参与者公平偏好对协作型众包创新绩效激励机制的影响

黄 婷,朱宾欣,马志强

(江苏大学 管理学院,江苏 镇江 212013)

摘 要:协作型众包创新是以最大化创新绩效为目标的众包模式,相关实践案例已有所显现,但协作型众包创新过程中参与方的努力行为经常受到其公平偏好心理的影响。针对这一问题,采用委托代理理论,通过设计仅基于个人创新绩效(AR)和基于总创新绩效(TR)的两种激励机制提升协作型众包创新绩效,并深入探讨公平偏好对激励机制的影响。结果表明,AR机制中参赛者不可能出现利他性努力行为,而TR机制下利己性努力和利他性努力均与公平偏好负相关;两种激励机制下众包创新绩效均随公平偏好敏感度增大而下降,参赛者数量增加是否有利于提升众包创新绩效也取决于公平偏好程度;TR机制一定会产生比AR机制更高的众包绩效及发包方经济收益,但这种价值效应会被参赛者的公平偏好心理所弱化。

关键词:公平偏好;协作型众包创新绩效;利他性努力;绩效激励机制

Research on the Impact of Participant's Fairness Preference on Incentive Mechanism of Collaborative Crowdsourcing Innovation Performance

Huang Ting, Zhu Binxin, Ma Zhiqiang

(School of Management, Jiangsu University, Zhenjiang 212013, China)

AbstractCollaborative crowdsourcing innovation is a crowdsourcing model that aims to maximize innovation performance, and relevant practice cases have emerged nowadays. However, the efforts of the participants in the collaborative crowdsourcing innovation process are often influenced by their fairness preference. In response to this problem, the principal-agent theory is used to design two incentive mechanisms based on individual innovation performance (AR) and total innovation performance (TR) to improve the performance of collaborative crowdsourcing innovation, and to explore the value of fairness preference to incentive mechanism. The results show that participants in the AR mechanism are unlikely to have altruistic efforts, while self-interested efforts and altruistic efforts under the TR mechanism are negatively correlated with fairness preferences; under the two incentive mechanisms, the performance of crowdsourcing innovation decreases with the increase of the sensitivity of fairness preference, whether the increase in the number of participants is conducive to the improvement of crowdsourcing innovation performance depends on the degree of fairness preference; the TR mechanism will certainly produce higher crowdsourcing performance than the AR mechanism and the economic benefits of the crowdsourcer, but this value effect will be weakened by the participants' fairness preference.

Key Words:Fairness Preference; Collaborative Crowdsourcing Innovation; Altruistic Efforts; Performance Incentive

DOI10.6049/kjjbydc.2019010239

开放科学(资源服务)标识码(OSID):

中图分类号:F273.1

文献标识码:A

文章编号:1001-7348(2019)23-0011-09

收稿日期:2019-05-28

基金项目:江苏省社会科学基金项目(17JYD002);江苏省研究生教育教学改革项目(JGLX19_176)

作者简介:黄婷(1980-),女,湖北宜昌人,江苏大学管理学院副研究员、硕士生导师,研究方向为科技创新管理、人力资源管理;朱宾欣(1990-),女,江苏溧水人,江苏大学管理学院博士研究生,研究方向为供应链管理、科技创新管理;马志强(1964-),男,江苏扬中人,博士,江苏大学管理学院教授、博士生导师,研究方向为科技创新管理、人力资源管理。

0 引言

自从Jeff Howe[1]于2006年6月在《连线》杂志上发表《众包的兴起》一文后,众包创新模式受到越来越多企业的关注[1],并且有了较多成功案例[2]。随着Web2.0的发展,网络众包低成本地将地理分布广泛、文化差别巨大的多个不同创新源汇聚到同一个开放平台上,通过众包成员自主管理及协作学习完成众包项目,此即协作型众包。这种模式实际上是一种最大化任务总质量的众包模式,通过对每个众包参与者进行激励,将其所获提交方案质量的总和最大化。例如,众包社区中普遍存在的诸如发帖推广、劳务帮助以及设立多级奖项的设计类任务等均属于协作型众包范畴[3]。与普遍存在的竞赛型众包相比,协作型众包研发过程完全由网络参与者自主管理,对企业内部知识探索能力、问题分解能力要求相对较低,而对知识吸收能力提升的作用较大。另外,它要求企业充分掌握终端市场需求,最大化消费者对新产品创新的主观认识,从而提升网络用户参与热情。同时,协作式众包创新过程一般涉及较复杂的技术问题,接包方外部知识的连接性和保持效果良好[4],体现出互补性模块的特点。菲亚特公司在Fiat500车型设计中通过协作式众包获得了包括排气管造型、保险杠、后视镜等17万辆整车及部件设计方案,由于设计方案集聚了大众智慧,在商业上取得了巨大的成功;著名的开放式众包平台E-bird,全球用户均可通过平台注册自由参与到鸟类研究中,虽然平台没有报酬,但却仍吸引了大量鸟类研究者的踊跃参与[5]。尽管如此,协作型众包由于涉及到成果整合问题,一般管理难度较大、时间跨度较长,并且存在诸多风险要素[6],给项目绩效带来了不确定性。

