何海燕1,李梦迪2,李宏宽1,单捷飞2
(1北京理工大学 管理与经济学院;2北京理工大学 人文与社会科学学院,北京100081)
摘 要:我国军工企业科技人才大量流失成为军民深度融合面临的巨大障碍,给新军事革命带来了挑战。基于双层嵌入理论和需求拉动理论,构建我国军工企业科技人才流失影响因素DBOE模型,使用DEMATEL-AHP方法筛选出影响因素中的关键要素。研究发现,科研能力和收入报酬对军工企业人才流失的影响较大,而企业文化的影响相对较小。具体来看,我国军工企业科技人才流失影响因素前四位分别是基本工资、绩效工资、物质支持和精神支持;科研能力与其它指标关系最为紧密,在对其它因素产生显著影响的同时,也容易受其它因素影响。
关键词:军工企业;科技人才;人才流失;影响因素
收稿日期:2019-01-21
基金项目:高校军民融合科研创新体系研究(2017ZL16)
作者简介:何海燕(1963-),女,河北邯郸人,北京理工大学管理与经济学院教授、博士生导师,研究方向为军民融合与国防科技创新;李梦迪(1995-),女,山东济宁人,北京理工大学人文与社会科学学院硕士研究生,研究方向为教育政策与军民融合人才培养;李宏宽(1989-),男,河北石家庄人,北京理工大学管理与经济学院博士研究生,研究方向为军民融合与国防科技创新;单捷飞(1987-),女,山东济南人,北京理工大学人文与社会科学学院博士研究生,研究方向为教育政策与军民融合人才培养。
![]()
DOI:10.6049/kjjbydc.2018100390
开放科学(资源服务)标识码(OSID):
中图分类号:E263
文献标识码:A
文章编号:1001-7348(2019)14-0115-07
He Haiyan1,Li Mengdi2,Li Hongkuan1,Shan Jiefei2
(1.School of Management and Economic, Beijing Institute of Technology;2.School of Humanities and Social Seience, Beijing Institute of Technology, Beijing 100081, China )
Abstract:The massive loss of scientific and technological talents in China's military enterprises has become a great obstacle to the construction of the deep integration of military and civilian, and it has also posed a challenge to the new military revolution.Based on the theory of double-layer embedding and demand-pull theory, this paper establishes the DBOE model of the factors influencing the loss of scientific and technological talents in China's military enterprises, and then uses the DEMATEL-AHP method to screen out the key elements of the influencing factors.The results show that: among the secondary indicators, the scientific research ability and income reward have more important influence on the brain drain, and the weight of corporate culture is the lowest; the top four factors affecting the loss of scientific and technological talents in China's military enterprises are basic