技术创新与产业结构转型的地区经济增长效应
——基于动态空间杜宾模型的实证分析

李成刚1,2 1苗启香3

(1.贵州财经大学 大数据应用与经济学院;2.中国西部减贫与发展协同创新中心贵州 贵阳 550025;3.青岛理工大学 琴岛学院山东 青岛 226016)

选取2006-2016年中国内地30个省(市、区)数据,构建动态空间杜宾模型并结合中介效应模型,研究技术创新影响经济增长的直接效应,以及产业结构转型对经济增长的间接效应。研究结果发现:我国经济增长存在正向空间溢出效应;经济增长具有动态、积极的正向连续性特征。在直接效应方面,本地区技术创新对经济增长呈显著正向影响,而周边地区技术创新呈显著负向影响;产业结构合理化对经济增长呈显著负向影响,产业结构高级化呈显著正向影响;技术创新与产业结构转型融合缓解了产业结构合理化对经济增长的抑制程度,提升了产业结构高级化对经济的促进效果。在间接效应方面,产业结构转型是技术创新与经济增长的中间传导环节,产业结构合理化与产业结构高级化均为正向中介效应。本地区技术创新对经济增长的直接效应大于间接效应,周边技术创新对经济增长的直接效应小于间接效应。

关键词技术创新;产业结构转型;经济增长;动态空间杜宾模型

0 引言

技术创新是经济增长的动力与源泉,也是推动产业结构转型的核心动力。产业结构转型是实现经济可持续发展的核心要求和新兴产业崛起的有效途径 [1]。随着中国经济快速发展,依赖投资驱动的经济发展模式已显得“捉襟见肘”,重构经济增长动力机制、实现经济从传统粗放型向创新驱动型转变刻不容缓。因此,中国经济要实现从“中国制造”向“中国智造”转变,技术创新和产业结构转型“双支柱”的推动必不可少。然而,关于经济增长的核心动力是技术创新还是由技术创新推动的产业结构转型出现了两种不同的观点:一种观点认为,技术创新是经济增长的直接动力,通过加速创新和深化资本选择推动经济增长 [2];另一种观点认为技术创新驱动经济增长主要是通过优化产业结构转型,使产业结构趋于合理化和高级化进而提高企业生产效率、加快经济增长 [3, 4]。但是,对于推动经济增长的两种观点,目前并没有得到统一结论。鉴于此,技术创新是直接促进经济增长还是通过产业结构转型促进经济增长成为本文研究的重点问题。

本文针对上述问题进行以下研究:①就技术创新、产业结构转型对经济增长的直接效应和间接效应进行理论分析,研究技术创新与经济增长的直接关系以及技术创新通过产业结构转型对经济增长的间接作用关系;②以经济距离为权重,构建动态空间杜宾模型,研究经济增长在地区间是否存在相互带动关系,并结合中介效应模型,研究技术创新对经济增长的直接效应,以及技术创新通过推动产业结构转型促进经济增长的间接效应;③进一步根据直接效应和间接效应模型回归结果,对比技术创新直接促进经济增长与通过推动产业结构转型间接促进经济增长的差异化效应。

1 文献回顾与研究假设

1.1 技术创新与产业结构转型对经济增长的直接效应

技术创新是推动经济增长的核心动力,实质是通过提高生产技术从而提升企业生产效率,促进整个经济社会产出。技术创新对企业生产效率的提升主要体现在企业生产过程中促进资本要素和劳动要素的边际生产效率提高。本文进一步将技术创新划分为本地区技术创新和周边地区技术创新。本地区技术创新可以直接促进当地企业加快提升企业生产效率从而更快促进经济增长。最早的研究始于Cooper [5],他追溯了经济增长理论从工业革命到现在的演变,强调技术变革是最重要的增长动力。Koh [6]的研究表明,技术创新对墨西哥经济增长具有正向影响,来自国外技术知识的扩散效应对本国经济同样有积极影响。程郁和陈雪[7]采用随机前沿生产函数模型,实证检验了创新是否推动经济增长,检验结果发现高新区TFP增长率明显高于其所在省区水平,技术进步对高新区的经济增长贡献率为26.81%。Adak[8]研究了土耳其技术进步和创新对经济的作用,认为技术进步和创新对经济增长具有显著正向影响。Bujari&Francisco[9]研究了拉丁美洲国家技术创新与经济增长的关系,发现技术创新对地区经济增长具有积极影响。徐幼民和徐达实[10]认为技术创新通过加快资本积累速度提高经济增长速度,并且发展中国家的技术创新对经济增长的效应最显著。

本地区技术创新通过提高企业生产效率从而有利于经济增长,而周边地区技术创新对本地区的影响根据时间长短作用不同。在短期内,周边地区的技术创新会吸引本地区创新资金向周边地区扩散,从而影响本地区经济发展。长期来看,周边地区技术创新会产生创新溢出从而推动本地区经济发展。中国经济实现稳定增长30多年,周边地区技术创新对本期区经济增长的长期效应尚难以体现。因此,周边地区技术创新对本地区经济增长的影响主要体现在短期。马述忠等[11]选取中国内地31个省市2006-2012年的数据,运用空间杜宾模型,研究技术创新资源的影响因素及空间效应,结果表明周边地区技术发展水平会抑制本地区技术流入。Feki&Mnif[12]选取2004-2011年数据,对发展中国家技术创新与经济增长关系进行分析,结果表明,短期内技术创新不利于经济增长。李翔和邓峰[4]认为周边地区技术创新对本地区经济增长呈负向影响。因此,根据上述技术创新与经济增长的关系,提出研究假设:

