陶 丹
(重庆邮电大学,重庆 400065)
摘 要:产学研协同创新是推动技术创新的一条重要路径,但创新成本分摊机制是影响产学研协同合作的一个重要问题。通过构建充分竞争市场下的多阶段博弈模型,从成本分摊机制角度探究了如何有效推进产学研协同创新。通过模型扩展与求解,获得成本分摊后的帕累托改善以及产学研协同创新的可行路径。结果表明:企业和学研方基于自身收益最大化而进行的成本分摊协商无法实现帕累托最优,而轮流出价博弈模型下的成本分摊形成机制能够有效改善各方收益,并使整体收益达到帕累托最优,因此是一条现实可行的帕累托改善路径,其中,各方获得的收益增量与耐心程度的对比有关。
关键词:产学研协同创新;成本分摊;帕累托最优
随着经济全球化进程的日益加快,技术创新能力已成为企业乃至国家竞争力的源泉,产学研协同创新因此而受到广泛重视。在产学研协同创新过程中,一方面企业、高校及科研院所在资源和能力上具有互补性,它们相互配合、协同,进行技术创新活动;另一方面,各协同方属于不同的利益主体,有着各自的利益诉求。因此,产学研协同创新过程也是一个产学研各方博弈的过程,而博弈的核心问题是创新收益分配与创新成本分摊。
围绕产学研协同创新收益的分配,国内外学者进行了大量研究。Blecke等[1]分析了产学研各方平均分配创新收益的情况,认为平均分配收益容易产生道德风险,进而导致搭便车行为;Bidaut,Xiao和Savva等[2-4]分别从不完全市场竞争、多阶段研发、信号博弈等角度分析了不同环境下进行产学研协同创新收益分配的最优契约安排。国内方面,李廉水[5]结合我国经济特点,认为产学研协同创新的收益分配方式主要包括一次性支付、按股支付和提成支付3种。卢仁山[6]将产学研合作模式划分为松散型、半紧密型、紧密型,并分别探讨了不同模式下的收益分配机制。高兴民等[7]从禀赋效应角度,认为产学研各方禀赋是影响收益分配机制的重要变量。罗利、黄波、刘云龙等[8-10]使用博弈论工具,从双边激励、产业联盟等不同角度,对产学研协作创新中的利益分配问题进行了讨论。相比于产学研协同创新收益分配问题,针对创新成本分摊的研究较少,苏敬勤[11]运用产权经济学中的交易成本概念,提出了协同创新成本内部化与外部化条件。冯锋等[12]运用数据包络方法,对产学研合作中的固定成本分摊进行了探讨。
综上所述,虽然收益分配和成本分摊都是产学研协同创新中博弈的核心问题,但现有文献较少关注产学研协同创新的成本分摊机制。如有文献对包括收益分配在内的产学研协同创新作了有益探讨,但也仅仅是从交易成本角度对此问题进行初步分析。一种观点认为,从博弈论角度,创新成本的分摊与创新收益的分配具有相似特征,同属于博弈参与者的支付。但事实上,创新利益的分配是对事后协作利益剩余索取权的安排,而创新成本的分摊则是对事前协作成本分担的安排,二者对协作博弈中各参与方行为和结果的影响都不同。基于此,本文通过构建博弈模型,研究产学研协同创新成本分摊机制,并探讨利用成本分摊机制实现产学研协同创新帕累托改善的路径。
产学研协同创新参与者有企业、大学和科研机构,由于大学和科研机构在协同创新中具有同质性,因此将其共同看作为博弈的一方,即学研方,而将企业看作博弈的另一方。首先从静态博弈角度分析,企业与学研方在博弈中的决策行为均符合理性人假设。在市场竞争中,企业方希望联合学研方来提升技术创新能力,从而改善产品质量,降低产品成本。假定企业事先以契约方式与学研方约定,将技术创新收益以(s,1-s)的比例进行分配,从而吸引学研方参与协同创新。但由于技术创新固有的不确定性和风险性,学研方无论是在资金实力上还是在风险偏好上都很难独自承担研发失败的风险,因此希望企业给予事前的创新成本分摊,从而调动学研方技术创新的积极性。与博弈模型有关的假设条件如下:
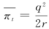
假设1:市场结构为完全竞争市场,企业的最大生产能力为q,即最大程度地满足市场需求,这里假定q保持不变。
