科技服务业在创造自身价值的同时,能够为服务对象创造数倍的增长价值。程梅青等[1]计算出科技服务业每创造一个单位的收益,将增加服务对象至少5个单位的收益,这主要得益于科技服务业高产业附加值及强大的溢出效应。2014 年《国务院关于加快科技服务业发展的若干意见》的颁布[2]奠定了科技服务业的重要地位,旨在将其打造成新的增长点,并利用科技服务业知识溢出效应进一步优化产业结构。2017年《“十三五”现代服务业科技创新专项规划》[3]明确提出科技服务业促进科学研究与实践能力进入世界前列的发展目标。要实现这一目标,需要从产业投入与产出两个维度考察,不仅要分析科技服务业投入产出的“量”,更要探究投入产出的“质”,即科技服务业发展效率。只有找到科技服务业高效率发展的最优解集,才能更广泛、更深层次地推动我国现代产业体系发展,最终实现提升我国产业全球价值链地位的战略目标。长江三角洲城市群作为我国经济最具活力、开放程度最高、创新能力最强的区域之一, 在实现科技服务业发展目标进程中具有举足轻重的战略地位。根据 2016年《长江三角洲城市群发展规划》[4],长江三角洲城市群战略定位之一就是打造“具有全球影响力的科技创新高地”。因此,研究长江三角洲城市群科技服务业发展效率具有重要意义。
目前,对于科技服务业的研究主要集中在科技服务业内涵界定、科技服务业与其它产业融合、科技服务业发展态势评测、科技服务业集聚与溢出效应及其影响因素4个方面。
对于科技服务业的概念界定,最早由原国家科学技术委员会于1992年提出,之后,科技服务业内涵不断完善。王晶等[5]认为,科技服务业属于第三产业,主要向社会各行业提供技术和知识支撑。陆洋和韩顺平[6]将科技服务业视为一种特定的产业形态,强调其按市场交易规则向其它科技需求方提供服务。蒋永康等[7]认为科技服务业拥有独立核算体系。西方学界没有“科技服务业”这一专有名词,他们通常使用“知识密集型服务业”作为“科技服务业”的等价概念。Muller[8]发现,知识密集型服务业发展有助于促进关联企业产品创新与增值。Hertog[9]认为,知识密集型服务业承担技术创新推动、载体、来源和链接4项基本功能。
关于科技服务业与其它产业融合的研究,谢泗薪、侯蒙[10]构建了科技服务业与现代产业创新联动模式。张媛媛[11]使用历年全国投入产出表对科技服务业与不同制造业间的前后产业关联分别进行了研究。王海龙等[12]以辽宁省为研究对象,通过产业关联指标,对其科技服务业与其它产业间的关联机制进行了研究。 Lafuente[13]等认为,知识密集型服务业与新制造业间存在相互依赖关系,而且知识密集型服务业有助于缓解新制造业务的运营弱点。
关于科技服务业与经济发展关系的研究,李从欣、李国柱[14]构建了反映绿色经济效率的固定效应模型,探究了科技服务业影响路径。赵冬梅等[15]基于创新创业背景,重点探究了江苏省科技服务业助推经济转型升级的路径。冀鸿、柳烨[16]通过构建吉林省VAR模型,对科技服务业与经济增长间关系进行了定量研究。 Brenner[17]等认为,区域经济增长对知识密集型服务业具有短期负面效应,而知识密集型服务业对整体区域经济增长则具有长期正面效应。
关于科技服务业发展态势测评的研究,倪芝青等[18]基于浙江省科技服务业实际发展情况,通过构建相应指标体系对浙江省科技服务业进行了测评。牛静等[19]对西安市科技服务业现状进行了描述性统计,针对其发展机遇与挑战,提出西安市科技服务业改进的建议。Pina[20]以英国企业为研究对象,重点分析了知识密集型服务业3个细分行业。
关于科技服务业集聚与溢出效应及其影响因素的研究, 徐顽强等[21]基于波特钻石模型,设计了测评科技服务业发展的影响因素指标。巫孝君[22]调查了四川2012—2016年科技服务业发展数据,通过与其它省份对比研究发现,四川科技服务业缺乏协同性。 齐芮、祁明[23]测算了科技服务业集聚水平、空间相关性及其对制造业的溢出效应。Freel[24]使用案例分析法对欧洲及北美不同国家的知识密集型服务业进行研究,分析了不同区域环境下知识密集型服务业溢出机制。