H1a:本地区技术创新通过提升企业生产效率从而提高经济增长速度。

H1b:短期内周边地区技术创新导致本地区创新资金外流,不利于本地区经济增长。

除技术创新之外,产业结构转型也是经济增长的主要动力,许多学者围绕产业结构演进产生的资源再配置效应即结构红利对经济增长的影响进行研究。产业结构转型主要是产业向合理化和高级化转变,工业社会从一个阶段向另一个阶段跨越。产业结构合理化的实质是在生产过程中使资源投入更合理,通过要素合理投入推动经济发展。产业结构高级化的实质是不同经济发展阶段各种产业的重要程度。陈佳贵和黄群慧[13]认为工业结构升级需要技术集约化、高加工度,这样才能提高经济增长效率,如果产业结构没有达到全面优化,则未必能够提升经济增长效率。傅元海等[3]基于OECD制造业分类方法,将产业结构划分为产业结构高度化和产业结构合理化,运用系统广义矩估计(GMM)方法,研究了制造业结构变迁与经济增长效率的关系,结果表明,制造业结构高度化对经济增长效率呈显著负向影响,制造业结构合理化对经济增长效率呈显著正向影响。渠慎宁和吕铁[14]构建了两部门动态随机一般均衡模型,从工业和服务业融合角度析产业结构转型对经济的影响,结果表明,未来推进产业结构迈向中高端的过程中,只有保持工业和服务业均衡发展态势才能有效促进经济增长。因此,根据产业结构转型与经济增长关系,提出以下假设:

H2a:产业结构合理化不利于经济增长;

H2b:产业结构高级化有利于经济增长。

1.2 技术创新通过推动产业结构转型从而促进经济增长的间接效应

技术创新除直接促进经济增长外,还可以通过推动产业结构转型促进经济增长。技术创新推动产业结构转型主要表现在3个方面:①技术创新改变劳动力就业结构,推动劳动力资源在不同企业甚至不同行业之间流动,促进劳动力资源优化配置;②技术创新导致需求结构变化,推动产业结构升级;③技术创新提升产业联动性,促进产业供给链更加高效化。技术创新通过改善劳动力结构、需求结构和产业联动性,促进产业结构转型升级与优化,进一步推动经济增长。赵欣[15]选取2000-2014年我国内地30个省区市数据,采用动态面板数据模型,实证研究了技术创新能力、产业结构转型与经济增长的关系。实证结果表明,技术创新经费投入强度和人员投入强度都正向促进产业结构转型,进而推动经济增长。蔡跃洲和付一夫[16]认为创新驱动发展战略推动了各行业技术进步,是优化产业结构的重要途径,借助产业结构效应实现TFP增长是保证中国经济中高速增长、提高经济增长质量的重要支撑。李翔和邓峰[4]利用2005-2014年中国内地30个省(区、市)面板数据,研究了地区创新如何通过促进产业结构优化推动经济增长。结果表明,地区创新能力是促进区域经济增长方式转变的关键因素。韩晶和酒二科[17]采用Aghion创新模型,对创新通过产业结构调整影响经济增长的内在机理进行了理论分析,结果表明产业结构调整在创新与经济增长的关系中起中介作用。因此,根据技术创新通过产业结构转型促进经济增长的结论,提出以下假设:

H3a:技术创新通过产业结构转型对经济增长产生间接效应;

H3b:产业结构合理化和产业结构高级化均存在正向中介效应。

2 技术创新影响经济增长效率的理论分析

为了研究技术创新与产业结构转型对经济增长的影响,本文扩展了Feder[18]的“两部门划分法”。假设资本和劳动力资源可以在部门间相互转移,经济社会中存在两个部门——金融部门和实体企业部门,且两部门产出是由各自要素投入决定的。金融部门的主要功能是为企业部门的技术创新提供创新资金,促进企业部门生产效率提升,从而提高整个经济社会的产出水平。

设社会总产出Y=Yt+YiYt表示实体部门产出水平,Yi表示金融部门产出水平,分别表示如下:

Yt=AtF(Kt1,Kt2,Nk1,Nk2),Yi=AiF(Ki1,Ki2,Ni1,Ni2)

(1)

其中,AtAi分别表示实体部门生产技术水平与金融部门生产技术水平;Kt1Kt2分别表示实体部门中金融资本与普通资本投入;Ki1Ki2分别表示金融部门中金融资本与普通资本投入;Nt1Nt2分别表示实体部门中技术型劳动力与普通型劳动力数量;Ni1Ni2分别表示金融部门中技术型劳动力与普通型劳动力数量。

劳动力资源在部门或者行业间的转移受到工资水平影响,名义工资按照边际产出水平确定,工资差距是劳动力资源转移的重要原因。本文将劳动力资源转移分为行业内部转移和跨行业转移两种。当实体部门的技术型劳动力工资Wt1与非技术型劳动力工资Wt2相等时,劳动力资源不会发生转移;当实体部门的技术型劳动力工资Wt1大于非技术型劳动力工资Wt2时,劳动力资源从非技术型向技术型转移;当实体部门的技术型劳动力工资Wt1小于非技术型劳动力工资Wt2时,劳动力资源从技术型向非技术型转移。同理,金融行业的劳动力资源转移情况与实体行业一致。

借鉴于斌斌[19]的研究,假设实体部门中技术型劳动力工资Wt1和非技术型劳动力工资Wt2相等,即Wt1=Wt2;金融部门中非技术型劳动力工资Wi2与实体部门中劳动力工资相等,即Wt1=Wt2=Wi2;金融部门中技术型劳动力工资Wi1大于非技术型劳动力工资Wi2,即Wi1Wk1=Wk2=Wi2

当经济处于长期稳态均衡时,金融部门与实体部门的工资比例Q=Wi1/Wt1。若金融部门工资Wi1等于实体部门工资Wt1,劳动力资源不会发生转移;若金融部门工资Wi1大于实体部门工资Wt1,劳动力资源从实体部门向金融部门转移;若金融部门工资Wi1小于实体部门工资Wt1,劳动力资源从金融部门向实体部门转移。假设劳动力资源从实体部门向金融部门转移存在一定概率p1,则:

p1=[φ(Wi1/QWt1-1)]/[1+φ(Wi1/Wt1-1)]