假设2:技术创新通常会带来产品质量提升或生产成本降低,在本研究模型中,假设协同创新行为将降低产品生产成本,每单位产品的降低幅度为u。
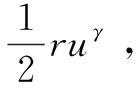
假设3:要使产品生产成本的降低程度为u,必然产生创新成本,假设创新成本函数为
其中,r为技术创新所需的投资参数。Cohen和Kleppe[13]的实证研究表明,R&D活动存在规模不经济性,其回报随R&D支出的增长逐渐递减。这意味着创新成本函数是凸向u的,因此有γ>1,本研究中假定γ=2,因此,技术创新成本函数为![]()
基于该模型假设,需要思考的问题包括:企业方是否愿意分摊学研方的技术创新成本?如果愿意分摊,企业方愿意分摊的比例是多少?不失一般性,假设企业方愿意分摊的技术创新成本比例为t(0≤t≤1),由此可得产学研协同创新的总净收益、企业方净收益、学研方净收益分别如下:
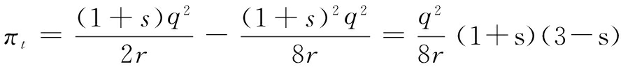
总净收益:![]()
(1)
企业方净收益:![]()
(2)
学研方净收益:![]()
(3)
根据企业方和学研方的理性人假设,双方均以自身收益最大化为决策原则。在协同创新过程中,双方事先以契约方式约定,将技术创新的收益以(s,1-s)的比例进行分配。此时,双方博弈将分成两个阶段:第一阶段,企业方向学研方承诺分摊比例为t 的技术创新成本;第二阶段,学研方选择使自身收益最大化的创新程度u。在本研究中,采用逆向归纳法对博弈模型求解。
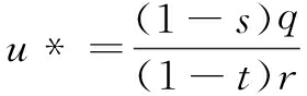
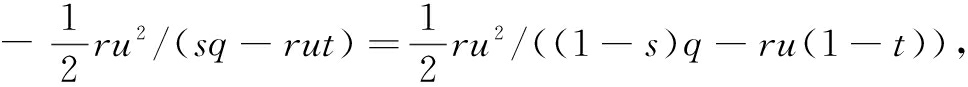
学研方以自身收益最大化原则来选择最优研发投资水平,由
可得:
(1-s)q-ru(1-t)=0,解得:![]()
(4)
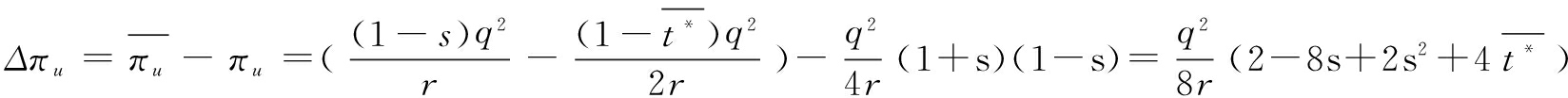
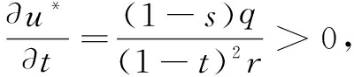
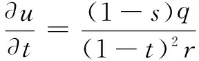
由式(4)看出,学研方最优研发投资水平是企业方成本分摊比例t的增函数,即企业分摊比例越高,学研方的研发投入水平越高。
更大的研发投入意味着更高的产品质量提升,从而带来更好的企业方收益,因此企业方总是期望学研方进行更高的研发投入。但从上述分析可知,学研方的研发投入水平与企业方的分摊比例正相关,这意味着企业方投入成本增加。因此,企业需要选择适当的成本分摊比例t以最大化自身收益。由
可得:
由式(4)可得:![]()
联立上式可解得:![]()
(5)
由式(5)可得隐含条件s>1/3,也即企业方愿意分摊学研方技术创新成本的前提条件是其在新增收益中的分配比例大于1/3。
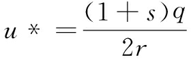
将式(5)代入式(4)可得:
![]()
(6)
结论1:在产学研协同创新中,如果企业在新增收益中的分配比例低于1/3,将不会对学研方的技术创新成本进行分摊;如果企业在新增收益中的分配比例高于1/3,将会对学研方的技术创新成本按照
的比例分摊,双方在该分摊比例下达到博弈均衡,获得各自的最大化收益。博弈的均衡点为:![]()
将式(5)-式(6)分别代入式(1)、(2)、(3),可得产学研协同创新的总净收益、企业方及学研方的净收益分别如下:
![]()
(7)
![]()
(8)
![]()
(9)
在基本模型中,企业方和学研方在市场机制作用下,通过选择适当的技术创新程度以及创新成本分摊比例,获得博弈均衡,分别实现了各自的最大化收益。由于双方的决策目标均为自身收益最大化,而非整体收益最大化,因此该机制下的技术创新投入可能不足,进而影响博弈双方以及整体收益。为此,需要思考的问题是:在基本模型中,企业方和学研方能否通过选择适当的创新成本分摊比例t与技术创新程度u,使得双方以及整体收益均获得改善,即基本模型下的产学研协同创新是否有机会实现帕累托改善?考察基本模型下的企业方和学研方利润曲线,结果如图1所示。