salary, performance wage, material support and spiritual support.the relationship between scientific research ability and other indicators is most close.Scientific research ability is easy to influence other factors, but also easy to be affected by other factors.Finally, the paper puts forward some suggestions to improve the loss of talents.
Key Words:Defense Industry Enterprise; Scientific and Technological Talents; Brain Drain; Influencing Factor
为了应对智能化、网络化、体系化的新军事革命,将军民融合上升为国家战略,建立一体化的国家战略体系与能力成为我国必然的战略选择。军工企业科技人才具有前瞻性的科技创新思维、高超的科技研发才能,是国防科技创新的重要主体,肩负着武器装备研发、国防科技成果转化、技术创新应用等重大使命。构造军民融合深度发展格局需以军工企业科技人才的知识和技术为依托,打造出一流的武器装备,保障我国国防安全。但当前我国军工企业科技人才流失现象十分严重,主要表现为各层级军工企业科技人才外流到民营企业的比例持续增加,科技人才流出数量和引入数量严重失衡,导致军工企业人才断链,出现大量岗位缺口。军工企业人才流失既严重影响军工企业产出效率和质量,不利于国防科技创新体系正常运转,也对国防信息安全带来巨大威胁。本文拟探究我国军工企业科技人才流失影响因素并确定关键影响因素,从源头入手,改善我国军工企业科技人才流失状况。
科技人才流失发生于科研院所、企业、政府部门等各组织机构、覆盖诸多领域,成为国内外学者关注的热点。在科技人才流失现状及问题方面,Adel Alferaih[1]通过构建概念模型检验沙特阿拉伯旅游组织人才的离职意向、工作满意度、工作绩效和组织绩效;Daniel EgiegbaAgbiboa[4]突破了简单的人才外流与人才获得二分法,研究了技术人员在特定地理空间内的流动,以及由此产生的政策困境和选择;曾晓娟、刘元芳[9]认为中国处于人才争夺战劣势地位,是人才输出大国,我国科技人才流失形式主要有跨国流动和国内暗流两种;徐宁[10]以人力资源系统理论和具体的人才管理实践为基础,指出国有企业科技人才出多进少,导致企业科技工作无法正常衔接,严重威胁到企业生存与发展。在科技人才流失影响因素方面,Wadhwa等[6]认为照顾年迈的父母是移民美国的人才离开美国的关键理由;刘月轩等[7]认为企业文化与高层次科技人才流失关系最为显著,并以此展开系统研究;邵建平等[8]以欠发达地区核心人才为研究对象,认为地域认同度低是欠发达地区核心人才流失最重要的源因素。在科技人才流失对策方面,Brian Wernic等[2]揭示了人才流失对学术医学的不良影响,并从专业精神、基于实践的学习和改进、基于系统的实践、人际交往技巧和交流等方面提出防止学术医学人才流失的对策;Dipak Kumar Bhattacharyya[3]探讨了印度组织的人才留住策略,重点研究其薪酬和福利计划;EunsookHong等[5]针对人才流失问题,提出了富有创新性和实用性的解决方案;陈春花等[11]从微观层面指出,应从实现人才个人价值和增加流动成本两方面控制人才流失。虽然科技人才在不同领域表现出不同的流失问题,但都会造成巨大危害。学者们针对不同领域的人才流失现状作了说明,指出人才流失的严峻性,并根据流失原因给出相应的建议。目前来看,科技人才流失研究大多使用定性方法,定量研究较少,以普通企业和宏观意义上的人才为研究对象的较多,以军工企业科技人才为研究对象的较少。
尽管对军工企业科技人才流失影响因素的研究文献并不丰富,但可以从以上关于人才流动与流失以及科技人才流失文献中找到理论依据和研究方法。本文基于双层嵌入理论和需求拉动理论构建DBOE模型,采用DEMATEL-AHP方法,将定性与定量研究相结合,探析我国军工企业科技人才流失影响因素,并提出对策建议,这对于加强军工企业科技人才队伍建设、保障我国国防安全具有重要意义。
