创业者机会认知、行为决策与企业家精神
——对JBV 1990-2017年的文献分析

侯军利1,2, 王伟光3

(1.沈阳师范大学 管理学院,辽宁 沈阳 110136;2.东北大学 工商管理学院 辽宁 沈阳 110004;3.辽宁大学 经济学院,辽宁 沈阳 110136)

摘 要:创业者机会认知研究已逐渐成为创业领域、企业管理领域学者关注的重点。此外,企业家精神是创业者创业成功的关键因素。基于文献计量分析方法,应用Nvivo软件对SD(Science Direct)中以创业为主题的文献进行可视化分析并形成词云图和关键词关联图。结果发现,创业活动是以机会为主轴的社会实践活动,其中包括创业者创业机会识别、机会转换及机会商业化过程,创业机会很难独立于创业者或企业家而存在;机会转换过程充分体现了创业者对外在信息或潜在机会的处理方式;机会商业化过程中商业模式本身是创业者对价值创造活动体系的优化过程。基于分析结果发现,创业者和创业团队所表现出的企业家精神对创业活动选择及创业过程行为决策至关重要。

关键词:创业者;机会识别;行为决策;企业家精神

Entrepreneur Opportunity Identification, Behavioral Decision making and Entrepreneurship——Based on the Literature Analysis of the 1990-2017 Years of JBV

Hou Junli1,2, Wang Weiguang3

( 1.Management School, Shenyang Normal University, Shenyang 110136, China;2.Stchool of Business Administration, Northeaster University, Shenyang 110004,China; 3. School of Economics, Liaoning University, Shenyang 110136, China )

AbstractThe study of entrepreneurs' opportunity recognition has gradually become the focus of attention of scholars in the field of entrepreneurship and enterprise management. In addition, entrepreneurship is the key factor for entrepreneurs' success in entrepreneurship. Based on Bibliometric Analysis method, Nvivo software is used to visualize the entrepreneurship-oriented literature in SD (Science Direct) and form word echogram and keyword Association map. The results show that entrepreneurship activities are social practice activities with opportunities as the main axis, including the whole process of entrepreneurship opportunity identification, opportunity conversion and opportunity commercialization. It is difficult for entrepreneurship opportunities to exist independently of entrepreneurs or entrepreneurs; the process of opportunity conversion fully reflects the entrepreneurs' external information or potential. The business model in the process of opportunity commercialization is the system optimization process of entrepreneurs' value creation activities. Based on the analysis results, the entrepreneurship shown by entrepreneurs and entrepreneurship team is very important for the choice of entrepreneurship activities and the decision-making of entrepreneurship process behavior.

Key Words:Entrepreneur; Opportunity Recognition; Behavioral Decision; Entrepreneurship

DOI10.6049/kjjbydc.2018090485

开放科学(资源服务)标识码(OSID):

中图分类号:F272.2

文献标识码:A

文章编号:1001-7348(2019)23-0153-08

收稿日期:2019-05-15

基金项目:国家自然科学基金项目(71573113;71840016);国家社会科学基金青年项目(17CJY024);辽宁省社会科学规划基金项目(L17BJY018);辽宁省教育科研管理智库项目(2K2015027)

作者简介:侯军利(1985—),女,辽宁海城人,博士,东北大学工商管理学院博士后,沈阳师范大学管理学院讲师,研究方向为企业创新行为;王伟光 (1970—),男,辽宁清原人,博士,辽宁大学经济学院教授,研究方向为创新与企业发展。

0 引言

纵观创业研究发展历程,其关注点已逐渐从20世纪80年代对创业本质或特质的认知转化成对创业行为与实践理论的研究。从创业初期体验到创业成功,创业者根据自身对创业活动认知的变化逐渐形成了“情境—思维—行动”的认知反应模式。可见,创业活动是以机会为主轴的社会实践过程,其中包括机会识别、机会利用和机会开发组织等过程[1]。在这一组织过程中,创业者及创业团队自身逐渐形成了“要素投入—创新行为—创新绩效”理论框架,在这一理论框架下,影响创业成败的关键要素是创业者或创业团队是否具备行为理性,即创业者的创业认知成熟度。