(2)

其中,φ表示经济体系向长期均衡调整的速度。整理式(2),得:

Wi1=Wk1Q[1+(1/φ)(p1/(1-p1))]

(3)

结合实体部门中技术型劳动力工资Wt1等于非技术型劳动力工资Wt2,有:

Wi1=Wt1Q[1+(1/φ)(p1/(1-p1))]=Wt2Q[1+(1/φ)(p1/(1-p1))]

(4)

资源在部门或者行业间的转移主要受到资本价格影响,与劳动力资源在行业间的转移规律类似,即资源趋于向资本价格高的行业聚集。假设资源从实体部门向金融部门转移存在一定概率p2,则:

p2=[φ(Pi1/MPt1-1)]/[1+φ(Pi1/Pt1-1)]

(5)

进一步假设实体部门中普通资本价格Pk2等于金融资本价格Pk1和金融部门普通资源价格Pi2,则有:

Pi1=Pt1M[1+(1/φ)(p2/(1-p2))]=Pt2M[1+(1/φ)(p2/(1-p2))]

(6)

其中,M=Pi1/Pt1表示金融部门资本价格与实体部门资本价格之比。进一步研究劳动力和资本在实际国民收入中所占份额与经济增长率之间的关系,设实体部门所占总产出的比值为τ,则金融部门所占总产出的比值为1-τ,对整体产出水平Y求导可得:

(7)

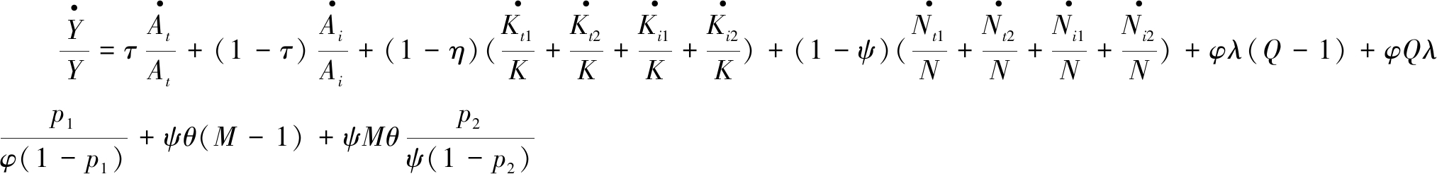
其中,总产出为Y=Yt+Yi,总劳动力资源为N=Nt+Ni,总资本投入量为K=Kt+Ki。令φ=Wt1N/Yλ=Ni2/Nη=(Wk1Nk1+Wk2Nk2+Wi1Ni1+Wi2Ni2)/Y,1-η=[r1(Kk1+Kk2)+r2(Ki1+Ki2)]/Yψ=Pt1N/Yθ=Ki2/Kσ=(Pt1Kt1+Pt2Kt2+Pi1Ki1+Pi2Ki2)/Y,1-σ=[r1(Nt1+Nt2)+r2(Ni1+Ni2)]/Y,则式(7)进一步整理可得:

(8)

由式(8)可知,经济增长动力主要由三部分构成:①技术创新效率②生产要素增长率③产业结构转型

3 研究设计

3.1 数据来源

选择2006-2016年中国内地30个省(市、区)数据为样本。由于西藏地区数据缺失较大,故研究样本不包含西藏地区。数据主要来源于《中国金融年鉴》、《中国财政年鉴》、国家统计局网站、中国统计信息网站和Wind数据库。

3.2 指标选取

3.2.1 被解释变量——经济增长(ED)

关于经济增长指标,目前学者们的选择都比较统一,选择人均实际GDP作为经济增长衡量指标。但是,实际GDP并没有现成的统计数据,需要通过折算得到。借鉴李成刚和杨兵[20]的研究,以2006年为定基,计算GDP平减指数,根据GDP平减指数得出实际GDP数据。

3.2.2 解释变量——技术创新(TI)

技术创新的衡量指标有两种:一种是李真[21]从技术创新产出角度,采用专利授权量衡量技术创新;另一种是谢兰云[22]从技术创新投入角度,采用研发支出R&D指标衡量技术创新。根据本文对技术创新与经济增长关系的理论阐述,企业生产效率提升与研发投入呈正相关关系。因此,本文从技术创新投入角度,借鉴赵欣[15]的研究,选择各地区R&D经费内部支出与地区生产总值比值衡量技术创新水平。技术创新不仅受到本地区技术创新的影响,而且受到周边地区技术创新的影响。因此,本文将技术创新划分为本地区技术创新(LTI)与周边地区技术创新(STI)。借鉴李翔和邓峰[4]的研究,周边地区技术创新选择技术创新当期值与空间权重矩阵的乘积刻画,本地区技术创新通常需要一定时间的转化和吸收后才能有效促进经济增长。因此,本地区技术创新水平选择技术创新的滞后一期来刻画。

产业结构转型是产业结构朝着合理化和高级化方向发展的过程。因此,本文从产业结构合理化和高级化两个维度研究产业结构转型。其中,产业结构合理化(RSP)衡量产业间资源有效利用水平。干春晖等 [23]采用泰尔指数研究产业结构变迁对经济增长的影响。但是,泰尔指数不能解决不同企业的异质性问题。因此,本文借鉴林春艳和孔凡超[1]的研究并加以改进,在保留原有形式的基础上,将各产业比重作为重要指标直接纳入产业结构合理化表达式中,如式(9)所示。

(9)

