吴卫红,陈高翔,张爱美
(北京化工大学 经济管理学院,北京 100029)
摘 要:基于三螺旋理论,构建了包含政府、产业、大学和研究机构、资本部门四类创新主体的协同创新四螺旋模型,从互信息视角挖掘Web of ScienceTM核心集合引文数据库中2006-2016年中美两国论文发表数据,运用N螺旋算法,实证测度和对比中美两国4类创新主体协同创新程度与发展态势。结果发现:①伴随着传统“学-产”协同创新的不断稳定,其它二维协同形式正在不断加强和发展,但相较于美国而言,几种二维协同创新形式仍比较薄弱,部分二维协同创新协同程度与美国差距较大;②中国三维协同创新协同程度趋于稳定,但稳定程度不及二维协同,且协同程度弱于美国,而中国“产-资-政”协同呈现较大幅度波动,协同程度强于美国;③中国四维协同创新协同程度优于美国,整体而言比较稳定,但部分年份有轻微波动。
关键词:互信息;政产学研资;协同创新;四螺旋
随着经济全球化的不断发展,单个主体创新早已不能满足社会资源有效整合及创新能力高效提升的需要,协同创新逐渐成为创新活动的主流形式[1]。不同创新主体通过复杂合作及相互协调,在协同创新过程中实现了1+1>2的协同效应[2]。构建富有生机和创造力的国家创新生态系统,必须依靠多元创新主体的全面协同,在系统内部打造知识生产、转移和运用协同网络,以实现我国创新驱动发展战略目标[3]。
学者针对多元主体协同创新展开了多方面研究,如内涵[4]、模式[5]、影响因素[6]等。在这些研究中,“政产学”三螺旋理论(Triple Helix)是目前多元主体协同创新的常用理论。该理论认为,政府、产业和大学在合作过程中通过组织间结构性和制度性协调机制,形成有效互动模式,进而高效率、高效能地对科技资源加以运用,最终实现创新系统不断演化和升级(庄涛等,2013)。已有三螺旋研究主要分为两类:①针对三螺旋理论及其拓展理论的定性研究。荷兰计量学家Leydesdorff和美国学者Etzkowitz[10]是三螺旋理论的奠基人,他们于1995年提出三螺旋理论,并且定义了这个以政府、产业和大学为主体进行协同创新活动的理论。方卫华[8]将三螺旋理论引入中国后,涂俊等[9]讨论了三螺旋模型的主要内容和理论结构,认为发达国家和高技术产业是三螺旋模型形成的基础,而在中国实践时应当谨慎。随后,Etzkowitz[10]在其研究中,将大学-产业-政府三螺旋定义为创新三螺旋,并分析了大学在三螺旋模型中应如何将其核心功能从科研与教学拓展到经济社会发展领域。也有学者发现三螺旋理论存在一定局限性。如张秀萍等人[11]认为,传统三螺旋理论存在行为主体单一、难以适应多元化发展需求等问题,其认为研究机构、中介机构、金融资本机构等更多主体应该被纳入进来;②针对三螺旋理论的定量研究绝大多数以三螺旋算法为基础,且相关研究数量较少。Leydesdorff[12]是三螺旋算法的最先提出者,他以香农信息熵理论为核心提出三螺旋模型计量算法,为学者利用三螺旋理论进行研究提供了实证测度方法。王成军将三螺旋算法引入中国,给出了基于三螺旋算法的中国实践情况及问题分析。Park等人[13]在对韩国政府-大学-产业三边互信息研究中,运用了三螺旋算法。许侃等[14]利用三螺旋算法对我国三螺旋关系进行了测度和对比研究。
从已有研究中不难发现:首先,三螺旋理论为多元主体协同创新提供了一种很好的研究范式,但其发展尚处于起步阶段,研究成果数量较少。其次,传统三螺旋理论局限于政府、产业和大学三大主体,未将更多主体纳入进来,忽视了创新系统多元性特征,且相关拓展研究并不多见。因此,本研究借助三螺旋理论范式化优点,将更多主体纳入进来,构建N螺旋算法并测度超过3个主体的协同创新系统现状,以丰富相关研究成果。