著名管理学家德鲁克在《创新与企业家精神》一书中将企业家精神概括为开创性、冒险性和创新性。潜在企业家精神能够提升创业者外部信息获取能力、信息处理和转化能力,最终形成创业者个性化决策方式,这种潜在企业家精神表现为创业初衷——主观意愿或外部诱导。“为何有人选择创业并成为创业者”?企业家精神通过创业选择、行为控制和直观判断直接影响创业过程中的行为决策及创业结果[2]。具备潜在企业家精神的创业者在创业实践中形成的系统化创业认知经验集合构成了创业导向,决定了创业者在创业过程中的行为决策,有利于增强企业竞争力、应对外部市场及政策等环境不确定性带来的创新风险。此外,创业导向决定企业创新行为,其中包括产品创新、技术引进方式和技术应用、品牌塑造、管理创新,以及面对未来不确定性采取的前瞻性行为,有利于企业在创新网络中保持优势地位及竞争力,进而提高企业创新绩效[3]

基于此,本文认为企业家精神是创业者创业认知、创业实践行为乃至创业成功的重要决定因素。从创业源头选择差异性看,其主要在于创业者本身具备的有别于常人的思维方式和认知,这一差异决定了面对未来高度不确定性时,创业者能够根据自身直观判断力和认知能力,形成识别和捕捉创业机会的能力[4]。换言之,这一根本性差异在于创业者在创业初期是否具备潜在企业家精神中所强调的冒险性、开创性和创新性精神。本文通过Nvivo和R语言软件中的文本挖掘与关联分析方法,探索创业认知、行为决策与企业家精神间的深层次关联关系,以为未来研究提供借鉴。

1 文献检索与数据分析

1.1 研究方法

基于创业机会认知、转换、商业化主轴下的理论框架,本文采用文献计量分析方法,即通过现有学者已发表的文献,运用统计学方法分析识别出创业领域的研究热点和发展趋势[5]。在文献收集和整理阶段,本文运用多棱镜文献分析法[6],通过识别、筛选、资格确定和选择4个阶段进行文献回顾。

本文选择Nvivo和R语言软件作为文献分析工具,通过对SD(Science Direct)外文数据库中检索的JBV(Journal of Business Venture)1990-2017年关于创业的文献,依据检索相关度排序,初步检索出151篇文献,基于Nvivo软件词云分析及关键词提取筛选出51篇核心文献作为研究对象,分析创业机会理论及前沿研究问题。

1.2 数据来源

本文依据文献检索中的抽样方法选择相关研究文献。首先,本文文献检索期刊范围锁定国际创业领域顶级学术期刊《Journal of Business Venture(JVB)》 [7];其次,本文将研究时间范围界定为1990-2017年,目的在于深入了解和挖掘不同时代的创业研究,进而得出新时代创业新思想和新思源,为创业企业提供与时俱进的分析结论,使其更具实践指导意义;最后,本文以“Opportunity+Entrepreneur”、“Opportunity+New Venture”关键词为检索依据,对文献资料分别进行单关键词搜索和交叉关键词搜索,旨在揭示同一研究论文不同视角间的交叉关系以及深层次理论交集,并通过交叉对照方式验证所选文献的有效性。

1.3 数据分析

本文对51篇文献在不同时期的分布数量和趋势进行描述性分析。首先,从1990-2017年文献发展趋势看,文献数量呈迅猛增长态势。1990-1999年共发表论文7篇,占总量的13.7%;2003-2008年涌现了9篇论文,占总量的17.6%;直至2015-2017年共发表论文19篇,占总量的37.3%,较上一阶段增长了近3倍,见图1。

图1 1990-2017年文献数量变化趋势

1.4 不同发展阶段比较

本文根据文献数量同期性变化趋势(见图2),对文献进行5个基本阶段划分,并分别运用Nvivo11.0软件对不同阶段文献进行关键词提取与词频分析。

图2 1990-2017年文献阶段性变化趋势

(1)1990-1999年发表关于创业机会的论文共3篇,分别以新商业机会、企业家机会捕捉、企业家精神—能力、需求与机会为主题,从词云图3中可以看出,这一阶段的研究主要集中在“small”、“business”、“growth”等中小企业成长方面。Jennings等[8]认为,企业对商业机会的应变能力应纳入到产业结构研究中,此种应变能力与组织结构、企业策略间关系尤为重要。信息及信息搜寻活动是企业行为的中心,创业者的重要作用是发现机会并利用资源开发机会 [9]。动机理论强调创业者基本能力以及创业动机与主客观因素能够在一定程度上解释不同企业成长的差异性。其中,主观因素主要包括创业者信息累积以及获取信息的能力,创业者通过创办公司、促进经济增长等创新活动体现企业家精神,而初创企业高失败率主要源于创业者个体能力低下[10]