综上所述,学者对科技服务业的研究多集中在集聚效应与产业联动方面,而针对科技服务业发展效率的评价研究尚处于探索阶段,大部分相关文献都是运用多元统计或灰色关联方法构建指标体系,只是对单个省市或全国科技服务业发展水平进行评价,鲜有文献从投入产出效率视角出发,对科技服务业细分行业发展效率进行分析。实际上,国家统计局2015年发布的《国家科技服务业统计分类》已经对科技服务业细分行业给出了明确定义,并且制定了“国家科技服务业统计分类表”,对科技服务业细分行业进行了详尽说明。因此,本研究将科技服务业划分为5个细分行业,以长江三角洲城市群为主要研究对象,评价其科技服务业细分行业在2010-2016年的投入产出效率,旨在得到长江三角洲城市群在每个细分科技服务业的效率,从而提出有针对性的改进建议。
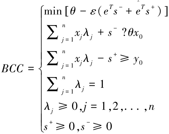
(1)超效率DEA模型。 数据包络分析法 (Data Envelopment Analysis,DEA)可测评每个决策单元格(Decision Making Unite, DMU)间的相对有效性,基础模型是C2R模型[25]和BC2模型[26]。C2R模型的前提假设是规模报酬,而BC2模型则通过加入约束条件,测量规模报酬可变下各单元的相对有效性。投入导向型BC2模型可表示为:

(1)
n表示决策单元个数,j=1,2,...,n;m和s分别表示每个决策单元的投入与产出种类,分别用xj=(x1j,x2j,...,xmj)T和yj=(y1j,y2j,...,ysj)T表示投入和产出向量,并且xj≥0(i=1,2,...,m),yj≥0(r=1,2,...,s)。本研究对科技服务业五大细分行业分别进行评价,xj表示每个细分行业的投入指标,yj表示每个细分行业的产出指标。x0和y0分别指决策单元DMU0的实际投入值和实际产出值;s-表示投入指标的松弛变量,即为达到最优规模,投入指标应减少的量;s+表示产出指标的冗余变量,即为达到最优规模,产出指标应增加的量;ε>0为非阿基米德无穷小量,λj为权重系数,
为 C2R模型下决策单元 DMU的综合效率值。
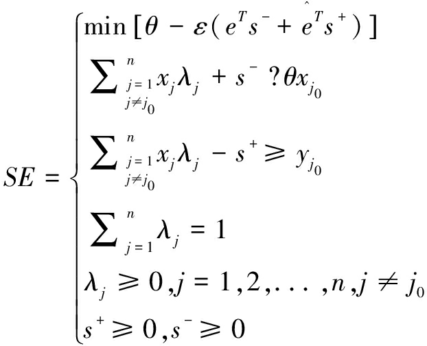
但是,上述两种基础模型对于多个有效的决策单元无法进行比较评价。为弥补这一缺陷,本研究采用由 Andersen & Peterson 于 1993 年提出的超效率 DEA 模型(Super-Efficient DEA),该模型将被评价的决策单元不纳入参考,无效决策单元的生产前沿面不变,而有效决策单元的生产前沿面后移,将投入增加的比例记为超效率值。
该模型对公式(1)修改后得到:

(2)
超效率DEA 模型中,DMUj0的实际投入值、实际产出值分别表示为xj0和xj0;θ为C2R模型下决策单元 DMU的综合技术超效率值,该值在BC2模型下可进一步分解为纯技术效率超效率值和规模效率超效率值的乘积,即综合技术超效率值=纯技术超效率值*规模超效率值。θ≥1说明DMU0为DEA有效,并且可以进一步排序比较;θ≤1说明DMU0为DEA无效,此时,可通过观察纯技术超效率值与规模超效率值是否大于1找到导致DMU0无效的原因。
(2)视窗分析。由于每年各 DMU 的前沿面并不相同,单独运用超效率DEA模型计算的效率值在年度间并不具有可比性。 本研究主要评测科技服务业五大细分行业效率,不仅需要进行长江三角洲城市群内部横向静态比较,还需要对同一对象在不同年份间进行纵向动态比较,因此将超效率DEA模型和其它方法相结合。部分文献使用Malmquist 指数进行分析,但Heshmati[27]指出该方法得到的效率增长指数并不准确。而DEA视窗分析法( DEA Window Analysis)被认为是更合适的面板数据分析方法。Wang等[28]指出在 DEA 视窗分析中,决策单元在一定时期内的效率不但可以与同一时期其它决策单元的效率进行比较,而且可以与自身在其它时期的效率进行比较。该方法由 Charnes等[29]提出,核心思想是将不同时期的决策单元当作不同决策单元处理,再用移动平均法构建不同参考集,评价一个决策单元的相对效率。确定窗口宽度d是第一步,本研究选择的窗口宽度为3,因为Charnes等的[30]研究表明以3为窗口宽度的视窗分析结果最好。本研究样本长度为7,对每一个决策单元需要建立起 5个窗口进行效率测算。每一个决策单元在第m(m=1,2,3,4,5)个窗口上将得到3个效率值,取各时点上的平均效率值,作为被评价决策单元的当年效率值。