我国自“2011计划”实施以来,国家对传统“产学研”协同创新基础上发展而来的政府、产业、大学、研究机构和资本部门等多主体协同创新给予了越来越多关注,且已广泛渗透到协同创新、高等教育与科技经济等领域(原长弘等,2013)。随着研究的不断深入,学者们日益关注政、产、学、研、资间相互渗透和协同创新态势,积极探究与测度这些主体之间的互动、协同关系,但相关研究并不深入[15-16]。传统“产学研”和三螺旋理论强调加入资本部门构成协同创新系统有其必要性,资本部门作为2015年新《科技成果转化法》中重点强调主体之一,其在多元主体协同创新中发挥的作用越来越明显。资本部门可为主体创新活动提供融资支持,利用自身专业优势和信息优势对主体创新项目进行评估、筛选和监督,减少盲目投资;还可帮助主体对创新项目投资组合进行优化,分散和降低投资风险,提高创新收益(李阳等,2016)。目前,甚至如银行、证券等资本部门也参与了实际创新活动[17]。因此,对政府、产业、大学、研究机构和资本部门几大主体创新活动进行研究具有重要意义。
借助三螺旋理论特点和优势,本研究将政府、产业、大学和研究机构、资本部门融入三螺旋模型,形成四螺旋模型,在范式框架下对多主体间协同创新合作程度现状和发展态势进行研究,以为我国多主体协同创新深层次、多样化合作及发展提供一定借鉴。除此之外,在研究过程中还加入了与美国的对比研究。美国作为世界强国,其科研投入和科研产出均位居世界前列[18],与美国进行比较研究能够为我国协同创新发展提供很好的参考。
1912年,熊彼特提出的创新理论认为,创新是能够创造出新商业价值的活动,其主体是企业家。但随着社会的不断发展,创新内涵和主体发生了本质改变,创新也由单一化主体向多元化主体发展,即协同创新。陈劲认为,协同创新内涵是指企业、政府、知识生产机构、中介机构、用户等为实现重大科技创新而开展的跨度较大的创新组织模式。在这种组织模式下,各个主体都有望成为创新主体,并存在参与创新的可能,这是一种跨学科、跨部门、跨组织深度合作和开放创新,是一个知识增值过程。这一知识增值过程不单单局限于创新成果产出,还包含了各类创新要素交互[5]。
三螺旋理论作为解释和分析政产学研主体协同创新的理论,很好地契合了上述协同创新内涵,其将主体间协同创新关系纳入到一个分析框架中。自1995年Leydesdorff和Etzkowitz提出三螺旋理论后,三螺旋模型逐渐在国际创新与协同发展研究中崭露头角,并于之后日益丰富,且研究外延也在拓展[19]。
中国学者周春彦[20]和Etzkowitz在传统“政、产、学”三螺旋的基础上,共同提出了包含“用户”(公众)主体的“双三螺旋模型”,并分别将其称之为创新三螺旋模型和可持续发展三螺旋模型(见图1)。尽管在双三螺旋模型中,他们未直接提出四螺旋概念,但却指出双三螺旋相互作用的实质是四螺旋(见图1)。
在实证研究中,由于不考虑人才培养,大学、研究机构所处地位与知识创新贡献相类似。因而在传统产学研协同模式中,常将大学与研究机构作为一个整体考虑[5]。

图1 双三螺旋结构及其相互作用
基于上述理论基础,本文将研究机构和资本部门加入到创新三螺旋中,简化双三螺旋模型,构成包含资本部门的“政、产、学 研、资创新四螺旋”初始模型(见图2)。螺旋重叠部分代表两个主体之间的互动,位于中央的重叠部分是四螺旋动态互动交汇点,几大主体共同参与其中。

