孵化是指适宜的生态环境下卵生生物破壳而出的过程。借助生态学隐喻,企业孵化是指通过人工创业环境设计,协助新生企业获取人、财、物等各类生存资源以创业成长,最终实现自负盈亏、参与市场化竞争[1]。自2015年以来,各地企业孵化器以及各类双创空间纷纷涌现,企业孵化载体不断完善;创业苗圃、企业加速器等不断建立,企业孵化链条不断延伸,孵化产业渐具雏形[2]。科技中介、风险投资机构、科研院所等创新主体不断参与企业孵化,形成了功能各异、角色互补的创新催化体系,成为国家创新体系的有机组成部分[3]。而已有研究表明,无论是科技创新还是创业活动的区域分布并非是随机的,而是与区位特征有关[4]。中国的企业孵化器建设经历了近30年发展,形成了北京中关村、武汉东湖、深圳创业园、西安瞪羚谷、上海张江等具有明显集聚特征的企业孵化群,企业孵化活动已经呈现明显的地理集聚特征。但与此同时,各区域制定竞争性创业扶持政策,又导致区域孵化资源隔离,形成企业孵化过程中的创新溢出屏障,区域间的企业孵化过程是否存在溢出效应是一个值得研究的议题。企业孵化过程中区域创新要素的流动以及重组是其重要内在机制,企业孵化过程是否存在空间溢出效应?如果存在,哪些因素促成了该现象?现有研究并未给出明确解释。
目前,学者们从区域创新集聚[5]、区域创业环境[6]以及区域孵化网络[7]等方面寻找科技创业活动呈现区域差异化的原因。在城市化推动下逐渐实现了创新聚集,但是聚集现象的动态过程尚未得到明确揭示[8]。创新极理论(Theory of Innovation Pole)认为,创新涌现是全球化背景下创新要素跨区域流动造成的,而关于创新极城市的创新扩散效应尚未得到合理解释,究其原因在于企业孵化过程中异质性创新主体跨区域合作产生的溢出效应尚未引起足够重视。高科技创业是在一定空间范围内实现的,科技成果转化往往遵循就地优先原则[9]。因此,企业孵化研究不能忽视地理空间因素。正如Anselin[10]所言,几乎所有空间数据都有空间相关性,企业孵化过程也不例外,伴随中国城际交通网线的飞速发展以及信息技术与科技创新的融合,企业孵化可能表现出明显的空间依赖特征。事实上,国家创新系统中,各子系统间存在普遍而广泛的联系。尤其两个系统在地理位置邻近或经济特征相似的情况下,地理邻近为创新资源流动提供了空间便利,而经济相似也有助于互补关系产生[11]。李文亮[12]从省域层面研究了高技术企业创新溢出的空间效应,但是由于省域层面的创新溢出研究将区位因素平均化,并不利于寻找影响企业孵化的关键要素,而市域层面研究更符合中国创新集聚的现实情况。
企业孵化器的公共品属性导致其在创业过程中存在正向外部性[13],企业孵化器为初创企业提供服务的过程中可能出现溢出效应。一方面企业孵化过程中人力、资金、技术、创业经验维度的增加能够带来其它维度的变化,导致多维度邻近效应下技术溢出、知识溢出与创新溢出产生,同时,企业孵化特定资源的基础优势能够实现对其它相关领域资源的有机整合。另一方面,某一地区企业孵化活动能够实现对其它地区企业孵化的带动与提升,尤其是在“互联网+”创业背景下,无边界创业成为新时期企业孵化的最佳实践,低技术产业的溢出效应可能向高技术领域转移[14]。同时,研究表明,人才的跨区域流动能够实现有效的知识溢出,推动区域创新发展[15]。伴随创业导师的跨区域流动,人才迁移的经验复制、知识扩散加快了其它区域“干中学”的进度[16]。由此可见,企业孵化器的发展强化了区域关联性,基于区域互补可能产生空间溢出效应。
基于以上文献分析可以发现,首先,企业孵化由于空间依赖性可能存在空间溢出效应;其次,在研究企业孵化产出时,通常将区域作为一个独立创新系统展开研究,并未考虑空间相关性影响,导致最终研究结果出现偏误;再次,在研究高技术企业创新溢出的空间效应时,往往从省域层面出发,而企业孵化更适合从市域层面寻求影响孵化的关键因素。基于上述原因,本文采用空间面板模型,研究邻近城市企业孵化过程是否影响本地企业孵化产出,即市域层面的企业孵化是否存在空间溢出效应。目前,国内关于企业孵化的市域空间分析尚处于起步阶段,本文超越了传统省域空间分析范畴,有效规避了省域分析过程中由区域均值处理导致的信息流失问题,以地理距离界定市域间的相邻关系,结合社会经济特征差异,建立对应的空间结构矩阵,进而考察企业孵化作用机理以及企业孵化溢出效应。当前,中国正面临经济下行、产业重组的双重压力,在人口红利过度消耗、比较优势渐失的情况下,需要重新审视未来经济增长方式,重新规划经济增长的创新驱动战略。企业孵化是科技创新的助推器,推动孵化产业发展是缓冲经济下行和促进就业的重要措施。基于此,探索市域企业孵化过程的溢出效应尤为重要。
企业孵化作为推动科技成果转化的有效模式,有机地将科技政策与市场要素融合,实现了科技创新源头与终端消费需求的有效衔接,完成了科技创新的市场化落地。城市化进程则带来了创新资源的进一步集聚,区域孵化推动科技创新的循环机制逐渐受到区域发展战略的重视[17]。企业孵化由于其在新兴产业培育和传统产业转型升级方面的双重作用,受到科技创新以及风险投资界前所未有的高度重视。一方面,围绕企业孵化的配套机构,如生产力促进中心、大学科技园、留学生创业园、软件园等高新技术产业开发区也被纳入企业孵化阵营[18]。另一方面,创新与创业的结合催生了大批创客空间、创新驿站等新型孵化载体,企业孵化过程中的横向主体日益多元化,纵向功能不断延伸,企业孵化产业渐具雏形,区域孵化集群不断完善[19]。基于此,从经济发展纵向维度而言,科技创业是大量创新要素集聚的过程,创新要素的市场化交易已呈现明显的跨区域特征,创新主体区域间迁移以及由此带来的知识溢出增大了创业涌现的机会。Babur&Tetsushi[20]认为虚拟企业的孵化实现了创业资源的跨区域整合,在提升创业存活率的同时带来了出孵企业的快速成长。Rego等[21]进一步指出,有效的企业孵化进程需要区域创新生态系统的支持,企业孵化所需的各类创新要素集聚是其必要前提。企业孵化过程既需要培育区域“长板”,形成相对竞争优势、获取创新溢价,同时需要补足“短板”,整合外部异质性创新力量。鉴于此,企业孵化资源的跨区域流动是其存在的有效前提。一方面,企业孵化过程培育的毕业项目不断脱离母体,寻求更为广阔的市场空间,通过参与市场化竞争,实现区域创业绩效的空间溢出。另一方面,企业孵化过程中异质性创新主体的跨区域流动,超越了特定区域限制,实现了创新增值。但回溯以往研究,企业孵化过程的投入产出溢出机制并未受到深入研究。