在激励机制方面,与“赢者通吃”为主要特征的竞赛式众包不同,协作型众包的所有参与者皆对最终方案有所贡献,发包方一般会根据每个参与者提供方案的绩效水平给予其一定的奖励。因此,协作型众包一般能吸引到更多参与者,并引起参与者间频繁的知识交流、技术分享等协作性行为。这种协作行为一方面有助于缩短创新时间、节约参与者努力成本,成为提高众包创新绩效的主要因素;另一方面也会引起参赛者对其他参赛者利益分配公平性的关注,即公平偏好。公平偏好是普遍存在于知识主体中的重要心理特征,具有公平偏好的主体成员往往比较自利,在项目资源、时间、成本等约束下更加关注自身与他人间利益分配的合理性,因此,其在知识共享过程中会将自身获得的物质利益与分配结果仔细斟酌而使知识共享个人效用最大化[7]。实践表明,公平偏好普遍存在于协作型众包参与主体中,由此成为参与者协作型努力水平选择的重要因素,从而显著影响众包创新绩效。例如,雪铁龙公司在新产品外观设计过程中采用模块化协作式众包方式,通过在社交网络设置具体要求,征集6个维度(外壳颜色、内饰装置配置等) 设计,但由于内容目标及奖励机制设计不合理和过度透明,导致出色的参与者由于相互嫉妒而纷纷退出,最后“中庸”作品“脱颖而出”[8]。由此可见,在协作型众包创新激励机制中考虑参与者公平偏好具有重要理论意义和实践价值。

1 文献综述

本文与众包及协作型众包创新机理特征、众包创新激励机制以及知识主体公平偏好(公平关切)心理特征等方面的文献紧密相关。

众包是开放式创新最新的表现形式,其概念最早由Jeff[1]在wired杂志上正式提出,认为众包创新是将传统上由内部员工实现的创新工作外包给一个大型、没有清晰界限的群体去做。Durmusoglu[9]、Hippel[10]、陈劲[11]、Kunal Sinha [12]分别从开放式创新、协同创新、民主化创新等角度阐述了众包创新的内涵,他们都将众包发展归功于计算机和通讯技术的持续发展。众包创新由发包方、接包方和众包平台三大主体维度构成。其中,发包方可以是个体、公共机构、企业,甚至是非盈利性机构[13]。Jeppesen [14]、Brabham[15]通过对Dell的“创意风暴”项目以及Threadless公司的众包T恤项目进行研究,强调了众包平台的重要性。众包创新接包方来自于世界各地,他们通过互联网聚集、利用信息技术沟通[16],包括竞争者、竞合者、合作者和观察者等多种类型。从创新目标、过程和动机角度,众包创新被分为协作型众包和竞赛型众包两大类型[4, 17]。其中,前者需要大众协作完成,并且完成任务的大众通常没有或者很少有奖励回报;后者通常由个人独立完成,完成任务的个人会得到相应奖励。赵喜仓等[18]强调了网络众包创新中的协同效应和集聚效应,探讨了网络众包驱动科技创新的机理和实现路径,为研究协作型众包运作方式奠定了理论基础;Ye & Kankanhalli[19]认为探索众包项目风险十分必要,因为如果交易风险突出而导致绩效未能实现,企业可能会放弃众包项目。在此基础上,Liu等[6]进一步实证研究了协作式众包项目中的风险维度,发现协作型众包面临着众包源风险、平台风险、需求风险、协作风险、任务复杂风险等多类风险因素,并且技术性风险远远高于社会性风险。

如何提升众包项目绩效是众包创新的核心问题,也是激励机制设计的主要任务[20],其建立在参与者动机基础之上。Lakhani[21]对主流众包网站参与者进行调查发现,有1/3的受访者表示经济因素是他们加入这个社区的主要原因,并阐述了物质需求的重要性。除此以外,知识获取和共享[22]、宣传与自我发展[23]、社交[24]等非物质层面需求则是接包方参与的内在需求。在激励机制方面,Megidish& Sela [25] 认为尽管“赢者通吃”型竞赛具有较大的激励作用,但多奖项竞赛却能提高参与人数;朱宾欣等[26]发现众包绩效受项目保留任务量的约束,并据此研究了接包方风险规避对协作型众包激励机制的影响。上述研究主要以纯物质激励为基础。Luo & Tham等[27]为提高用户参与公平性和最大化社会效用,分别提出IDF和TIF两类激励机制;Yang等[28]分别在两种不同感知系统模型中设计了基于信誉值的激励机制。这些研究虽然涉及到社会效用、声誉等非物质激励手段,但研究对象主要为竞赛型众包模式。

公平偏好是协作型任务中成员间协作程度选择的一个关键因素。现有公平偏好效用函数主要包括以FS[29]效用函数为代表的分配公平和以Rabin[30]动机公平效用函数为代表的过程公平,其在供应链定价和协调机制及委托代理理论中有着广泛的应用。Ho & Zhang[31]在供应链契约中考虑到成员公平关切(即公平偏好)行为,定性描述了公平关切效用函数;Caliskan等[32]通过对多种非线性市场需求函数的研究发现,当零售商存在公平关切时,指数需求函数对实现渠道协调的条件相对比较宽松;杜少甫等[33]进一步给出了公平关切效用的定量函数表达式,并探讨了成员公平关切行为对正向、逆向供应链协调性能的影响;蒲勇健等[34]基于公平偏好相关成果,运用心理规律弱化理性假设构建新委托代理模型,研究了代理人关注物质效用和公平分配情况下的最优激励契约与激励效率;曹启龙等[35]、Demougin等[36]则将公平偏好理论融入传统委托代理模型,分析了多任务政府PPP项目及企业激励效果如何受公平偏好的影响。然而,以上研究均未考虑行为主体间的相互协作性。

