陈仕伟1,徐 飞2
(1.江西财经大学 马克思主义学院,江西 南昌 330013;2.中国科学技术大学 科技哲学部,安徽 合肥 230026)
摘要:通过对1901-2016年诺贝尔科学奖获得者国籍的计量分析,基本可以看出世界科学技术活动中心由德国转移到美国的大致状况以及当前世界科学技术研究发展态势:欧美国家是世界科学技术研究的重心,而美国是世界科学技术活动的中心,但是,这个地位并不是十分稳固的。随着各国对科学技术研究事业的重视,世界科学技术研究朝着多极化方向发展已初露端倪,这对于我国科技体制改革与科技政策调整具有重要启示意义。
关键词:诺贝尔科学奖获得者;国籍分布;计量分析;世界科学技术活动中心;转移规律
最早提出并研究世界科学技术活动中心转移规律的是贝尔纳(John Desmond Bernal)[1],影响最大的当属日本的汤浅光朝[2]。在此基础上我国学者赵红洲[3]、彭福扬[4]、梁立明[5-6]和黄欣荣[7]等根据不同资料都展开过相应研究,基本上形成了世界科学技术活动中心依次转移的共识:意大利-英国-法国-德国-美国。根据汤浅光朝的研究,世界科学技术活动中心的兴盛期大约是80年,80年之后就完全处于衰落阶段,并预计美国作为世界科学技术活动中心在2000年之后就会处于衰落期。那么继美国之后的下一个科学技术活动中心在哪里呢?贝尔纳和赵红洲的研究认为是苏联。但苏联解体了,而俄罗斯也没有成为下一个世界科学技术活动中心。黄欣荣则预言中国将在21世纪20年代左右取代美国。本-戴维(Joseph Ben-David)[8]曾说过:在20世纪,诺贝尔奖获得者的分布也是确定研究中心在哪儿的一个较好的指标。路甬祥院士[9]在统计了1901-1999年诺贝尔科学奖获得者国籍分布之后认为:“1901-1925年,科学中心集中在欧洲,1926-1950年科学中心已经开始从欧洲向美国转移,1951-1975年科学中心已经完成了全面转移,1975-1999年这一趋势仍在进一步加强。”由于路甬祥院士只作粗线条的统计分析且囿于时间的限制没有统计1999年之后的诺贝尔科学奖获得者,因而并不能全面详细地反映世界科学技术活动中心转移的具体状况,更无法对未来作出全面的预测。如果以10年为时间段对1901-2016年诺贝尔科学奖获得者国籍分布进行计量分析,则世界科学技术活动中心由德国转移到美国以及继美国之后的转移就并非如此简单,很有可能继美国之后的世界科学技术活动中心将不再是单一的,而是朝着多极化方向发展。这对于我国为重返世界一流而进行的科技体制改革与科技政策调整具有重要启示价值。
1901-2016年共有589人(次)获得诺贝尔科学奖,分布在27个国家,如表1所示,美国拥有诺贝尔科学奖获得者272人(次),占总数的46.18%,是当之无愧的世界科学技术活动中心,然后依次是英国、德国、法国、瑞士、瑞典和日本等国家(见图1)。但是,作为曾经的世界科学技术活动中心的英国、德国和法国并没有如汤浅光朝所言,在世界科学技术活动中心转移出去之后就处于衰落期,事实上其仍然在世界科学技术研究领域占有重要一席。可能较为符合其预测的是意大利,作为曾经的世界科学技术活动中心,至今只有4人(次)获奖,占0.68%,排在第14位,但是,作为近代第一个世界科学技术活动中心,持续到现在仍然有4位诺贝尔科学奖获得者,也意味着意大利并没有在80年的兴盛期之后就一蹶不振。