长江三角洲城市群包括上海市、江苏省、浙江省和安徽省,同时将“全国”作为决策主体纳入其中,与其它4个省市共同构建前沿面。由于2010年5月中华人民共和国国务院才正式批准《长江三角洲地区区域规划》,因此,样本期间选择为2010-2016年。
《国家科技服务业统计分类(2015)》[31]界定了科技服务业统计范围主要包括7个细分科技服务业。此外,中国国家统计局还制定了“国家科技服务业统计分类表”,对这7个细分科技服务业进行了详尽说明。
虽然目前我国及各省市对科技服务业的统计工作还未完成,也没有形成专题年鉴或报告,但这并不意味着无法对科技服务业进行细分行业定量描述。本研究依据《国家科技服务业统计分类(2015)》,同时兼顾数据可获得性原则,对科技服务业进行重新划分,并在新的划分基础上,收集整理相对应的投入与产出数据。表1列出了国家统计局与本研究对科技服务业的划分,同时对划分的合理性进行说明。表2列出了五大细分科技服务业投入与产出变量。
表1 科技服务业细分行业划分及合理性说明
统计局划分本研究划分合理性说明科学研究与试验发展服务专业化技术服务科研技术服务业历年《中国统计年鉴》中的“科学研究和技术服务业”包含统计局对这3个细分行业的划分科技推广及相关服务科技信息服务科学信息服务业历年《中国统计年鉴》中的“信息传输、软件和信息技术服务业”与统计局所定义的“科技信息服务”内涵基本一致科技金融服务科技资本服务业统计局将“金融科技服务”细分为4个方面,本研究重点选取“资本投资科技服务”,即风险投资对科技企业的服务,使用历年《中国创业风险投资发展报告》中的数据科技普及与宣传教育服务科技宣传服务业中国科学技术协会是中国最重要的科技普及和宣传教育机构,因此本研究使用历年《中国科技统计年鉴》中中国科协的数据综合科技服务科技管理服务业统计局将“综合科技服务”细分为5个方面,本研究重点选取“科技管理服务业”,即中央和地方人民政府为科技活动提供的综合事务管理服务,本研究使用历年《中国科技统计年鉴》中的政府数据
表2 五大细分科技服务业投入与产出变量
行业变量单位类型科研技术服务业科学信息服务业城镇单位就业人员数万人投入固定资产投资亿元行业增加值亿元产出科技资本服务业风投机构数量个投入管理资本总额亿元投资强度万元/项产出科技宣传服务业科普专职人员人投入科技馆数量个年度科普经费筹集额万元科普图书馆出版种产出科普专题活动次科技管理服务业政府科研机构从业人员人投入政府R&D经费支出万元公司科研从业人员人公司R&D经费支出万元发表科技论文篇产出出版科技著作种有效发明专利件新产品收入万元
注:①用“永续盘存法”估算历年资产存量,基期为2009年,折旧率为5%;②折算为2009年的不变价
本研究使用EMS1.3软件计算2016年全国及长江三角洲城市群五大细分科技服务业的综合超效率值、纯技术超效率值及规模超效率值,并对综合超效率值进行排序,结果如表3所示。
(1)科研技术服务业综合技术超效率值排名由高到低分别为:上海市、江苏省、浙江省、全国、安徽省。其中,只有上海市和江苏省实现DEA有效,其它地区综合技术超效率值和规模超效率值均小于1,说明规模无效导致其未达到DEA有效。此外,浙江省纯技术超效率值低于1,说明纯技术无效也是导致其综合技术无效的原因。松弛变量结果表明,安徽省可以通过减少固定投资达到综合技术有效,不存在松弛变量的非有效地区则是由于未形成或未充分发挥该行业的规模效应,从而导致综合技术无效。
(2)科学信息服务业综合技术超效率值排名由高到低分别为:上海市、浙江省、江苏省、安徽省、全国。其中,只有上海市和浙江省实现DEA有效,其它地区综合超效率值和规模超效率值均小于1,说明规模无效导致其未实现DEA有效。此外,江苏省纯技术效率值低于1,说明纯技术效率无效也是导致其综合技术无效的原因。松弛变量结果表明,全国、江苏省、安徽省可通过减少固定投资投资达到综合技术有效。
