城市竞争情报是在国家竞争情报、区域竞争情报、政府竞争情报、企业竞争情报等基础上发展而来的。国内学者谭思明[1]首次提出了城市竞争情报的定义,强调要建立多方参与、共同协作的城市竞争情报体系,提高政府与企业科学决策、应急预警的能力。王世伟[2]提出了整合各类情报,建立城市竞争情报体系的思想。目前有关城市竞争情报的研究并不多见,以应对生态反倾销为战略目标的城市竞争情报体系研究更是鲜有。本文以应对生态反倾销为战略目标,构建智慧城市竞争情报体系并进行预警研究,以为保障城市健康发展、安全有序运行提供借鉴,同时,也是智慧城市建设的一种新尝试。
综合国内相关文献研究[3-5],以应对生态反倾销为战略目标的智慧城市竞争情报工作可以定义为:为了应对生态反倾销,城市整合部门与资源,对竞争对手、竞争环境的相关信息进行收集、处理、分析与研究,由此规避和应对生态反倾销。构建以应对生态反倾销为目标的城市竞争情报体系,具有推进城市生态文明建设,实行城市经济可持续发展的双重意义,需要全城参与、全民动员。具体来说,地方政府部门是主导者,负责城市竞争情报服务体系建设的总体规划,通过制定相关政策、法规,利用其特有的信息获取优势,负责提供大部分的信息情报。行业协会是支撑者,负责政府与企业间的联系、沟通与协调,同时,整合本行业信息与资源,制定相关行业标准,加强行业自律。企业是主体,负责收集并提供本企业相关信息,整合其它相关情报信息,规避或应诉生态反倾销;城市信息中心、情报所、图书馆等信息服务机构是中介,根据需要提供专业化信息服务。另外,还有信息灵通者如出口商、国外进口商、销售商、相关消费者及驻外机构人员等是信息补充者,负责提供及时有效的相关信息。各参与者信息共享,相互反馈,共同形成多元一体、协同联动的智慧城市竞争情报体系,结构如图1所示。
竞争情报预警是智慧城市竞争情报体系的重要功能。本研究以应对生态反倾销为例,构建智慧城市竞争情报预警模型,该模型是一个多输入、单输出的多层次系统,包括信息收集、数据处理、数据分析及预警分析等环节。其基本流程如图2所示。

图1 多元一体、协同联动的城市竞争情报体系

图2 应对生态反倾销风险的智慧城市竞争情报体系预警流程
通过文献收集[6-9]、变量筛选等方式确定风险预警指标变量如图2所示。其中,在经济子风险组中,根据易引发反倾销的程度,将产品类型按原材料、中间品、制成品等进行划分,产品结构按产品各组成部分所占比重进行划分,如资源消耗型、劳动密集型、污染型。其中,出口产品更易引发反倾销。
首先对出口产品反倾销风险预警指标数据进行全方位、多渠道的收集,然后将收集到的预警指标数据输入数据处理中心进行数据分类、数据加工、数据转换等处理。最后进行数据分析,主要包括以下两个步骤:
2.2.1 指标风险指数评估
可参照周俊卿、周树杰[10]提出的区间分析方法,针对系统中的每个预警指标变量,按其实际值所属警情区间确定对应的风险指数。
2.2.2 基于网络层次分析法(ANP)的指标权重确定
网络层次分析法充分考虑了系统内各指标间的相互影响,其具体过程如下:
(1)构建网络结构模型。反倾销风险网络结构模型分为两个层次:一个是控制层,包括一个总风险组即生态反倾销风险组;另一个是网络层,包括3个子风险组,各风险组内又包括一系列指标,组内指标既可以相互影响,又可与不同组指标相互影响,将相关指标关系输入Super Decision(SD)软件,得出生态反倾销风险网络结构模型如图3所示。

图3 出口产品生态反倾销风险网络结构模型
(2)计算指标权重。首先以控制层的总风险为主准则,以各风险组为次准则,按照其它风险组对该风险组的影响程度,运用1-9标度法进行两两比较,构造判断矩阵。同样,以各指标为次准则,将其它各指标按对该指标的影响进行两两比较,构造判断矩阵,运行SD软件可得出相应的极限超矩阵,其数值即为相应指标或指标组的全局权重。
将上述各指标风险指数及权重分别输入第一层子系统,得出3个中间变量即子风险水平。将中间变量值及其权重输入第二层子系统,得出系统最终输出结果,即出口产品总风险警情。各子系统应用模糊逻辑算法进行数据分析,其具体步骤如下:
2.3.1 系统中间变量确定
假定将风险级别划分为5级,风险指数fi的区间值为[0,4],则每个初始输入变量对应5种风险级别的模糊隶属函数
可由下列公式表示:

(1)

(2)

(3)

(4)

(5)
利用公式:
![]()
(6)
求出系统的中间变量值rk,其中,节点向量
为子系统内各指标的权重向量,n为各子系统的指标数,k=1,2,3。根据相关划分标准,可以将rk划分为5个风险等级,如表1所示。
表1 中间变量风险级别的区分标准

划分标准级别隶属函数urj划分标准级别隶属函数urj0≤rk≤1.5一15.5<rk<6.5三ur3=6.5-r1.5<rk<2.5一ur1=2.5-rk四1-ur3=ur4二1-ur1=ur26.5≤rk≤7.5四12.5≤rk≤3.5二1.5<rk<8.5四ur4=8.5-r3.5<rk<4.5二ur2=4.5-rk五三1-ur2=ur38.5≤rk≤10五14.5≤rk≤5.5三1
2.3.2 预警结果确定
系统最终输出变量即为预警结果,其输入变量为中间变量rk,rk对应5种风险级别的模糊隶属函数
可表示为:

(7)

(8)

(9)

(10)

(11)
利用公式:
![]()
(12)
k=1,2,3,j=1,2,3,4,5。求出系统最终输出变量a的值。节点向量λj=(10,30,50,70,90),Ak为中间变量的权重向量。根据相关划分标准,可以将a划分为5个风险等级,由此得出出口产品反倾销风险的警情级别,如表2所示。
表2 反倾销风险警情区分标准

划分标准级别隶属函数uj划分标准级别隶属函数uj0≤a≤15无警155<a<65中警u3=65-a15<a<25无警u1=25-a重警1-u3=u4轻警1-u1=u265≤a≤75重警125≤a≤35轻警175<a<85重警u4=85-a35<a<45轻警u2=45-a巨警1-u4=u5中警1-u2=u385≤rk≤100巨警145≤a≤55中警1
为了说明问题,现以某钢铁类出口产品在美国受到反倾销风险的警情为例进行评估分析。根据上述步骤,运行SD软件可得出各指标以及各子风险权重,结果如表3所示。
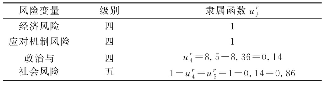
利用公式(1)-(6)求出3个中间变量rk=(6.70,8.36,6.52),k=1,2,3。根据表1可得出经济风险、政治与社会风险、应对机制风险等3种子风险的级别及隶属函数,如表4所示。
其隶属度矩阵分别为:(0,0,0,1,0),(0,0,0,1,0),(0,0,0,0.14,0.86),说明经济风险与应对机制风险为四级,政治与社会风险为五级的概率是86%,为四级的概率是14%。然后利用公式(7)-(12)求反倾销风险子系统的输出变量
又根据表2,得出我国未来钢铁类出口产品在美国受到反倾销风险的警情为重警,且其隶属度为1,即为重警的概率是100%。实际上,中国钢铁类产品历来被列为国外反倾销的重点对象,随着中美“贸易战”的逐步展开,美国更是变本加厉,如2018年2月,特朗普政府宣布“对进口中国的铸铁污水管道配件征收109.95%的反倾销关税”。3月9日,特朗普正式签署关税法令,对进口钢铁和铝分别征收25%与10%的关税。因此,上述预警分析结果与实际趋势基本相符。
表3 出口产品预警变量的风险指数及权重