企业孵化需要有效的生态载体支持。Clarysse等[22]认为,企业孵化嵌入区域创业生态体系。创新极理论进一步指出,创新要素呈现极化集聚,即在企业孵化中各类异质性要素倾向于流向创新集聚度高的城市,创业活跃度已经成为衡量一个城市创新水平的重要依据。因此,研究企业孵化现象,离不开城市创新聚集的背景。近年来,城际交通网线飞速发展,自然地理隔阂对交易成本的影响显著下降,对于高溢价的企业孵化项目,跨区域创新资源的流动愈发活跃,创新集成得以在更为广泛的层面实现,企业孵化受到区域内外创新要素的双重影响。因此,分析企业孵化过程不应忽视空间相关性的影响,而已有研究在分析企业孵化过程时常将各区域视为独立系统,仅仅考虑企业孵化过程中的投入产出要素,并未深入研究区域空间相关性的影响,使得研究结果出现偏误。事实上,企业孵化过程的无边界协作已经促成超越地域限制的创新创业生态系统产生,作为子系统的各区域孵化系统存在普遍联系,尤其是两个系统的地理位置相邻或经济特征相似时。如地理邻近为企业孵化过程中区域创新资源流动提供了便利,经济特征相似则有利于区域互补关系形成。
虽然企业孵化的经济与社会价值得到广泛认可,但是对企业孵化产出的衡量并不一致,企业孵化器的创新功能在于其对新创企业的培育,普遍认为企业创建数能够反映特定地区企业孵化产出水平的差异,但是单纯的企业创办数并不能有效区分不同城市的创新差异,这是因为企业创建数和企业存活率间还有很大差异。Cohen[23]认为区域企业孵化水平测度更应该关注新企业成长质量问题。进一步地,Weiblen[24]认为由于生存型创业对创新的贡献较少,研究机会型创业的成长问题更具价值,而高科技创业存活率的研究无疑为此带来了契机。同时,企业孵化过程中苗圃阶段的企业由于其成长性高度不确定,难以代表有效创业数,而创业板上市公司的企业价值差异较大,缺乏可比性。基于此,企业出孵作为企业独立参与市场化竞争的标志,是企业孵化器运行的终极目标。因此,本文最终以效率原则为导向,测度不同城市当年毕业企业数,以此表征企业孵化产出水平并作为模型中的被解释变量。
哪些因素决定企业孵化产出?回顾已有研究,可以归结为两大类因素,一类是硬件层面因素。较早研究认为,企业孵化器存在的理由即是为新创企业提供物理空间。Clarysse等[25]指出,企业孵化的初衷是为创业企业提供廉价的办公条件,基础设施在创业企业的生存期具有重要影响。同时,创业项目占用场地的大小往往与企业发展规模相对应,工位数量成为评判企业孵化器承接项目能力的重要因素。同时,Sonne等[26]认为资金条件是影响企业孵化的关键因素。企业创办起步期的人力资源、产品研制以及市场开发均需要大量资金支持,难以获得资金的企业孵化器往往举步维艰[27]。中国企业孵化器的资金来源主要有两方面:一方面是能够获取的各类中央与地方政策性扶持资金,它们与租金共同构成了企业孵化器的一般收入;另一方面是企业孵化器以外金融机构提供的各类风险资金。基于此,本文选取企业孵化器收入以及累计获投融资企业数作为第二类解释变量。与硬件层面因素对应,软件层面因素则强调创新水平以及创业经验的作用。研究表明,企业孵化项目的创新水平是创业成功的必备条件,可持续成长的创业孵化项目的特点之一便是知识密集型创业。科技型创业孵化器的入孵资质以及未来成长潜力在很大程度上取决于其科技研发水平[28]。基于此,本文选取在孵企业承担国家级科技计划项目数以及发明专利数作为其第三类投入因素。Bruneel[29]和李雪灵等[30]研究发现,创业经验缺乏是导致存活率不高的重要原因。同时,二次创业被认为成功率较高的原因在于其创业经验的支持,新企业创建并非是简单的科技成果转化,而是涉及诸多要素的复杂互动,首次创业往往遭遇常识性创业失败,究其原因在于一般商业化运作经验的缺乏。因此,创业经验获取对于企业孵化至关重要。本文将创业导师数作为第四类投入因素。现实中,区域企业孵化过程中各投入要素(基础设施、资金投入、研发水平以及创业经验)对企业孵化产出的影响并不局限于单一投入要素的变化,其它投入要素亦会对企业孵化产出带来一定影响。基于此,本文将四类要素统一纳入企业孵化产出空间溢出模型。
空间区位影响技术创新与创业过程,企业孵化产出的动态演变受到特定空间位置的影响。新经济地理学以供求关系的正反馈机制描述创业活动的跨区域集聚机制,Wim[31]将其称之为“企业家精神空间的外部性”。由于技术知识传播和人才流动经常是跨区域的,科技创业过程呈现出连片涌现的规律。因此,本文认为科技创业的孵化过程具有空间溢出效应。