(2)2003-2008年发表关于创业机会的论文共9篇,主要围绕创业机会识别、创业机会成本、创业机会发现、企业家精神持续性、机会认知等主题,从图4词云图中可以看出,这一阶段的研究主要集中在“opportunity”、“entrepreneur”、“information”等机会与企业家信息识别上。企业家个体特征、社会网络及先前知识经验可以提高商业机会警觉性,而创业警觉是机会识别3个过程(机会认知—机会开发—机会评估)的必要条件[11]。在家族式企业中,领导者对所有权结构与公司绩效间关系起调节作用,资金分配是家族企业重要的创业约束因素。这一时期学者开始研究创业者中的企业家特质,以及如何运用这种特质寻找新机会。创业者的创业决策取决于人力资源市场职位与创业者主观志向的匹配性[12]

(3)2009-2011年研究论文数量为7篇,主题主要集中在创业机会识别、企业家经验、机会认知、企业家行为等方面。从图5词云图可以看出,这一阶段的研究主要集中在“opportunity”、“uncertainty”、“information”等方面,即信息处理与机会识别及未来不确定性间的关系。这一阶段的研究已逐渐从创业者转入到企业家相关机会识别等方面。创业活动不确定性的直接结果是导致创业行为失败,有经验的创业者能够识别更多机会、创造更多价值。然而,创业者的失败经验不会一直减少企业创新机会识别数量,两者呈倒U型关系,但其对创新机会开发却没有直接影响[13]。此外,对外界信息的处理是创业机会建构的重要步骤,创业者信息处理方式有助于帮助创业者识别更多外部机会。

(4)2012-2014年相关研究论文共9篇,主要围绕企业家行为、信息处理、机会创造、企业家精神展开。从图6词云图可以看出,这一阶段的研究主要集中在“opportunity”、“enterpreneurship”、“growth”上,即企业成长过程中创新机会与企业家精神间的关系。由此可见,伴随着企业成长,创业者角色逐渐向企业家角色转换,而其主要决策已由创业决策转向行为理性决策。企业家年龄与企业成长间存在负相关关系,但智力资本有助于促进企业家年龄对机会识别的正向作用[14]。特别是制度型企业家面对市场不稳定时,通常会利用自身在领域内的地位创造新市场机会。因此,制度型企业家通常被认为是“孤独的英雄”,即在不断寻找新资源中孤独前行[15]

(5)2015-2017年发表论文数量最多,共计19篇,主要围绕创业机会、创业行为、企业家精神、创业策略、机会搜寻展开。从图7词云图中可以看出,这一阶段的研究主要集中在“enterpreneurial”、“opportunity”、“business”上,即企业创业机会研究。研究表明,有较强创新特征的人更能够捕捉创新机会,并选择创业活动[16],这一创新特征可以表述为企业家精神中的创新性、开创性及冒险性等特征。此外,拥有跨文化学习经验的人更趋向于选择创业活动,根本原因在于特殊资源增加了创业机会的开放性,提高了创业者机会认知能力[17]

图3 1990-1999年词云图

图4 2003-2008年词云图

图5 2009-2011年词云图

图6 2012-2014年词云图

图7 2015-2017年词云图

2 可视化分析结果

2.1 关键词频趋势分析

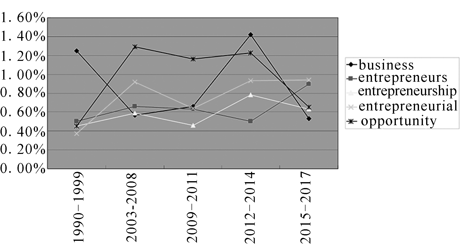
在对不同阶段文本进行分析的基础上,本文对各阶段文献进行关键词词频统计(见表1),虽然不同阶段关键词频排序呈现出较大的差异性,但各阶段排名靠前的关键词主要集中在“business”、“opportunity”、“entrepreneur”、“entrepreneurial”、“entrepreneurship”上。

