党的十九大将人民美好生活需求提升到新高度,为破解老年人日益增长的多层次养老需求与供给不平衡、不充分的之间的矛盾,彰显中国智慧、描绘中国方案,适时提出了构建养老、孝老、敬老政策体系和社会环境,政策利好将催生养老产业商业模式创新。网络经济背景下,互联网为平台提供了前所未有的契机,平台战略以惊人的速度和规模席卷全球,养老地产复合了地产开发、运营、医养服务、金融运作等多重属性,传统全能开发商模式亟待变革。因此,如何借力互联网思维,搭借平台战略的快车激发网络效应,进而保障养老地产平台持续高效的运营,再次激发养老地产增长活力值得深思。
文献研究发现,大量学者对养老地产进行了相关研究[1-4],但针对养老地产平台战略应用的研究较为缺乏[5],关于养老地产平台网络效应激发的研究更为鲜见。本文以网络效应影响因素识别为切入点,借助Fuzzy-DEMATEL模型确定网络效应激发的关键要素,并从激发路径视角为养老地产平台生命周期运营策略制定作指引。
生命周期理论已经存在多年,被广泛应用于政治、经济、社会等多个领域,其发展、成长、成熟、衰退的4阶段划分理论在学术界形成了共识。鉴于互联网平台发展实践较短,因成熟而衰退的平台较少,加之养老产业自身独特属性导致的壁垒现象和初创阶段夭折现象比较普遍,故本文对生命周期4阶段进行修正,将养老地产平台生命周期划分为初创期、成长期、成熟期3个阶段,如图1所示。

图1 平台生命周期阶段
基于模糊集理论,将三角模糊数概念和CFCS去模糊化引入DEMATEL算法,构建Fuzzy-DEMATEL模型,为网络效应激发关键要素的确认提供方法论。
(1)模糊集理论。以模糊集理论为基础的模糊数学适用于要素关联度模糊问题分析,是模拟人脑处理模糊信息的方法,通过引入模糊集理论、三角模糊数等概念量化专家的主观判断,消除专家打分主观性。针对三角模糊数、语义评价集的基础概念进行如下说明[6]:①三角模糊数指在实数域R上的模糊集A中任意元素x,都可以通过隶属度uA(x):R→[0,1](x∈R)表示其属于模糊集uA(x)的程度。此外,三角模糊数
可由(l,m,r)表示,其中0≤l≤m≤r≤1,且隶属函数如式(1)所示;②语言评价集指假设语言评估标度集合H={H0,H1,…,HT},其中Hi为该集合的第i个评价短语i∈{0,1,…,T},H一般是由5~7个语言术语构成的有序集合。本文选用 “影响非常大、影响大、影响小、影响非常小、没有影响”作为语言术语,依据式(2)实现由语言变量到三角模糊数的转换[7](见表1)。

(1)
i∈{0,1,…,T}
(2)
(2)CFCS方法。定量分析以具体数据为基础,通过语言变量与三角模糊数对专家评价进行信息处理集成后,还需要选择合适的方法处理三角模糊数,并基于CFCS方法对操作路径进行去模糊化处理。假设三角模糊数
则完整的步骤如图2所示[8]。
表1 语言变量与三角模糊数转化

语言变量专家打分三角模糊数转化说明没有影响(NO)0(0.00,0.00,0.25)将T=4,i=0带入公式(5-2)影响非常小(VL)1(0.00,0.25,0.50)将T=4,i=1带入公式(5-2)影响小(L)2(0.25,0.50,0.75)将T=4,i=2带入公式(5-2)影响大(H)3(0.50,0.75,1.00)将T=4,i=3带入公式(5-2)影响非常大(VH)4(0.75,1.00,1.00)将T=4,i=4带入公式(5-2)

