗-0.066 10.635 00.884 0∗∗∗0.015 10.608 0(0.163 0)(0.037 5)(0.060 6)(0.068 3)(0.655 0)(0.231 0)(0.135 0)(0.652 0)MARKET2.404 0∗∗∗-0.128 0∗∗-0.092 9-0.327 0∗-7.795 0∗∗∗0.211 00.285 0-1.787 0(0.443 0)(0.057 8)(0.143 0)(0.187 0)(1.782 0)(0.356 0)(0.318 0)(1.783 0)HUM6.532 03.602 09.511 0∗∗-6.653 0-108.600 0∗∗∗-67.070 0∗∗∗-7.480 0-54.100 0(9.469 0)(2.480 0)(3.937 0)(4.850 0)(38.120 0)(15.250 0)(8.749 0)(46.240 0)Constant-1.350 0∗∗∗0.321 0∗∗∗0.307 0∗∗∗0.437 0∗∗∗9.480 0∗∗∗1.239 0∗∗∗0.966 0∗∗∗2.877 0∗∗∗(0.244 0)(0.036 8)(0.044 9)(0.060 4)(0.982 0)(0.226 0)(0.099 7)(0.576 0)R-squared0.444 00.904 00.449 00.857 00.666 00.808 00.482 00.501 0F统计量17.46∗∗∗15.57∗∗∗8.52∗∗∗15.13∗∗∗14.80∗∗∗125.58∗∗∗208.26∗∗∗188.41∗∗∗
注:①括号中数值为稳健标准误, *、**、***分别表示10%、5%和1%的显著性水平;②INDHL为负向指标
3.3.1 正式环境规制通过技术创新中介效应对各区域制造业结构优化的影响
从模型7和模型8的估计结果看,正式环境规制与技术创新的交互项对东部、中部和西部地区制造业结构合理化有一定正向作用,而对东北地区有一定负向作用,但影响均不显著。正式环境规制与技术创新的交互项对各区域制造业结构高级化的影响存在明显的区域差异。由此可见,假设H3得到支持。具体来看,正式环境规制与技术创新的交互项每增加1%,东部地区制造业结构高级化水平就上升0.042 7%,西部地区制造业结构高级化水平下降0.115%,且影响显著。主要原因是东部地区制造业基础雄厚、区域技术创新能力强,使得正式环境规制对区域技术创新的倒逼作用显著,厂商得到的创新补偿可以弥补排污成本和技术创新研发投入成本,从而促进区域制造业结构高级化。西部地区制造业不发达,技术创新能力也较低,创新补偿效应不足以弥补排污成本和技术创新研发投入成本,使得正式环境规制对区域技术创新能力具有抑制作用,造成制造业结构退化。在中部地区、东北地区,正式环境规制与技术创新的交互项对制造业结构高级化具有一定正向作用,但影响不显著,这一方面是由于中部和东北地区的正式环境规制强度低于东部,另一方面是由于区域技术创新能力偏弱。
3.3.2 非正式环境规制通过技术创新中介效应对各区域制造业结构优化的影响