空间计量经济的基本思想是将区域间的相互关系引入模型,对基本线性回归模型通过空间权重矩阵W进行修正。根据模型设定时空间体现方法的不同,空间计量模型主要分成两种:一种是空间滞后模型,主要用于研究相邻机构或地区行为对整个系统内其它机构或地区行为的影响。空间滞后模型适合估计是否存在空间相互作用以及空间相互作用的强度,以反映可能存在的实质性空间影响,主要探讨各变量在某地区是否有溢出效应;另一种是空间误差模型,模型中区域间相互关系通过随机干扰项体现[32]。因此,企业孵化投入产出的空间面板模型有两种构建方式:一是企业孵化投入产出的空间滞后模型 ,二是企业孵化投入产出的空间误差模型。
(1)空间滞后模型。空间滞后模型的经济学含义是,如果关注的经济变量存在利用空间矩阵表示的空间相关性,则仅仅考虑其自身的解释变量不足以很好地估计和预测该变量的变化趋势。在模型中适当考虑由于空间结构造成的影响,可以较好地控制空间效应的影响。
![]()
(1)
式中,各变量的上标“1”表示空间滞后模型的量,下标i代表城市,t代表时间;GEYit为当年毕业企业数,IIit为孵化器收入,ISit为孵化场地总面积,NIFEit为累计获投融资企业数,NSTPit为承担国家级科技计划项目数,NPit为发明专利数,NEMit为创业导师人数,WGEYit为GEYit的空间滞后变量,反映空间距离对区域孵化产出的影响。其中,W为空间权重矩阵,ρ为空间回归系数,体现其它地区孵化产出对本地区孵化产出的影响程度和方向;
是正态分布的随机误差项。
(2)空间误差模型。空间误差模型是随机干扰项具有相关性的回归特例,其中,协方差矩阵的非对角线元素表示空间相关结构。
![]()
(2)
![]()
(3)
式中,各变量的上标“2”表示空间误差模型的量;
为空间滞后误差项;λ为空间误差系数,反映其它地区孵化产出对本地区孵化产出的影响程度和方向;
与空间滞后模型不同,空间误差模型的空间依赖性存在于扰动误差项之中,衡量了某地区关于因变量误差冲击对本地区观察值的影响程度[33]。
鉴于空间面板模型的自变量具有内生性,空间滞后模型和空间误差模型如果仍采用最小二乘法(OLS)估计,系数估计值会有偏差或者无效。因此,本文采用极大似然法(ML)对模型进行参数估计。
Anselin[34]认为空间计量时设定恰当的空间权重矩阵至关重要。目前的相关研究中,大多数学者采用简化的空间邻接关系设定权重[35],该设定方法过于简化且不能真实反映企业孵化过程中区域间的相互作用。显然,企业孵化过程不仅局限在相邻地区之间,地理位置相近但不相邻的地区间亦存在影响。空间邻接认为地区间的联系仅仅取决于相邻与否,即认为只要不同的空间单元相邻,其相互影响强度是相同的,这在区域创新相关研究中不符合实际。同时,地理学第一定律也阐明距离近的事物相对于距离远的事物,联系更为紧密[36]。Fier等[37]研究发现,技术溢出伴随地理距离的增加而衰减。此外,按照邻近经济观点,创新过程的空间联系不仅体现为地理邻近,而且呈现出组织邻近现象,例如经济水平相近的地区之间更容易形成互补性创新的交流关系。基于此,本文分别从地理邻近和组织邻近两个维度,构建不同的空间权重矩阵,并设定地理距离权重矩阵与经济特征邻近矩阵两类结构形式。在此基础上,基于地理特征建立地理空间权重W1,基于经济特征建立经济距离权重矩阵W2,以更好地分析35个大中城市企业孵化产出与空间影响因素的关系。
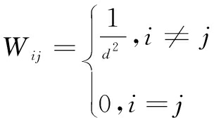
在建立地理空间权重矩阵W1时,因为选择35个大中城市为样本进行研究 ,所以不适合采用邻近标准,而选择距离标准。本文采用城市间距离倒数的平方作为空间权重矩阵元素,即:

(4)
在国家基础地理信息中心网站提供的1∶400万电子地图基础上,使用MapInfo软件计算35个大中城市间的距离,计算空间权重矩阵W1。
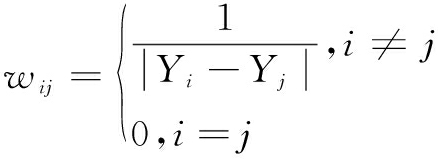
经济距离权重W2的确定。以地理距离的远近反映不同城市企业孵化产出影响强度的差异相对粗糙。由于区域孵化活动受到其它非地理因素的影响,各城市经济发展状况对孵化产出影响显著,因此本文参照林光平等[38]采用的空间经济距离度量方法,建立经济距离空间权重矩阵W2。W2=W1·W3。矩阵W3的元素为:

(5)
![]()
(6)
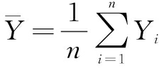
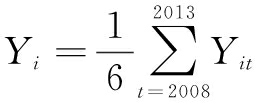
其中,Yit代表第i个城市第t年的人均GDP水平。通过采用这种处理方法,W2同时考虑了城市地理和经济上的相关性,能够反映地理区位与经济特征因素对区域孵化产出的双重影响,比仅用地理权重矩阵更为科学。
鉴于创新极理论对区域创新集聚度的要求,以及三四线城市的企业孵化建制与相关软硬件尚未完备等问题,本文选取一二线城市作为实证部分的区域分析对象,符合区域创新空间溢出领域创新极辐射效应的要求。经过遴选,确定将全国35个大中城市作为研究对象,其能代表全国企业孵化绩效的总体分布情况。
相关变量数据来源于《中国火炬统计年鉴》以及《中国城市统计年鉴》,社会特征相似性采用经济距离矩阵,空间距离采用城市间距离平方的倒数矩阵。表 1显示了变量描述性统计分析结果。由表1可知,不同城市的孵化器当年毕业企业数差距较大,最大值为1 764,最小值为0;不同城市的孵化器收入也存在较大差距,最高为10 498,最低为0;孵化场地总面积、累计获投融资企业数、承担国家级科技计划项目数、发明专利数和创业导师5项指标的波动区间分别为[0,17 660]、[0,5 550]、[0,393]、[0,5 922]和[0,1 033]。最小值全部为0,这是因为在某年份个别城市未建立孵化器。由此可知,不同城市的孵化情况有很大差距,在一些城市企业孵化器迅速发展,而另一些城市企业孵化事业尚未起步。