表1 不同阶段关键词频统计

排序Word(1990-1999年)Word(2003-2008年)Word(2009-2011年)Word(2012-2014年)Word(2015-2017年)1businessopportunityopportunitybusinessentrepreneurial2smallentrepreneurialuncertaintyopportunityentrepreneur3growthentrepreneurinformationentrepreneurialopportunity4developmentventuringdecisionentrepreneurshipentrepreneurship5privateentrepreneursbusinessjournalbusiness6entrepreneurjournalrmgrowthresearch7opportunityinformationentrepreneurialresearchsocial8entrepreneurshipknowledgeentrepreneurinformationentrepreneur9economicentrepreneurshipjournalentrepreneurstudy10entrepreneurialbusinessentrepreneurshipventureventure

本文对各阶段词频排名位居前列的关键词“business”、“opportunity”、“entrepreneur”、“entrepreneurial”、“entrepreneurship”进行词频趋势分析,见图8。从中可见:首先,1999—2012年,“business”与“opportunity”两个关键词出现频率呈此消彼长、完全相反的趋势;其次,“entrepreneurial”和“entrepreneurship”全阶段时间跨度内呈现出完全一致的变化趋势;最后,“entrepreneur”和“entrepreneurial”在1990-2009年均势相同,而在2011-2017年趋势截然相反,特别是2009-2011年呈现出完全一致的频率。

图8 不同阶段关键词频率趋势

由此可见,机会与企业家及企业家精神间的关系密不可分。这种关系首先包括个体成为创业者的选择、企业创业者如何成为企业家,以及企业家精神与企业创新战略、创新行为间的关系。

2.2 创业机会选择

创业者对创业的选择源于自身价值与人力资源市场价值的不匹配,即当现有职位无法实现创业者理想和抱负时,创业者就会在社会经济活动中寻找创业机会。创业者创业主要追求经济利润、社会地位等,受制于创业者自身能力、价值观、个性、现有成就和环境等因素的影响,体现为创业者本性、智商及社会资本。另外,就业市场职业长期分布规律为教师、律师、工程师、经理人和其它,当创业者职能不被现有职业分布接受时,创业者倾向于选择通过自已雇佣自己的方式创造价值[18]。因此,创业者被定义为追求创业机会而雇佣自身服务的人。

个体选择创业的主要原因是个性特征,其中包括风险承受力、创业过程投入时间成本及资金成本[19]。进一步研究发现,具有高风险意识的人倾向于成为就业者,而具有低风险意识的人更有可能成为创业者。为何创业者选择创业而不是就业这一问题的本质是个体在“创业”与“就业”,或是“职业”与“职位”间所作的选择,不同职位需要面对不同程度的风险。同样,不同创业机会面临的风险也各不相同。此外,创业者个体机会成本与其能否成为企业家密切相关,当其具备低机会成本进入市场时,个体更有可能成为创业者并逐渐成长为企业家。此外,在创业过程中通过对社会地位的追逐可以促使创业者在相应社会阶层中备受尊敬,这与企业家精神中的事业追求目标相一致[20]

创业者创业选择除受主观因素影响外,在一定程度上还依赖于外在政策、市场环境变化。换言之,创业决策是创业者主观特征与外在创业机会的动态匹配过程。

2.3 创业决策与企业家精神

伴随着初创企业成长,创业者逐渐成长为企业家,其所呈现出的企业家精神的某些个性化特征影响创业过程中的行为决策理性,特别是机会识别与认知、机会转化和机会商业化过程。本文在上述研究的基础上,运用R 3.2.6软件对文献及关键词进行网络关联分析,见图9和图10。从中可见,所有文本围绕“机会”一词呈现出错综复杂的网络关系,在图10关键词网络关联中进一步体现了创业、认知、企业间的网络关系,特别是机会认知是创业机会转化及机会商业化全过程的开始,而其中企业家精神起到决定性作用。