从模型7和模型8的估计结果看,非正式环境规制与技术创新的交互项对东部地区制造业结构合理化具有一定负向作用,对中部、西部及东北地区具有一定正向作用,但影响均不显著;非正式环境规制与技术创新的交互项对各区域制造业结构高级化的影响存在显著区域差异。由此可见,假设H3得到支持。具体来看,非正式环境规制与技术创新的交互项每增加1%,中部地区制造业结构高级化水平将提高21.74%,西部地区制造业结构高级化水平提高26.02%,且影响显著。东部、东北地区非正式环境规制与技术创新的交互项对制造业结构高级化产生一定积极作用,但影响不显著。这主要是由于东部地区制造业结构已经呈现高端化发展,中西部地区制造业结构处于中低端,升级空间大;东北地区虽然传统工业基础雄厚,但技术创新动力不足,且公众参与环境保护的意识较为薄弱,非正式环境规制难以有效倒逼技术创新及推动制造业结构高级化。
为检验上述估计结果的稳健性,利用不同衡量指标以替换现有核心解释变量,如采用单位产值的污染排放值(FER1)替换单位工业污染物的治理投资额(FER),采用各地区生产总值中每千元中R&D经费支出占比(RD)替换地区千人拥有的授权发明专利数(INNO)。与上述实证过程相同,在全国层面采用系统GMM动态面板模型,估计结果如表5所示;在区域层面采用固定效应模型,估计结果如表6所示。从检验结果看,主要解释变量对制造业结构合理化、高级化的影响方向和显著性总体没有改变,仅仅是回归系数值有所差异,说明估计结果具有稳健性。
表5 全国层面制造业结构优化稳健性检验估计结果(SYS-GMM)
模型模型9模型10模型11模型12变量INDHLINDGJ2INDHLINDGJ2FER(FER1)-0.017 20.014 1∗∗∗(0.006 5)(0.004 3)IER-3.682 0∗∗∗1.419 0∗∗∗(2.568 0)(1.509 0)INNO(RD)-0.021 4∗∗∗0.0138 0∗∗∗(0.002 3)(0.001 3)FER∗INNO(FER1∗RD)-0.002 3∗∗0.002 0∗∗∗(0.001 0)(0.000 5)IER∗INNO(IER∗RD)-0.611 0∗∗∗0.326 0∗∗∗(0.058 0)(0.040 0)TRADE-0.003 5∗∗∗0.008 6∗∗∗-0.003 5∗∗∗0.007 8∗∗∗(0.000 7)(0.000 6)(0.000 7)(0.000 5)FDI5.596 0∗∗∗1.547 0∗∗∗6.469 0∗∗∗1.305 0∗∗(0.501 0)(0.478 0)(0.242 0)(0.531 0)GOVERN0.468 0∗∗∗0.402 0∗∗∗0.479 0∗∗∗0.455 0∗∗∗(0.140 0)(0.102 0)(0.161 0)(0.105 0)SCALE-0.184 0∗∗∗-0.004 8-0.174 0∗∗∗0.002 7(0.030 3)(0.024 9)(0.040 2)(0.021 0)MARKET0.265 0∗∗∗0.009 60.240 0∗∗∗0.043 6(0.074 7)(0.054 6)(0.060 5)(0.043 2)HUM1.919 05.373 0∗∗4.328 05.178 0∗∗∗(3.824 0)(2.310 0)(3.350 0)(1.552 0)被解释变量的滞后一阶0.505 0∗∗∗1.040 0∗∗∗0.492 0∗∗∗-0.418 0∗∗∗(0.027 2)(0.011 9)(0.006 7)(0.051 8)Constant0.116 0-0.418 0∗∗∗-0.084 1∗-0.391 0∗∗∗(0.107 0)(0.051 8)(0.045 5)(0.032 8)AR(1)1.768 5-2.098 2-1.647 4-2.125 0(0.077 0)(0.035 9)(0.089 6)(0.033 6)AR(2)-1.372 40.599 01.367 20.486 2(0.169 9)(0.549 2)(0.171 6)(0.626 9)Sargan检验25.072 222.486 023.107 826.267 4(1.000 0)(1.000 0)(1.000 0)(1.000 0)