(1)空间相关性检验。在运用空间计量方法对中国企业孵化投入产出进行分析前,首先需要对区域孵化变量是否存在空间相关性进行检验。空间统计学中常用全域空间相关性指标Moran′s I检验是否存在空间相关性,计算公式为:

表1 变量描述性统计结果

统计量GEYIIISNIFENSTPNPNEM均值 862114912543621362标准差147876134267543508105中位数574423245259730最大值1 76410 49817 6605 5503935 9221 033最小值0000000观测数210210210210210210210截面数35353535353535
其中,
是观测值的方差,
表示观测值的平均值,Yi表示第i个地区的观测值,本文指第i个城市孵化园区的毕业企业数,n为地区总数,即城市总数,Wij为二进制的邻近空间权值矩阵空间权重,采用邻近标准或距离标准,其目的是定义空间对象的相互邻近关系。Moran′s I指数取值范围为[-1,1],大于0表示各地区经济行为存在正向空间相关性,小于0表示存在负向空间相关性,等于0表示不存在空间相关性。Moran′s I指数绝对值越大,说明空间相关程度越高,反之越低。本文利用国内35个大中城市孵化园区当年毕业企业数,计算 Moran′s I指数。由图1可以看出,2008-2015年各区域企业孵化产出存在正向空间相关性,表明企业孵化产出受到空间位置相近城市的影响,说明企业孵化产出水平呈现较高市域邻近、较低市域相邻的现象。2008-2015年的 Moran′s I 指数大于0且通过了1%显著性检验,表明中国企业孵化产出在空间分布上存在明显的相关性,因此需要采用空间计量模型进行实证研究。

图1 企业孵化产出的Moran′I指数变化
(2)空间计量模型选择。通过Moran′s I指数检验出中国企业的孵化活动存在空间相关性后,需要确定合适的空间计量模型。因此,有必要构建一种判别准则,以确定哪种空间模型更加符合客观实际。本文通过包括两个拉格朗日乘数形式的LMERR、LMLAG统计量及其稳健(Robust)的R-LMERR、R-LMLAG检验,进行空间误差模型与空间滞后模型的选择。在Moran′I检验显著的情况下,最大似然LMLAG检验较LMERR检验更加显著时,选择空间滞后模型;反之,则选用空间误差模型。
表2 地理距离空间权重模型的LM检验统计量结果

检验方法LMERRLMLAGR-LMERRR-LMLAG统计值6.558 07.041 92.309 52.793 5小概率P值0.010 40.008 00.128 60.094 6
LMERR检验空间误差模型,是在不存在空间自回归的假设下检验是否存在空间随机干扰项。LMLAG检验空间滞后模型,是在不存在空间随机干扰项的假设下检验是否存在空间自回归效应,两种稳健性检验R-LMERR、R-LMLAG是对两种LM统计量检验的有力补充。R-LMERR是在存在空间自回归的假设下检验是否存在空间随机相关干扰项,R-LMLAG是在存在空间随机干扰项的假设下检验是否存在空间自回归效应。由表2可知,地理距离空间权重模型的LMERR、LMLAG都通过了5%水平下的显著性检验,而LMLAG>LMERR,表明在空间依赖性检验中LMLAG较之LMERR在统计上更显著,且R-LMLAG显著(通过了10%水平下的显著性检验)而R-LMERR不显著,说明基于地理特征的空间滞后模型较空间误差模型更加合适,因此选择空间滞后模型。
表3 经济距离空间权重模型的LM统计量检验结果

检验方法LMERRLMLAGR-LMERRR-LMLAG统计值52.265 70.108 362.760 710.603 3 小概率P值0.000 00.742 10.000 00.001 1
由表3可知,经济距离空间权重模型的LMERR>LMLAG,R-LMERR>R-LMLAG,且LMERR和R-LMERR都通过了1%水平下的显著性检验,无论是拉格朗日检验还是稳健性检验,基于经济特征权重的空间误差模型在统计上都比空间滞后模型显著,因此选择空间误差模型。
确定了空间计量模型的形式后,还需要确定是固定效应还是随机效应。本文采用Husman检验确定使用固定效应模型还是随机效应模型。由表4和表5可知,两个面板模型的χ2值分别为619.832 7、-22.138 3,在1%的显著性水平下都拒绝采用随机效应模型的假设,因此选择固定效应模型。从理论上来说,当样本随机取自总体时,选择随机效应模型较为恰当,而当回归分析局限于特定个体时,则选择固定效应模型[39]。本文选择具有代表性的35个大中城市进行研究,显然固定效应模型更为合适。
由上述分析结果可知,无论是基于地理距离空间权重建立的模型,还是基于经济距离空间权重建立的模型,固定效应都比随机效应合适。经过拉格朗日检验和稳健性检验后,进一步发现,采用地理距离空间权重时应该建立空间滞后模型,而采用经济距离空间权重时应该建立空间误差模型。
表4 空间滞后面板模型固定效应和随机效应回归结果

固定效应随机效应Intercept16.536 038**II0.009 383**0.009 017**IS0.056 738***0.054 130***NIFE0.014 835***0.015 218***NSTP0.232 606***0.292 716***NP0.078 956***0.080 495***NEM-0.010 1690.015 617W*dep.var0.098 979***0.091 981***adj-R20.958 10.912 6 Sigma2654.084 5 791.625 2 LogL-978.886 43 -1 038.202 4Hausman Testχ2(7)=19.8327