以10年为时间段对1901-2016年诺贝尔科学奖获得者国籍分布进行分析可以发现,出现次数最多的国家仍然是欧美发达国家(见表2)。每个10年时间段均有诺贝尔科学奖获得者的国家只有美国、英国和德国三国;法国只缺席了一次(1941-1950);瑞士(1961-1970,2011-2016)和瑞典(1931-1940,2001-2010)缺席了两次。因此,这也基本上反映了世界科学技术研究现状,即欧美国家仍是世界科学技术研究重心,而美国则是世界科学技术活动中心。
表11901-2016年诺贝尔科学奖获得者国籍分布状况

注:①1901-2011年诺贝尔科学奖获得者国籍分布数据根据《科学精英是如何造就》一书的附录整理而成,2012-2016年则根据人民网、新华网等媒体的报道整理而成;②双国籍诺贝尔科学奖获得者则根据其所在工作单位的国家进行统计,比如高琨既拥有中国香港籍也拥有英国籍,但是统计时还是归入英国,同时,只是统计获奖时的国籍,没有考虑之后的国籍变更,下同

图1 1901-2011年诺贝尔科学奖获得者国籍分布比重状况
具体分析,世界科学技术活动中心由德国转移到美国并不是简单地在20世纪20年代就完成。一般理解,任何一国要成为世界科学技术活动中心必须取得超过占世界25%的重要研究成果[10]。但是,1921-1930年美国诺贝尔科学家获得者只有2人(次),所占比重仅为6.25%;特别是,如果以此为标准,当时并没有所谓的世界科学技术活动中心,所占比重最高的是英国和德国,均为21.88%,均没有超过25%;而1931-1940年则出现了两个世界科学技术活动中心,分别是美国和德国,均为26.47%,也就是说美国作为世界科学技术活动中心并没有完全确立起来。美国真正成为世界科学技术活动中心是在1941-1950年,这一时段美国拥有的诺贝尔科学奖获得者共有14人(次),占38.89%,而其它国家都没有超过25%。当然,如果结合取得研究成果到获得诺贝尔科学奖的时间差即研究成果的检验期进行分析,则美国成为世界科学技术活动中心的时间还要再往前推一点,但是也不是20世纪20年代就完成的。根据陈其荣[11]的研究,1921-1940年整个诺贝尔科学奖的检验期是10.7年。因此,结合检验期,美国成为世界科学技术活动中心的时间应该在20世纪30年代;如果不考虑这个检验期,则是20世纪40年代。无论是20世纪30年代还是40年代,美国作为世界科学技术活动中心的衰落期并没有到来的迹象。如果按照汤浅光朝的研究,世界科学技术活动中心只有80年左右的兴盛期,那么,美国在2000年之后就会走向衰落。如果是20世纪30年代或者40年代成为世界科学技术活动中心,那么,80年之后即21世纪初或者20年代就会走向衰落。但是,美国在2001-2010年和2011-2016年所拥有的诺贝尔科学奖获得者数量仍然遥遥领先(分别是24人次和21人次),所占比重也是压倒性的(分别是59.21%和47.73%),并且以现在的发展趋势来看,美国在将来相当长的一段时间里仍然会保持这个态势。
从表2数据看,以美国为首的欧美发达国家在世界科学技术研究领域的绝对地位短时间内难以撼动。因为其它国家拥有的诺贝尔科学奖获得者数量相当有限,由表1可知,仅仅拥有一位诺贝尔科学奖获得者的国家多达9个,其中欧洲国家占6个;再加上拥有两位的国家就有11个,其中,非欧洲国家有5个。仅仅拥有一两位获得者,或许只能说明拥有个别天才人物,还没有形成培养世界顶级科学家的长效机制,也不可能持续地取得能够为世界同行所承认的具有独创性的研究成果。
总之,通过对1901-2016年诺贝尔科学奖获得者国籍分布的计量分析,可以大致获知当前世界科学技术研究重心的态势。美国自20世纪三四十年代成为继德国之后的世界科学技术活动中心之后,一直是世界科学技术活动的中心,并且其持续时间将远远超过80年;而非欧美国家并没有真正成长起来,其拥有的诺贝尔科学奖获得者还相当有限,并没有对欧美国家特别是美国构成任何实质性威胁。