注:①括号中数值为稳健标准误, *、**、***分别表示10%、5%和1%的显著性水平;②Sargan检验结果为过度识别的检验值,AR(1)、AR(2)分别表示一阶和二阶差分残差序列的Arellano-Bond自相关检验;③INDHL为负向指标
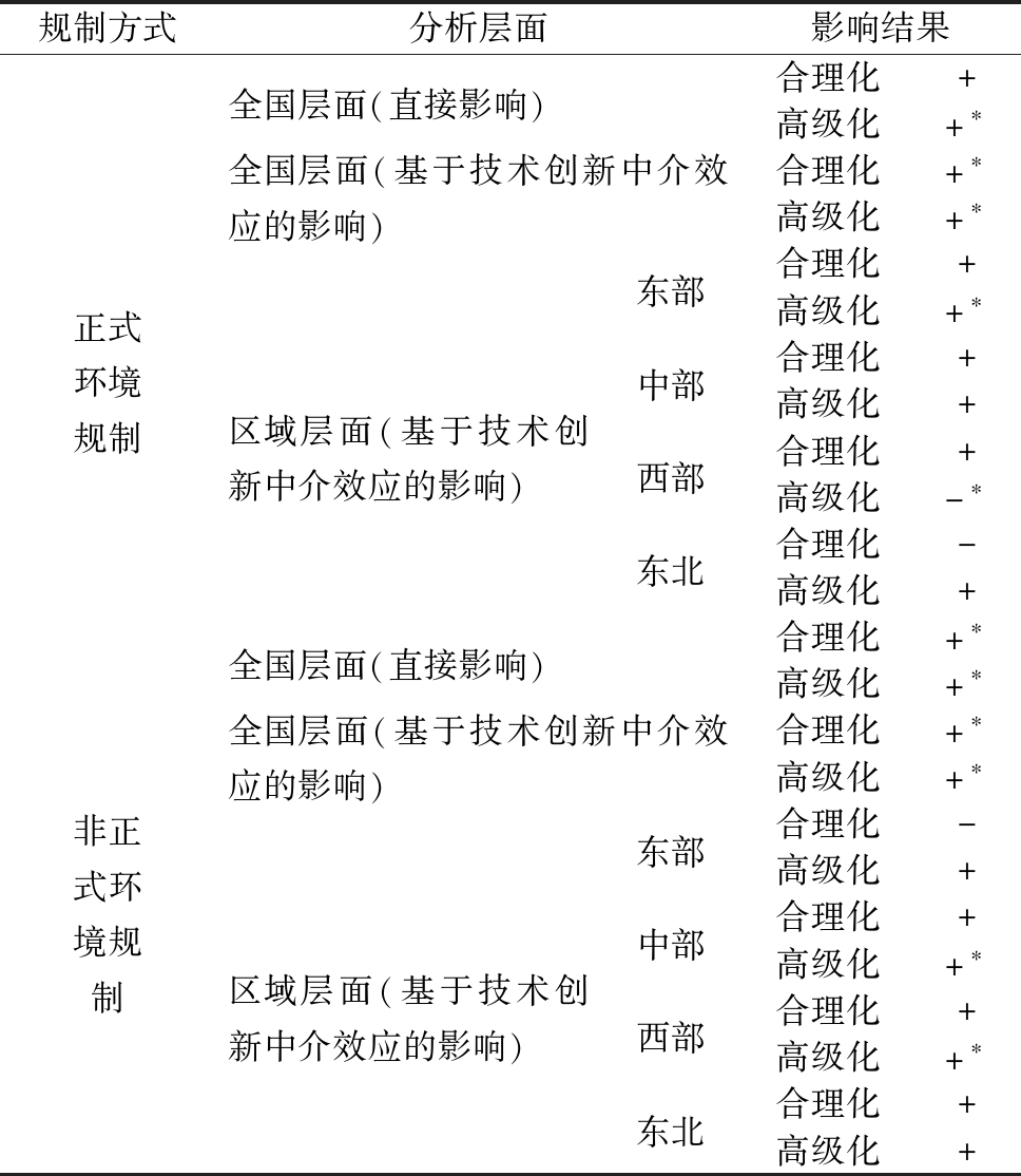
综合实证估计和稳健性检验结果,环境规制对制造业结构优化的影响可总结如表7所示。
本文利用中国30个省市(未包括西藏、香港、澳门和台湾地区)2005-2016年的面板数据,综合运用系统GMM模型和固定效应模型,以技术创新中介效应为研究视角,从全国、区域两个层面考察了正式、非正式环境规制对制造业结构优化的影响,并对实证估计结果进行了稳健性检验,得出以下结论:
(1)总体上环境规制对制造业结构优化具有正向促进作用。从全国层面看,正式环境规制虽然对制造业结构合理化没有产生显著影响,但在1%的显著性水平下对制造业结构高级化产生正向影响。同时,非正式环境规制在1%的显著性水平下对制造业结构合理化和高级化均产生正向影响。
(2)技术创新在环境规制倒逼制造业结构优化中发挥中介效应。从全国层面看,正式环境规制、非正式环境规制与技术创新的交互项均在1%的显著性水平下,对制造业结构合理化、高级化具有正向影响。这说明两种环境规制均能通过倒逼技术创新能力提升推动制造业结构优化。
(3)环境规制通过技术创新路径对制造业结构优化的影响存在区域差异性。从区域层面看,以技术创新为中介变量的分析发现,正式环境规制和非正式环境规制虽然对各区域制造业结构合理化无显著影响,但对各区域制造业结构高级化存在显著差异性影响。正式环境规制对东部地区制造业结构高级化具有显著正向作用,对西部地区具有显著负向作用,对中部、东北地区无显著影响。非正式环境规制对中部、西部地区制造业结构高级化具有显著正向作用,对东部、东北地区无显著影响。
表6 区域层面制造业结构优化稳健性检验估计结果(固定效应)
模型变量模型7东部INDHL中部INDHL西部INDHL东北INDHL模型8东部INDGJ2中部INDGJ2西部INDGJ2东北INDGJ2FER∗INNO-0.017 7-0.001 3-0.001 30.009 60.019 7∗∗∗0.000 8-0.000 2∗∗∗0.037 1(0.019 8)(0.000 7)(0.001 5)(0.004 9)(0.036 7)(0.002 8)(0.002 1)(0.023 9)IER∗INNO0.212 0-0.086 7-0.524 0-0.327 0∗0.233 00.037 7∗∗0.940 0∗∗∗1.746 0(0.1830)(0.081 3)(0.214 0)(0.181 0)(0.339 0)(0.318 0)(0.300 0)(0.885 0)TRADE0.000 2-0.007 3-0.021 3-0.010 8-0.013 40.001 00.040 2-0.013 9(0.005 9)(0.010 5)(0.020 6)(0.009 8)(0.010 9)(0.041 2)(0.028 8)(0.048 2)FDI0.229 00.757 