表5 空间误差面板模型固定效应和随机效应回归结果

固定效应随机效应Intercept-6.477 061II0.009 097**0.008 050*IS0.052 137***0.044 606***NIFE0.018 177***0.018 168***NSTP0.192 359***0.307 133***NP0.081 576***0.086 986***NEM0.084 573*0.179 353***spat.aut0.520 962***0.816 552***adj-R20.954 60.8910Sigma2634.536 2782.262 4LogL-981.313 23-1 026.228 4 Hausman Testχ2(7)=-22.138 3
注:*、**、***分别表示通过10%、5%、1%水平下的显著性检验,下同
(3)估计结果分析。本文采用Matlab软件对空间面板模型进行分析,结果见表7和表8。表7显示了采用地理特征权重的无固定效应、地区固定效应、时间固定效应和地区时间双固定效应的模型估计结果;表7中的模型意义与表6相同,只是采用了经济特征权重矩阵。
表6和表7分别是根据地理特征、经济特征设置的权重建立的空间面板模型估计结果。根据调整的R2、Sigma2、LogL等统计量来看,8个模型均具有较好的拟合度,说明空间面板模型对企业孵化产出具有较强解释力[40]。结合模型中解释变量系数的估计结果来看,地理距离空间权重模型下的空间时间双固定效应模型中的各解释变量系数都通过了显著性检验,明显优于其它3个模型,而经济距离空间权重模型在空间固定时估计结果最优。时间固定效应(控制住时间变量)模型的显著性最高,说明企业孵化绩效伴随时间推移存在演化现象,初步推断是由国家宏观创新创业政策发布与实施造成的,符合时间维度对企业孵化产出的重要影响并不受个别区域属性的影响,为避免篇幅冗余,本文仅选择更有解释力的地区固定效应模型进行说明。
表6 企业孵化产出空间面板模型(地理特征权重)回归结果

空间误差面板数据模型(SLM)(地理特征权重)无固定效应地区固定效应时间固定效应地区时间双固定效应II0.007 1920.009 383**0.008 8630.010 246***IS0.043 480***0.056 738***0.036 967***0.050 537***NIFE0.012 526**0.014 835***0.009 757*0.013 309***NSTP0.506 221***0.232 606**0.486 303***0.239 072***NP0.082 572***0.078 956***0.081 000***0.080 302***NEM0.179 333***-0.010 169 0.326 068***0.098 805**W*dep.var0.068 945*0.098 979***0.148 983***0.141 965***adj-R20.919 8 0.958 1 0.919 30.952 1Sigma21 714.224 4654.084 5 1 475.266 8 590.214 0LogL-1 079.963 4-978.886 43-1 065.025 7 -968.946 74
表7 企业孵化产出空间面板模型(经济特征权重)回归结果

空间误差面板数据模型(SEM)(经济特征权重)无固定效应地区固定效应时间固定效应地区时间双固定效应II0.006 9800.009 097**0.006 8340.008 230**IS0.038 643***0.052 137***0.036 684***0.051 328***NIFE0.014 944***0.018 177***0.013 817***0.016 473***NSTP0.411 575***0.192 359***0.423 027***0.218 807***NP0.081 378***0.081 576***0.084 227***0.081 724***NEM0.324 329***0.084 573**0.347 905***0.103 274**spat.aut0.657 948***0.520 962***0.282 969 -0.359 044adj-R20.914 6 0.954 60.915 40.948 2Sigma21 463.135 7634.536 2 1 497.420 2645.109 3LogL-1 071.448 9-981.313 23-1 068.395-974.573 26
表6中根据地理特征权重建立的空间滞后模型和表7中根据经济特征权重建立的空间误差模型的估计结果基本一致,证明企业孵化产出的空间溢出效应具有稳健性。进一步,由表6、表7的具体分析数据可以看出:
(1)经济特征权重采用的空间误差模型以及地理权重特征采用的空间滞后模型均在统计意义上显著,其中,经济特征权重维度下的检验说明中国企业的孵化过程存在经济邻近情景下的模仿跟随效应,由于本文仅研究企业孵化基础设施、资金条件、研发能力以及创业经验的作用机理,已经涵盖企业孵化空间溢出效应的关键要素,误差项可能涵盖区域人口以及产业等其它要素对模型的冲击干扰,但并不影响本文研究的基本结论。空间滞后模型能够滤除上述影响,本文的地理特征权重层面分析更能够体现企业孵化产出的空间溢出效应以及影响要素的跨区域流动。4种固定效应模型的估计结果表明,通过检验的空间回归系数估计值均为正,无固定效应、地区固定效应、时间固定效应以及双固定效应均通过显著性统计检验。其中,地区固定效应模型的解释力最强,表明企业孵化产出绩效存在显著的空间正相关性,企业孵化产出在各市域间呈现连片跟随与创新集聚现象,中国的企业孵化产出存在明显的空间溢出效应。进一步地,影响企业孵化产出的基础设施、资金条件、研发水平以及创业经验也存在空间溢出效应。由此可以看出,城市的企业孵化活动在一定程度上受到其它与之有相似空间特征的城市影响。通过显著性检验的空间相关系数显著为正,说明地理区位与经济特征均会对企业孵化产出产生影响。地理距离越近,越有利于地区间知识尤其是隐性知识传播,有助于地区间孵化资源共享,这种溢出效应随空间距离的增大而递减。通过比较可以看出,不考虑误差项干扰的前提下,经济特征因素比地理区位因素对孵化活动的空间影响更大,企业孵化过程中受地域经济发展路径依赖的影响更显著,经济邻近对区域间的模仿跟随具有显著影响。进一步研究发现,企业孵化产出的影响因素发挥不同程度的正向作用。
(2)基础设施。基础设施为科技创业提供了企业经营的物理空间,能够为举步维艰的新生创业企业提供廉价的办公条件,对创业企业渡过生存期具有重大影响。美国企业孵化器创办初期正是经济萧条时,其充分利用闲置的办公大楼,实现了场地资源充分利用与缓解失业压力的目的[41]。具体来看,孵化场地总面积每增加1个百分点将带动企业孵化产出水平提高5个百分点。孵化场地总面积越大,当年毕业企业越多,这是符合实际情况的。一般情况下,孵化场地总面积越大,入驻的孵化企业越多,当年毕业的企业也会越多。基础设施存在溢出效应是由于其共享形成的,也就是不同孵化器间的竞合导致空间资源的优化配置。
(3)资金条件。Clarysse[42]发现企业孵化产出水平随着资金条件的改善而提高。本文以孵化器收入和累计获投融资企业数代表孵化器资金状况。模型估计结果显示,孵化器收入每提高1个百分点,企业孵化产出水平将提高1个百分点。这是因为一方面孵化器收入越高,表明孵化器运行状况越好,能够为在孵企业提供良好的设施和服务;另一方面,收入水平高的孵化器拥有充足的资金改进孵化器软硬件设施,有利于在孵企业顺利毕业。累计获投融资企业数每提高1个百分点,企业孵化产出水平将提高1~2个百分点。累计获投融资企业数越多,获得的投融资资金越多,而投融资资金是所有新创企业发展过程中必需的关键投入要素,有利于创业企业成长,促成了在孵企业顺利毕业。创业风险投资机构的多元化策略使资金要素具备空间溢出效应,进一步说明风投机构资金流动已经产生了一定的范围经济优势。
(4)研发能力。科技创新能力强的企业更易获得成功。本文以承担的国家级科技计划项目数和专利数反映孵化器研发能力。具体来看,承担的国家级科技计划项目数在提高企业孵化产出方面的作用明显超过其它几个解释变量。模型结果显示,承担的国家级科技计划项目数对提高企业孵化产出作用的弹性值在19~50之间。承担国家级科技计划项目的孵化器能在国家雄厚资金的支持下,研发前沿核心技术,培育新兴产业生长点,进一步提升自身实力,为在孵企业提供良好的发展平台,从而有利于在孵企业顺利毕业。专利数每增加1个百分点,企业孵化产出水平提高约8个百分点。发明专利越多,表明孵化器技术水平越高。入驻孵化器的创业企业主要为从事科技产品开发和研究的科技型企业,在成立初期,其技术基础薄弱,资金较为匮乏,难以引进外部先进技术,而孵化器的科技水平越高,越能为入孵企业提供技术指导,促使其顺利毕业。企业孵化项目研发水平对企业孵化产出的影响明显大于基础设施和资金条件,说明企业孵化过程中的科技水平仍然是异质性伙伴合作时首要考虑的因素,有助于企业孵化进程中获取更多创新租金。科技人才以及企业家的跨区域流动是该要素空间溢出效应的重要原因。
(5)创业经验。Lundqvist[43]认为创业经验有效降低了盲动导致的失败风险,为创业成功提供了多种途径,提高了创业存活率。本文以创业导师表征创业经验。模型估计结果表明,创业导师对市域企业孵化产出促进效应的弹性值在6~35之间。创业导师一般为成功的技术创业企业家、投资企业家或其它专业人士,创业导师的主要工作是以一对一方式对创业者进行创业辅导,对孵化器创业联络员或咨询师等实施培训,对孵化器管理层进行辅导培训,对共性创业智慧和经验进行整理、传播,对科技创业环境建设和政府政策导向提出建议、意见。“创业导师+专业孵化”的孵育模式,提升了孵化器的服务能力和服务水平,增大了孵化企业顺利毕业的概率。创业经验具备明显的复制移植特征,地理邻近促进了“干中学”中隐形知识的空间溢出,使得创业经验对企业孵化产出的杠杆效应最大化。
随着中国创新创业实践的深入推进,企业孵化器在推动区域创新与创业活动方面的作用越来越显著。近年来,伴随城市化创新集聚中科技创业的大量涌现,企业孵化过程中的地理区位成为重要影响因素,企业孵化研究有必要重新审视空间因素的影响。本文利用2009-2016年国内35个大中城市的面板数据,从地理距离和经济特征两方面构建空间权重矩阵,运用空间面板数据模型分析企业孵化产出的空间溢出效应。结果显示,基础设施、资金条件、科技水平和创业经验四类因素均对企业孵化产出有显著影响,均能在对应投资增加的情况下产生杠杆效应。同时,企业孵化过程存在明显的空间溢出效应,一个城市的企业孵化产出会受到与之有相似空间特征的城市影响,且经济特征相似比地理距离邻近对企业孵化的影响更显著。企业孵化并非无规律的随机分布,而是依赖于相似空间特征的区域投入与产出,一旦周边区域企业孵化的活跃度降低,该区域自身也会陷入创新孤岛。基于以上分析,未来企业孵化产业政策应该统筹安排、分层制定,形成功能互补、科技共享、资源流动的发展格局。