由以上文献梳理可以看出,现有研究虽然对协作型众包特征和机理进行了较为深入的分析,但对协作型众包创新激励机制的研究总体偏少,而在激励机制中考虑参与者公平偏好的文献更是少见。鉴于此,本文分别设计基于总创新绩效和基于个人创新绩效的协作型众包绩效激励机制。在协作激励机制中,充分考虑参与者的公平偏好特征,分析公平偏好下参与者心理效用函数,并借鉴委托代理理论,深入探讨公平偏好敏感度与参与者努力程度、最优绩效激励程度、众包创新绩效及发包方经济价值间的关系。本研究对于明确公平偏好的作用机理,进一步指导众包实践、提升协作型众包创新绩效水平具有重要意义。

2 模型描述与重要假设

考虑由N(N≥2)个接包方参与协作型众包创新项目,该项目由发包方通过网络平台发布。每个接包方完成其中一个子模块(如雪铁龙众包中将外观设计分为颜色、内饰、Logo等方面的创新),并且参与者间通过知识交流等方式进行一定程度的协作创新,以期低成本、高质量地完成众包任务。根据协作型众包特征,参与者i(i=1,2,...N)不仅需要为自身任务目标付出一定的创新努力ei(称为利己性努力),也需要为其他参与者j(j=1,2,......,N,ji)目标的实现付出大小为Eij的努力(称为利他性努力)。其中,eiEij相互独立。假设作用于参与者i的努力全部转化为创新绩效,则该参与者实现的创新绩效可表示为[17]

(1)

其中,εiN(0,σ2)表示创新绩效的随机扰动,ξi之间相互独立。协作型众包创新项目的特点决定其可通过参与者协同学习降低任务复杂性,有效利用资源,最终提高产出率[4],因而协作型众包总创新绩效(代表项目整体质量水平)可表示为:

(2)

其中,χ0称为整合效应,表示实际创新绩效与每个参与者创新绩效之和的比值,主要受到参与者众包成果整合程度的影响[8]。本文假设χ0>1,表示正整合效应。另外,本文认为成果整合并不一定会引起利他性行为,即(0<λ<1)与Eij无关。

由于信息不对称,发包方无法观察参与方行为,只能通过创新绩效判断其努力程度。为激励参与方付出更高水平的创新努力,本文设计一种固定奖励和绩效奖励相结合的协作型众包创新激励机制。发包方可以给予单个参与者绩效激励,也可以在此基础上实施基于总创新绩效的激励机制,由发包方在经济收益与激励成本之间进行权衡。激励手段包含自治权提升、积分增加、成果分享等非物质形式,但都可以进行物质化处理。若采用总绩效激励方式,则参与方i得到的经济收益可表示为:

wi=ai+βiyi+γiY i=1,2,...N

(3)

其中,ai为固定奖金,βi为基于个人创新绩效的单位奖励程度,γi为基于总创新绩效的单位奖励程度。显然,参与者奖励收入即为发包方的激励成本。

另外,本文还设定其它重要假设如下:

(1)为方便讨论,不失一般性,假设所有参与者具有同质性,故固定薪酬一致,即a1=a2=......=aN=a。由对称性可知,基于个人创新绩效和基于总创新绩效的单位奖励程度均一致,即有β1=β2=......=βN=β,γ1=γ2=......=γN=γ

(2)参与者实现创新绩效需付出一定的努力成本。根据创新型众包项目特征[4],参与者i利己性努力成本和利他性努力成本分别与努力水平eiEij正相关,且满足边际努力成本凸性递增规律,即总努力成本为其中,k为创新成本系数。

(3)所有众包参与者均具有公平偏好心理。即参与者不仅关注自身期望收益,也同时关注其他所有解答者与自身期望收益的差异。参照杜少甫等[33]的研究,公平偏好下参与者决策目标为效用最大化。其效用公式可表示为:

(4)

其中,πi为期望收益;λ(0<λ<1)为公平偏好系数,表示参与者对公平的敏感程度,当自身期望收益低于其他参与者 (πi<πj)时,心理效用降低,表现出“妒忌”心理;反之,心理效用增加,表现出一定的“自豪感”。

(4)创新绩效收益转换率为1。即发包方经济收益可用协作型众包创新总绩效(式(2))表示。

(5)在发包方和参与方决策过程中,发包方为领导者,参与方为追随者;参与方之间为静态博弈。

(6)所有参与者均为风险规避,风险规避系数为ρ。发包方为风险中性。

本文分别对基于众包总创新绩效和仅基于参与者个人创新绩效的激励机制进行研究,分析两者的作用机理,探讨参与者两类努力程度,即单位绩效奖励程度、协作型众包创新总绩效以及经济效益如何受公平偏好的影响,并详细对比两种激励机制的差异。

3 基于协作型众包创新总绩效的激励机制(TR模式)