诺贝尔科学奖共有物理、化学和生理或医学三大奖项,从三大奖项进行分析,世界科学技术发展状况更为复杂。从近代世界科学技术活动中心转移规律来看,意大利、英国、法国和德国能够成为世界科学技术活动中心都有其优势学科。优势学科累积起来的优势并不会因为世界科学技术活动中心转移出去就迅速走向衰弱,而是仍然能够坚持很长一段时间,甚至仍然保持较高水平。这或许就是累积优势效应(Cumulative Advantage Effect)在国家中的特殊表现,“那些在过去做出过优秀成果的人好像在将来更容易因为工作良好而得到报偿(即使别人已经先于他完成该项工作);而那些不出名的,大约仍然不会出名”[12]。世界科学技术活动中心国家的杰出科学家因为先前优势而更容易获得承认(Recognition),作出的重要研究成果也更容易获得认可。
从诺贝尔物理奖来分析,1901-2016年共产生204人(次),分布在15个国家(见表3)。世界物理学研究重心更加集中在欧美国家,其中非欧美国家仅有3个,分别是日本(9人次)、加拿大(2人次)和印度(1人次)。印度在1930年出现过一位(Chandrasekhara Venkata Raman),此后就基本销声匿迹。这3个国家拥有的诺贝尔物理奖获得者仅有12人(次),所占比重仅为5.88%。在欧美国家中,又主要集中在美国、英国、德国和法国等几个传统强国,美国只缺席1次,英国只缺席了两次,德国缺席了3次,法国缺席了5次,但是法国也拥有14人(次),占6.86%,超过了非欧美国家的总和。在二战之前,英国、德国和法国牢牢掌握着世界物理研究的主动权,直到1961-1970年美国获奖人次才处于绝对领先地位,有9位,占50%,此后就基本奠定了美国在世界物理学领域的绝对领导地位。因此,如果仅仅从物理学研究来分析,美国成为世界科学技术活动中心应该是20世纪60年代。
从诺贝尔化学奖来分析,1901-2016年共产生175人(次),分布在20个国家(见表4)。美国获得化学领域的绝对地位是在1971-1980年,共拥有9人(次)获奖者,所占比重达到52.94%,远超25%,从此之后就牢牢掌握化学研究领域的绝对领导权。在此之前掌握化学研究领域领导权的是德国,德国之所以能够成为继法国之后的世界科学技术活动中心得益于其化学学科发展,具体一点就是有机化学。特别是,李比希(Justus von Liebig)创立的吉森教育模式不仅为德国也为欧洲甚至全世界培养了源源不断的化学家。正是这样的长效机制,确保了德国在化学领域的长期优势地位。据统计,截至1900年,英国的著名化学家几乎全部获得德国博士学位[13],这从另外一个侧面说明了德国在化学领域的领导地位。因此,虽然1951-1960年没有产生诺贝尔化学奖获得者,但是,在此前的几个时间段中,德国拥有的获奖者数遥遥领先于其它国家,其所占比重也从未低于30%。这也进一步说明,德国并没有因为世界科学技术活动中心转移到美国之后就走上完全衰落的道路。必须承认,世界化学研究领域的主体地位仍然在欧美国家。与诺贝尔物理奖获得者相比,诺贝尔化学奖获得者的国籍分布更广,多出了5个国家,非欧美国家的数量也在增加,达到5个,获奖数量也增加到了13人(次),比重也提高了,达7.43%。总之,在化学研究领域,欧美国家也处于绝对主导地位,其中美国处于绝对领导地位,其它国家要改变该现状还任重而道远。
表21901-2016年诺贝尔科学奖获得者国籍分布状况单位:人,%