图2 “政、产、学 研、资创新四螺旋”初始模型
在现实情况下,存在两个主体、3个主体合作且其它主体不参与的情形,上述四螺旋初始模型无法解决此问题。因此,本研究改进了初始模型,使之成为存在两个主体合作、3个主体合作区域的改进的四螺旋模型(见图3)。多个主体重叠形成区域是协同创新系统的核心(图3中阴影部分)。

图3 “政、产、学 研、资创新四螺旋”改进模型
在上述模型中,存在着4类主体的4种独立创新活动及11种协同创新活动:①政府、产业、大学和研究机构、资本部门4种独立创新活动;②政府-产业、政府-大学和研究机构、政府和资本部门、产业-大学和研究机构、产业-资本部门、大学和研究机构-资本部门6种两类主体协同创新活动;③政府-产业-大学和研究机构、政府-产业-资本部门、政府-大学和研究机构-资本部门、产业-大学-研究机构-资本部门4种三类主体协同创新活动;④政府-产业-大学和研究机构-资本部门1种四类主体协同创新活动。这些创新活动与熊彼特定义的创新有所不同,它们是知识增值过程,不局限于商业化成果产出和价值提升等方面,还会在自然科学、社会科学、政策优化、产品和服务推陈出新等方面有所体现。
“政、产、学研、资创新四螺旋”模型的意义在于,它在“政、产、学”三螺旋模型上有了更广泛的拓展和延伸。同时,四螺旋模型可通过将既有的三螺旋算法延伸拓展而来的N螺旋算法进行实证测度分析,定量研究我国几大创新主体间的动态互动程度及纵向发展态势。
利用三螺旋理论对创新系统互动情况加以呈现,需要定量指标和方法测度。由此,三螺旋算法应运而生,其为利用三螺旋理论进行实证研究提供了计量基础。
三螺旋算法的基础是Shannon[21]的信息熵理论。Shannon对信息熵的定义是:离散型随机样本出现的概率大小,即样本不确定性越大,其熵值越大;样本不确定性越小,其熵值越小。当只存在一个变量时,熵的计算公式为:
(1)
Hi表示熵,Pi 表示第i个信息出现的概率。本研究以u、i、c、g分别表示大学和研究机构、产业、资本部门、政府,产业和政府二维分布熵计算公式为:
(2)
Pig表示产业和政府信息出现的联合分布概率。同理可得到产业、资本部门和政府三维分布信息熵计算公式为:
(3)
对于对数底n,当n=2时,熵的单位为比特(Bit);当n为自然对数e时,熵的单位为奈特(Nat);当n=10时,熵的单位为哈特(Hart);三者的数量单位为:1Hart=3.32Bit、1Nat=1.44Bit[22]。本研究在计算过程中采用10为底的lg(x)进行计算,这样可使最后得出的绝对数值及数值之间的差异较大,易于比较。另外,值得关注的是,信息熵的值总为正值。
虽然三螺旋算法的核心是信息熵理论,但三螺旋算法与信息熵理论存在差异:三螺旋算法采用基于互信息的构型信息作为测度手段,用转接度(Transmission)Tij描述二维变量互信息熵Hij。二维转接度Tij在这里被称为互信息,如产业和政府二维转接度Tig计算公式为:
Tig=Hi+Hg-Hig
(4)
若此时产业和政府信息完全独立,则二维互信息Tig为0,否则大于0。在进行分析时,转接度是衡量几大主体间协同程度的主要动态指标,其值越大,则协同程度越高。当二维互信息拓展到三维乃至更高维互信息时,转接度可称为协合度或协同度(Synergy),用于衡量系统自组织性,如产业、资本部门和政府三维协同度Ticg计算公式为:
Ticg=Hi+Hc+Hg-Hic-Hig-Hcg+Hicg