由式(4)知学研方的创新程度u*是企业方成本分摊比例t的函数,且有
因此u*(t)是t的增函数,如图1所示。
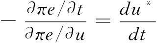
由于企业方知道学研方将根据上述一阶条件选择创新程度,企业在第一阶段的问题是:
Maxπe(t,u*(t))
该问题的最优化一阶条件是:
或![]()
等式左边是企业的边际替代率,等式右边是学研方创新程度函数曲线的斜率,因此该阶条件意味着企业将选择成本分摊比例t*,使得在t*点自己的利润函数与学研方的创新程度函数曲线相切,子博弈精炼纳什均衡的结果是(t*,u*(t)),如图1所示。

图1 企业方与学研方博弈结果
虽然(t*,u*(t))是一个子博弈精炼纳什均衡结果,但由图1可以看出,该点并不是帕累托最优点,因为该点企业方与学研方的等利润曲线是相交而不是相切。如果t和u在双方利润曲线围成的阴影区间内,双方的利润都可以获得增加(企业方较低的等利润曲线代表较高的利润水平,而学研方较高的等利润曲线代表较低的利润水平)。从图1还可以看出,帕累托最优契约必须在契约曲线上,其满足以下条件:
也就是说,企业等利润曲线的斜率必须等于学研方等利润曲线的斜率。
结论2:在基本模型的产学研协同创新中,企业方和学研方有可能通过选择适当的创新成本分摊比例t与技术创新程度u获得帕累托改善,最优的帕累托改善点位于契约曲线上,该曲线上的每一点均有
即企业方与学研方的等利润曲线斜率相等。
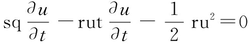
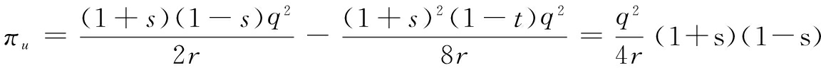
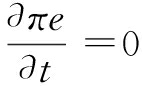
结论2给予了启示,即在基本模型中,企业和学研双方有进行帕累托改善的空间,但在双方围绕创新成本分摊的博弈中,如何决策才能实现帕累托改善?由于双方的决策目标均为自身收益最大化,从而导致整体技术创新投入不足,由此想到,如果博弈中的一方或双方改变决策目标,是否可能带来双方收益的帕累托改善?为此,先假设学研方以整体收益最大化原则选择研发投入程度u,则由
可得:
q-ru=0,解得:![]()
(10)
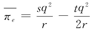
将式(10)分别代入式(1)、(2)、(3)可得,产学研协同创新的总收益、企业方及学研方的收益分别如下:
![]()
(11)
![]()
(12)
![]()
(13)
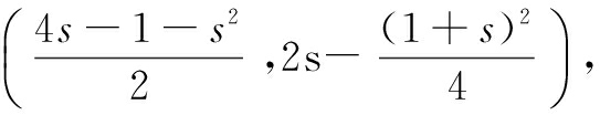
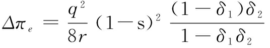
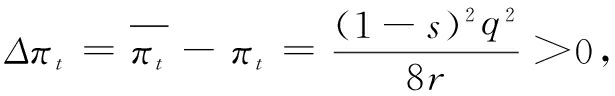
易知整体收益变化
因此,如果学研方和企业方的收益变化均有Δπe>0,Δπu>0,即可实现模型的帕累托改善。
由于
将式(8)和式(12)代入可得:
解得:![]()
由于
将式(9)和式(13)代入可得:
解得:![]()
由于
因此,
非空,即企业始终能找到最优的创新成本分摊比例
使得企业方和学研方的收益同时增加,实现整体收益的帕累托改善。
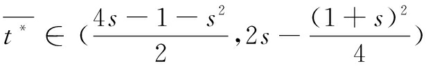
事实上,由
可得:
解得:![]()
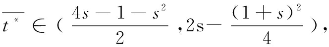
即当学研方选择的技术创新程度为u=q/r时,博弈的均衡点落于图1的契约曲线上,此时只要企业方选择的成本分摊比例
则双方及整体的收益能获得帕累托改善。
此外,由于
因此有