(1)企业孵化器定位应该秉承独特优势构建与吸收能力培育并重。企业孵化的空间溢出效应表明企业孵化过程既要培育独特核心竞争优势,又要提升自身吸收能力,整合区域外异质性创新要素,弥补自身不足,构建有机生态体系,快速融入国家创新体系。通过局域功能发挥,提升国家创新系统效率。区域层面的企业孵化器定位应该从跨区域创新资源流动的思路出发,避免地方性壁垒对企业创建以及资源流动的束缚,为企业孵化提供更为广阔的发展空间,以互补发展、匹配发展的差异化发展战略实现创新资源的跨区域交互,最终实现区域间有序、高效的协作发展格局。
(2)企业孵化产业应充分考虑区位因素影响,进一步打破城市壁垒,加强不同城市间的信息流通,实现信息、人才、技术等资源共享,开展合作研发,促进全国市场一体化进程。目前,城市化建设中存在重复建设与共享不足的双重矛盾,在城市群建设与规划中应该从国家创新系统建设视角重新审视孵化产业布局,有机地将城市功能差异和企业孵化结合起来,实现城市间创新资源的优势互补与资源共享,企业孵化产业发展也应该与城市圈扩容匹配,实现产城融合背景下的区域孵化新模式。
(3)企业孵化政策制定应该统筹城乡一体化建设,以国家创新系统的视野配置创新资源,鼓励有序竞争下的资源流动,形成区域功能匹配发展的格局。消除不同区域间的市场壁垒,促进邻近区域创新资源的流动。制定严格的知识产权制度,保护自主创新,提升区域创新活力,同时,加强邻近区域合作研发,避免资源重复投入,为企业孵化过程中空间溢出效应的产生开辟更为广阔的提升空间。此外,加大对经济落后地区孵化器的扶持力度,为起步晚、发展慢的孵化器提供资金、技术等支持,改善落后地区的社会经济环境,加快其经济发展和人才培养,避免其陷入“贫者愈贫”的恶性循环。
(4)企业孵化创新绩效的评价政策要体现一致性和连贯性。针对区域企业孵化创新发展的评价要体现包容性和多元化特征,突破单一经济评价或就业评价的衡量标准,促成差异化互补的区域发展格局。
本文采用空间计量模型研究了企业孵化的创新溢出效应,以中国35个大中城市的数据验证了企业孵化过程存在空间相关性,据此从区域城市化建设与宏观国家政策层面提出了相应对策思路。科技创新及商业化过程中存在大量的不确定性,既依赖于区域创新的历史基础,又受到超越区域边界的环境影响。因此,未来的企业孵化研究可以尝试从产业创新演化轨迹出发,有机整合空间维度,探讨企业孵化生态系统的动态演化机理与升级路径。
[1] ROURA J R C. Business incubation: innovative services in an entrepreneurship ecosystem[J]. Service Industries Journal, 2015, 35(14):920-927.
[2] 肖田野, 罗广宁, 孙娟,等. 内聚耦合视角下的广东科技企业孵化器发展对策研究[J]. 科技管理研究, 2017, 37(8):33-37.
[3] 李志刚,许晨鹤,乐国林. 基于扎根理论方法的孵化型裂变创业探索性研究——以海尔集团孵化雷神公司为例[J]. 管理学报,2016 (7):972-979.
[4] KOCAK A, CARSRUD A, OFLAZOGLU S. Market, entrepreneurial, and technology orientations: impact on innovation and firm performance[J]. Management Decision, 2017, 55(55):248-270.
[5] CHANG Y C, CHEN M N. Service regime and innovation clusters: an empirical study from service firms in Taiwan[J]. Research Policy, 2016, 45(9):1845-1857.
[6] PATTI D M A, MUDAMBI R, NAVARRA P, et al. A tale of soil and seeds: the external environment and entrepreneurial entry[J]. Small Business Economics, 2016, 47(4):955-980.
[7] SHIH T, AABOEN L. The network mediation of an incubator: how does it enable or constrain the development of incubator firms' business networks [J]. Industrial Marketing Management, 2017.23(1):645-664.
[8] HUANG C, WANG Y. Evolution of network relations, enterprise learning, and cluster innovation networks: the case of the Yuyao plastics industry cluster[J]. Technology Analysis & Strategic Management, 2017(4):1-14.
[9] 樊轶侠. 推动区域经济发展的中央科技投入模式研究[J]. 经济纵横,2014(6):50-55.
[10] ANSELIN L. Spatial econometrics: methods and models[M]. Dordrecht:Kluwer Academic Publisher,1988.