(3)科技资本服务业综合技术超效率值排名由高到低分别为:上海市、安徽省、全国、浙江省、江苏省。其中,只有上海市实现DEA有效,其它地区综合超效率值和规模超效率值均小于1,说明规模无效导致其未实现DEA有效。此外,江苏省和浙江省纯技术效率值低于1,说明纯技术效率无效也是导致其综合技术无效的原因。松弛变量结果表明,全国、江苏省、浙江省、安徽省可通过减少管理资本总额达到综合技术有效。
(4)科技宣传服务业综合技术超效率值排名由高到低分别为:浙江省、江苏省、安徽省、全国、上海市。其中,前3个省份实现DEA有效,其它地区综合超效率值和规模超效率值均小于1,说明规模无效导致其未实现DEA有效。此外,上海市纯技术效率值低于1,说明纯技术效率无效也是导致其综合技术无效的原因。松弛变量结果表明,上海市可通过减少科技馆数量和年度科普经费筹集额达到综合技术有效。
(5)科技管理服务业综合技术超效率值排名由高到低分别为:上海市、浙江省、全国、江苏省、安徽省。所有研究对象都实现了DEA有效。
为了更加全面、动态地分析长江三角洲城市群细分科技服务业投入产出效率,本研究基于视窗分析,使用EMS1.3软件计算2010-2016年全国及长江三角洲城市群五大细分科技服务业效率趋势,结果见表4。
表3 2016年全国及长江三角洲城市群五大细分科技服务业超效率值与排名
行业地域综合技术效率纯技术效率规模效率松弛变量 松弛变量占比(%)排名科研技术服务业全国0.742BigSmall无04上海5.0816.5660.774无01江苏1.1631.1900.977无02浙江0.8300.9970.832无03安徽0.4392.0440.215固定资产投资9.985科学信息服务业全国0.499BigSmall固定资产投资0.624上海1.7132.2880.749无01江苏0.7430.8120.915固定资产投资19.593浙江1.5051.5220.989无02安徽0.4192.3250.180固定资产投资22.845科技资本服务业全国0.060BigSmall管理资本总额4.075上海3.3073.9360.840无01江苏0.1390.1600.865管理资本总额9.234浙江0.2070.2270.912管理资本总额2.133安徽0.9727.9330.122管理资本总额66.912科技宣传服务业全国0.794BigSmall科技馆数量19.584上海0.7380.8850.834科技馆数量13.875年度科普经费筹集额23.69江苏1.7712.0460.866无02浙江2.7263.0660.889无01安徽1.3343.3330.400无03科技管理服务业全国1.911BigSmall无03上海3.9135.2510.745无01江苏1.3041.8830.692无04浙江3.5653.6100.988无02安徽1.0902.5190.433无05
注:①EMS1.3计算结果显示big,说明该值远大于1;②规模效率=综合效率/纯技术效率,由于纯技术效率远大于1,因此规模效率远小于1,显示为small
表4 2010-2016年全国及长江三角洲城市群五大细分科技服务业综合技术超效率值趋势
行业地域2010201120122013201420152016科研技术服务业全国0.4680.6330.6720.6740.6920.7400.742上海1.2080.8681.1691.2260.9070.9482.558江苏0.7710.9011.1570.8910.8600.9851.120浙江0.5830.4710.4930.6670.7340.7940.830安徽0.3280.3670.3560.3660.3400.3220.439科学信息服务业全国0.4660.5030.5400.5220.5170.4920.499上海0.9441.2131.1460.9021.0560.9581.308江苏0.6510.8610.9570