图2 CFCS去模糊化操作路径
(3) DEMATEL方法。DEMATEL方法即决策试验与实验评估法,是以图论、矩阵工具为依据,以简化系统结构分析过程为抓手,依托专家丰富经验分析复杂系统因果关系的重要工具。养老地产平台作为复杂的社会网络系统,网络效应激发具有典型的影响因素众多、复杂的特征,可采用DEMATEL方法探索影响因素之间关联与影响程度,进而确定关键要素。DEMATEL方法具体步骤如图3所示[9]。

图3 DEMATEL方法操作步骤
(4)Fuzzy-DEMATEL模型构建。DEMATEL作为复杂系统因素分析的重要方法论,在实践中被广泛应用,DEMATEL方法以专家知识为切入点,以矩阵运算为路径,剖析因素关联程度和影响程度。然而在实际问题研究中,因素彼此影响程度存在模糊性且专家经验具有语义化特征,因此用精确数值表示因素间复杂的影响程度并不妥当,因此,本文引入模糊集理论以弥补传统DEMATEL方法的缺陷。
养老地产平台网络效应的激发是一个复杂的多因素系统,平台生命周期演化进一步加剧了网络效应激发系统的复杂程度。鉴于此,以影响因素指标、平台阶段、调查问卷等为资料输入,以数据获取、数据计算、影响因素属性分析为路径,运行Fuzzy-DEMATEL模型以确定网络效应激发的关键要素。根据模型输出结果从静态、动态两个维度分析,基于平台同一阶段不同因素的重要性排序,确定该阶段关键要素(见图4)。基于同一因素在不同阶段的重要性排序演化,明晰关键要素演化。最后,锁定3个阶段网络效应激发关键要素重要性排序,分别构建初创期、成长期、成熟期3个阶段的网络效应激发路径(见图5)。

图4 Fuzzy-DEMATEL模型

图5 网络效应激发路径构建思路
为了保证网络效应影响因素的全面性、科学性、合理性,本文为养老地产平台网络效应影响因素识别设计了以下步骤:
(1)文献挖掘—两阶段文献研究。首先以两阶段文献研究为切入点,循序渐进、层层深入、逐步聚焦,实现网络效应影响因素的精准定位、深度挖掘(见图6)。

图6 两阶段文献研究流程
第一阶段通过CNKI数据库,以“年 between (2013,2017)and 主题=网络效应 or 主题=网络外部性 or 关键词=网络效应 or 关键词=网络外部性”为条件,检索近5年关于网络效应或网路外部性的全部文献,形成网络效应论文列表,其中核心期刊论文710篇,学位论文618篇。在网络效应论文列表的基础上,进一步以“摘要=影响 or 因素”为检索条件,经过初步筛选形成影响因素论文列表,其中期刊论文322篇,学位论文141篇。
第二阶段通过摘要阅读进行二次筛选,形成目标论文列表(其中期刊论文96篇,学位论文59篇),并对目标论文进行全文阅读,挖掘网络效应影响因素,进而形成清单,根据全文阅读验证影响因素名称并统计频数等。由于研究对象、研究视角以及学者认知水平的差异,文献中网络效应影响因素的名称有差异,此处统一名称,以便后文研究需要(见表2)。
(2)问卷补充—专家问卷调查法。为进一步识别网络效应潜在影响因素,本文设计了简单的调查问卷,以在平台战略、网络效应、养老地产方面经验丰富的专家为发放对象,收集相关专家认定的养老地产平台网络效应影响因素。此次共收集问卷63份,有效问卷59份,问卷统计结果如表3所示。
(3)筛选分类—专家回访调研法。①影响因素指标库形成:由于养老地产平台商业模式研究非常缺乏,基于网络效应视角的研究更为鲜见,通过文献挖掘和问卷调查得到的影响因素大多针对移动通信、金融、电商网站等,因此将两阶段文献研究与专家问卷调查法的成果视为影响因素池(见图7);②影响因素筛选分类:根据研究需要,对识别出的影响因素进行筛选分类(见图8)。
表2 网络效应影响因素文献挖掘统计情况