即实现协同创新体系帕累托改善的重要条件是企业必须适度增加对学研方创新成本的分摊比例。
结论3:在产学研协同创新中,如果学研方以整体收益最大化为决策目标,并且企业将学研方创新成本的分摊比例提升至适当比例
则协同创新系统能够获得帕累托改善,使得系统整体以及每个参与方的收益都实现增加。
结论3表明产学研协同创新系统可以实现帕累托改善,在系统整体收益增加的同时,每个参与方的收益都因此得到提升。分析整体及双方收益函数可以发现,系统整体收益的增量来自于学研方技术创新程度的提升,企业方和学研方基于整体收益增量进行分割,分割程度取决于企业创新成本的分摊比例,实际中则体现为企业方和学研方围绕创新成本分摊比例t不断进行出价-还价的过程。t值越大,企业方收益增量越小,学研方收益增量越大;反之,则企业方收益增量越大,学研方收益增量越小。
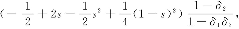
Rubinstein在轮流出价模型中证明了在参与人1先出价的无限期轮流出价博弈中,存在着唯一的子博弈精炼均衡
其中,δ1和δ2分别代表了参与人1和参与人2的贴现因子,贴现因子的大小由参与人的耐心程度决定。参与人1得到的收益份额为x,而参与人2得到的收益份额为1-x。给定条件下,耐心程度越高,即贴现因子越大的参与人所获得的收益份额越大,而耐心程度取决于参与人的机会损失、风险偏好等。
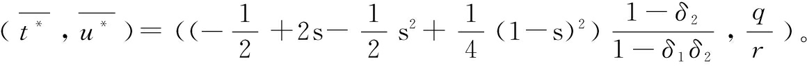
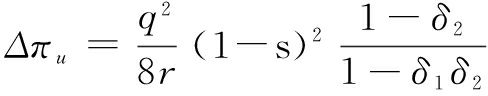
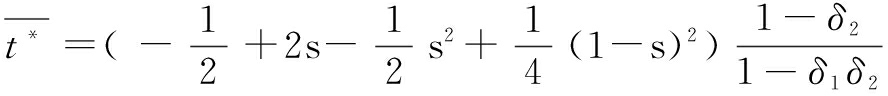
本文中将有效帕累托改善下的系统整体收益增量记为Δπt,不失一般性,假设学研方为参与人1,则有:
因此,学研方和企业方获得的收益增量分别为:
![]()
(14)
以下求解创新成本分摊比例
由于
![]()
(15)
联立式(14)、(15)解得:
因此,此时的子博弈精炼均衡解为![]()
结论4:在产学研协同创新中,双方可以轮流出价的方式实现整体收益的帕累托改善,整体收益的增量为
如果学研方先出价,其可以获得整体收益增量的份额为
企业获得的整体收益增量的份额为
此时企业的创新成本分摊比例为
学研方的技术创新投入程度为q/r。
上文分析了3种模型的不同情况:① 基本模型; ②帕累托最优模型; ③轮流出价博弈模型。将相关变量代入,可得表1。
表1三种模型对比分析结果

相关变量的比较结果如下:
(1)创新投入u的比较。基本模型下的创新投入较低,小于q/r,而帕累托最优模型和轮流出价模型的创新投入都达到了q/r的最优程度,这是由博弈参与者不同决策方式决定的。在基本模型下,参与者的决策目标是自身收益最大化,因此存在创新投入不足;在帕累托最优模型下,参与者的决策目标是整体收益最大化,因此创新投入能达到最优水平;在轮流出价模型下,参与者先基于整体收益最大化目标增大整体收益,然后通过轮流出价方式进行收益增量的分配,因此也能达到最优创新投入水平。
(2)企业方创新成本分摊比例t的比较。基本模型下的整体收益较低,相应地,企业方愿意分摊的创新成本比例也最低;帕累托最优模型下的企业分摊比例可在一定区间内浮动;轮流出价模型下的企业分摊比例为帕累托最优模型区间内的一个具体数值,该值大小取决于双方的耐心程度。
(3)总收益比较。基本模型下的总收益最低,轮流出价模型下的总收益达到了帕累托最优模型水平,都实现了整体最优。
(4)企业收益比较。基本模型下的企业收益最低;帕累托最优模型下的企业收益取决于其分摊的创新成本比例,若按最大比例分摊,则其收益与基本模型下的收益一样;若按最低比例分摊,其独享整体收益的增量,得到最大收益;轮流出价模型下的企业收益在基本模型基础上获得一个增量,增量大小取决于整体收益增量的大小以及双方耐心程度的对比。