输入变量风险指数fi∈[0,4]权重ai经济子风险A1=0.61.进口国GDP增长率(-)3.20.072.进口国行业劳动生产率(-)2.30.053.进口国失业率(+)3.20.084.进口国人均工资增加率(-)3.30.035.进口国经济危机(+)3.80.056.进口国贸易收支逆差(+)3.90.17.进口国行业平均市场利润变化率(-)3.50.058.进口国进口增长率(-)3.20.059.中国在进口国的出口额增长率(+)2.80.0710.中国在进口国的出口价格增长率(-)2.10.1011.人民币汇率的变动(-)1.20.0212.出口市场集中度(+)2.80.0813.出口产品市场占比变化率(+)2.30.0714.单位价值能耗(+)2.70.0215.单位价值碳排放(+)3.20.0616.产品结构(+)3.50.0817.产品类型(+)3.20.02政治、社会与技术子风险A2=0.2818.国别属性(+)3.80.0519.双边政治与贸易关系(-)3.50.1420.换届选举(+)3.50.0821.环境标准差异(+)3.70.1322.进口国环境保护力度(+)3.80.1423.出口企业环保技术(+)3.50.1224.国际环保公约的完善程度(+)2.90.1125.中国市场经济地位(-)4.00.1926.环保组织对政府的影响(+)3.40.04应对机制子风险A3=0.1227.出口企业生态化机制(-)2.80.1228.出口企业成本会计核算机制(-)2.60.2529.利用WTO争端解决机制的能力(-)2.30.1730.企业反倾销应诉能力(-)3.10.1531.中国反倾销报复能力(-)2.70.1132.企业出口策略水平(-)2.90.2
注:(+)表正向影响,(-)表负向影响
表4 3种子风险的级别及隶属度

风险变量级别隶属函数urj经济风险四1应对机制风险四1政治与社会风险四五ur4=8.5-8.36=0.141-ur4=ur5=1-0.14=0.86
我国出口产品受到生态反倾销的原因既有外在的,也有内在的。外在原因是:一方面,新贸易保护主义抬头,各国为了保护国内市场、缓解经济压力,发动了生态反倾销;另一方面,也是影响最大的原因,即政治与社会问题。如很多国家无视中国市场经济取得的巨大成就,拒不承认中国的市场经济地位;美国频频发动贸易战,以各种理由遏制中国的发展等行为,都是政治与社会问题的现实表现。内在原因是我国相关企业的反倾销应对机制不健全,应对能力弱。这说明为了应对国外反倾销,一方面我国出口企业作为应对主体,必须调整出口产品结构,提高产品生态效率,加强内部控制与会计成本管理,不断完善反倾销应对机制建设;另一方面,企业应对反倾销,离不开国家政府、行业协会的支持,政府一方面要不断加强国际沟通与合作,在构建人类命运共同体的大前提下,在互利共赢的基础上努力改善双边政治与贸易关系,不断推动经济贸易向前发展,另一方面,面对国外反倾销,要坚决回应和打击。行业协会要整合行业内所有企业的资源和能力,构建行业内反倾销风险应对机制,积极引导企业规避和应对生态反倾销。
[1] 谭思明.实施城市竞争情报战略 为企业“走出去”服务——情报研究与竞争情报学术研讨会论文集[C].张家界:中国科学技术情报学会,2006:288-292.
[2] 王世伟.城市社科情报研究服务的整合与提升[J].图书情报工作,2011,55(18):5-9.
[3] 于怡鑫,吕华侨,申峥峥.城市竞争情报研究进展[J].图书情报工作,2014,58(S1):130-135.
[4] 钟辉新,何绍华.基于“云”的城市竞争情报系统设计与运营管理[J].图书与情报,2013(1):103-108.
[5] 夏志红.“生态倾销”与反倾销[J].河南省政法管理干部学院学报,2006(4):188-192.
[6] 刘爱东,刘文静,曾辉祥.行业碳排放的测算及影响因素分析——以10个国家对华反倾销涉案为例[J].经济地理,2014,34(3):127-135.
[7] 曾辉祥,肖序,刘爱东.碳转移视角下的生态反倾销影响因素实证分析[J].产经评论,2015,6(5):139-147.
[8] KNETTER MICHAEL M, PRUSA THOMAS J. Macroeconomic factors and antidumping fillings: evidence from four countries[J]. Journal of International Economics, 2003,61(1):1-17.
[9] MUSTAPHA SADNI JALLAB, MONNET BENOIT PATRICK GBAKOU, RENE SANDRETTO. Antidumping procedures and macroeconomic factors:a comparison between the United States and the European Union[J]. Journal of Global Economy,2006,6(3):1-20.
[10] 周俊卿,温树杰.美国对华反倾销行业预警系统研究——以陶瓷业为例[J].财会通讯,2010(14):143-14.