.4720.5040.5890.743浙江0.5110.6130.8560.9320.8740.9721.312安徽0.4440.4210.3970.3120.2690.3840.419科技资本服务业全国0.0220.0270.0270.0260.0240.0270.042上海0.5880.4070.5010.7960.6741.1181.609江苏0.0640.0810.0880.0770.0730.1150.097浙江0.1750.1670.2000.2800.2720.1610.163安徽1.6351.3970.9660.7641.1690.9780.679科技宣传服务业全国0.8750.9490.5140.9500.7761.0860.794上海1.0261.1251.1301.1270.8830.8480.738江苏1.3801.6760.2381.4670.7611.3371.493浙江1.0101.4450.5610.5210.8630.8442.336安徽1.1510.9930.0721.0210.8210.8031.334科技管理服务业全国1.5261.1031.1091.7931.1001.1261.433上海3.1571.0921.3174.7341.1731.1612.239江苏1.1441.0061.1051.1751.1201.0591.233浙江2.4761.3981.2532.6041.1251.5031.975安徽1.0701.0190.9820.9660.9790.9471.089
(1)各区域科研技术服务业结果显示:在样本期间,全国和浙江省综合技术超效率值稳步上升,但始终处于非DEA有效状态。上海市综合技术超效值大多数年份大于1, 说明该行业在上海市大部分时间处于DEA有效。江苏省综合技术超效率值只在2012年和2016年突破了1,且年增长速率正负交替,说明该行业在江苏省大部分时间处于非有效状态,且无明显增长趋势。安徽省综合技术超效率值始终低于1,且处于不稳定的波动状态,说明该行业在安徽省一直处于无效,且无明显增长趋势。
(2)各区域科学信息服务业结果显示:在样本期间,全国和安徽省一直处于非有效状态,且无明显上升趋势。上海市大多数时间实现了DEA有效。江苏省综合技术超效率值始终小于1,在2012年前显著上升,2013年大幅下降后,又开始逐步回升至2016年的0.743,说明该行业在江苏省一直处于非有效状态,但有明显上升趋势。浙江省综合技术超效率值不断上升,直到2016突破1,说明该行业效率在浙江省一直处于改善之中,直到2016年达到有效。
(3)各区域科技资本服务业结果显示:在样本期间,全国、江苏省和浙江省综合技术超效率值始终低于1,且年增长速率正负交替,说明该行业在这些地区一直处于非有效状态,且无明显上升趋势。上海市综合技术超效率值稳健上升,到2015年超效率突破1,达到有效。安徽省综合技术超效率值虽然在某些年份超过1,但呈较为明显的下降趋势,说明该行业在安徽省本来实现了有效,但却呈下降趋势。
(4)各区域科技宣传服务业结果显示:在样本期间,全国、浙江省、安徽省综合技术超效率值大多数年份低于1,且年增长率正负交替,说明该行业在这些地区主要呈现非效率状态,且无明显增长趋势。上海市在2010-2013年综合技术超效率值大于1,从2014年起低于1,并逐年下降,说明该行业在上海市开始是有效的,后转为无效。江苏省综合技术超效率值大多数年份大于1, 且年增长正负交替,说明该行业在江苏省大部分年份达到有效,但无明显增长趋势。
(5)全国、上海市、江苏省、浙江省在样本期的科技管理服务业始终有效;而安徽只有在 2010年、2011年、2016年综合技术超效率值大于1 ,且2012-2015年超效率值逐步减小,说明该行业在安徽大部分年份是非有效的,且无显著上升趋势。
本研究基于《国家科技服务业统计分类(2015)》,将科技服务业重新划分为五大细分行业,以长江三角洲城市群为主要研究对象,选取2010-2016年投入与产出指标建立了超效率DEA模型,并结合视窗分析评价了全国及长江三角洲城市群科技服务业效率水平,得出以下结论:
(1)规模无效是导致长江三角洲城市群科技服务业综合技术效率未实现有效的共性因素。超效率DEA模型结果显示,长江三角洲城市群在五大细分科技服务业的规模效率均小于1,说明规模无效是各区域存在的共性问题。造成规模无效的主要原因是某些资源要素超过了最优投入比例,即本来以较低投入比例可以获得同样的产出结果,但由于要素过量投入,造成了资源的低效率使用。
(2)我国除科技管理服务业达到综合技术有效外,其它科技服务业只有纯技术超效率值大于1,而规模超效率值均小于1 ,说明从国家层面看,我国科研技术服务业人员培训、科研成果转化、科研经费管理达到DEA有效;科学信息服务业技术基础设施建设足以支撑信息产业发展需要;科技资本服务业中资本方与科技企业构建了方便、快捷的信息交流平台;科技宣传服务业拥有成熟的科普方式和技术手段。其中,科研技术服务业规模效率超效率值小于1,但不存在松弛变量,说明该行业需要提高要素资源配置效率,从而扩大规模效应;针对其它3个细分科技服务业,我国需要重点优化其投入产出结构。
(3)长江三角洲城市群科技服务业综合效率趋势具有显著差异性。上海市科技服务业效率最好,样本期间各细分科技服务业在大多数年份都达到有效。江苏省科学信息服务业和科技资本服务业属于DEA无效,且无明显上升趋势,需要提高其纯技术效率和规模效率。 浙江省科技资本服务业和科研技术服务业DEA无效,但其中科研技术服务业有上升趋势,因此需要提高其纯技术效率和规模效率。安徽省科学信息服务业、科技资本服务业与科研技术服务业DEA均无效,且无明显上升趋势,但纯技术效率达到有效,所以需要重点提高规模效率。
根据上述结论,本研究分别针对全国及长江三角洲城市群科技服务业发展提出以下对策建议:
(1)全国及长江三角洲城市群需要在细分科技服务业上减少一定比例的投入量,从而达到投入产出最优规模结构。目前,各省促进当地科技服务业发展的指导性文件仍以加大财政与税收扶持力度为主,但是一味地投入资本并不能有效提高科技服务业发展效率。研究结论显示,全国范围内,科学信息服务业需减少0.62%的固定资产投资,科技资本服务业需减少4.07%的管理资本总额,科技宣传服务业需减少19.58%的科技馆数量;上海市科技宣传服务业需减少13.87%的科技馆数量及23.69%的年度科普经费筹集额;江苏省科学信息服务业需减少19.59%的固定资产投资,科技资本服务业需减少9.23%的管理资本总额;浙江省科技资本服务业需减少2.13%的管理资本总额;安徽省科研技术服务业需减少9.98%的固定资产投资,科学信息服务业需减少22.84%的固定资产投资,科技资本服务业需减少66.91%的固定资产投资。
(2)长江三角州城市群应根据科技服务业细分行业特点,逐步改善影响其纯技术效率的重要因素,克服区域内行业纯技术效率不足,最终提高行业投入产出效率。浙江省和江苏省需加强科研技术服务业与科学信息服务业市场化机制改革。此外,为提高科技资本服务业纯技术效率,浙江省还需要加深投资机构与高新企业的有效沟通。目前,浙江省已经建立了“中国浙江网上技术市场”与“浙江科技大市场”,旨在形成线上、线下互动互补的技术市场闭环结构。但是,从平台公布的统计数据看,其会员仅集中在杭州、宁波、温州和绍兴4个城市。而且,2010-2017年,大多数年份科研成果量远远大于科研需求量。2014年以后,成交合同数量逐渐下降,存在科研成果与需求错配现象。因此,浙江省一方面需要吸纳更多省内城市参与市场,另一方面需要加强线上与线下两大市场的有机结合。“中国浙江网上技术市场”可作为项目信息展示的主要平台,但科研需求与成果、投资机构与企业间的对接则应更多地利用“浙江科技大市场”。江苏省目前还未出台能统筹全省科技服务业资源的指导性文件及交易平台,“科技红包”作为江苏省科技服务业研究会门户网站,其所提供的信息主要集中在政策与科研供需方面,缺少进一步的融合机制。因此,江苏省需要加快制定专门针对科技服务业的政策文件,同时完善除网络平台以外的实体交易市场。