双层嵌入理论是在美国著名社会学家Mark Granovetter[12]于1985年提出的单层嵌入理论基础上演化而来的。相比单层嵌入理论,双层嵌入理论认为经济行为嵌于社会网络中,受到非经济动机影响,而社会网络嵌于制度文化之中,其在保持自身独立性的同时又受到经济行为和社会制度文化的影响,由此构成了双层嵌入关系。随着研究不断深入,双层嵌入理论的应用范围不再局限于经济领域,基本内容逐渐拓展至行为活动、组织网络、外部环境的双层嵌入关系,如图1所示。近年来,傅广宛等[13]、严毛新[14]、孟韬[15]、王馨等[16]将普遍性意义上的双层嵌入理论应用于智库管理、大学生创业教育、大学网络治理机制、情报网络等领域,并对领域内容进行系统分析。

图1 双层嵌入理论一般性演化
需求拉动理论源自技术创新领域,在该理论形成之前,技术推动理论一直是解释技术创新行为的主流思想。1966年,美国宾西法尼亚大学的Schmookler[17]教授首次指出市场是影响发明活动的主要因素,对技术创新理论提出了质疑。随着研究持续发展,需求拉动理论体系逐渐成熟,认为技术创新源于市场需求的拉动而不是技术发展的推动,一切技术创新活动都需要以市场需求信息为基本出发点,具体如图2所示。随着需求拉动理论的内涵和外延不断丰富,研究范畴逐渐泛化,从技术创新领域拓展到其它领域。例如,李仲飞等[18]、董文超等[19]利用需求拉动理论分析我国房价上涨、碳排放等现实问题,认为这些问题是需求拉动的结果。

图2 需求拉动模式
军工企业既有一般企业的普遍特征,又有其独特性,研究我国军工企业科技人才流失影响因素,需对军工企业这一独特对象加以考量。本文通过对军工企业、高校等进行实地调研,对军民融合相关会议资料、研究文献进行梳理,结合双层嵌入理论和需求拉动理论,确定我国军工企业科技人才流失影响因素,构建影响我国军工企业科技人才流失的DBOE模型,如图3所示。我国军工企业科技人才流失受到科技人才个人行为活动、军工企业网络以及外部环境多重因素影响。
在活动层面,军工企业科技人才的个体能力和意愿会影响其行为决策,当其科研能力不足或能力无法得到有效发挥、对于自身在军工企业就职的岗位认知不明、职业规划与军工企业目标背离或难以达到期望的职业地位时,均会引致军工企业科技人才流失;而当科技人才在军工企业的工作内容与其人生价值目标相契合时,其会努力工作,反之则会产生离职意愿。

图3 影响我国军工企业科技人才流失的DBOE模型
在组织网络层面,军工企业内部存在诸多合作支持与对立障碍。收入报酬是科技人才的基本生活保障,只有最基本的生理需求得到满足,科技人才才会产生更高层次的需求。在军工企业严肃的工作环境中,科技人才与领导或同事的人际关系不够和谐,会直接影响其信息交流与沟通效率,不利于协作、创新,极大降低工作成效。科技人才期望能在工作中获得更广阔的发展空间,而军工企业提供的科研支持与科技人才对发展空间的感知直接挂钩,通常军工企业科研支持与科技人才成果产出正相关。
在外部环境方面,外部大环境中的规则和文化会对军工企业科技人才的行为产生一定激励或限制作用。由于军工企业主要为国防建设服务,因而军工企业科技人才承担的项目受政策法规导向作用较为显著,由国防政策扶持的项目在实施过程中会得到更多支持。与民营企业相比,军工企业体制机制灵活性不足,而市场化程度加深使得民营企业提供的就业岗位增多,科技人才拥有更多选择。军工企业对企业文化的宣传力度会影响科技人才对企业文化的认可程度。重视企业文化的军工企业能让科技人才产生为国家服务的荣誉感,从而降低科技人才流失几率。
此外,基于需求拉动理论,我国军工企业科技人才的技术与知识优势突出,恰好契合了民营企业对技术创新的需求。在市场化程度加深以及军民深度融合背景下,民营企业迫切希望抓住大好的发展时机,以获得更多经济效益。然而,民营企业在很多项目上缺乏专业人士指导,对特定领域了解不深,迫切需要军工企业科技人才指导和帮扶。同时,民营企业能提供更优渥的人才引进策略,进一步催化了科技人才流失。
影响我国军工企业科技人才流失的因素涉及多个方面。通过对长期从事军民融合工作的专家学者和政府、军工企业、高校相关人员进行调研访谈和文献分析,本文在兼顾指标科学性和系统性的前提下,进一步细化DBOE模型指标,构建起完整的军工企业科技人才影响因素指标体系,如表1所示。