(5)
当Ticg值小于0时,则三维关系组成的系统发挥了自组织作用,其值越小,系统自组织性越强,三维关系协同越密切;当Ticg值大于0时,系统中各主体独立性较强,两两相互协同能力越弱,其正值越大,则主体间独立性越强[7]。
N螺旋算法是在三螺旋算法基础上演进而来的,用于测度多个主体之间的互动情况(N=2,3,4,……)。本研究测度创新四螺旋协同关系,以N=4为例,介绍四螺旋算法。
当拓展到四螺旋时,借鉴三螺旋算法中的三维分布熵计算方法,可推得四类创新主体四维分布熵计算公式为:
(6)
其四维互信息则表示为:
Tuicg=Hu+Hi+Hc+Hg-Hui-Huc-Hug-Hic-Hig-Hcg+Huic+Huig+Hicg-Huicg
(7)
四维互信息的值用来衡量四维系统中各主体之间的协同创新程度。根据三维互信息值的内涵可知,值越小表示四类主体关系越紧密,而这一结论也适用于N维。
在对创新视角下三螺旋乃至N螺旋模型进行测度时,数据挖掘通常包含两种方法:一是基于引文数据库的数据挖掘;二是基于专利数据库的数据挖掘。利用论文和专利数量表达主体间协同创新产出显然不够,原因如下:一是协同创新包含隐性成果产出,二是协同创新内涵已经不局限于成果产出。Leydesdorff认为,使用这些指标进行协同测算比较可行,原因在于:①论文和专利最能体现主体创新或多主体协同创新成果产出,虽然这两个指标未涉及一些隐性成果产出,但很难再找到能够反映全部成果产出的指标,或者规范数据指标;②这两个指标虽不能真实反映创新全部成果,但以统计学规律来看,其可以在一定程度上代表主体或协同创新产出[12]。
目前,研究中使用最多的是基于Web of ScienceTM核心集合引文数据库的数据挖掘方法。Web of ScienceTM核心集合包含SCI、SSCI及A&HCI三大引文数据库,收录了1万多种世界上权威高影响力学术期刊和超过11万个国际会议学术期刊,是开展文献计量分析最权威、最可靠的文献数据资源。Leydesdorff[12]发展并测用了一种字符串搜索方法,可利用Web of Science高级检索功能进行字符串检索。
本研究对核心集合“国家”中包含“CHINA”和“USA”的字段进行检索,分别检索了2006-2016年发表的学术论文,最后共得到含“CHINA”字段的学术论文3 209 579篇,含“USA”字段的学术论文5 000 792篇。在归类时,将地址字段中含“UNIV*”、“COLL*”、“RESE*”、“ACAD*”或“INST*”的论文归为含“大学和研究机构”信息的论文,用U0代表;地址字段中含“CORP*”、“INC*”、“LTD*”或“LIM*”的论文归为含“产业”信息的论文,用I0代表;地址字段中含“BANK*”、“FOUND*”、“STOCK*”、“INSURANCE*”、“TRUST*”或“LEASE*”的论文归为含“资本部门”信息的论文,用C0代表;地址字段中含“NATL*”、“GOVT*”或“MINIST*”且排除字段干扰的论文归为含“政府”信息的论文,用G0代表。多主体合作论文分别以此类推。
通过分析发现,所得数据不能直接使用。以大学和研究机构为例,在计算过程中,需要用到大学和研究机构独立发表的论文数U,但包含大学和研究机构字段信息的原始数据有U、UI、UC、UG、UIC、UIG、UCG和UICG,因此需要对检索结果进行分类处理。处理后得到中美两国U、I、C等15个分类结果,如表1所示。