0-0.818 0-1.952 0∗∗∗-4.649 0∗6.016 0∗∗∗-2.619 0∗10.470 0∗∗∗(1.430 0)(0.505 0)(1.009 0)(0.648 0)(2.651 0)(1.974 0)(1.412 0)(3.171 0)GOVERN1.270 0∗∗-0.476 0∗∗0.024 8-0.347 06.611 0∗∗∗1.222 0-0.436 03.141 0(0.601 0)(0.235 0)(0.208 0)(0.491 0)(1.114 0)(0.918 0)(0.291 0)(2.402 0)SCALE-0.953 0∗∗∗-0.077 2-0.195 0∗∗∗-0.043 2-0.564 0∗0.356 0∗-0.049 40.098 5(0.161 0)(0.046 7)(0.060 3)(0.063 8)(0.298 0)(0.183 0)(0.084 3)(0.313 0)MARKET2.351 0∗∗∗-0.261 0∗∗∗-0.213 0-0.150 0-2.929 0∗∗∗0.065 10.538 0∗∗∗-1.556 0∗(0.419 0)(0.085 1)(0.138 0)(0.161 0)(0.777 0)(0.333 0)(0.193 0)(0.787 0)HUM10.400 04.941 0∗8.056 0∗-9.797 0∗∗-53.060 0∗∗∗-21.580 0∗∗-6.044 0-18.800 0(9.382 0)(2.643 0)(4.495 0)(4.206 0)(17.390 0)(10.330 0)(6.290 0)(20.600 0)Constant-1.279 0∗∗∗0.384 0∗∗∗0.412 0∗∗∗0.468 0∗∗∗3.928 0∗∗∗0.395 0∗∗∗0.459 0∗∗∗1.616 0∗∗∗(0.217 0)(0.030 5)(0.041 4)(0.062 5)(0.402 0)(0.119 0)(0.057 9)(0.306 0)R-squared0.456 00.905 00.456 00.879 00.550 00.585 00.215 00.742 0F统计量11.48∗∗∗10.20∗∗∗4.37∗∗∗11.04∗∗∗29.18∗∗∗47.77∗∗∗193.95∗∗∗120.24∗∗∗
注:①括号中数值为稳健标准误, *、**、***分别表示10%、5%和1%的显著性水平;②INDHL为负向指标
表7 环境规制对制造业结构优化的影响
规制方式分析层面影响结果正式环境规制全国层面(直接影响)合理化+高级化+∗全国层面(基于技术创新中介效应的影响)合理化+∗高级化+∗区域层面(基于技术创新中介效应的影响)东部合理化+高级化+∗中部合理化+高级化+西部合理化+高级化-∗东北合理化-高级化+非正式环境规制全国层面(直接影响)合理化+∗高级化+∗全国层面(基于技术创新中介效应的影响)合理化+∗高级化+∗区域层面(基于技术创新中介效应的影响)东部合理化-高级化+中部合理化+高级化+∗西部合理化+高级化+∗东北合理化+高级化+
注:“+*”表示正向影响且显著,“+”表示正向影响但不显著;“-*”表示负向影响且显著,“-”表示负向影响但不显著