其中,RSP表示产业结构合理化;Yi表示第i个企业的产出水平;Li表示第i个企业的劳动力人数。若RSP值越大,则表示产业结构合理化水平越高;反之亦然。

产业结构高级化(AIS)用于衡量产业结构的优化升级状态。借鉴林春艳和孔凡超[1]、于斌斌[19]的研究,选择第三产业与第二产业比值衡量产业结构高级化水平。

3.2.3 控制变量

经济增长影响因素除了技术创新和产业结构转型之外,还有众多其它因素。从以往研究来看,大多从投资、贸易和政府等方面选择经济增长控制变量。本文选择4个控制变量:①外商直接投资规模(TSFDI)。借鉴邵汉华[24]的研究,选择各地区FDI占GDP的比重衡量;②人力资本(HC)。借鉴于斌斌[19]的研究,人力资本用人均受教育水平替代,采用(小学人数*6+初中人数*9+高中人数*12+大专以上人数*16)与总人数之比衡量;③投资水平(IL),选择全社会固定资产投资占GDP的比重衡量;④政府支出规模(CES)。借鉴景光正等[25]的研究,选择政府消费支出占GDP的比重衡量。

4 实证分析

4.1 空间自相关性检验

经济增长的Moran's I指数能解释经济增长的空间自相关性。2006-2016年中国各省(市、区)经济增长的Moran's I指数及统计量如表1所示。由表1可知,2006-2016年中国各省(市、区)经济增长的Moran's I指数在0.139 2~0.325 9之间波动,Moran's I指数都为正且通过显著性检验,意味着中国各省(市、区)经济增长存在显著的空间相关性。经济增长的Moran's I指数呈U型特征,2006-2011年经济增长的Moran's I指数从0.308下降到0.139 2,从2011年的0.139 2上涨到2016年的0.303 5,说明中国各省(市、区)经济增长在空间上不是随机的,而是具有一定变化规律的空间自相关性,在地理空间上呈现明显的聚集现象,因此基于空间性分析中国城市经济增长尤为重要。

4.2 动态空间计量模型选择

面板空间计量模型主要有空间滞后模型(SLM)、空间误差模型(SEM)和空间杜宾模型(SDM),一般是基于模型残差的拉格朗日乘子(LM-lag和LM-err)及其稳健性(Robust-LM-lag和Robust-LM- err))加以选择。但是,如果采用传统面板的判断方法选择模型,可能会出现偏差。Elhorst[25]提出了改进办法,对传统的ML方法进行改良。因此,在Elhorst[25]的基础上,本文借鉴于斌斌[19]、崔庆安等[26]的检验方法,对模型进行LM检验,结果如表2所示。由表2可知,在直接效应模型和间接效应模型中,SLM模型和SEM模型均通过了显著性检验。为了将两种模型的滞后性全部考虑在内,避免残差自相关对回归结果造成影响,选择空间杜宾模型(SDM)进行实证分析。

表1 2006-2016年经济增长的Moran 's I指数

时间莫兰指数Z值P值时间莫兰指数Z值P值20060.308 1∗∗∗3.406 80.000 920120.140 8∗∗2.377 70.002 920070.286 0∗∗2.884 50.003 920130.325 9∗∗∗3.209 30.001 320080.297 5∗∗2.973 90.002 920140.315 7∗∗∗3.122 50.001 720090.303 5∗∗∗3.008 90.001 620150.314 1∗∗∗3.100 10.001 220100.314 8∗∗∗3.100 10.001 920160.303 1∗∗∗3.108 10.001 020110.139 2∗∗2.302 90.002 1

注:***、**、*分别表示在1%、5%、10%水平下显著

表2 LM检验和稳健LM检验结果

LM testrobust LM test直接效应SLMZ值32.805 7P值0.000 0Z值12.152 6P值0.000 0模型SEMZ值88.480 7P值0.000 0Z值67.827 6P值0.000 0间接效应SLMZ值36.180 4P值0.000 0Z值13.395 8P值0.000 0模型SEMZ值100.261 1P值0.000 0Z值77.476 5P值0.000 0

4.3 动态空间计量模型构建

4.3.1 直接效应的动态空间计量模型

根据空间计量模型分析结果,空间杜宾模型更适合研究技术创新、产业结构转型与经济增长的关系。首先,构建静态空间杜宾模型:

(10)

各变量含义同上。空间权重设置通常采用(0,1)权重矩阵,相邻区域权重为1,不相邻区域权重为0。李婧等 [27]认为,空间相邻的权重标准选择不符合经济事实,是一种比较粗糙的选取方法,而经济空间权重同样包含了地理空间权重特征。进一步来看,本文主要研究技术创新对经济增长的作用效应,而经济增长采用人均实际GDP刻画。鉴于此,根据实际情况,选择更具全面性和符合本文研究的经济空间权重替代传统的(0,1)权重。经济空间权重构建如下:

(11)

其中,Wd为地理空间权重矩阵;为考察期内第i个地区的实际GDP均值;为考察期内实际的GDP均值。

根据于斌斌[19]的研究,经济增长滞后一期对经济增长呈显著正向影响。因此,进一步构建动态空间面板模型,研究技术创新、产业结构转型与经济增长的关系。

(12)

4.3.2 间接效应的动态空间计量模型

技术创新通过推动产业结构转型促进经济增长的间接效应动态空间杜宾模型如下:

(13)

ϑkW*Xit+μit

(14)

(15)

其中,Mit表示中介变量,包含产业结构合理化和产业结构高级化,其它变量含义同上。α1表示变量EDit-1的回归系数;σ表示W*EDit的回归系数;βiλiχi分别为解释变量系数;υk、ϑkψk分别为控制变量W*Xit的系数;μit表示模型误差项;W为空间权重矩阵;其余变量含义同上。

4.4 实证结果分析

4.4.1 直接效应回归结果

为了验证技术创新对经济增长的直接效应,分别构建静态空间杜宾模型和动态空间杜宾模型,研究技术创新和产业结构转型对经济增长的直接影响,回归结果如表3所示。由表3可知,静态和动态空间杜宾模型的系数符号与显著性基本一致,表明考虑地理距离和空间溢出效应是合适的。静态空间面板模型的空间溢出系数显著高于动态空间杜宾模型,说明静态空间杜宾模型高估了技术创新和产业结构转型对经济增长的促进效应。可能的原因是当考虑经济增长滞后一期后,将影响经济增长的一些潜在外部因素从空间结构因素(如经济环境、政策环境等)中分离出来。整体来看,所有模型的空间溢出系数都通过1%的置信度水平显著性检验,说明中国经济增长存在空间互动效应,邻近省(市、区)的经济增长对本地区经济增长具有促进作用。经济增长滞后一期(EDit-1)对经济增长的影响显著为正,说明当期经济增长与前一期经济增长密切相关,中国经济增长具有动态、积极的正向连续性特征。