由表1分类处理结果可知,整体而言,中国总论文发表数从2006年的123 853篇增至2016年的365 055篇,涨幅接近200%,除2010年有小幅度下降外,其余年份均逐年增长。美国同样也呈现逐年增长态势,且数量多于中国,但增长速度不如中国。
就单独发表论文数量而言,中美大学和研究机构独立发表论文数均逐年增长,但美国绝对数量大于中国,而中国增长趋势优于美国;中国产业独立发表论文数呈小幅增长趋势,而美国呈下降趋势,但美国绝对数量大于中国;中美资本部门独立发表论文数量均不多,但美国仍强于中国,且美国增长趋势优于中国;中国政府部门独立发表论文数逐年增加,但增长速度不高,而美国呈现波动趋势,但美国绝对数量远远大于中国。
就二维协同情况而言,中美“学-产”、“学-资”和“学-政”论文发表数均呈逐年增长态势,且中国增长趋势好于美国,但美国“学-产”和“学-资”论文数量多于中国,而中国“学-政”论文数量多于美国。中美“产-资”和“产-政”论文数均呈波动状态,且美国波动程度和论文发表数均高于中国。中国和美国“产-政”论文数整体均呈上升趋势,但美国涨幅大于中国,数量也多于中国。
表1 2006-2016年“CHINA”和“USA”地址信息分类处理结果 (单位:篇)

就三维协同情况而言,中美“学-产-资”和“学-产-政”论文发表数均呈逐年上升趋势,且中国增长速度大于美国,同时数量都是美国先多于中国而后被中国赶超。中美“学-资-政”论文数均呈逐年上升趋势,两国增长速度较为接近,在数量上美国多于中国。而中美“产-资-政”论文发表数均呈波动趋势,且两国数量极少,接近于0,但整体上美国优于中国。
就四维协同情况而言,中美“政-产-学-资”论文发表数均呈增长趋势,且增长速度和绝对数量较为接近。
在利用四螺旋算法时,可能会出现概率P=0的情况,这样将造成信息熵H无意义,因此应将该情况剔除。本文通过四螺旋算法计算得到中美四维互信息值,见表2。
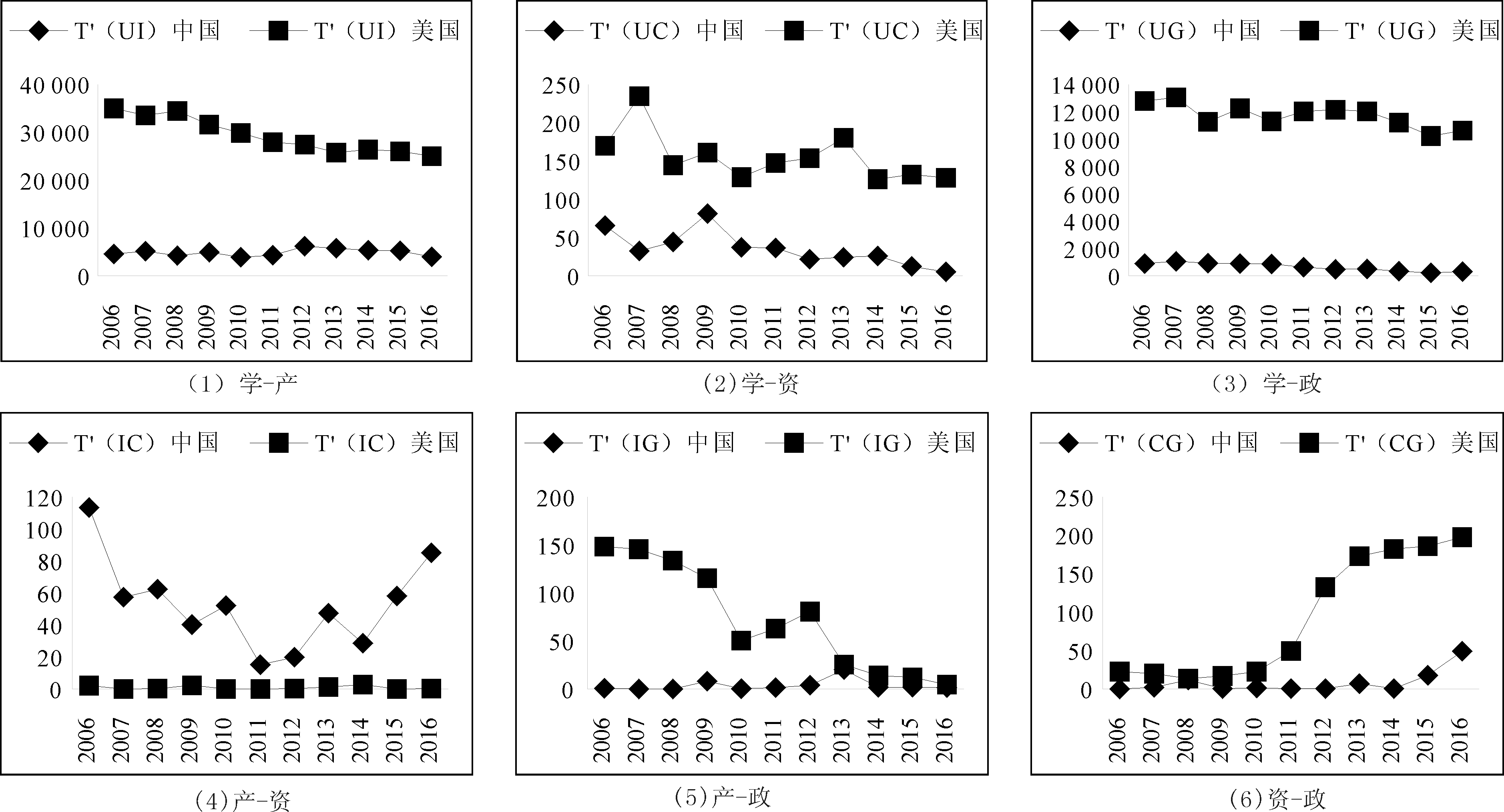
为便于比较,本文将中国与美国二维协同互信息值绘制成折线图,见图4。从中可知,美国“学-产”、“学-资”、“学-政”、“产-政”、“资-政”均高于中国,说明中国上述4种二维协同形式比较薄弱。但中国“产-资”协同程度高于美国,说明中国产业和资本部门协同程度较高,两主体间协同创新交流活动比较频繁。
另外,无论是中国还是美国,均存在T'(UI)最高、T'(UG)第二、其它4种形式协同相差不大且数值较小的情况。这说明无论中国还是美国,在二维协同发生时,“学-产”形式协同程度都最高,“学-政”形式次之,其它协同形式程度较低。就趋势而言,中国“学-产”、“学-资”、“学-政”均呈波动趋势;“产-资”呈U字形趋势,近几年不断上升;“产-政”出现波动,个别年份协同程度很高;“资-政”在近年呈上升趋势。从中可见,近几年来,大学、科研机构和其它三大主体协同创新程度正处于发展波动期,而传统产学合作模式趋于稳定。同时,“产-资”协同程度不断上升,说明我国产业和资本部门创新活动比较频繁。“资-政”变化趋势一定程度上反映了经济形势,如2008年金融危机发生后,我国“资-政”协同程度开始上升,政府和资本部门协同创新以应对金融危机。