表1 我国军工企业科技人才流失影响因素指标体系

为了更全面地衡量军工企业科技人才的科研能力,将二级指标中的科研能力分解为科研产出数量和科研成果收益。军工企业科技人才职业规划包括对军工企业的职业认知、职业发展目标,二者共同决定了科技人才的去留。此外,个人价值与家国情怀也会影响军工企业科技人才产生离职与否的主体倾向。
从企业组织网络出发,目前人员收入主要分为两部分,分别是基本工资和绩效工资,二者优化配置能对科技人才产生激励效果。军工企业内部人际沟通不畅,或者因工作岗位或项目产生利益冲突,都会直接影响科技人才的人际关系。科研支持一般分为两种,即平台支持和物质支持,精神支持由于无法量化而常被忽略。然而,精神支持对于科技人才也同样重要,因为他们有得到人格尊重和适时关怀的心理需要。
从外部体制机制和文化出发,由于军工企业具有特殊性,必然受到国防政策影响。国防政策对科技人才流失的影响表现为对军工项目的扶持和对人才流动的约束。在军工企业体制机制中,培训与晋升激励制度、人才离职约束制度与人才流失密切相关。军工企业文化具有浓重的国防特色,具有崇尚无私奉献的军工形象,科技人才对于军工企业文化的接受度也会对其去留产生影响。
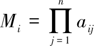
本研究采用DEMATEL-AHP方法对我国军工企业科技人才影响因素进行评估。DEMATEL(Decision Making Trial and Evaluation Laboratory)即决策试验和评价实验法,适用于要素关系不确定的复杂系统,通过识别指标体系中诸多因素的重要程度筛选出主要要素,反映各因素之间的相互影响关系[20]。AHP算法(Analytic Hierarchy Process)即层次分析法,可对定性评价结果进行量化处理,降低主观意识对评价结果的影响,该方法是目前应用较为成熟的权重分配算法。将DEMATEL与AHP方法相结合,既能考察各因素间的相互影响关系,还能对相关因素影响程度进行客观评价[21],目前已在多个领域得到广泛应用,如Mohamed Abdel-Basset等[22]、Asmita Pandey等[23]和Juliana Sara等[24]分别利用DEMATEL-AHP方法对物联网、项目管理、人力资源管理领域的相关因素进行评价。DEMATEL-AHP 算法的具体实施步骤如下:
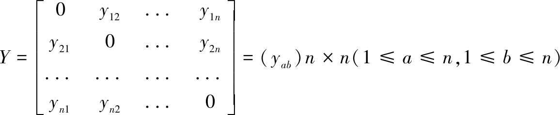
(1)将二级指标分为9个等级(P1-P9)进行评价,若结果为0,则表示没有影响;如果因素a对因素b有影响,Ya对应Yb的数值即为影响程度。由此,构建直接关联矩阵Y:

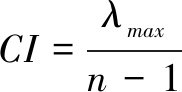
(2)判断矩阵一致性检验。判断矩阵一致性指标CI与同阶平均随机一致性指标RI(其取值以Saaty教授提出的RI关于n的分布表为依据)之比称为随机一致性比率CR。当CR=CI/RI<0.10时,可以认为判断矩阵的一致性较好。其中λmax为判断矩阵的最大特征根,n为判断矩阵中的指标个数。
(2)
(3)
(3)求解标准关联矩阵X。根据直接关联矩阵Y得到k值,然后将k值与直接关联矩阵Y相乘得到标准关联矩阵X。
(4)
X=K×Y
(5)
(4)计算总关联矩阵T。总关联矩阵T可反映出二级指标之间的相互影响关系,同时可根据总关联矩阵T测得的二级指标间的相互影响程度,对各二级指标出的重要性进行评价。其中I为单位矩阵。
(6)
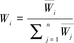
(5)求解层次总排序矩阵W。采用迭代法处理层次单排序问题,使用MATLAB数据处理软件求得判断矩阵的近似最大特征根及其对应的特征向量,最终得到层次总排序矩阵W。
(7)
(8)

(9)
(10)
本文基于构建的我国军工企业科技人才流失影响因素指标体系,通过对国内外长期从事军工科技创新工作的专家学者和政府、军队、企业相关人员进行访谈,以及深入军工企事业单位、军队相关政府机构进行实地调研,形成具有针对性的调研问卷,并以此为基础,向全国在军工科技创新领域长期从事学术及实践研究的代表性专家、学者及军工企业科技创新人才展开问卷调查,这在一定程度上确保了数据来源的权威性。实际问卷发放154份,剔除无效问卷后,最终回收问卷132份,有效回收率为85.7%。