图9 文献网络关联图

图10 关键词网络关联图

学者关于企业家信息处理过程的研究主要集中在问题解决与决策机制、创新、机会认知和企业家警觉性等方面[21]。熊彼特的破坏式创新理论强调创新是新信息带来的机会,而柯兹纳的人类行为学理论强调企业家的信息处理对创新机会的重要性[22],企业家不仅是创新机会重要的识别主体,更是创新机会重塑过程中的重要环节。企业家对信息的识别与认知程度受制于信息来源、信息警觉性和信息提示3个环节,信息处理能够让企业家置身于创新机会之中。因此,企业家如何利用内部或外部信息识别创新机会至关重要,这其中既包括企业家对信息的处理过程,又包括企业家对创新机会的认知和建构过程[23]。企业发展过程中的机会识别与机会重构、转换都需要企业家高度参与,企业家如何在众多信息中发现机会、如何对信息再处理产生新创意、如何将机会进行商业化转换对初创企业发展至关重要。

企业家对创新机会的识别与认知取决于信息处理过程。从认知理论视角,企业家或创业者对外部信息的认知与处理由其已存在的既定模式决定,并依据外部环境变化确定其逻辑结构。因此,认知理论认为,企业家对不同资源的组合或配置是创新或商业机会的基础。另外,从行为主义(constructionist perspective)理论视角出发,在试错机制中,企业家自身是信息的阐述者,企业家为获取更多信息愿意分享信息、创造新想法和新创意。从这一角度看,企业家是创新信息和商业机会的构建者。

3 创新机会新解读

创业者创业行为包括创业选择决策及创业过程行为决策两个阶段。马斯洛需求理论强调,人的需求分为生理需要、安全需要、归属需要、自尊需要及自我实现需要[24]。因此,创业者创业动机包括经济需要和社会需要,经济利益通常是创业者选择创业的基本动机;创业者社会动机主要包括社会地位、认可、成就感、自信等被尊重和自我实现的需要,这类需要是由基本创业动机实现而后衍生的。因此,创业者创业选择受制于个人对利润、成功及社会地位等多方因素的共同影响,创业者个体价值观、个性、品德、知识和技术差异性对企业不同阶段的影响呈现出较大的差异性,如创新性和风险偏好较高的创业者更热衷于企业创新活动投入和科研人才引进[25];在创业过程中,较高凝聚力创业者有助于增强创业团队成员间的彼此信任,有利于创业团队成员间高效互动。从机会视角出发,创业机会源于创业企业所处环境的动态不均衡性和复杂性,这种复杂性有助于促进创业活动的发生,特别是行业创新不断迭代的作用,有利于初创企业开发新产品、创造新市场机会,获取未来市场潜在高收益。因此,创业者机会认知影响企业创业行为全过程,决定创业机会加工与转换效率及创业机会商业化成果,见图11。

3.1 创业机会认知

创业机会是创业活动的核心和基础,是指运用新手段完成新目标、引入新产品、新服务和新组织方式的可能性。创业机会识别包括创意产生、机会识别和机会评价3个过程。虽然,创业机会存在于客观环境中,但创业机会仍需要被创业者识别与发现[26],创业者对创业机会高效快速的识别能够迅速填补市场空缺,重塑市场均衡。创业机会识别与判断受制于创业者的信息处理与机会识别能力、认知推理能力、情绪等非理性因素以及决策标准等一系列认知能力[27]。因此,创业机会识别研究可以解决“为何创业者能够发现和识别潜在机会”、“创业者需要具备何种创业认知或知识经验结构才能够识别出现有资源、制度、环境下的创业机会”。

现有关于创业机会来源的研究表明,创业机会主要来源于两个重要途径:一是创业机会存在于客观环境中,即创业机会发现是一个“印迹”过程;二是创业机会可以重塑,即在创业者具备创业经验后,不仅能够快速捕捉新创业机会,还能够充分利用创业机会。虽然,外部环境如技术进步、基础设施、政治及文化等条件能够为创业者提供众多创新机会,但创业者创业过程中对创业机会的识别与建构更有利于现有经济下多产业、多行业价值链交互发展[28],形成产业优势竞争力及新技术机会。