序号名称频数占比(%)1用户规模(用户数量/节点数量/安装基础)5826.242用户感知2812.673产品质量(服务质量/服务品质)2310.414定价策略(定价机制)2310.415黏性用户(用户归属)188.156互动机制146.347活跃用户(意见领袖)125.438用户偏好104.529互补性(互补服务/互补品数量)104.5210交互作用94.0711兼容性83.6212转移成本(转换成本/边际成本/搜寻成本)41.8113诚信机制(过滤机制)41.81合计221100
表3 网络效应影响因素专家问卷调查统计情况

序号名称频数占比(%)1用户规模(用户数量、网络规模)5130.912互动机制2012.123活跃用户1810.914反馈机制169.705增值服务159.096交互作用(交互影响)137.887产品创新(理念创新、产品创新、源创新)137.888产品质量(服务质量、服务标准)127.279互补兼容74.24 合计165100
在初步筛选中,基于影响因素指标库的16个指标,以影响因素文献挖掘、问卷调查等统计表中占比3%为筛选门槛,首先排除转移成本、诚信机制等2个指标;在指标验证阶段,从统计结果可以看出,专家问卷调查反馈的影响因素在数量上相较两阶段文献挖掘的影响因素存在一定差距,因此根据问卷调查反馈进行针对性回访以探明原因。一方面,对文献挖掘因素给予一定的认可,另一方面,对影响因素进行总结归纳;在指标分类阶段,基于上述筛选、验证过程,以网络效应来源及本质为核心,根据养老地产平台研究需要,从用户、平台、产品等3个层面对影响因素进行分类(见表4)。

图7 影响因素指标库

图8 影响因素分类过程
表4 网络效应影响因素分类

类别影响因素用户层面用户规模、活跃用户、黏性用户、用户感知、用户偏好、交互作用平台层面定价策略、互动机制、反馈机制、增值服务产品层面产品质量、产品兼容性、产品互补性、产品创新
为保证研究的直观简洁,以初创期为例,说明影响度、被影响度、中心度、原因度等数据计算结果以及因果关系,成长期、成熟期仅列出属性分析结果。
2.2.1 数据获取
采取专家问卷访谈的方法,拜访在养老地产、平台战略、网络效应等方面颇有建树的专家,以有效识别养老地产平台网络效应激发的关键要素。基于Dan[10]提出的5~7人专家组决策理论,结合国内外Fuzzy-DEMATEL模型成熟的研究过程,本文选取7个专家组建决策小组。
问卷发放采取现场调研的方式,首先,说明此次调研的目的、意义,介绍当前养老地产、网络效应的研究现状。其次,针对问卷中涉及到的概念进行解释并说明评分标准,再对养老地产平台发展阶段的特点、特征进行详细描述。然后,针对专家评分过程中的疑惑进行解答。最后,回收专家评分表。此次问卷共收回7个专家对初创期、成长期、成熟期等3个阶段21份评分表。
2.2.2 数据计算
借助MATLAB软件编程,以Fuzzy-DEMATEL模型为运行路径,计算养老地产平台初创期网络效应激发影响因素的影响度、被影响度、中心度、原因度等4个指标(见表5)。
2.2.3 属性分析
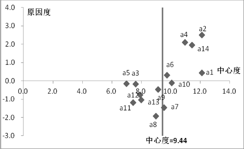
以中心度Di为横轴、以原因度Ri为纵轴建立笛卡尔坐标系,标出14个影响因素在坐标系中的位置,以中心度平均数的线为内部辅助轴线,得到初创期网络效应激发影响因素因果关系图(见图9)。
中心度表示影响因素的重要程度,原因度表示影响因素之间的关联程度。根据原因度的正负可将影响因素属性分为原因因素(Ri>0)和结果因素(Ri<0)两类,原因因素影响其它因素,结果因素受其它因素影响。最终,得到养老地产平台影响因素属性(见表6)。
表5 数据计算结果—初创期