在该激励机制下,发包方不仅根据参与者个人负责模块的创新绩效给予其奖励,而且基于项目总创新绩效水平给予每位参与者一定的奖励。激励机制主要流程如图1所示。

图1 TR激励机制流程

TR机制下,参与者以效用最大化为决策目标。效用主要由参与者期望净收益(绩效奖励收入与两类努力成本和风险成本之差)决定,但受到公平偏好心理的影响。根据上文描述及公平偏好效用函数,得到众包创新参与者i的效用如式(5)。

+1)+2χ02)

(5)

发包方期望经济收益为总创新绩效与激励成本之差为:

(6)

由委托代理理论可知,发包方通过设置合理的单位绩效奖励程度βγ,激发参与者付出最大的创新努力程度eiEij,以提升众包项目总创新绩效水平,从而实现期望经济收益最大化。另外,基于发包方理性和信息不对称假设,发包方不会让参与者得到高于保留效用的心理效用。用逆向回溯法求解,得到公平偏好下参与者i的最优利己性创新努力和利他性创新努力表达式为:

(7)

发包方基于参与者个人创新绩效和总创新绩效的单位奖励程度、协作型众包项目总绩效水平以及发包方期望经济收益分别为:

(8)

为书写简便,以下设b=kρσ2,表示参与者的风险成本因子,由此可以得到如下重要结论:

结论1:在TR激励机制下:①参与者利己性创新努力水平与公平偏好程度负相关;②参与者利他性(协作性)创新努力水平EijTR*亦与公平偏好程度负相关。

该结论表明,参与者公平偏好会同时降低其利己性创新努力水平和利他性创新努力水平。原因在于,高公平偏好参与者会对他人与自身经济收益的差距给予充分关注。一方面,付出利他性努力将提升其他成员的创新绩效和收益水平,降低自身相对收益;另一方面,利己性努力也会提高众包项目总绩效水平而使其他参与者受益。于是,预期他人“搭便车”行为的想法将催生“妒忌”心理,同时降低两类创新努力行为程度,从而不利于提升众包创新总绩效,这从后面数值仿真部分可以得到验证。

结论2:在TR激励机制下:①个人创新绩效单位奖励水平βTR*始终与公平偏好程度负相关;②当公平偏好程度较低时,总创新绩效单位奖励水平γTR*与公平偏好正相关,当公平偏好程度较低时,总创新绩效单位奖励水平γTR*与公平偏好负相关。

结论2表明,TR机制下,众包参与者公平偏好程度影响发包方付出的创新绩效奖励程度。首先,如结论1所示,随着公平偏好程度增大,参与者因利益差距感知而降低利己性创新努力程度,这使得发包方绩效奖励对经济收益的边际效应不断减小,引起个人创新绩效单位奖励水平b下降。这一循环必然加速利己性努力下降趋势;其次,公平偏好与总创新绩效单位奖励水平γ之间呈凸性关系。当公平偏好程度低于某一阈值时,公平偏好有助于提高总创新绩效单位奖励水平;当低于该阈值时则结论相反。这说明,当参与者公平偏好程度较弱时,作为激励机制主导者的发包方可通过提高总创新绩效奖励方式加强参与方间的协作效应,以此克服公平偏好对个人绩效的负面影响;而当参与者公平偏好较强时,总创新绩效奖励增加的利他性创新努力不足以抵消利己性创新努力的下降,发包方不得不从经济收益方面考虑,通过降低奖励水平的方式削减成本。从这一角度,参与者公平偏好将削弱其相对于发包方的讨价还价能力,影响自身经济利益的实现。结合结论1,本文总结出参与者公平偏好对激励机制的作用机理,如图2所示。

图2 参与者公平偏好对激励机制的作用机理

4 仅基于参与者个人创新绩效的激励机制(AR模式)

在该激励机制下,发包方仅根据参与者个人负责模块的创新绩效给予其一定奖励,激励机制主要流程如图3所示。

图3 AR激励机制流程

在AR激励机制下,考虑到参与者公平偏好和风险成本,心理效用目标可表示为:

(9)

仍假设协作型众包创新中各模块整合效应为χ0,则接包方的期望经济收益为:

(10)

仍然基于发包方理性和信息不对称假设,考虑发包方不会让参与者得到高于保留效用的心理效用。用逆向回溯法求解,得到AR机制下参与者利己性努力程度、利他性创新努力程度,个人创新绩效单位奖励程度、协作型众包总创新绩效水平、发包方期望经济收益为:

(11)

由此可见,若发包方仅奖励参与方个人创新绩效,则理性参与方不会付出任何利他性创新努力。进一步研究公平偏好对AR激励机制的影响,得到以下重要结论:

结论3:在AR激励机制下:①个人创新绩效单位奖励水平、参与方利己性努力水平、众包项目总创新绩效以及发包方经济收益均与公平偏好程度λ负相关;②个人创新绩效单位奖励水平、参与方利己性努力水平与参赛者数量N负相关,当公平偏好程度时,众包项目总创新绩效与参赛者数量正相关,当公平偏好程度λ>时,众包项目总创新绩效与参赛者数量负相关。