3.2 创业机会加工与转换

创业者如何利用创业机会为企业创造价值不仅依赖于创业者自身信息加工能力和处理能力,还依赖于创业者所在创业网络。创业网络既包括创业者个人网络,又包括创业者与其它企业、投资公司间的社会网络,特别是创业企业间的战略联盟、联合投资等网络。企业在网络中的位置决定了其获取创新机会和资源的数量及质量,若企业位于网络核心位置,则意味着其在资源获取、资本获得、机会识别等方面具有较大优势,能够捕获新创业机会、创造新价值。创业机会在加工和转换过程中,创业者本身或创业团队对所获取优势资源的利用,以及将其转换成新产品和服务的能力体现了创业者创业行为的有效性。创业者前期创业经验、自身资源禀赋决定了创业机会转换过程中的逻辑判断力和行为决策标准[29]

3.3 创业机会商业化

创业机会商业化研究有利于解决在何种条件下创业机会能够实现利润最大化。创业机会商业化是创业机会与市场机会的匹配过程,在互联网和信息技术迅速发展的当下,中小企业商业模式的迅速变化促使很多以战略见长的大企业屡遭挫败,如中国“滴滴顺风车”是出行消费市场机会与“互联网+”技术相结合而形成的新型创业机会,造成了对传统大规模出租车公司的冲击。因此,商业模式创新既是创业企业成功的关键战略因素,又是对潜在市场机会的有效挖掘和转换。创业企业商业模式创新过程是创业机会应用和商业化过程,创业机会商业化过程成功与否依赖于创业者对创业精神的传承;此外,在这一过程中,创业者需要将创业想法与外界资源环境相关联,并在相互交流过程中不断识别和辨认潜在创业机会[30]

图11 创业者创业机会认知与创业行为理论模型

综上所述,创业者自身对创业活动的热衷受制于创业者教育背景以及创业经验、创业者创新性、开创性、风险偏好性等因素,这些因素能够有效促进创业者对外在市场机会的加工转换及商业化过程,创业机会商业化利润又可以增强创业者的创业热情,有利于创业者积累成功经验,进而形成以创业企业竞争优势与品牌优势为核心的系统性认知,即创业导向。

4 结论与展望

4.1 研究结论

本文通过对现有文献的系统分析发现,从历史演进过程看,创业认知研究热度呈逐年上升趋势,并在2015-2017年急剧增长。从研究脉络看,形成了创业机会认知、创业机会加工与转换以及创业机会商业化理论体系。虽然从内容上看现有研究紧紧围绕创业活动展开,但本研究分析发现,作为初始创业者的企业家,其潜在企业家精神在创业认知与行为决策中起到关键作用。

(1)创业机会很难独立于创业者或企业家而存在,创业机会最终受企业家创造性想象及社会化技术的影响,如爱迪生发明电灯后,在电灯使用知识普及等方面花费了大量时间和精力。创业者前期创业经验体现了创业者实践能力的积累及创造性想象力[31],即创业者本身通过对社会环境、文化、消费情境等外部环境的迭代思考而创造的新创业机会,如阿里巴巴构建的“双十一”购物节。占据初始市场的创业者依赖于市场机会和组织边界构建[32],创业机会商业化转换依赖于创业者情绪激发[33]。因此,创业成功在一定程度上取决于创业者愿景、精力[34]及创业经验,特别是创业经验中的失败教训可以促使创业者顿悟,获取深层次创业机会,有利于识别和捕捉新创业机会。结合创新价值链理论(IVC),创业机会是价值网络中由核心企业为主导力构建的组织网络的产物,创新网络中非核心企业或初创企业创业机会的获得取决于网络中关键节点企业间的互动联系以及在嵌入网络后企业家及其团队对创业机会的识别与判断。

(2)机会转换过程充分体现了创业者对外在信息或潜在机会的处理方式,创业者以往创业经验的积累以及对外在信息的整合与重构,有利于将外在机会转换成企业适宜性机会,为企业创造新利润。在初创企业成长过程中,企业家被认为是企业策略网络的建筑师,负责搜寻、计划并始终与目标保持紧密联系[35]。企业家已不再被视为被动的行为者[36],而是创新机会的重塑者。企业家网络策略[37]及网络行为会促进企业在机会转换与重构过程中再次获得新机会。

(3)机会商业化过程中商业模式本身是创业者对创新价值链各环节涉及的价值创造活动体系优化的过程[38],在这一过程中创业企业以成本效率优势击败竞争对手,或者是以新产品引入和新价值创造超越现有创新价值网络中的核心企业[39],颠覆现有产业竞争格局。商业模式本身对企业创新绩效的影响已得到学术界广泛认可,但从创业机会商业化过程可以看出,昔日的创业者已逐渐成长为今天的企业家,其对商业模式形成、选择起到至关重要的作用,特别是企业家精神与创新机会互动过程中形成的新商业模式对现有创新价值链中在位核心企业的追赶、超越甚至替代产生了非常重要的影响。