因素名称影响度被影响度中心度原因度用户规模a16.277 95.838 712.116 60.439 2活跃用户a27.300 24.808 412.108 62.491 8黏性用户a33.718 63.891 07.609 6-0.172 4用户感知a46.533 84.431 010.964 82.102 8用户偏好a53.424 13.574 16.998 2-0.15交互作用a65.025 34.719 69.74490.305 7定价策略a74.041 95.512 29.5541-1.470 3互动机制a83.536 15.458 38.9944-1.922 2反馈机制a94.327 44.804 99.1323-0.477 5增值服务a104.984 05.088 210.072 2-0.104 2产品质量a113.130 34.318 57.448 8-1.188 2产品兼容性a123.582 74.348 27.930 9-0.765 5产品互补性a133.484 04.519 18.003 1-1.035 1产品创新a146.688 54.742 811.431 31.945 7

图9 初创期影响因素因果关系
表6 平台各阶段影响因素属性分析

阶段原因因素结果因素初创期a1,a2,a4,a6,a14a3,a5,a7,a8,a9,a10,a11,a12,a13成长期a6,a8,a9,a11,a12,a13,a14a1,a2,a3,a4,a5,a7,a10成熟期a4,a6,a8,a9,a12,a13,a14a1,a2,a3,a5,a7,a10,a11
养老地产平台网络效应激发的14个影响因素之间相互影响、相互作用,形成一个有机的影响因素系统,且在不同发展阶段呈现不同特点,因此需要进一步从静态、动态两个维度进行讨论。
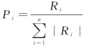
(1)静态结果分析主要针对养老地产平台的同一阶段影响因素的重要性排序问题。中心度是指影响度与被影响度之和,代表因素的绝对重要度;原因度是指影响度与被影响度之差,代表因素的净影响度。为确保网络效应激发影响因素重要程度的准确性,以中心度为核心,以原因度为辅助修正(见式(3)),计算因素的综合影响度并记为CI(见式(4))[11],并将各个影响因素对网络效应激发的重要性进行排序(见表7)。

(3)

(4)
表7 网络效应激发影响因素重要性排序

因素名称初创期CI排序成长期CI排序成熟期CI排序用户规模a10.090 010.083 320.077 63活跃用户a20.076 850.094 410.078 32黏性用户a30.058 9130.067 290.093 01用户感知a40.071 890.069 580.071 19用户偏好a50.054 1140.057 7130.066 512交互作用a60.073 070.065 6100.067 710定价策略a70.080 520.078 740.067 211互动机制a80.077 930.078 830.075 34反馈机制a90.072 280.074 660.071 97增值服务a100.077 740.073 170.072 06产品质量a110.061 7120.077 150.073 85产品兼容性a120.063 9110.054 4140.053 214产品互补性a130.065 6100.062 9110.060 513产品创新a140.075 860.062 8120.071 98
以综合影响度0.071 4(即1/14=0.071 4)为筛选条件,确定网络效应激发关键要素,并按综合影响度大小进行排序(见表8)。
表8 网络效应激发关键要素

平台阶段关键要素初创期用户规模a1、定价策略a7、互动机制a8、增值服务a10、活跃用户a2、产品创新a14、交互作用a6、反馈机制a9、用户感知a4成长期活跃用户a2、用户规模a1、互动机制a8、定价策略a7、产品质量a11、反馈机制a9、增值服务a10成熟期黏性用户a3、活跃用户a2、用户规模a1、互动机制a8、产品质量a11、增值服务a10、产品创新a14
(2)动态演化分析。鉴于网络效应在平台呈现的演化特点,基于静态结果分析成果,将视角锁定在同一因素在养老地产平台3个阶段的综合重要性演化上,以明确影响因素在养老地产平台全生命周期演化特点。结合表5可知,a5、a12、a13等3个影响因素为非关键要素且重要性排序变化不大,故并未将a5、a12、a13视为动态演化分析对象。借助MATLAB软件三维图形展示功能,以影响因素名称为X轴,以平台的3个阶段为Y轴,以影响因素综合影响度CI为Z轴,得到网络效应激发关键要素动态演化图(见图10)。
网络效应激发关键要素在平台发展不同阶段呈现不同重要程度,此处选取具有代表性的要素进行分析说明。用户规模a1在养老地产平台演化过程中一直处于核心地位,验证了网络效应规模经济的本质。伴随平台发展,活跃用户a2、黏性用户a3的重要程度呈现上升趋势,其中黏性用户a3上升幅度最大,互动机制a8重要程度变化趋势平缓,产品创新a14的重要程度呈现先下降后上升趋势。