同样,将中美两国三维协同互信息值分别绘制成折线图,便于相互比较分析,见图5。从中可见,除“产-资-政”外,其它三者均有大学和科研机构参与,中国协同程度不及美国,反映出中国大学和科研机构需要更加积极地参与到三维协同中。中美两国“产-资-政”T值比较接近,且整体上中国优于美国,这与二维协同中“产-资”比较结果相似,说明中国在产业和资本部门协同创新方面更加稳定。原因在于,在我国产业结构中,资本部门与产业并非完全独立,两者存在一定隶属关系。横向对比发现,中美传统“学-产-政”协同程度远高于其它协同形式。不同于美国,中国另外3种协同形式之间的T值差别不大,均在0左右波动。这说明,中美“学-产-政”协同创新活动已比较成熟,协同比较频繁;但在中国,“学-产-资”、“学-资-政”和“产-资-政”协同尚不稳定,协同程度也不高。
表2 2006-2016年中美四维互信息值

注:T'(X)=1×106T(X),即表中结果为真实结果的1×106倍,便于比较分析

图4 2006-2016年中美两国二维协同互信息值对比
就趋势而言,中国“学-产-政”T值处于稳定状态,说明传统“学-产-政”协同程度较为稳定。整体上看,“学-产-资”T值呈下降趋势,说明“学-产-资”协同创新模式逐渐加强。“学-资-政”、“产-资-政”始终处于大幅波动状态,说明其协同处于尚不稳定发展时期。通过与二维协同中“学-资”和“产-资”进行对比发现,政府参与使得三维协同创新程度趋于稳定。
本文将中美两国四维协同互信息值绘制成折线图(见图6)发现,中国四维互信息值低于美国,说明中国4类主体间协同程度高于美国,且处于稳定态势。这可能与中国资本部门与产业部门并未完全分开有关,而且我国对资本部门的宏观调控和监管多掌握在政府手中。尽管中国4类主体协同已经基本成型,且协同程度趋于稳定,但需要关注的是,四维协同发表论文数仍然处于较低水平。

图5 2006-2016年中美两国三维协同互信息值对比

图6 2006-2016年中美两国四维协同互信息值对比
本文在三螺旋理论的基础上,构建包含研究机构和资本部门的“政、产、学研、资创新四螺旋”模型,并根据现实情况进行了改进。随后,运用四螺旋算法,对中美两国2006—2016年协同创新活动进行测度分析。综合以上研究结果,为促进我国多元主体协同创新水平提升,提出如下政策建议:
(1)各主体亟需增强独立创新能力,提升多维协同创新程度。总体而言,多元主体间协同创新正在逐渐发展,且协同程度日趋稳定。①我国各主体独立创新成果数量均少于美国,说明各主体独立创新能力仍然较弱;②中国4类主体之间二维协同形式日趋多样化,伴随着传统“学-产”二维协同的不断稳定,其它协同形式正在不断加强和发展。但相比于美国而言,几种二维协同形式均比较薄弱,部分二维协同程度和论文发表绝对数与美国差距较大;③三维协同形式日趋丰富,且协同状况日趋稳定。但与美国相比,除“产-资-政”协同外,其它协同程度明显弱于美国;④中国四维协同程度处于较为稳定态势,有轻微波动迹象,且协同情况优于美国,绝对数量也与美国相近,但绝对数量只占总数量的极小一部分。因此,各大主体亟需增强独立创新能力,提升协同创新系统协同创新能力。另外,我国二维、三维和四维协同创新程度普遍不及美国。因此,我国政府需要出台一系列政策法规,激励各主体继续提升多维协同创新程度,同时促进协同创新主体多样性,拓展更多符合国家创新系统的协同创新形式。