(5)学研方收益比较。基本模型下的学研方收益最低;帕累托最优模型下的学研方收益取决于企业方分摊的创新成本比例,若企业方按最低比例分摊,则其收益与基本模型下的收益一样,若企业方按最大比例分摊,则其独享整体收益的增量,得到最大收益;轮流出价模型下的学研方收益在基本模型的基础上获得一个增量,增量大小取决于整体收益增量的大小以及双方耐心程度的对比。
由此可以看出,轮流出价模型是产学研协同创新进行成本分摊、实现帕累托改善的有效机制。由于参与者首先致力于提升整体收益,使整体收益达到帕累托最优模型的水平,同时,基于双方耐心程度的对比对整体收益增量进行分配,使双方收益都获得不同程度的改善,确保了双方合作的积极性,因此是可行的帕累托改善路径,具有现实应用价值。
为进一步验证本文结论,通过具体数值进行检验。假设q=100,r=2,δ1=δ2=0.8,分别假设s为0.4,0.5,0.6,0.7,以表示企业方与学研方之间不同的技术创新收益分配比例,计算得到3种模型下的创新投入程度、创新成本分摊比例、总收益、企业收益及学研方收益,具体如表2所示。
表2验证了本文结论,即轮流出价模型在创新投入及总收益上都达到帕累托最优模型水平,无论是企业方收益还是学研方收益都较之于基本模型获得了明显提升,双方也具有成本分摊合作的积极性,进一步证明了其现实可行性。
从表2还可以看出,无论双方的初始收益分配比例如何,在轮流出价模型下,虽然企业方和学研方获得的收益不同,但最后获得的整体总收益一样,达到帕累托最优模型水平。事实上,基于轮流出价模型可以发现,获得的总收益与双方收益分配的比例无关。这给予了启示:目标为整体收益最大化的产学研协同创新政策制定者与推动者,应致力于推动协同各方进行积极的成本分摊协商,而无需过多关注双方收益分配比例的谈判。
产学研协同创新是国家创新能力体系的重要组成部分。要推动产学研协同创新长期、稳定、有效地发展,就必须解决好产学研协同创新运行机制问题,而创新成本分摊机制是其中的一个重要问题。无论是产学研协同创新参与方,还是协同创新政策推动方,本研究都具有现实应用价值。
(1)在产学研协同创新中,如果企业方和学研方都只关注自身收益,则在协同创新博弈过程中会形成一个最优创新成本分摊比例,该比例可以确保企业方和学研双方在博弈过程中实现自身收益最大化,但由于总收益无法达到最大化,双方实际上只是在较小总收益范围内获得各自的局部最优,而无法获得绝对意义上的最大化收益。因此,对于产学研协同创新各参与方而言,首先应认识到,非合作博弈不是协同创新的最优选择。
表2不同s值下3种模型对比

(2)产学研协同创新各方应更多地考虑合作博弈方式,寻求合作博弈的子博弈精炼均衡。首先通过合作创造整体收益的最大化,然后通过谈判进行总收益增量的分配,这样可以使得双方及整体收益都获得帕累托改善。轮流出价模型是有效实现该帕累托改善的现实可行路径。在轮流出价模型下,双方获得的总收益增量份额取决于双方耐心程度的对比。
(3)在轮流出价模型中,只要双方就创新成本分摊比例达成一致,即可获得最优整体收益,且与双方收益分配比例无关。因此,对于产学研协同创新政策的制定者与推动者而言,并不需要直接介入收益比例分配等经济活动,而应致力于为协同双方谈判创造条件,减少阻碍谈判进程的非经济因素,从而促进产学研协同创新的整体优化与尽快启动。
本文主要对充分市场竞争下产学研协同创新的成本分摊机制进行了帕累托优化研究,但研究模型的一个重要前提是协同方对技术创新成功具备一致预期,此时协同方的R&D投入较为稳定和可控。在实践中,技术创新不成功也是普遍存在的现象,但考虑到该条件下协同方的R&D投入更不稳定,容易受到更多因素影响。因此,进一步刻画该条件下协同方R&D投入的影响机制,进而分析其有效成本分摊机制,是下一步研究的方向。
参考文献:
[1] BLECKE J,ERNST D. The way to win in cross-border alliances[J].Harvard Business Review,1991,69(6):127-135.