图10 影响因素综合影响度动态演化
在养老地产平台的初创期,平台内养老地产的产品供应、养老服务运营商的服务供应以及养老客群等用户基础较少,平台面临“冷启动”困境,用户规模是初创期网络效应激发的关键要素。以扩大用户规模为出发点,平台将采取补贴、免费等多样化定价策略,不断为平台引入新用户,吸引用户聚集,在双边市场形成刻意的不平衡以触发第一股推动力,进而激发跨边网络效应。此外,在养老地产平台诞生之初,养老服务运营商、养老客群的采纳需要经过一个过程,根据过程时间长短,首先采纳的是持乐观态度、愿意尝试新技术的探索者。根据该属性,养老地产平台商业模式在理念、服务等方面的创新、运营商的产品创新将得到探索者认可,成为平台发展推力。养老客群通过体验服务,养老需求获得满足,基于对平台有用性、易用性等感知,活跃客群以朋友圈为媒介口碑传播;运营商通过平台打开渠道之后,提升运营商积极性,基于活跃客群、活跃运营商等活跃用户推动用户关系网络建立,以交互作用为依托,激发同边网络效应。
初创期平台关键机制体系包括反馈机制、互动机制、增值服务、定价策略等,其中,反馈机制是养老客群的多元需求与运营商的服务(产品)供给之间的连接点;互动机制是养老客群、运营商等达到彼此增值实现价值共创的保障,定价策略是吸引用户集聚、培育用户规模的核心。因此,初创期的核心机制是定价策略、互动机制。
基于以上分析,总结了养老地产平台初创期网络效应激发路径(见图11)。

图11 初创期网络效应激发路径
养老地产服务或产品供需双方数量增加,养老地产平台突破“冷启动”瓶颈,初创期用户规模扩大解决了养老地产平台生存问题。养老地产平台蓬勃发展,更多的养老客群、运营商等接触平台,因对平台理念认可而加入养老地产平台生态圈。根据模型计算结果可知,活跃用户是成长期网络效应激发的首要要素,因为在平台战略、网络经济、共享经济背景下,个体都处在一个或多个社会网络中,个体决策、行为呈现强依赖性,在复杂社会网络系统中,活跃用户体现出强大的号召力、影响力进而促进用户规模扩大。
养老客群认可平台理念、转变思维,更加注重养老服务品质需求。运营商规模的扩大丰富了养老服务种类,丰富的产品服务供给在一定程度上容易混淆养老客群决策,因此,运营商对精准营销平台增值服务愿望强烈。养老地产平台通过增值服务、定价策略、反馈机制等提升用户满意度,进而形成路径依赖。养老产品或服务通过筛选过滤保障产品质量,防止因劣质产品或服务引发的负向网络效应。
成长期的关键机制体系包括增值服务、定价策略、反馈机制、互动机制等,其中,互动机制作为核心机制扮演着扩大用户规模的角色。互联网技术、移动互联网技术为多主体交流互动提供了可能,网络平台以开放、互动、共享为优势,吸引用户参与互动。互动机制提升了产品效用,促进网络规模扩大,进而激发网络效应。增值服务、定价策略、反馈机制等作为成长期养老地产平台的附加机制延续用户对平台的依赖。
基于以上分析,总结了养老地产平台成长期网络效应激发路径(见图12)。
经历了成长期扩张,平台用户规模逐渐逼近饱和点,成熟期的到来预示着平台生态圈具备了稳定规模,平台具备良好品牌效应。用户规模达到饱和状态,平台进入成熟期,在此阶段可以通过增值服务、互动机制强化用户归属感,实现用户锁定,进而提升用户黏性以维持网络效应激发。由模型计算结果可知,黏性用户是成熟期网络效应激发的首要要素,因为养老地产平台生态圈趋于稳定,而黏性用户可以保障用户规模的稳定。以提高用户忠诚度、建立归属感为出发点,成熟期的养老地产平台通过增值服务延续用户对平台的依赖,一方面满足养老客群的个性需求、品质需求、多元需求,另一方面帮助运营商以品牌运营为核心,实现企业商业价值,维持网络效应激发。
在养老地产平台成熟期,互动机制是机制体系中的核心,保障了养老客群、运营商等群体的交流互动,实现了价值飞跃。养老客群参与产品创新、参与和自我决策建立的归属感根深蒂固,用户归属感能够大幅度提高用户忠诚度。运营商在保障产品质量的基础上,以养老客群个性需求为核心,通过互动机制持续实现产品创新,强化用户黏性,维持用户规模,激发网络效应。
基于以上分析,总结了养老地产平台成熟期网络效应激发路径,如图13所示。