一致性检验结果显示,CR=0.030 2,数值小于0.10,说明判断矩阵一致性较好。使用Excel、MATLAB等数据处理软件对二级指标原始判断矩阵进行DEMATEL运算,得到总关联矩阵T,将同行、列数值相加,得到二级指标权重,如表2所示。
表2 二级指标权重

表2反映了二级指标对我国军工企业科技人才流失的影响程度。结果显示,科技人才自身科研能力的影响最大。科研能力是科技人才的价值体现,科技人才科研能力越强,国防科技成果产出越多。当军工企业科技人才自身科研能力无法得到充分发挥或能力有限,科技成果产出率相对较低时,容易产生离职倾向;收入报酬的特征向量为4.168 8,说明收入报酬对我国军工企业科技人才流失影响较大。收入报酬作为科技人才的基本生活保障,是其工作的重要动力。民营企业对科技人才的需求巨大,充沛的资金投入能为科技人才提供优越于军工企业的工资待遇,对其形成强大的吸引力;企业文化的特征向量最低,有两方面原因,一是对企业文化的重视程度不够,军工企业未能充分发挥企业文化对科技人才的激励作用。二是军工企业文化没有固定的衡量标准,无法准确量化,相对于其它现实可见指标,其作用并不明显。
计算三级指标权重之前,需先将阈值处理后的总关联矩阵与AHP算法得到的矩阵相乘,求得层次总排序矩阵W,如表3所示。对层次总排序矩阵W进行归一化处理,求出影响我国军工企业科技人才流失的各因素概率值。归一化后的结果总和为1,数据保留小数点后四位,结果如图4所示。
表3 层次总排序权值矩阵


图4 三级指标权重等级
从图4可以看出,评分等级排前四位的分别为e7、e8、e12、e13,说明影响我国军工企业科技人才流失的主要因素是基本工资、绩效工资、物质支持、精神支持。目前,军工企业给予科技人才的基本工资与民营企业存在较大差距,与科技人才自身价值不相匹配。绩效工资浮动不大,未与科技人才成果和贡献挂钩,无法起到激励作用。物质奖励是常见的激励手段,而适当的精神支持同样能起到激励效果。军工企业纪律严明、气氛严肃,管理人员经常忽略科技人才的精神需求,导致科技人才缺少被认同感和归属感,这也成为科技人才流失的主要因素之一。评分等级末四位的分别是e9、e17、e15、e19,说明人际沟通、国防政策、军工企业对人才离职的约束以及国防特色企业文化对科技人才流失的影响不显著。由于军工企业的任务指令性较强,人际关系相对简单直接,而人际沟通是一种可调节因素,对科技人才流失的影响不显著。国防政策与军工企业对于人才离职的约束较弱,因为科技人才的离职成本较低,不能有效预防科技人才流失。虽然军工企业国防特色的企业文化能在一定程度上激发科技人才投身于国防科技创新的热情,但其权重最低,表明这一种精神文化对于科技人才的激励效果不明显,对科技人才流失的影响较弱。
本部分对二级指标关系的分析依托于阈值处理后的矩阵Tβ,此处阈值β=0.2。根据阈值处理后的矩阵Tβ可得每个二级指标的行(R)和列(C),R反映了某一因素对其它因素的主动影响,C反映了某一因素受到其它因素的被动影响,二级指标关系有向坐标图如图5所示。

图5 二级指标关系
图5显示,P1的R值和C值都较高,内引与外联关系连线密集,表明科研能力对其它因素影响较大,受其它因素的影响也较大。科研能力是军工企业科技人才与其他人员的本质区别,体现了科技人才对军工企业的价值。科研成果产出与各方支持相辅相成:科研人员科研能力越强,国防科技创新成果产出水平越高,能创造更多收益;各方面协同攻坚,为科技人才开展科研工作提供有力支撑,进而促进科技人才科研能力稳步提升。P3的C值较大,R值为0,外联关系连线较多,表明科技人才的价值认同容易受其它因素影响。科技人才的个人价值观念具有可变性、不稳定性等特征,容易受到外界环境影响。P7的R值较大,C值为0,内引关系连线较多,表明国防政策调整与变化对科技人才个人、军工企业以及其它外部环境影响较大。军工企业的特殊性赋予其为保障国家安全而服务的使命,因此政策导向性十分明显,即军工企业发展紧跟国家需求,需根据国防政策变动及时调整战略任务、调整方针制度等。P5和P9的R值和C值均较小,内引与外联关系连线稀疏,表明人际关系和企业文化相对独立,不容易受到其它因素影响,也不会对其它因素产生较大影响。