该结论表明,若发包方实施仅基于参与者个人创新绩效的激励机制,不仅参与者之间不会产生任何协作效应,参与者利己性创新行为及发包方个人创新绩效单位奖励水平也会因发包方的公平偏好而下降。原因与TR机制类似,在协作型众包过程中参与者会预期他人可能的“搭便车”行为,催生“嫉妒”心理,在降低努力程度的同时造成总创新绩效水平下降。虽然发包方会以降低奖励程度的方式削减激励成本,但仍然无法阻止其经济收益的减少。

另外,在AR激励机制下,协作型众包参与者数量增加是否会提高总创新绩效水平也取决于参与者公平偏好程度大小。若公平偏好程度较小,总创新绩效随参与者人数增加而提升;若公平偏好程度较大,则总创新绩效随参与者人数增加而下降。这说明,多个参与者公平偏好效应将被累加。当参与者数量较大时,累积的“嫉妒”心理会对众包项目总创新绩效产生较大负面影响。因此,在协作型众包创新过程中,盲目吸引更多参与者(或者过分细分任务模块)不一定可取,还需要综合考虑参与者公平偏好程度,否则很可能产生反向效果。

最后,比较TR和AR两种激励机制,得到如下结论:

结论4:TR机制下个人创新绩效单位奖励低于AR机制,利己性创新努力水平高于AR机制,协作型众包项目整体创新绩效水平高于AR机制。

该结论表明,与仅实施基于参与者个人创新绩效的AR机制相比,TR机制不仅能产生更高的利他性创新努力(前者不会产生利他性创新努力),也能激发参与者付出更多利己性努力。由于这两类创新努力共同决定了众包项目创新绩效,因而TR绩效机制下众包总创新绩效水平明显高于AR机制。然而,由于TR机制下发包方需根据众包创新总绩效给予额外奖励,出于激励成本的考虑,发包方给予参与者的个人创新绩效单位奖励低于AR机制。由此可见,在协作型众包创新过程中,若实施TR机制,即便给予参赛者的个人创新绩效奖励不高,参与者也有动力提高创新努力程度,从而获得更多创新总绩效奖励。由此可见,从提高众包创新方案整体质量角度,TR机制具有更强的吸引力。

5 案例与数值仿真

鉴于模型结果的复杂性,本文运用案例分析+数值仿真方法探讨TR机制下协作型众包总创新绩效、发包方经济收益与公平偏好程度以及参与者数量间的关系,并探讨TR激励机制价值如何受参与者公平偏好的影响。类似于文献[26],本文采用InnoCentive科研众包平台中的案例数据进一步探讨协作型众包创新激励机制效果。InnoCentive被称为“全球最强大脑”集结平台,是许多公司发布技术难题的重要渠道。求解者(发包方)在平台中公布难题信息,注册的解答者(接包方,称为Solvers)可以任意选择感兴趣的难题。平台难题涉及范围较广,难度差异较大。问题解决后,由求解者根据各解题者的贡献给于1 000-5 000美元的奖金,这是较为典型的协作型众包创新案例。

基于前期调研成果,本文选取InnoCentive平台中某Matlab编程问题作为仿真案例。案例中相关原始数据来源于两个项目参与者的在线调研(邮件、问卷方式)、发布者在线访谈及第三方机构项目价值评估,并进行一定程度的加工、规范化和归一化处理,如表1所示。

表1 本案例基本参数说明

参数风险因子(ρσ2)创新努力成本系数(k)整合效应(χ0)保留效用(S-)值0.811.20

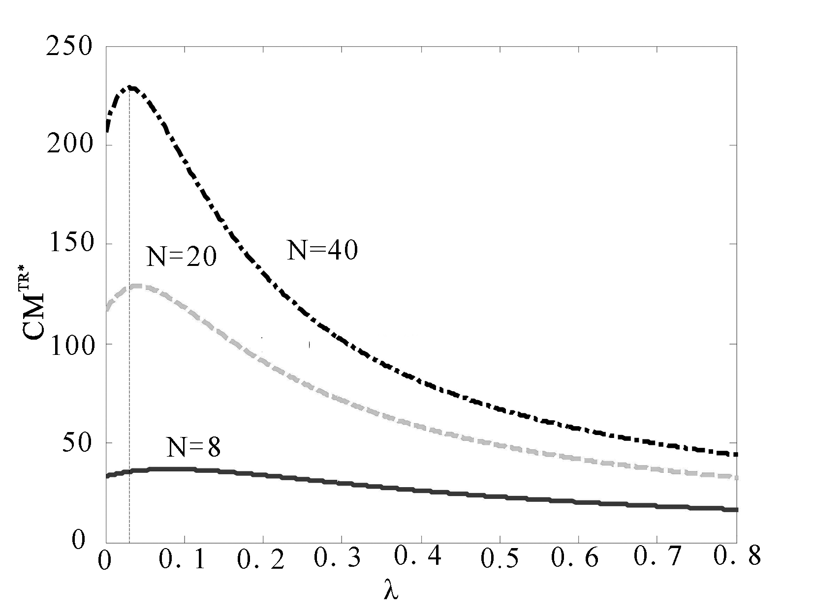
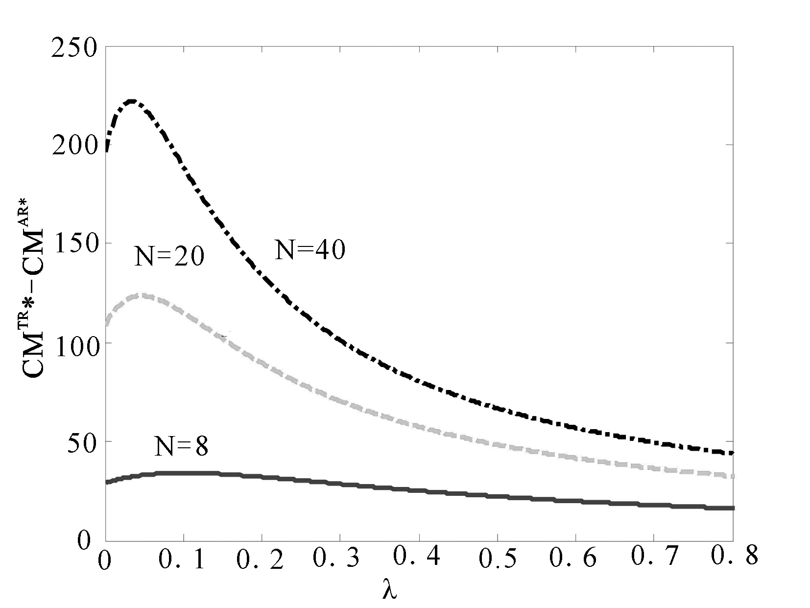
首先,设定N=8、N=15和N=25,分析TR模式下众包创新总绩效、发包方经济收益随公平偏好λ的变化情况,得到图4和图5。其次,探讨TR机制的经济价值(用TR机制下发包方经济收益与AR机制下发包方经济收益之差表示)受以上两个参数的影响,得到图6和图7。