表3 技术创新产业结构转型对经济增长的直接效应回归结果

模型(1)模型(2)模型(3)模型(4)静态(SDM)EDit-10.512 7∗∗∗0.212 7∗∗∗0.933 2∗∗∗0.954 3∗∗∗———(10.143 8)(12.143 8)(40.247 2)(48.385 2)LTI———0.996 5∗∗∗———0.623 8∗∗0.717 4∗∗(5.396 6)(2.260 8)(2.616 8)STI———-0.316 8∗∗———-0.426 3-0.097 2∗(-2.344 1)(-0.997 8)(-1.800 3)RSP——————-0.018 7∗∗-0.016 0∗∗∗-0.689 6∗∗∗(-2.752 0)(-5.393 3)(-3.032 2)AIS——————0.418 4∗∗0.807 1∗∗2.702 5∗∗(2.669 9)(2.538 5)(2.696 1)LTI∗RSP—————————15.906 121.319 6(1.023 6)(0.831 8)LTI∗AIS—————————5.616 7∗∗7.017 1∗∗∗(2.270 3)(5.545 0)STI∗RSP—————————10.503 011.786 5∗(1.231 9)(1.971 5)STI∗AIS—————————0.684 3∗∗∗3.503 3∗(3.976 2)(1.973 6)TSFDI0.000 3∗∗0.155 5∗∗0.011 3∗∗∗0.000 9∗∗0.006 8∗(2.591 3)(2.032 3)(3.393 0)(2.335 6)(1.776 8)HC0.001 9∗∗0.032 2∗∗0.003 1∗∗0.009 9∗∗2.140 1∗∗∗(2.648 4)(2.745 9)(2.147 9)(2.006 5)(10.523 0)FT0.012 7∗∗0.018 3∗∗∗0.006 5∗∗∗0.069 0∗∗∗0.576 0(2.054 0)(4.624 2)(2.971 6)(8.352 1)(1.481 7)CES-0.009 7∗∗∗-0.069 6∗∗∗-0.018 0∗∗∗-0.009 9-1.786 5∗∗(-0.819 1)(-8.726 3)(-3.283 7)(-1.006 5)(-1.971 5)σ0.113 0∗∗∗0.004 0∗∗∗0.163 6∗∗0.072 1∗∗∗0.299 9∗∗∗(4.993 1)(3.737 5)(2.196 3)(16.370 6)(4.305 2)Log-L998.420 6813.869 61004.642 71052.063 5320.676 8R20.906 90.916 80.925 30.943 60.615 2

注:①***、**、*分别表示1%、5%、10%水平下显著;②( )内的数值表示Z值;③“——”表示无内容(下同)

具体地,从模型(1)可知,控制变量能解释90.69%的经济增长波动,且所有控制变量在样本期内都通过了显著性检验。因此,本文选取的控制变量在解释经济增长方面都是有效的。模型(2)检验了技术创新对经济增长的直接效应,由回归结果可知,本地区技术创新(LTI)和周边地区技术创新(LTI)对经济增长在5%的置信度水平下都通过了显著性检验,但作用机制截然相反。本地区技术创新对经济增长呈显著正向影响,周边地区技术创新对经济增长呈显著负向影响,说明当前经济增长的主要动力来源于本地区技术创新水平,而周边地区技术创新抑制了本地区经济增长。可能的原因是,随着区域经济一体化,各地区经济联系越来越紧密,周边地区技术创新水平的提高导致本地区创新资源向周边地区流动,从而阻碍了本地区创新水平提高,不利于本地区经济增长。

模型(3)检验了产业结构转型对经济增长的直接效应。由回归结果可知,产业结构合理化(RSP)与产业结构高级化(AIS)对经济增长在5%的置信度水平下都通过了显著性检验,但作用机制截然相反。产业结构合理化对经济增长呈显著负向影响,产业结构高级化对经济增长呈显著正向影响,说明经济增长动力从产业结构合理化向产业结构高级化转变。可能的原因是,传统经济增长动力是通过高投入、高产出实现的,随着经济发展,经济增长转变为由创新驱动从而带动经济发展。因此,产业结构合理化释放出的结构红利不足以推动当前中国经济高速增长,而产业结构高级化能有效促进经济增长。

模型(4)引入技术创新与产业结构转型的交互项,同时考虑技术创新和产业结构转型。由回归结果可知,产业结构合理化(RSP)对经济增长的抑制作用减小,回归系数从模型(1)中的0.018 7减小到0.016 0。产业结构高级化(AIS)对经济增长的促进效果增强,回归系数从模型(1)中的0.418 4增加到0.807 1。与此同时,当考虑产业结构转型时,周边地区技术创新对经济增长的抑制作用从显著变为不显著,说明同时考虑技术创新和产业结构转型更有利于经济增长。本地区技术创新和产业结构合理化的交互项(LTI*RSP)对经济增长呈正向影响,但是影响效果不显著,说明产业结构合理化对经济增长的抑制作用可以通过提升本地区技术创新水平来缓解。本地区技术创新和产业结构高级化的交互项(LTI*AIS)对经济增长呈显著正向影响,说明本地区技术创新推动了产业结构高级化对经济增长的促进作用。周边地区技术创新和产业结构合理化的交互项(STI*RSP)对经济增长呈正向影响,但是影响效果不显著,说明周边地区技术创新和产业结构合理化相结合缓解了周边地区技术创新、产业结构合理化对经济增长的抑制程度。周边地区技术创新和产业结构高级化的交互项(STI*AIS)对经济增长呈显著正向影响,说明周边地区技术创新和产业结构高级化相结合缓解了周边地区技术创新对经济增长的抑制作用,提升了产业结构高级化对经济增长的促进效果。