[2] BIDAULT F. Firm size and technology centrality in industry university interactions[J]. Research Policy,2002,26(9):1163-1180.
[3] XIAO W,XU Y.The impact of royalty contract revision in a multistage strategic R&D alliance[J].Management Science, 2012, 58(12):2251-2271.
[4] SOMMER S C, LOCH C H. Incentive contracts in projects with unforeseeable uncertainty[J]. Production Operation Management, 2009,18(2):185-196.
[5] 李廉水.我国产学研合作创新的途径[J].科学学研究,1997(3):41-44.
[6] 卢仁山.不同产学研合作模式的利益分配研究[J].科技进步与对策,2011(17):96-101.
[7] 高兴民,张祥俊.禀赋效应与产学研合作收益分配机制研究[J].科技进步与对策,2015(32):15-19.
[8] 罗利,鲁若愚.产学研合作对策模型研究[J].管理工程学报,2000(2):1-4.
[9] 黄波,孟卫东,李宇雨.基于双边激励的产学研合作最优利益分配方式[J].管理科学学报,2011(7):31-42.
[10] 刘云龙,李世佼.产学研联盟中合作成员利益分配机制研究[J].科技进步与对策,2012(3):23-25.
[11] 苏敬勤.产学研合作创新的交易成本及内外部化条件[J].科研管理,1999(5):68-72.
[12] 冯锋,吴勋波. 产学研中基于熵的固定成本分摊及实证研究[J].科技管理研究,2012(10):217-222.
[13] WM COHEN,S KLEPPER.The anatomy of industry R&D intensity distributions[J].American Economic Review,1992,82(82):773-99.
Tao Dan
(Chongqing University of Post and Telecommunications, Chongqing 400065,China)
Abstract:The Industry-university-research collaborative innovation is an important path to promote technological innovation, but the sharing mechanism of innovation cost is an important problem that restricts and influences the cooperation. To build a multi-stage game model under the full competitive market, and to explore how to effectively promote the innovation from the perspective of cost sharing mechanism. Through the gradual expansion and solution of the model, we can get the Pareto improvement of the cost allocation, and then effectively promote the feasible path of the innovation. The results show that the Pareto optimality can not be achieved by the cost sharing negotiation between the parties based on the maximization of their own profit. The mechanism of cost-sharing under Turn-Bid Game Model is a realistic and feasible Pareto improvement path that can effectively improve the profit of all parties and make the whole income reach the Pareto optimal. The increase in profit for the parties is related to the degree of patience. The results can provide theoretical basis and guidance for the policy.
Key Words:Industry-University-Research Collaborative Innovation; Cost-Sharing;The Pareto Optimality
DOI:10.6049/kjjbydc.201708X216
中图分类号:F124.3
文献标识码:A
文章编号:1001-7348(2018)05-0008-06
收稿日期:2017-10-26
基金项目:教育部人文社会科学研究青年基金项目(12YJC630186);重庆市高等教育教学改革研究重点项目(152021、132038);重庆市教委人文社会科学研究重点项目(17SKG049、17SKG051);重庆市教委科学技术研究项目(KJ1704111);重庆邮电大学教育教学改革项目(XJG1424);重庆邮电大学社会科学基金重点项目(2015KZD13、2015KZD15)
作者简介:陶丹(1981-),女,四川资阳人,重庆邮电大学副教授,研究方向为区域经济学、创新创业教育管理。
(责任编辑:胡俊健)