(1)协同加强正式、非正式环境规制,发挥二者互补效应。正式环境规制通过一系列政策性排污限制措施能有效约束大型制造业企业的污染行为,但对中小型制造业企业缺乏针对性的控制措施,这时需要非正式环境规制借助公众环保参与行为和非政府环保组织发挥作用,通过对污染厂商的持续监督和污染事件的严厉曝光等行动控制企业污染行为。只有注重区域正式环境规制与非正式环境规制的相互协调、相互补充,即在加强正式环境规制的同时,建立健全公众环保参与机制,发挥正式、非正式两种环境规制的互补效应,才能有效促进制造业创新转型和结构优化。
(2)加强环境规制与技术创新互动,利用技术创新的杠杆作用。由正式环境规制形成的企业排污成本内在化以及非正式环境规制形成的外在约束,都能倒逼厂商加强技术创新、改进生产技术和提高生产效率,从而提供符合标准和市场需求的产品。技术创新是环境规制作用于制造业结构优化的有效传导路径,政府应鼓励和支持企业开展技术研发活动,推动创新成果转化为实际生产力。当然,环境规制对企业技术创新的倒逼作用是适度的,过度的环境规制可能会抑制企业技术创新,造成制造业结构退化,尤其在经济发展水平落后地区。只有环境规制与技术创新实现良性互动,才能有效推动制造业结构优化。
(3)实施差异化环境规制,推动不同区域制造业结构协调发展。我国各区域制造业结构与技术创新能力差异明显。东部地区中高端制造业比例高,技术创新能力强,在提高环境规制强度的同时,应注重环境规制手段创新与正式、非正式环境规制的有效结合,以推动中高端制造业结构向合理化方向发展。中西部地区尤其是西部地区经济发展水平相对落后,制造业更多处于中低端水平,正式环境规制对技术创新的倒逼效应不明显,所以在适度实施正式环境规制的同时,要注重发挥非正式环境规制的作用,同时加大研发投入,提升自主创新能力,推动中低端制造业结构向高级化方向发展。东北地区制造业结构偏重化工、能源、原材料等行业,且公众参与环境保护的意识较为薄弱,所以正式环境规制依然是主要规制手段,要及时调整环境规制强度,提高公众环保意识,充分发挥技术进步作用,以服务化、信息化、开放化为切入点,努力突破制造业转型升级困境。
[1] PORTER M E, LINDE V D. Toward a new conception of the environment competitiveness relationship[J]. Journal of Economic Perspectives, 1995, 9(4): 97-118.
[2] 童健,刘伟,薛景.环境规制、要素投入结构与工业行业转型升级[J].经济研究,2016, 51(7): 43-57.
[3] 张江雪,蔡宁,杨陈.环境规制对中国工业绿色增长指数的影响[J].中国人口·资源与环境,2015, 25(1): 24-31.
[4] 原毅军,谢荣辉.环境规制的产业结构调整效应研究——基于中国省际面板数据的实证检验[J].中国工业经济,2014(8): 57-69.
[5] KNELLER R, MANDERSON E. Environmental regulations and innovation activity in UK manufacturing industries[J]. Resource and Energy Economics, 2012, 34(2): 211-235.
[6] ZHAO X, SUN B. The influence of Chinese environmental regulation on corporation innovation and competitiveness[J]. Journal of Cleaner Production, 2016, 112(4): 1528-1536.