控制变量方面:①外商直接投资规模(TSFDI)对经济增长的影响显著为正,说明外商直接投资有利于经济增长;②人力资本(HC)投入和投资规模(IL)对经济增长的影响都通过了1%置信度水平检验,说明人力资本积累和投资规模扩大有利于提高经济增长速度;③政府支出规模(CES)对经济增长呈显著负向影响,说明政府支出水平不利于地区经济增长。

从直接效应回归结果看,验证了H1和H2,即本地区技术创新对经济增长呈显著正向影响,周边地区技术创新对经济增长存在显著负向影响;产业结构合理化对经济增长具有显著负向影响,产业结构高级化对经济增长呈显著正向影响。

4.4.2 间接效应回归结果

为了验证技术创新通过产业结构转型促进经济增长的间接效应,分别构建了6个动态空间杜宾模型,考察产业结构的中介效应。由模型(5)可知,本地区技术创新与周边地区技术创新对经济增长影响显著,根据中介效应存在性的判断准则,技术创新对经济增长存在中介效应。模型(6)中,本地区技术创新(LTI)对产业结构合理化(RSP)的影响显著为正,说明地区技术创新水平提升有助于推动产业结构合理化发展。周边地区技术创新(STI)与产业结构合理化(RSP)呈负向影响关系,但是影响效果不显著。模型(7)中,本地区技术创新(LTI)和周边地区技术创新(STI)对产业结构高级化(AIS)呈显著正向影响,说明提高技术创新水平有利于促进产业结构高级化。

模型(8)将产业结构合理化(RSP)引入基准模型(5)。本地区技术创新(LTI)的回归系数χ1=0.141 1,小于模型(5)中的回归系数β1=0.996 5,根据中介效应存在性的判断准则,技术创新对经济增长存在正向中介效应,说明本地区技术创新对经济增长呈显著正向影响,产业结构合理化对经济增长具有正向中介效应。但是,产业结构合理化对经济增长呈显著负向影响。可能的原因是,目前中国经济正在转型中,经济增长动力由要素驱动转变为创新驱动,但部分地区(中西部)的经济增长仍然依靠大量生产要素投入,相比而言,东部沿海地区的经济增长主要来源于创新驱动。因此,产业结构合理化对经济增长的影响存在区域性差异,导致从整体看,产业结构合理化不利于经济增长。

模型(9)将产业结构高级化(AIS)引入基准模型(5)。本地区技术创新(LTI)的回归系数χ1=0.027 3,小于模型(5)中的回归系数β1=0.996 5,说明产业结构高级化对经济增长存在正向中介效应。产业结构高级化对经济增长呈显著正向影响,说明产业结构向高级化转型能有效提升经济增长速度,产业结构高级化带来的“结构红利”足以推动当前中国经济的高速增长。模型(10)将产业结构高级化与产业结构合理化同时引入模型中,可以看出本地区技术创新对经济的增长促进作用减弱,说明本地区技术创新通过促进产业结构高级化和产业结构合理化推动经济增长。周边地区技术创新对经济增长的抑制作用减弱,说明周边地区技术创新通过促进产业结构高级化和阻碍产业结构合理化抑制经济增长。

间接效应回归结果验证了H3,即技术创新通过推动产业结构转型促进经济增长,产业结构合理化和产业结构高级化均存在正向中介效应。

表4 技术创新通过产业结构转型促进经济增长的间接效应回归结果

模型(5)直接变量(ED)模型(6)中介变量(RSP)模型(7)中介变量(AIS)模型(8)直接变量(ED)模型(9)直接变量(ED)模型(10)直接变量(ED)EDit-10.212 7∗∗∗——————1.001 5∗∗∗0.999 5∗∗∗1.000 2∗∗∗(12.143 8)(48.779 4)(47.006 4)(48.300 8)LTI0.996 5∗∗∗0.184 0∗6.147 8∗0.141 1∗∗0.027 3∗∗0.029 8∗∗(5.396 6)(1.850 6)(1.894 1)(2.286 0)(2.255 7)(2.268 0)STI-0.316 8∗∗∗-0.047 48.340 4∗∗∗-0.050 80.299 0∗∗∗-0.066 0∗(-2.344 1)(-0.709 4)(4.684 0)(-0.809 7)(2.823 7)(-1.067 1)RSP—————————-0.009 0∗———-0.006 4∗∗∗(-1.903 6)(-3.334 2)AIS————————————0.008 1∗∗∗0.353 6∗∗∗(4.333 9)(3.338 2)TSFDI0.155 5∗∗0.002 0∗0.155 00.000 70.000 40.000 7(2.032 3)(1.926 1)(1.597 0)(1.111 7)(0.637 4)(1.104 1)HC0.032 2∗∗0.016 4∗∗0.033 01.330 4∗∗∗0.006 7∗∗0.014 5∗∗(2.745 9)(2.049 4)(1.635 3)(3.306 3)(2.061 3)(2.027 5)FT0.018 3∗∗∗0.415 9∗∗0.324 0∗0.005 41.600 2∗∗∗0.014 8∗∗(4.624 2)(2.158 5)(1.902 6)(1.460 0)(3.698 2)(2.651 5)CES-0.069 6∗∗∗0.001 90.661 0∗∗∗-0.048 4∗∗∗-1.224 6∗∗-0.780 3∗∗∗(-8.726 3)(1.151 4)(3.612 0)(-2.973 4)(-2.289 8)(-3.287 2)σ0.004 0∗∗∗0.028 3∗∗0.002 0∗∗∗0.789 9∗∗∗0.828 9∗∗∗0.799 9∗∗∗(3.737 5)(2.253 8)(3.018 6)(24.356 6)(30.583 5)(26.102 4)Log-L813.869 61 313.254 7222.703 2888.838 8889.444 9895.501 8R20.916 80.763 20.702 70.999 70.999 60.999 6