4.2 未来展望

上述研究表明,企业家精神在创业企业成长过程中体现为机敏性、经验性和冒险性等不同层面,本文文献表明企业家特征中的机敏性、创业经验及冒险性对创业机会实现过程(机会识别—机会转换—机会商业化)具有差异化影响,见表2。企业家精神中的机敏性有助于对创新机会的捕捉,而企业家创业经验在一定程度上保证了机会转换以及对外在变换信息流的高效处理,从而能够降低创业过程中的不确定性。另外,创业机会商业化过程需要企业家识别市场机会、捕捉市场缝隙、积累市场经验并对新产品或新服务推销过程中的诸多行为进行冒险性尝试。因此,伴随着初创企业成长,未来可聚集于以下几个方面进行研究:一是创业者向企业家角色转换过程中的内在机制与外在条件;二是创业者体现出的潜在企业家精神对机会实现不同阶段差异性的影响;三是对企业家精神个性特征进行指标选取与确定。此外,不同行业初创企业潜在企业家精神对创新机会的识别与转换也必然存在差异性,未来研究可对创业机会识别、转换及商业化过程中的关键性要素进行分析,并通过创业者跟踪调查进行案例分析。

表2 创业机会实现与企业家精神

机会实现企业家精神机敏性经验性冒险性机会识别 ****机会转换 ****机会商业化******

参考文献:

[1] SHANE S. Prior knowledge and the discovery of entrepreneurial opportunities[J].Organization Science,2000,11(4):448-469.

[2] 张默,任声策.创业者如何从事件中塑造创业能力?——基于事件系统理论的连续创业案例研究[J].管理世界,2018(11):134-149+196.

[3] 高辉,邹国庆.制度理论与高阶理论整合视角下创业制度环境如何影响企业创新绩效[J].科技进步与对策,2019,36(2):69-76.

[4] 陈娟,邢建国.基于新企业成长的商业模式与创业机会匹配——多案例纵向研究[J].科技进步与对策,2018,35(21):23-31.

[5] GARFIELDE. Citation indexes for science an ewdimension in documentation through asociation of ideas[J].International Journa lof Epidemiology,2006,35(5):1123-1127.

[6] MOHERD,LIBERATIA,TETZLAFFJ,et al. Prefered reporting items for systematic reviews and meta-analyses: the prismastatement[J].Medicine,2009,6(7): e1000097.

[7] BUSENITZ L W,CHANDLER G,NELSON T,et al. Entrepreneurship research in emergence: past trends and future directions[J].Journal of Management,2003,29(3):285-308.

[8] JENNINGS D F,SEAMAN S L. Aggressiveness of response to new business opportunities following deregulation: an empirical study of established financial firms[J].Journal of Business Venturing,1990(5):177-189.

[9] KAISH S,GILAD B. Characteristics of opportunities search of entrepreneurs versus executives: sources, interests, general alertness[J].Journal of Business Venturing,1991,6(1):45-61.

[10] 宋正刚,张玉利,何良兴.高质量创业:如何提高创业活动创新性?——对两家“科技小巨人”企业的跨案例研究[J].科技进步与对策,2019,36(5):1-10.

[11] ARDICHVILI A,CARDOZOB R,RAY S.A theory of entrepreneurial opportunity identification and development[J]. Journal of Business Venturing,2003,18(1):105-123.

[12] LEE J H,VENKATARAMAN S. Aspirations, market offerings, and the pursuit of entrepreneurial opportunities[J].Journal of Business Venturing,2006(21):107-123.

[13] UCBASARAN D,WESTHEAD P,WRIGHT M. The extent and nature of opportunity identification by experienced entrepreneurs[J].Journal of Business Venturing,2009,(24):99-115.

[14] MICHAEL M,FRESE G M,GRAF J M. Anna Kampschulte creativity in the opportunity identification process and the moderating effect of diversity of information[J].Journal of Business Venturing,2012(27):559-576.