(3)在全国范围内推动科研技术服务业集聚式发展,并充分发挥规模效应,使其综合技术效率达到有效。一方面,我国需完善科技服务业园区建设, 打造科研技术服务业集群,重点培植科研技术服务业示范性机构,发挥极化与溢出效应。目前,大部分地区科技服务业集聚区仍处于申报或刚组建阶段,确保集聚区各机构按计划进驻是首要任务。在已运营的集聚区内,应加深对示范性机构成功经验的研究和提炼,并进行推广。另一方面,应延展科研技术服务业产业链条,以科技企业、科研院所、服务机构为节点建立创新网络链,加强科研技术服务业在不同主体不同部门间的产业联动。科技服务业集聚区不能成为简单的地理空间集聚,园区管理者还需要通过组织工作坊、研讨会、路演等形式,激活区域内各主体的有效沟通与合作,从而使其提供的服务能够更加精准地对接。同时,突出集聚区的科研服务功能。目前,部分集聚区主体构成以投资公司、技术转化中心和专利管理机构为主,缺乏具有独立科研能力的实验室或研究中心,虽然部分集聚区汇集了当地高校研究资源,但需要在机制创新的基础上,使其更加灵活地参与科技大市场,提供更能满足市场需求的科学研究服务。除此之外,目前只有某个产业或地域成立了科技服务业战略联盟,可尝试在全国范围内建立跨产业链的科研技术服务业战略联盟,优化行业布局,合理配置跨产业、跨省市科技服务资源,从而形成区域间协同效应。
受限于数据可获得性,本研究在《国家科技服务业统计分类(2015)》基础上选取的某些细分行业有一定的局限性。例如,国家统计局划分的第七类科技服务业是“综合科技服务”,包括科技管理服务业、科技咨询与调查服务、信用担保服务等内容,但目前只有科技管理服务相关数据可以通过收集整理得到。因此,本文仅重点研究了科技管理服务业,随着科技服务业统计数据的不断完善,可将更多科技服务业细分行业加入分析框架。就研究对象而言,本研究选取的是具有重要战略地位的长江三角洲城市群,并未考虑如北京、深圳等科技服务业较发达区域,未来研究可将更多地区当作决策单元构建生产前沿面,从而对我国更多省市进行科技服务业发展效率评价。除此之外,在测算出科技服务业细分行业发展效率后,还可以进一步探究每个科技服务业细分行业效率水平与当地产业发展间的相互影响机制,以找到符合区域特性的现代产业体系发展路径。
[1] 程梅青,杨冬梅,李春成.天津市科技服务业的现状及发展对策[J].中国科技论坛,2003(3):70-75.
[2] 中华人民共和国国务院. 国务院关于加快科技服务业发展的若干意见[EB/OL].(2014-10-28)[2018-07-25]. http://www.gov.cn/zhengce/content/2014-10/28/content_9173.htm.
[3] 中华人民共和国科技部. “十三五”现代服务业科技创新专项规划[Z].(2017-04-14) [2018-07-25].http://www.most.gov.cn/mostinfo/xinxifenlei/fgzc/gfxwj/gfxwj2017/201704/t20170426_132497.htm.
[4] 中华人民共和国国家发展和改革委员会. 长江三角洲城市群发展规划[Z].(2016-06-03)[2018-07-25].http://www.ndrc.gov.cn/zcfb/zcfbghwb/201606/W02016071554563829 7734.pdf.
[5] 王晶,谭清美,黄西川.科技服务业系统功能分析[J].科学学与科学技术管理,2006,27(6):37-40.
[6] 陆洋,韩顺平.科技服务业系统功能研究[J].技术经济与管理研究,2009(2):33-35.
[7] 蒋永康,梅强,李文远.关于科技服务业内涵和外延的界定[J].商业经济研究,2010(6):111-112.
[8] MULLER E, ZENKER A. Business services as actors of knowledge transformation:the role of KIBS in regional and national innovation systems[J]. Research Policy, 2001, 30(10):1501-1516.