4.4.3 直接效应与间接效应比较

上文就技术创新对经济增长的直接效应以及技术创新通过推动产业结构转型从而促进经济增长的间接效应进行实证分析,但是没有得出是直接效应还是间接效应对经济增长的促进作用更大。因此,就技术创新、产业结构性转型对经济增长的直接效应与间接效应进行对比,比较结果如图1所示。由图1可知,①本地区技术创新对经济增长的直接效应值为0.996 5,本地区技术创新通过产业结构合理化从而促进经济增长的间接效应值为0.184 0*(-0.009 0)=-0.001 7,说明本地区技术创新对经济增长的直接效应大于本地区技术创新通过产业结构合理化促进经济增长的间接效应。本地区技术创新通过产业结构高级化促进经济增长的间接效应值为6.147 8*0.008 1=0.229 6,说明本地区技术创新对经济增长的直接效应大于本地区技术创新通过产业结构高级化促进经济增长的间接效应。整体来看,本地区技术创新直接促进经济增长的效果更显著。可能的原因是,本地区技术创新直接提高了企业生产效率,增加了地区经济产出,而在间接效应方面,本地区技术创新通过产业结构转型促进经济增长存在一定时间成本。因此,本地区技术创新促进经济增长的效果好于通过产业结构转型促进经济增长的效果;②周边地区技术创新对经济增长的直接效应值为(-0.316 8),周边技术创新通过产业结构合理化促进经济增长的间接效应值为(-0.047 4)*(-0.009 0)=0.000 4,说明周边地区技术创新对经济增长的直接效应小于周边地区技术创新通过产业结构合理化促进经济增长的间接效应。周边技术创新通过产业结构高级化促进经济增长的间接效应值为8.3404*(0.008 1)=0.067 6,说明周边地区技术创新对经济增长的直接效应小于通过产业结构高级化促进经济增长的间接效应。从整体来看,周边地区技术创新通过产业结构转型促进经济增长更为有效。可能的原因是,周边地区技术创新对经济增长的直接效应随着周边地区技术创新水平提高,导致本地区创新资源向周边地区流动,从而使本地区创新水平下降,经济增长速度放缓。在间接效应方面,本地区产业可以通过周边地区技术创新的溢出效应加快产业结构转型,从而推动本地区经济增长。

图1 直接效应与间接效应比较

5 结语

首先就技术创新、产业结构转型对经济增长的直接效应和间接效应进行了理论分析,构建了技术创新、产业结构转型与经济增长效应的分析框架,然后以经济距离为权重,构建动态空间杜宾模型,选取2006-2016年中国内地30个省(市、区)数据,实证研究了技术创新对经济增长直接效应以及技术创新通过产业结构转型促进经济增长的间接效应,得到以下结论:

(1)技术创新、产业结构转型与经济增长的直接效应和间接效应均表明,中国经济增长存在正向空间溢出效应,邻近省(市、区)的经济增长对本地区经济增长有促进作用;经济增长滞后一期对经济增长的影响在统计上显著为正,说明当期经济增长与前一期经济增长密切相关。

(2)在直接效应方面,本地区技术创新对经济增长呈显著正向影响,周边地区技术创新对经济增长存在显著负向影响;产业结构合理化与产业结构高级化对经济增长在5%的置信度水平下都通过了显著性检验,但作用机制截然相反。其中,产业结构合理化对经济增长具有显著负向影响,产业结构高级化对经济增长呈显著正向影响,说明经济增长动力从产业结构合理化向产业结构高级化转变;本地区技术创新和产业结构合理化的交互项与经济增长呈正相关关系,本地区技术创新和产业结构高级化的交互项对经济增长呈显著正向影响,周边地区技术创新和产业结构合理化的交互项与经济增长呈正相关关系,周边地区技术创新和产业结构高级化的交互项对经济增长呈显著正向影响。

(3)在间接效应方面,产业结构转型是技术创新与经济增长的中间传导环节,产业结构合理化与产业结构高级化均为正向中介效应;本地区技术创新对产业结构合理化的影响显著为正,周边地区技术创新与产业结构合理化呈负相关关系,但是影响效果不显著;本地区技术创新和周边地区技术创新对产业结构高级化呈显著正向影响。

(4)直接效应与间接效应的对比结果显示,本地区技术创新通过产业结构高级化促进经济增长的间接效应小于直接效应,周边地区技术创新通过产业结构高级化促进经济增长的间接效应大于直接效应。

参考文献:

[1] 林春艳, 孔凡超. 技术创新、模仿创新及技术引进与产业结构转型升级——基于动态空间Durbin模型的研究[J]. 宏观经济研究, 2016 (5): 106-118.

[2] 苏治, 徐淑丹. 中国技术进步与经济增长收敛性测度——基于创新与效率的视角[J]. 中国社会科学, 2015 (7): 4-25.

[3] 傅元海,叶祥松,王展祥.制造业结构变迁与经济增长效率提高[J]. 经济研究, 2016, 51(8): 86-100.

[4] 李翔, 邓峰. 中国产业结构优化对经济增长的实证分析[J]. 工业技术经济, 2017, 36(2): 3-9.

[5] COOPER R N. New perspectives on economic growth and technological innovation[J]. Brookings Institution:Council on Foreign Relations, 1999 , 78 (6) :981-982.

[6] KOH W T H. Terrorism and its impact on economic growth and technological innovation[J]. Technological Forecasting & Social Change, 2007, 74(2):129-138.

[7] 程郁, 陈雪. 创新驱动的经济增长——高新区全要素生产率增长的分解[J]. 中国软科学, 2013(11): 26-39.