(2)出台相关政策法规,激励相关主体参与协同创新。中国多元主体协同创新程度普遍弱于美国,但“产-资”、“产-资-政”、“学-产-资-政”情况均好于美国。可以发现,中国产业和资本部门协同创新较之美国更为频繁,协同程度也更高。原因在于,中国产业和资本部门并未完全分离,中国政府从中调控使得两个主体产业定位较为相似,协同创新活动也更为普遍。但中国“学-产-资”不如美国,因为美国各种形式的协同更倾向于围绕大学和研究机构展开,大学和研究机构是创新的主要承担者,虽然我国产业和资本部门在相关协同创新中表现较好,但其与大学和研究机构的协同表现不尽如人意,相关协同创新程度均较低。因此,我国政府应出台相关政策法规,激励产业和资本部门继续与大学和研究机构保持良好协同创新关系,同时激发大学和研究机构的协同创新意愿,提升协同创新主动性,使我国更多协同创新围绕大学和研究机构展开,充分发挥这类创新主体的主力军作用,改善当前协同程度低下、协同创新成果偏少的局面。
(3)明确各主体在协同创新系统中的定位,充分发挥其特有作用。研究发现,无论是中国还是美国,凡有大学和研究机构参与的协同形式,其协同程度普遍均高于其它形式,同时发展态势也更为平稳。这说明,大学和研究机构在协同创新中处于核心地位,是主要创新者。而有政府参与的协同形式,其协同程度发展态势普遍更为平稳和积极,说明政府在多主体协同创新中发挥了主导作用。产业作为创新成果最终转化主体,其重要性毋庸置疑,但中国产业独立创新能力仍表现出不及美国的状态。资本部门的加入虽然对协同创新系统稳定性、活跃性和可持续性有所增益,但研究结果显示其参与协同创新的情况并不乐观。因此,大学和研究机构在协同创新中处于核心地位,扩展其协同创新活动广度是必然要求,但同时需要稳定原有协同关系,避免原有系统失衡。政府在协同创新中起主导和稳固作用。我国政府部门应主动积极地参与到多维创新活动中,从而增强协同系统稳定度。另外,我国资本部门还应扩大创新活动协同面,提升创新活动发生频率,增加创新成果产出。
参考文献:
[1] 解学梅.中小企业协同创新网络与创新绩效的实证研究[J].管理科学学报,2010(8):51-64.
[2] 王进富,张颖颖,苏世彬,等.产学研协同创新机制研究——一个理论分析框架[J].科技进步与对策,2013(16):1-6.
[3] 叶伟巍,梅亮,等.协同创新的动态机制与激励政策——基于复杂系统理论视角[J].管理世界,2014(6):79-91.
[4] 林伟连.产学研合作共同体:内涵特征与构建路径[J].高等工程教育研究,2013(4):47-51.
[5] 何郁冰.产学研协同创新的理论模式[J].科学学研究,2012(2):165-174.
[6] 谢园园,梅姝娥,仲伟俊.产学研合作行为及模式选择影响因素的实证研究[J].科学学与科学技术管理,2011(3):35-43.
[7] H ETZKOWITZ, L LEYDESDORFF.The triple helix of university - industry - government relations: a laboratory for knowledge -based economic development [J].EASST Review, 1995, 14(1): 14-19.
[8] 方卫华.创新研究的三重螺旋模型:概念、结构和公共政策含义[J].自然辩证法研究, 2003(11): 69-72.
[9] 涂俊,吴贵生.三重螺旋模型及其在我国的应用初探[J].科研管理,2006(3):75-80.
[10] H ETZKOWITZ.The entrepreneurial university and the triple helix model of innovation [J].Studies in Science of Science, 2009, 27(4):481-488.