图4 λ对TR模式众包创新总绩效的影响

由图4可知,无论N如何变化,TR激励机制实现的众包创新总绩效水平随参与者公平偏好的增大而下降,这进一步验证了结论1。另外,N越大,总创新绩效曲线位置越高,说明TR机制下参赛者数量增加始终有助于提升总创新绩效,这与AR机制下的结论(结论3)存在一定差异。原因在于,总绩效奖励对众包的正面影响大于公平偏好的负面影响。仔细观察图1可以发现,λ值越大,3条曲线间的空间距离越小,λ趋向于1时3条曲线几乎重合。这说明,参与者公平偏好会降低参赛人数的边际效应。公平偏好程度越大,受制于单个参赛者两类创新努力程度降低的影响,增加参赛者数量对提升众包整体创新绩效的作用就越有限。

由图5可知,从发包方经济利益角度考虑,参与者公平偏好并不有利。除非公平偏好处于很低的水平,否则发包方期望经济收益随公平偏好程度的增大而下降。根据结论2,尽管发包方会通过降低总创新绩效单位奖励水平γ以及个人创新绩效单位奖励水平β的方式削减激励成本,但这并不足以抵销众包创新总绩效下降引起的收益损失 (除非公平偏好处于很低水平,此时公平偏好对众包创新总绩效的负面影响并不明显)。从图5还可以看出,参与者数量增加有利于提升发包方经济效益,但这种提升效应也会随公平偏好程度的增大而下降。因此,对类似于InnoCentive平台中的协作型众包创新项目而言,无论是从提高众包项目总体创新绩效,还是从最大化经济利益角度,吸引更多Solver加入不一定能起到预期作用。应该综合考虑Solver的心理动机,有目的地吸引公平偏好程度较低的参与者参与,以获得理想的众包创新方案。

图5 λ对TR模式发包方经济收益的影响

从图6和图7可以看出,无论λ多大,E(YTR*)-E(YAR*)以及CMTR*-CMAR*的曲线始终位于0轴以上。这说明,采用TR激励机制不仅能产生更高的众包项目整体创新绩效(结论4),更能给发包方带来更大的期望收益。也即,虽然TR机制中发包方需要根据项目总绩效水平给予每个接包方一定的物质奖励,但由于创新绩效提升带来的创新收益将超过奖励成本,发包方仍有实施TR机制的经济动机。进一步分析可知,N越大,TR机制创造的绩效价值和经济价值曲线位置越高。并且,随着λ的增大,不仅各曲线呈下降趋势,曲线间的间距也越来越小。这说明,大多数情况下,TR机制的价值效应随参与者公平偏好的增大而下降(除非公平偏好程度很小)。参与者公平偏好程度越高,发包方实施TR机制的经济动机越弱。另外,参赛者数量增加有利于整体协作行为频率提高,这有助于强化TR机制价值效应,但这种作用显然也被参与者公平偏好所弱化。