[9] HERTOG PD. Knowledge-intensive business services as co-producers of innovation[J].International journal of innovation management, 2000, 4(4):491-528.
[10] 谢泗薪, 戴雅兰. 经济新常态下科技服务业与现代产业联动模式创新研究[J].科技进步与对策, 2016, 33(5):9-15.
[11] 张媛媛. 我国科技服务业与制造业的产业关联分析[J]. 统计与决策, 2018(5):135-8.
[12] 王海龙,丁堃,沈喜玲. 科技服务业创新驱动效应研究——以辽宁投入产出表为例[J].科技进步与对策, 2016, 33(15):38-43.
[13] LAFUENTE E, VAILLANT Y, VENDRELL-HERRERO F. Territorial servitization: exploring the virtuous circle connecting knowledge-intensive services and new manufacturing businesses[J]. International Journal of Production Economics, 2017(192):19-28.
[14] 李从欣,李国柱. 科技服务业发展对绿色经济效率影响研究[J].科技管理研究,2018(11):240-245.
[15] 赵冬梅, 陈前前, 吴士健. 双创环境下发展科技服务业助推经济转型升级问题研究——以江苏科技服务业为例[J]. 科技进步与对策, 2016, 33(14):41-46.
[16] 冀鸿, 柳烨. 基于 VAR 模型的科技服务业发展与经济增长关系研究——以吉林省为例[J]. 工业技术经济, 2018, 37(2):66-73.
[17] BRENNER T, CAPASSO M, et al. Causal relations between knowledge-intensive business services and regional employment growth[J].Regional Studies, 2018, 52(2):1721-83.
[18] 倪芝青,陈飞雁,罗如意,等.基于指数测评的浙江省科技服务业发展研究[J]. 科技与经济, 2017(5):66-70.
[19] 牛静, 扈文秀, 贾丽娜. 西安市科技服务业资源整合研究[J]. 科技进步与对策, 2016,33(12):73-77.
[20] PINA K, TETHER BS. Towards understanding variety in knowledge intensive business services by distinguishing their knowledge bases[J]. Research Policy, 2016, 45(2):401-413.
[21] 徐顽强, 孙正翠, 周丽娟. 基于主成分分析法的科技服务业集聚化发展影响因子研究[J]. 科技进步与对策, 2016, 33(1):59-63.
[22] 巫孝君. 协同视域下科技服务业集聚发展研究——基于2012-2016年四川科技服务业数据调查[J]. 科技管理研究, 2018, 11(10): 55-62.
[23] 齐芮, 祁明. 科技服务业集聚对工业效率提升的溢出效应研究——基于2003-2015年中国215个地级以上城市的经验证据[J]. 宏观质量研究, 2018, 6(1):86-94.
[24] FREEL M. Knowledge-intensive business services: geography and innovation[M].Routledge, 2016.
[25] 成刚. 数据包络分析方法与MAXDEA软件[M].北京:知识产权出版社, 2014:149.
[26] 魏权龄. 数据包络分析[M].北京:科学出版社,2004:78.
[27] OH D H,HESHMATI A. A sequential malmquist-luenberger productivity index: environmentally sensitive productivity growth considering the progressive nature of technology[J]. Energy Economics, 2010, 32(6):1345-1355.
[28] WANG K, S W YU, W ZHANG. China′s regional energy and environmental efficiency: a DEA window analysis based dynamic evaluation[EB/OL].http://dx.doi.org/10.1016/j.mcm.2011.11.067.
[29] CHARNES A, CLARK C T, COOPER WW,et al. A developmental study of data envelopment analysis in measuring the efficiency of maintenance units in the U. S. Air Forces[J]. Annals of Operations Research, 1983, 2(1): 95-112.
[30] CHARNE A, W W COOPER, A Y LEWIN, et al. Data envelopment analysis: theory, methodology, and application [M]. Norwell, Massachusetts: Kluwer Academic Publishers, 1994.
[31] 中华人民共和国国家统计局.国家科技服务业统计分类(2015)[EB/OL].(2015-06-04)[2018-07-25].http://www.stats.gov. cn/tjsj/tjbz/201506/t20150604-1115418. html.