[15] APRIL L W,ZAMMUTO R F. Creating opportunities for institutional entrepreneurship: the colonel and the cup in english county cricket[J].Journal of Business Venturing,2013(28):51-68.

[16] SHANE S,NICOLAOU N. Creative personality, opportunity recognition and the tendency to start businesses: a study of their genetic predispositions[J].Journal of Business Venturing,2015,30(3):407-419.

[17] VANDOR P,FRANKE N. See Paris and found a business the impact of cross-cultural experience on opportunity recognition capabilities[J]. Journal of Business Venturing,2016,31(4):388-407.

[18] KNIGHT F H. Risk, uncertainty, and profit[M]. Boston:Hougthon Mifflin Company,1921.

[19] KIHLSTROM D,DAN L. Timid choices and bold forecasts: a cognitive perspective on risk taking[J].Management Science,1993,39(1):17-31.

[20] 刘志阳,李斌,陈和午.企业家精神视角下的社会创业研究[J].管理世界,2018(11):171-173.

[21] KIRZNER I. Perception, opportunity, and profit[M].Chicago:University of Chicago Press,1979.

[22] SHANE S. A general theory of entrepreneurship, the individual-opportunity nexus[M].UK:Edward Elgar,2003.

[23] VAGHELY I P,JULIEN P A. Are opportunities recognized or constructed an information perspective on entrepreneurial opportunity identification[J].Journal of Business Venturing,2010,25:73-86

[24] ORWA B O. An examination of factors influencing entrepreneurial opportunity identification process[J].University of Illinois at Urbana Champaing,2004.

[25] SHANE S,VENKATARAMAN S. The promise of entrepreneurship as a field of research[J].Academy of Management Review,2000(25):217-226.

[26] SHANE S. Reflections on the 2010 AMR decade award: delivering on the promise of entrepreneurship as a field of research[J].Academy of Management Review,2012,37(1):10-20.

[27] SHEPHERD D,PATZELT H,BARON R. I care about nature,but:disengaging values in assessing opportunities that cause harm[J]. Academy of Management Journal,2013,56(5):1251-1273.

[28] 斯晓夫,王颂,傅颖. 创业机会从何而来:发现,构建还是发现+构建?——创业机会的理论前沿研究[J]. 管理世界,2016(3):115-127.

[29] MUELLER B A,SHEPHERD D A. Making the most of failure experiences: exploring the relationship between business failure and the identification of business opportunities[J].Entrepreneurship Theory and Practice,2014(6):1-31.

[30] SHANE S,NICOLAOU N. Creative personality, opportunity recognition and the tendency to start businesses: a study of their genetic predispositions[J].Journal of Business Venturing,2015,30(3):407-419.

[31] SUDDABY R,BRUTON G D,SI S X. Entrepreneurship through a qualitative lens: insights on the construction and/or discovery of entrepreneurial opportunity[J].Journal of Business Venturing,2015,30(1):1-10.

[32] SANTOS F M,EISENHARDT K M. Constructing markets and shaping boundaries: entrepreneurial power in nascent fields[J].Academy of Management Journal,2009,52(4):643- 671.

[33] JENNINGS J E,EDWARDS T,DEVEREAUX J P,et al. Emotional arousal and entrepreneurial outcomes: combining qualitative methods to elaborate theory[J].Journal of Business Venturing,2015,30(1):113-130.

[34] ALVAREZ S A,YOUNG S L,WOOLLEY J L. Opportunities and institutions: a co-creation story of the king crab industry[J].Journal of Business Venturing,2015,30(1):95-112.

[35] ENGEL Y,KAANDORP M. Tom elfring toward a dynamic process model of entrepreneurial networking under uncertainty[J].Journal of Business Venturing,2017,(32):35-51.

[36] VISSA B. Agency in action: entrepreneurs' networking style and initiation of economic exchange[J].Organ. Sci,2012,23:492-510.

[37] HALLEN B L,EISENHARDE K M. Catalyzing strategies and efficient tie formation: how entrepreneurial firms obtain investment ties[J].Academy of Management Journal,2012,55(1):35-70.

[38] TEECE D J. Business models,business strategy and innovation[J].Long Range Planning,2010,43(2-3):172-194.

[39] MAGRETTA J. Why business model matter[J]Harvard Business Review,2002,80(5):86-92.

(责任编辑:王敬敏)