[11] ERIKSSON R H. Localized spillovers and knowledge flows: how does proximity influence the performance of plants [J]. Economic Geography, 2011, 87(2):127-152.
[12] 李文亮, 许正中. 考虑空间效应的高技术企业创新溢出效应研究[J]. 软科学, 2015, 29(4):1-4.
[13] 吕计跃, 崔惠民. 企业孵化器的成因与社会最优规模问题探讨[J]. 山西财经大学学报, 2012(s3):150-150.
[14] HARPER-ANDERSON E, LEWIS D A. What makes business incubation work? measuring the influence of incubator quality and regional capacity on incubator outcomes[J]. Economic Development Quarterly,2018,32(5):08912 4241774196.
[15] 闫华飞. 创业行为与产业集群发展:考虑知识溢出效应的多案例研究[J]. 科技进步与对策, 2016, 33(14):69-74.
[16] LI T, FU W. Spatial processes of regional innovation in Guangdong province, China: empirical evidence using a spatial panel data model[J]. Asian Journal of Technology Innovation, 2015, 23(3):304-320.
[17] 胡海青,李浩. 加速器支持、环境动态性与瞪羚企业突破式创新[J]. 科研管理,2015(12):47-55.
[18] MESSEGHEM K, BAKKALI C, SAMMUT S, et al. Measuring nonprofit incubator performance: toward an adapted balanced scorecard approach[J]. Journal of Small Business Management, 2017(6):154-163.
[19] KAUTONEN M, PUGH R, RAUNIO M. Transformation of regional innovation policies: from 'traditional' to 'next generation' models of incubation[J]. European Planning Studies, 2017, 25(4):1-18.
[20] BABUR WASIM ARIF, TETSUSHI SONOBE. Virtual incubation in industrial clusters: a case study in Pakistan[J]. Journal of Development Studies, 2012, 48(3):377-392.
[21] REGO MDC,LUCAS MR,VIEIRA C,et al.Entrepreneurial ecosystems in low-density regions:business incubation practices in Alentejo[R].Entrepreneurial Ecosystems and Social Dyanamics in a Globalized World, 2018, Working Paper.
[22] CLARYSSE B, WRIGHT M, BRUNEEL J, et al. Creating value in ecosystems:crossing the chasm between knowledge and business ecosystems[J]. Research Policy, 2014, 43(7):1164-1176.
[23] COHEN B, WINN M I. Market imperfections, opportunity and sustainable entrepreneurship[J]. Journal of Business Venturing, 2007, 22(1):29-49.
[24] WEIBLEN T, CHESBROUGH H W. Engaging with startups to enhance corporate innovation[J]. California Management Review, 2015, 57(2):66-90.
[25] CLARYSSE B, WRIGHT M, LOCKETT A, et al. Spinning out new ventures: a typology of incubation strategies from European research institutions[J]. Journal of Business Venturing, 2005, 20(2):183-216.
[26] SONNE L. Innovative initiatives supporting inclusive innovation in India:social business incubation and micro venture capital[J]. Technological Forecasting & Social Change, 2012, 79(4):638-647.
[27] 江庆勇. 中等收入国家技术企业孵化的方法创新——基于全球经验的研究[J]. 经济与管理研究,2015 (12):82-89.
[28] 胡罡,章向宏,刘薇薇,等. 地方研究院:高校科技成果转化模式新探索[J]. 研究与发展管理,2014 (3):122-128.
[29] BRUNEEL J, RATINHO T, CLARYSSE B, et al. The evolution of business incubators: comparing demand and supply of business incubation services across different incubator generations[J]. Technovation, 2012, 32(2):110-121.
[30] 李雪灵,万妮娜. 基于Timmons创业要素模型的创业经验作用研究[J]. 管理世界,2009(8):182-183.
[31] WIM NAUD
A B, C T G. Regional determinants of entrepreneurial start-ups in a developing country[J]. Entrepreneurship & Regional Development An International Journal, 2008, 20(2):111-124.
[32] 张贵, 梁莹, 徐杨杨. 生态系统视阈下区域创新效率的多维溢出效应——对面板数据的空间计量分析[J]. 科技进步与对策, 2016, 33(15):30-37.
[33] 赵华平,张所地.城市宜居性特征对商品住宅价格的影响分析[J].数理统计与管理,2013,32(4):706-717.
[34] 张汝飞, 赵彦云. 城市化与区域创新能力空间关系的实证考察[J]. 统计与决策, 2015(3):123-126.
[35] TOBLER W R. Comparison of plane forms[J]. Geographical Analysis, 2010, 10(2):154-162.
[36] FIER H, PYKA A. Against the one-way-street: analyzing knowledge transfer from industry to science[J]. Journal of Technology Transfer, 2014, 39(2):219-246.
[37] 林光平,龙志和,吴梅.中国地区经济σ—收敛的空间计量实证分析[J].数量经济技术经济研究,2006(4):14-21.
[38] 林光平, 龙志和, 吴梅. 我国地区经济收敛的空间计量实证分析:1978-2002年[J]. 经济学:季刊, 2005(S1).
[39] 沈体雁. 空间计量经济学[M]. 北京:北京大学出版社, 2010.
[40] KILCREASE. The batavia industrial center:the hatching of the world's first business incubator[J]. New York History, 2012, 93(1):71-93.
[41] CLARYSSE B, BRUNEEL J. Nurturing and growing innovative start-ups: the role of policy as integrator[J]. R & D Management, 2006, 37(2):139-149.
[42] LUNDQVIST M A. The importance of surrogate entrepreneurship for incubated Swedish technology ventures[J]. Technovation, 2014, 34(2):93-100.