[11] 张秀萍,黄晓颖.三螺旋理论:传统“产学研”理论的创新范式[J].大连理工大学学报:社会科学版, 2013(4):1-6.
[12] LEYDESDORFF L.The mutual information of University-industry-Government relations:an indicator of the Triple Helix dynamics [J].Scientometrics,2003(58):445-467.
[13] PARK H W, LEYDESDORFF L.Longitudinal trends in networks of university-industry-government relations in South Korea: the role of programmatic incentives [J].Research Policy, 2010, 39(5): 640-649.
[14] 许侃,聂鸣.互信息视角下的大学-产业-政府三螺旋关系:中韩比较研究[J].情报杂志, 2013(4):187-193.
[15] ROBERT A, PASI A J, et al.Exploring quadruple helix.outlining user - oriented innovation models [R].University of Tampere Working Paper, 2010.
[16] CARAYANNIS E, CAMPBELL D.Triple helix, quadruple helix and quintuple helix and how do knowledge, innovation and the environment relate to each other: a proposed framework for a trans-disciplinary analysis of sustainable development and social ecology [J].International Journal of Social Ecology and Sustainable Development, 2010(1): 41-69.
[17] 袭著燕,李星洲,迟考勋.金融介入的政产学研用技术协同创新模式构建研究[J].科技进步与对策,2012(22):19-25.
[18] 冷伏海,赵庆峰,周秋菊.中美科研实力比较研究:基于《2016研究前沿》的分析[J].中国科学基金,2017(1):48-65.
[19] DEVOE, KRISTINA M.Bursts of information: microblogging [J].Reference Librarian, 2009, 50(2) : 212-214.
[20] 周春彦,亨利·埃茨科威兹.双三螺旋:创新与可持续发展[J].东北大学学报:社会科学版, 2006(3):170-174.
[21] SHANNON C E.A Mathematical theory of communication [J].Bell System Technical Journal, 1948(27): 379-423, 623-656.
[22] 叶鹰,鲁特·莱兹多夫,武夷山.三螺旋模型及其量化分析方法研讨[J].中国软科学, 2014(11):131-139.
Wu Weihong, Chen Gaoxiang, Zhang Aimei
(School of Economics and Management, Beijing University of Chemical Technology, Beijing 100029, China)
Abstract:Based on triple helix theory, the study built a quadruple helix model of synergy innovation which includes government, industry, university and research institutes, and capital department. Then in mutual information perspective, it mined Chinese and American paper publishing data from the Web of ScienceTM database in 2006-2016, and using N Helix Algorithm made an empirical study to measure and comparatively analyzes the synergetic innovation process's tightness and dynamics of four innovation subjects between China and America. The results shows that, First, Chinese two-dimensional synergetic innovation is stable developing, with traditional "industry-university & research" tend to be stable, other two-dimensional synergies are developing and enhancing, but compared with America several two-dimensional synergies are weak, and the degree of synergy of some two-dimensional synergies is lower than America. Second, the degree of Chinese three-dimensional synergetic innovation is beginning to stabilize, but it has lower degree than two-dimensional and America's. However, degree of synergy of Chinese "industry-capital-government" is stronger higher than America with large fluctuations. Third, the degree of Chinese four-dimensional synergetic innovation is higher than America, overall, the degree is stable, but it waved lightly in some years.
Key Words:Mutual Information;Government-Industry-University-Research-Capital; Synergy Innovation; Quadruple Helix
收稿日期:2017-05-19
基金项目:教育部人文社会科学研究规划基金项目(17YJA630111);北京市社会科学基金项目(16YJB011);中央业务费文科专项项目(PTRW1704)
作者简介:吴卫红(1972-),女,安徽定远人,博士,北京化工大学经济管理学院教授、硕士生导师,研究方向为技术创新、技术经济;陈高翔(1993-),男,浙江温州人,北京化工大学经济管理学院硕士研究生,研究方向为技术创新;张爱美(1965-),女,吉林抚松人,博士,北京化工大学经济管理学院副教授、硕士生导师,研究方向为技术经济。
DOI:10.6049/kjjbydc.2017030632
中图分类号:F124.3
文献标识码:A
文章编号:1001-7348(2018)06-0021-08
(责任编辑:王敬敏)