图6 λ对TR模式众包总创新绩效增量的影响

图7 λ对TR模式发包方经济收益增量的影响

6 结论与启示

本文采用委托代理理论,结合案例分析方法,研究由多个具有公平偏好参与者及一个发包方组成的协作型众包创新项目,探讨参与者公平偏好对绩效激励机制的影响。本文将参赛者创新努力行为分为利己性和利他性两类,推导参与者公平偏好效用和确定性收益表达式,以此为目标函数建立并求解基于众包总创新绩效的激励机制(TR)以及仅基于参与者个人创新绩效的激励机制(AR)模型,对比分析并总结公平偏好的作用机理。研究发现:①参与者公平偏好降低了其利己性创新努力程度及发包方个人创新绩效单位奖励程度;②在TR机制下,公平偏好程度一定会降低参与者利他性创新努力,发包方基于创新总绩效的单位奖励水平随公平偏好增大先上升后下降。AR机制下参与者不会产生利他性创新努力;③TR机制下协作型众包创新总绩效随公平偏好的增大而下降,随参与者数量的增加而上升,AR机制下协作型众包创新总绩效随参与者公平偏好的增大而下降,其与参与者数量的关系受公平偏好的调节作用;④TR机制一定能产生比AR机制更高的众包创新总绩效及发包方经济收益,但除非参与者公平偏好程度极低,否则参与者公平偏好的存在将弱化TR机制激励价值的实现。因此,发包方开展TR激励机制的经济动机随参与者公平偏好的增大而减弱。

本文是文献[26]研究的进一步深入。文献[26]仅考虑了参与者对众包绩效不确定性风险的规避。本文不仅考虑风险规避,更在此基础上研究了参与者对相互间利益公平的偏好心理。因此,本文结论与文献[26]显著不同,并在某些方面修正了文献[26]的部分结论。其一,文献[26]发现,参赛方数量增加一定会降低发包方经济收益,而本文研究结果显示,在AR机制下,由于存在公平偏好,两者间的关系存在不确定性。当公平偏好较强时,参赛方数量增加反而会降低发包方经济收益;其二,文献[26]认为当创新保留任务量较低时,AR机制下参与者的利己性创新努力高于TR。而本文发现,由于公平偏好催生了对他人搭便车行为的“妒忌”, AR机制下的利己性创新努力程度也会低于TR模式。根据本文结论,得到如下管理学启示:

(1)TR机制能够实现更高的众包项目整体绩效及发包方期望经济收益,因而发包方应该采用基于协作型众包总创新绩效的激励机制。首先,协作型众包在复杂问题解决方面更有优势,因而发包方在众包平台上发布的任务应具有一定的挑战性,使得参与者为完成任务而自动结成协作型团队,发挥目标激励的作用;其次,在协作型众包中,发包方应把任务原则、问题和解决过程完全向大众公开,在参与者间形成良好的协同氛围;再次,邀请相关领域专家及业内资深人士加入众包平台,借助其知识和经验进行方案评价。不仅需要合理评价每个参与者负责模块方案的质量绩效,更要从各子方案间兼容性和可整合性角度,从整体上评估众包项目质量水平,将其作为绩效奖励的依据;最后,基于网络众包平台创建知识交流社区,鼓励各发包方间共享知识成果,提高协作型创新努力程度,从而降低创新成本、提高创新绩效。

(2)无论哪种激励机制,参与者公平偏好对创新努力程度和众包项目总绩效水平均呈负面影响,因此应谨慎对待众包参与者的公平偏好心理。在吸收接包方加入协作型众包项目前,应该对其心理动机进行有效预测,拒绝“妒忌心”太强的个人参与协作创新项目。同时,在众包创新过程中也应通过交流平台密切关注现有接包方的心理动机,引导其客观评价自己的作用,积极主动调整自身意识和行动,从而控制自身动机和感情,化“嫉妒”为“自豪”,努力消除公平偏好心理的负面影响。

(3)TR机制下,参与者人数有助于加大相互间的协作效应,从而提升协作型众包项目创新绩效。发包方首先应降低参与众包的门槛,弱化学历、资质方面的限制,只要具备一定专业知识皆可参加众包项目;其次,应明确众包创新项目目标和任务细节,加大项目奖励额度,提高众包项目吸引力;最后,发包方应该适当细化“模块化众包”思想,对任务进行有效分解,通过增加众包模块数量吸引更多接包方加入。

然而,本文也存在如下不足:①仅考虑了参与者间的横向公平偏好,而对于参与者与发包方经济收益间纵向公平偏好的作用机理未作探究。事实上,根据相关调研,接包方参与众包意愿不强的一大原因在于奖金机制设计不合理,认为自身为企业创造的价值与所得利益不成正比,因而参与者纵向公平偏好也具有较大的研究价值;②设计的激励机制以纯物质激励为主,未来可在激励机制中考虑将声誉、知识共享、信任等非物质因素纳入其中,并且可与竞赛型众包创新激励效果进行对比;③主要采用理论研究+数值仿真方法,一些重要研究结论未经实证检验,未来可考虑对众包创新中公平偏好的作用机理进行实证分析。

参考文献:

[1] ESTELLÉSAROLAS E. Towards an integrated crowdsourcing definition[J]. Journal of Information Science, 2012, 38(2): 189-200.

[2] 夏恩君. 国外众包研究现状和趋势[J]. 技术经济, 2015, 34(1): 28-35.

[3] 丁慧平, 侯文华, 米捷,等. 不同风险偏好下两类众包机制最优决策[J]. 系统工程, 2017 (5): 51-61.

[4] 叶伟巍, 朱凌. 面向创新的网络众包模式特征及实现路径研究[J]. 科学学研究, 2012, 30(1): 145-151.

[5] VOß G G, RIEDER K. Under paid innovators: the commercial utilization of consumer work through crowdsourcing[J]. Science Technology & Innovation Studies, 2008, 4(2): 5-26.