[7] 余东华,胡亚男.环境规制趋紧阻碍中国制造业创新能力提升吗?——基于“波特假说”的再检验[J].产业经济研究,2016(2): 11-20.
[8] 蒋伏心,王竹君,白俊红.环境规制对技术创新影响的双重效应——基于江苏制造业动态面板数据的实证研究[J].中国工业经济,2013(7): 44-55.
[9] 臧传琴,张菡.环境规制技术创新效应的空间差异——基于2000—2013年中国面板数据的实证分析[J].宏观经济研究,2015(11): 72-83+141.
[10] KLEMETSEN M E, BYB B, RAKNERUD A. Can direct regulations spur innovations in environmental technologies? a study on firm-level patenting[J]. Scandinavian Journal of Economics, 2016, 120(2): 338-371.
[11] RAMANTHAN R, HE Q, BLACK A, et al. Environmental regulations, innovation and firm performance: a revisit of the Porter hypothesis[J]. Journal of Cleaner Production, 2017, 155(2): 79-92.
[12] 王海兵,杨蕙馨.创新驱动与现代产业发展体系——基于我国省际面板数据的实证分析[J].经济学:季刊,2016, 15(4): 1351-1386.
[13] 傅元海,叶祥松,王展祥.制造业结构变迁与经济增长效率提高[J].经济研究,2016, 51(8):86-100.
[14] THOMPSON M. Social capital, innovation and economic growth[J]. Journal of Behavioral and Experimental Economics, 2018, 73: 46-52.
[15] 陶长琪,周璇.要素集聚下技术创新与产业结构优化升级的非线性和溢出效应研究[J].当代财经,2016(1): 83-94.
[16] 蔡玉蓉,汪慧玲.创新投入对产业结构升级的影响机制研究——基于分位数回归的分析[J].经济问题探索,2018(1): 138-146.
[17] 时乐乐,赵军.环境规制、技术创新与产业结构升级[J].科研管理,2018,39(1): 119-125.
[18] 邱兆林,王业辉.行政垄断约束下环境规制对工业生态效率的影响——基于动态空间杜宾模型与门槛效应的检验[J].产业经济研究,2018(5): 114-126.
[19] 聂国卿,郭晓东.环境规制对中国制造业创新转型发展的影响[J].经济地理,2018, 38(7): 110-116.
[20] 谢荣辉.环境规制、引致创新与中国工业绿色生产率提升[J].产业经济研究,2017(2): 38-48.
[21] 卫平,余奕杉.环境规制对制造业产业结构升级的影响——基于省级动态面板数据的系统GMM分析[J].经济问题探索,2017(9): 144-152.
[22] 钟茂初,李梦洁,杜威剑.环境规制能否倒逼产业结构调整——基于中国省际面板数据的实证检验[J].中国人口·资源与环境,2015, 25(8): 107-115.
[23] HOU J, TEO T S H, ZHOU F, et al. Does industrial green transformation successfully facilitate a decrease in carbon intensity in China? an environmental regulation perspective[J]. Journal of Cleaner Production, 2018, 184: 1060-1071.
[24] 干春晖,郑若谷,余典范.中国产业结构变迁对经济增长和波动的影响[J].经济研究,2011, 46(5): 4-16+31.
[25] 唐晓华,刘相锋.能源强度与中国制造业产业结构优化实证[J].中国人口·资源与环境,2016, 26(10): 78-85.
[26] 李贤珠.中韩产业结构高度化的比较分析——以两国制造业为例[J].世界经济研究,2010(10): 81-86+89.
[27] 沈能.环境效率、行业异质性与最优规制强度——中国工业行业面板数据的非线性检验[J].中国工业经济,2012(3): 56-68.
[28] 刘家悦,谢靖.环境规制与制造业出口质量升级——基于要素投入结构异质性的视角[J].中国人口·资源与环境,2018, 28(2): 158-167.
[29] 陆旸.环境规制影响了污染密集型商品的贸易比较优势吗[J].经济研究,2009, 44(4): 28-40.
[30] 李梦洁,杜威剑.环境规制与就业的双重红利适用于中国现阶段吗?——基于省际面板数据的经验分析[J].经济科学,2014(4): 14-26.