我国军工企业科技人才队伍的稳定性,关乎我国国防安全和国防科技创新体系的正常运转。本文借助双层嵌入理论和需求拉动理论,构建我国军工企业科技人才流失影响因素体系,并使用DEMATEL-AHP方法筛选出关键要素,在一定程度上丰富了我国军工企业科技人才流失相关研究,得到以下主要结论:
(1)从二级指标权重看,科研能力和收入报酬的特征向量分别为4.629 0和4.168 8,说明科技人才的科研能力、军工企业给予科技人才的报酬对科技人才流失影响最大;企业文化的特征向量为1.310 2,说明其对科技人才流失的影响较小。
(2)从三级指标权重看,影响我国军工企业科技人才流失排名前四的因素为基本工资、绩效工资、物质支持和精神支持,人际沟通、国防政策和军工企业对人才离职的约束以及国防特色的企业文化对我国军工企业科技人才流失的影响较小。
(3)从二级指标之间的关系看,科研能力对其它因素的影响较大,受其它因素的影响也较大;科技人才价值认同最容易因其它因素而改变;国防政策的调整与变化对科技人才个人、军工企业以及其它外部环境的影响较大;人际沟通和企业文化在我国军工企业科技人才流失影响因素指标中相对独立,受其它因素影响较小。
基于以上分析,结合我国当前稳定军工企业科技人才队伍的具体需求,提出以下几点建议:
(1)积极参加学习培训,提高自身科研能力。对于军工企业科技人才来讲,提高自身科研能力是保持自身竞争性的必然选择。只有不断提高自身科研能力,才能始终保持对工作的热情和胜任感,创造出更多前瞻性的国防科技创新成果。具体而言,首先要积极关注最新科技进展,把握和学习国际最新科技动态,对未来国防需求作出准确预测。通过不断学习,为未来更好地应对工作挑战作好充分准备;其次要积极争取培训机会,抓住机会,充分了解科学技术系统,熟悉军工企业未来发展态势和发展需求。通过系统培训,并在培训过程中引发新的思考,有利于国防科技持续创新。
(2)提高基本工资下限,优化绩效分配管理。军工企业科技人才通常具有较高的报酬期望,希望工资能够与自身贡献相匹配。军工企业应当通过调研熟知市场上各类科技人才的薪资水平,并与本单位的各类科技人才相匹配,使得军工企业科技人才可以获得与市场上同类人才基本一致甚至更多的薪酬,以展现出军工企业的优势地位。除保证科技人才收入具有外部竞争性外,军工企业内部还需重视收入分配的公平性。工资分配应当根据责任大小、所需知识能力情况、对项目的贡献程度等进行合理配置,将人员价值差异体现在收入上,从而激发科技人员的工作积极性,避免因收入分配不公平造成人才流失。目前很多军工企业将绩效奖金定额发放,作为基本工资的一部分,极大影响了科技人才的工作热情。军工企业应当综合考虑不同科研项目的特点,通过分层考核进行有效管理,将科技人才的工作考核分数与绩效收入挂钩。另外,军工企业应当设立专门的绩效奖金,实现利润共享,让科技人才切实感受到自身劳动对企业的积极贡献,激发其责任感和集体荣誉感。
(3)加大物质投入,重视精神支持。充足的物质投入是军工企业科技人才自主创新的基础。军工企业应当加强项目立项和预算下达的衔接,设立专项科研资金并及时支付,确保科研任务的顺利实施,并根据项目情况给予足够的资金支持。同时,军工企业可适度放宽物质采购管理权限,优化进口仪器设备采购服务,为科技人才推动国防科技创新营造良好环境。当科技人才的科研成果产生重大突破时,应当给予其一定的物质奖励。科技人才在军工企业工作,除追求最基本的物质保障外,还渴望得到军工企业人文关怀。由于精神支持不像物质支持可以清晰地衡量,因而被军工企业忽视。管理者应当尊重科技人才的发展需求,在合理范围内给予科技人才更多的工作自由,注重科技人才主观能动性的发挥。一方面,军工企业应当及时让科技人才在不涉密的前提下了解军工企业的政策变化、最新进展、面临的困难以及未来规划等,这有利于科技人才理解、接受军工企业的战略决策;另一方面,军工企业应当建立畅通的沟通渠道,听取科技人才的诉求和建议,当科技人才在项目研发、落地等环节遇到困难时,能够及时解决问题。同时,要营造鼓励探索、允许试错的创新氛围。
参考文献:
[1] ADEL ALFERAIH.Developing a conceptual model to measure talent′s turnover intention in tourism organisations of Saudi Arabia[J].International Journal of Organizational Analysis,2017,25(1):2-23.