图12 成长期网络效应激发路径

图13 成熟期网络效应激发路径
本文以生命周期理论为指导,将养老地产平台划分为初创期、成长期、成熟期3个阶段,将模糊集理论、CFCS方法、DEMATEL方法进行集成,构建了Fuzzy-DEMATEL模型,以专家问卷调查打分表作为数据输入Fuzzy-DEMATEL模型的MATLAB进行编程,分别计算养老地产平台初创期、成长期、成熟期3个阶段中网络效应14个影响因素的影响度、被影响度、中心度、原因度4个指标,进而以笛卡尔坐标系、因果关系图为辅助,识别结果因素和原因因素。在此基础上,引入综合影响度指标CI,确定网络效应影响因素的重要程度排序,以实现静态结果分析,并进一步借助MATLAB软件图的展示功能,明确影响因素在养老地产平台全生命周期的演化特点。最后,锁定综合影响度指标CI和影响因素的动态演化,结合结果因素、原因因素之间的内在关联,总结并构建养老地产平台初创期、成长期、成熟期等阶段的网络效应激发路径。
[1] 刘秀艳,王林秀.基于多主体协同创新的养老地产跨界联盟开发模式[J].现代城市研究,2017(2):33-40.
[2] 王林秀,钱佺,张小雨.养老地产价值链构建及价值提升策略研究[J].改革与战略,2017(5):119-122.
[3] 岳彩轩,胡挺.基于产业价值链整合的养老地产商业模式创新[J].经济问题探索,2014(12):36-42.
[4] 李思源,苏义坤.养老地产发展的多主体贝叶斯博弈研究[J].统计与决策,2017(4):67-71.
[5] 郭彬,王林秀,姚伟坤.养老地产平台生态圈构建与运营优化[C].北京:第十三届中国软科学学术年会,2017.
[6] KAUFMANN A , GUPTA M M . Introduction to fuzzy arithmetic: theory and applications[M]. New York: Van Nostrand Reinhold, 1985.
[7] ZADEH L A. The concept of a linguistic variable and its application toapproximate reasoning [J]. Information Science, 1975,8(4):301-357.
[8] OPRICOVIC S, TZENG G H . Defuzzification within a multicriteria decision model [J]. International Journal of Uncertainty,2003,11(5):643-652.
[9] GEORGE-UFOT G, QU Y, ORJI I. Sustainable lifestyle factors influencing industries' electric consumption patterns using fuzzy logic and DEMATEL: the Nigerian perspective[J]. Journal of Cleaner Production, 2017(162):624-634.
[10] DAN M,LAMONT B T, HOFFMAN J J. Choice situation, strategy, and performance:a reexamination[J]. Strategic Management Journal, 1994,15(3):229-239.
[11] 张敏,程幼明,胡伟,等.基于DEMATEL法的质量风险测评与改善分析[J].统计与决策,2014(12):180-183.