[6] LIU S,XIA F,ZHANG J,et al.Exploring the trends, characteristic antecedents, and performance consequences of crowdsourcing project risks[J]. International Journal of Project Management, 2016, 34(8): 1625-1637.

[7] 施建刚, 林陵娜, 唐代中. 考虑横向公平偏好的项目团队成员知识共享激励研究[J]. 运筹与管理, 2015, 24(6): 242-250.

[8] 王开阳, 索玮岚, 陈锐. 成果整合视角下的创意众包机制分析[J]. 科学学研究, 2017(9): 156-162.

[9] DURMUSOGLU S S. Open innovation: the new imperative for creating and profiting from technology[J]. Journal of Engineering & Technology Management, 2004, 21(3):241-244.

[10] HIPPEL E V.Democratizing innovation: the evolving phenomenon of user innovation[J]. Journal für Betriebswirtschaft, 2005, 55(1): 63-78.

[11] 陈劲. 协同创新[M]. 杭州: 浙江大学出版社, 2012.

[12] KUNAL SINHA. New trends and their impact on business and society[J]. Journal of Creative Communication, 2008(3): 305-317.

[13] ESTELLÉS AROLAS E. Towards an integrated crowdsourcing definition[J]. Journal of Information Science, 2012, 38(2): 189-200.

[14] JEPPSEN L B, LAKHANI K R. Marginality and problem-solving effectiveness in broadcast research[J]. Organization Science, 2010, 21(5): 1016-1033.

[15] BRABHAM D. Moving the crowd at threadless: motivations for participation in a crowdsourcing application[J]. Information, Communication & Society, 2010, 213(8): 1122-1145.

[16] JOURET G. Inside Cisco's search for the next big idea[J]. Harvard Business Review, 2009(9): 43-45.

[17] 涂艳, 孙宝文, 张莹. 基于社会媒体的企业众包创新模式研究综述[J]. 科技进步与对策, 2015, 32(5): 156-160.

[18] 赵喜仓, 朱宾欣, 马志强. 大数据背景下网络众包驱动科技创新的机理及路径研究[J]. 科技进步与对策, 2016, 33(12): 23-28.

[19] YE H, KANKANHALLI A. Investigating the antecedents of organizational task crowdsourcing[J]. Information & Management, 2015, 52(1):98-110.

[20] 刘新同, 许娟娟. 网络众包价值协同、吸收能力对中小企业创新绩效的影响[J]. 科技进步与对策, 2017, 34(5): 92-97.

[21] LAKHANI K, JILL A P. The principles of distributed innovation [J]. Innovations: Technology, Governance, Globalization Summer, 2007, 2(3): 97-112.

[22] MASLOW A H. A theory of human motivation[J]. Psychological Review, 1943, 50(4): 370-396.

[23] DIBONA C, STONE M, COOPER D. Open sources 2.0: the continuing evolution[M]. Sebastopol. CA: O'Reilly Press, 2005.

[24] PILLER F T, WALCHER D. Toolkits for idea competitions: a novel method to integrate users in new product development[J]. R & D Management, 2010, 36(3): 307-318.

[25] MEGIDISH R, SELA A. Allocation of prizes in contests with participation constraints[J]. Journal of Economics & Management Strategy, 2013, 22(4): 713-727.

[26] 朱宾欣, 马志强, 李钊. 风险偏好下的协作型众包项目绩效激励机制研究[J]. 工业工程与管理, 2019,24(3):60-68.

[27] LUO T, THAM C-K. Fairness and social welfare in incentivizing participatory sensing [C].Proceedings of the 9th Annual IEEE Communications Society Conference on Sensor, Mesh and Ad Hoc Communications and Networks. Piscataway, NJ: IEEE, 2012.

[28] YANG D,XUE G,FANG X,et al.Crowdsourcing to smartphones: incentive mechanism design for mobile phone sensing, 2012[C].International Conference on Mobile Computing and Networking. New York: ACM, 2012.

[29] FEHR E, GACHTER S. Fairness and relation: the economics of reciprocity[J]. Journal of Economic Perspectives,2000,14(3): 159-181.

[30] RABIN M. Incorporating fairness into game theory and economics[J]. The American Economic Review, 1993, 83(5): 1281-1302.

[31] HONG T H, ZHANG J. Designing pricing contracts for bounded rational customers: does the framing of the fixed fee matter[ J]. Management Science, 2008, 54( 4): 686-700.

[32] CALISKAN-DEMIRAG O. Channel coordination under fairness concerns and nonlinear demand[J]. European Journal of Operational Research, 2010, 207(3): 1321-1326.

[33] 杜少甫, 杜婵. 考虑公平关切的供应链契约与协调[J]. 管理科学学报,2010, 13(11):41-48.

[34] 蒲勇健, 郭心毅, 陈斌. 基于公平偏好理论的激励机制研究[J]. 预测, 2010, 29(3):6-11.

[35] 曹启龙, 盛昭瀚, 周晶,等. 公平偏好下PPP项目多任务激励问题研究[J]. 预测, 2016, 35(1): 9-15.

[36] DEMOUGIN, FLUET, HELM. Output and wages with inequality adverse agents[J]. Canadian Journal of Economics, 2006, 39(2): 399-413.

(责任编辑:王敬敏)