[2] BRIAN WERNICK,THOMAS WOJDA,ALEXANDER WALLNER,et al.Brain drain in academic medicine: dealing with personnel departures and loss of talent[J].International Journal of Academic Medicine,2016,2(1):68-67.
[3] DIPAK KUMAR BHATTACHARYYA.Compensation and benefits program a mediating variable for talent retention[J].Compensation & Benefits Review,2015,47(2):75-80.
[4] DANIEL EGIEGBA AGBIBOA.Offsetting the development costs? brain drain and the role of training and remittances[J].Third World Quarterly,2012,33(9):1669-1683.
[5] EUNSOOK HONG, ROBERTA M,MILGRAM.Preventing talent loss[M].UK:Taylor and Francis,2011.
[6] WADHWA, VIVEK.An outflow of talent: nativism and the US reverse brain drain[J].Harvard International Review,2009,31(1):76-80.
[7] 刘月轩,兰红霞.企业文化与高层次科技人才流失的关系研究[J].中国统计,2013(4):47-48.
[8] 邵建平,李芳红.欠发达地区核心人才流失与地域认同度关系实证研究[J].科技进步与对策,2012,29(13):28-31.
[9] 曾晓娟,刘元芳.创新之忧:中国科技人才流失严重[J].科学管理研究,2008(3):91-94.
[10] 徐宁.国有企业科技人才流失问题研究[J].科技管理研究,2005(9):219-221.
[11] 陈春花,肖智星.人才流动的微观动因分析[J].科技进步与对策,2000(6):104-105.
[12] 王克平,冯晓娜,汤坚玉,等.基于嵌入性理论的企业竞争情报危机预警研究[J].情报理论与实践,2012,35(12):52-57+46.
[13] 傅广宛,杨宝强.嵌入理论视角下智库行政化现象研究[J].理论与改革,2016(1):94-97.
[14] 严毛新.嵌入视角下推进大学生创业教育[J].中国高教研究,2014(7):75-80.
[15] 孟韬.嵌入视角下的大学网络治理机制解析[J].教育研究,2011,32(4):80-84.
[16] 王馨,秦铁辉.基于嵌入理论的人际情报网络影响因素模型研究[J].情报理论与实践,2009,32(10):13-16+20.
[17] 郭旭,孙晓华,徐冉.论产业技术政策的创新效应——需求拉动,还是供给推动[J].科学学研究,2017,35(10):1469-1482.
[18] 李仲飞,张浩.成本推动、需求拉动——什么推动了中国房价上涨[J].中国管理科学,2015,23(5):143-150.
[19] 董文超,赵健艾,张泽宜.最终需求拉动下的中国碳排放研究[J].自然资源学报,2014,29(5):769-778.
[20] 刘凯宁,樊治平,李永海.考虑多因素关联情形的企业发展战略选择的SDV方法[J].管理学报,2014,11(12):1766-1774.
[21] MOHAMED ABDEL-BASSET,GUNASEKARAN MANOGARAN,MAI MOHAMED.Internet of things (IoT) and its impact on supply chain: a framework for building smart, secure and efficient systems[J].Future Generation Computer Systems,2018,86:614-628.
[22] ASMITA PANDEY,AMIT KUMAR.Commentary on "evaluating the criteria for human resource for science and technology (HRST) based on an integrated fuzzy AHP and fuzzy DEMATEL approach"[J].Applied Soft Computing,2017,51:351-352.
[23] JULIANA SARA,ROB M STIKKELMAN,PAULIEN M HERDER.Assessing relative importance and mutual influence of barriers for CCS deployment of the ROAD project using AHP and DEMATEL methods[J].International Journal of Greenhouse Gas Control,2015(41):336-357.
[24] 袁凌,李皓.我国商业银行人才流失控制评价模型[J].系统工程,2008(2):112-115.
(责任编辑:林思睿)