[8] ADAK M. Technological progress, innovation and economic growth:the case of Turkey [J]. Procedia - Social and Behavioral Sciences, 2015, 195:776-782.

[9] BUJARI A A, FRANCISCO V M. Technological innovation and economic growth in Latin America [J]. Journal of Economics and Finance, 2016, 11(2):77-89.

[10] 徐幼民, 徐达实. 论技术创新驱动经济发展的加速效应——兼论发展中国家中等收入陷阱产生的原因[J]. 财经理论与实践, 2017,38 (6): 99-104.

[11] 马述忠, 李嫣君, 吴国杰. 基于空间自相关的中国技术类创新资源流动影响因素分析[J].经济学家, 2015(11): 15-25.

[12] FEKI C, MNIF S. Entrepreneurship, technological innovation, and economic growth: empirical analysis of Panel Data[J]. Journal of the Knowledge Economy,2016,7(4):984-999.

[13] 陈佳贵, 黄群慧. 工业发展、国情变化与经济现代化战略——中国成为工业大国的国情分析[J]. 中国社会科学, 2005(4): 4-16.

[14] 渠慎宁, 吕铁. 产业结构升级意味着服务业更重要吗——论工业与服务业互动发展对中国经济增长的影响[J]. 财贸经济, 2016(3):138-147.

[15] 赵欣. 技术创新能力、产业结构升级对经济增长的影响研究[J]. 特区经济, 2016(9): 84-87.

[16] 蔡跃洲, 付一夫. 全要素生产率增长中的技术效应与结构效应——基于中国宏观和产业数据的测算及分解[J]. 经济研究, 2017, 52(1): 72-88.

[17] 韩晶, 酒二科. 以产业结构为中介的创新影响中国经济增长的机理[J]. 经济理论与经济管理, 2018(6):51-63.

[18] FEDER G. On exports and economic growth[J]. Journal of Development Economics, 1983, 12(1): 59-73.

[19] 于斌斌. 产业结构调整与生产率提升的经济增长效应——基于中国城市动态空间面板模型的分析[J]. 中国工业经济, 2015(12): 83-98.

[20] 李成刚, 杨兵. 数量型规则和价格型规则的最优组合研究——基于动态随机一般均衡模型的分析[J]. 金融经济学研究, 2018(2): 25-36.

[21] 李真. 技术模仿、转移与创新的贸易利益效应研究——来自中国工业企业的证据[J]. 数量经济技术经济研究, 2011, 28(4): 18-33.

[22] 谢兰云. 中国省域R&D投入对经济增长作用途径的空间计量分析[J]. 中国软科学, 2013(9): 37-47.

[23] 干春晖, 郑若谷, 余典范. 中国产业结构变迁对经济增长和波动的影响[J]. 经济研究, 2011, 46(5): 4-16.

[24] 邵汉华, LIU YAOBIN. 金融结构与经济增长的非线性门槛效应:基于最优金融结构的视角[J]. 审计与经济研究, 2018, 33(3): 119-127.

[25] ELHORST J P. Dynamic spatial panels: models, methods, and inferences[J]. Journal of Geographical System,2012,14(1): 5-28.

[26] 崔庆安, 王文坡, 张水娟. 金融深化、产业结构升级与技术创新——基于空间杜宾模型的实证分析[J]. 工业技术经济, 2018, 37(2): 42-50.

[27] 李婧, 谭清美, 白俊红. 中国区域创新生产的空间计量分析——基于静态与动态空间面板模型的实证研究[J]. 管理世界, 2010(7): 43-55.

Economic Growth Effect of Technological Innovation and Industrial Structure Transformation——An Empirical Analysis Based on Dynamic Spatial Durbin Model

Li Chenggang1,2, Yang Bing1, Miao Qixiang3

(1.School of Big Data Application and Economics, Guizhou University of Finance and Economics;2.Collaborative Innovation Center for Poverty Reduction and Development in Western China, Guiyang 550025, China;3.Qindao College of Qingdao Technological University, Qingdao 266106, China)

AbstractIn this paper, the data of 30 provinces (municipalities and districts) in China from 2006 to 2016 are selected to construct the dynamic spatial Doberbin model and the intermediary effect model. This paper studies the direct effect of technological innovation on economic growth and its indirect effect on economic growth by promoting the transformation of industrial structure. The research results show that: there are positive spatial spillover effects in China's economic growth, and the process of economic growth has dynamic and positive continuous characteristics. In the direct effects, the technological innovation in this region has positive effects on economic growth, but the technological innovation in the surrounding areas has a significant negative impact. The rationalization of industrial structure has a significant negative impact on the economic growth, but the advanced industrial structure has a significant positive impact. The combination of technological innovation and industrial structural transformation alleviates the degree of inhibition of the rationalization of industrial structure to economic growth. In the indirect effect, the transformation of industrial structure is the intermediate transmission link between technological innovation and economic growth, and the rationalization of industrial structure and the advanced industrial structure both have positive intermediary effects. The direct effect of technological innovation in this region on the economic growth is greater than the indirect effect, but the direct effect of peripheral technological innovation on economic growth is smaller than indirect effect.

Key Words:Technological Innovation; Industrial Structure Transformation; Economic Growth; Dynamic Spatial Durbin Model

收稿日期2018-11-12

基金项目国家自然科学基金项目(71561007)

作者简介李成刚(1982-),男,四川隆昌人,博士,贵州财经大学大数据应用与经济学院教授,新加坡国立大学博士后,研究方向为宏观经济学、金融计量分析;杨兵(1993-),男,贵州遵义人,贵州财经大学大数据应用与经济学院硕士研究生,研究方向为宏观经济学、金融计量分析。本文通讯作者:杨兵。

DOI10.6049/kjjbydc.2018080316

开放科学(资源服务)标识码(OSID):

中图分类号F207

文献标识码:A

文章编号:1001-7348(2019)06-0033-10

(责任编辑:胡俊健)