从诺贝尔生理或医学奖来分析,1901-2016年共产生219人次,分布在22个国家(见表5)。诺贝尔生理或者医学奖获得者分布范围最广,但是研究重心仍然集中在欧美国家,美国、英国、德国和法国等4个传统强国所拥有的获奖者高达163人(次),占74.42%。有趣的是,如果以诺贝尔生理或医学奖来分析,美国成为世界科学技术活动中心的时间应该是20世纪30年代。这一时段其获奖者有4人(次),所占比重是30.77%,已经超过25%,并且从此之后再没有低于25%。令人欣慰的是,在生理或医学研究领域,虽然非欧美国家的数量仅5个,与诺贝尔化学奖持平,但是获奖人数较多,达到14人(次),占6.39%。特别是2011-2016年间,14位获奖者分布在8个国家,其中非欧美国家就有3个,获奖人数达到5位,占35.71%;2001-2010年,24位获奖者分布在5个国家,非欧美国家就有1个即澳大利亚,而且其获奖者所占比重高达8.33%。因此,诺贝尔生理或者医学奖获得者的国家分布相对比较分散,或许这也是最有希望改变世界科学技术研究格局的领域。
总之,欧美国家是世界科学技术研究的重心,美国是当今世界的科学技术活动中心;美国成为继德国之后的世界科学技术活动中心并不是顷刻之间在这三大领域都成为绝对中心,而是有先后顺序的,依次是生理或医学、物理学和化学;对于非欧美国家而言,虽然在这三大领域只是偶有获奖者,但是有增加的趋势,特别是在生理或医学领域。因此,对于非欧美国家而言,要在世界科学技术研究领域占有重要一席必须选择好自己的优势学科,通过累积发展逐渐挑战欧美的“霸主”地位。
虽然欧美国家是世界科学技术研究的重心,美国是世界科学技术活动的中心,但是,从动态视角来分析,欧美国家的重心地位和美国的中心地位正受到挑战,或许未来发展将不再出现绝对重心和绝对中心的状况,而是朝着多极化方向发展。
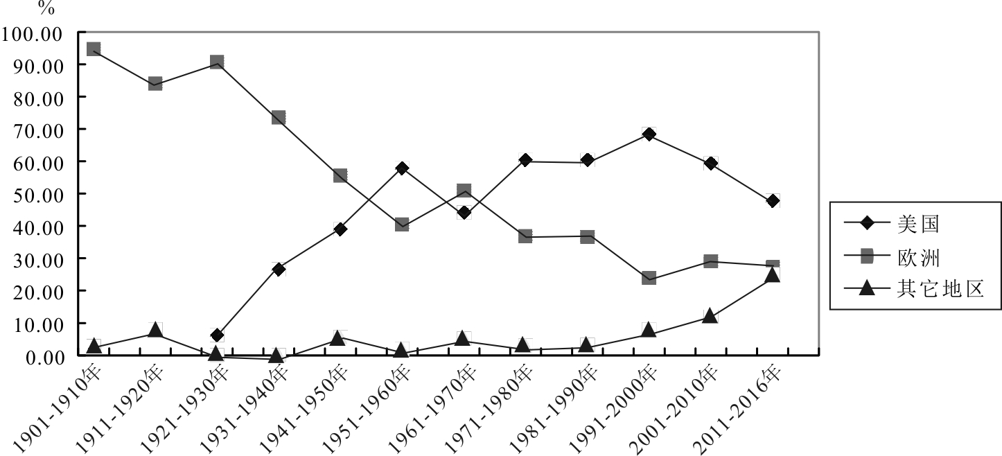
基于表2数据进行二战前后比较分析可以发现,重心与中心的地位并不是牢不可破的。二战之前正是世界科学技术活动中心由德国转移到美国的过渡时期,美国成为继德国之后的世界科学技术活动中心在二战之后得到完全确立。总体而言,二战之后美国一直是世界科学技术活动中心,但是,进入新千年以来,美国诺贝尔科学奖获得者的比重正在下降,由1991-2000年高达68.25%下降到2001-2010年的59.21%,再下降到2011-2016年的47.73%。而传统的英国、德国和法国等国家也出现不同程度的下降,特别是2011-2016年英国、德国和法国所占比例均为4.55%。填补其空缺的是日本、加拿大、澳大利亚和以色列等国家,特别是二战之后崛起的日本,从1961-1970年开始,每个时段均有诺贝尔科学奖获得者,进入新千年以来就已经有12人(次)获奖者。日本20世纪90年代制定了《科学技术基本法》,并相继制订了《科学技术基本计划》,特别是2001年日本政府通过并实施的第二个《科学技术基本计划》要求在50年内获得30个诺贝尔科学奖[14]。现在看来,日本正朝着这个方向努力并已取得实质性效果。在科学技术成为第一生产力的时代,国与国之间的竞争转化为以科技实力为基础的综合国力竞争,世界各国都会将科学技术研究事业摆在重中之重的地位,这或许预示着世界科学技术研究正朝着多极化方向发展。
如果说仅仅从欧美国家获奖比重下降还不能充分说明多极化发展趋势,那么通过获奖者国家数分析就更加明显了。1901-2016年间,每10年基本上都保持有10个左右的国家能够拥有诺贝尔科学奖获得者,而2011-2016年达到了14个国家(见表6),如果将表2进行简化分析就更显而易见了(见表7)。表7的数据表明,二战结束以来,美国和欧洲诺贝尔科学奖获得者的数量和比重持续下降,而非欧美国家无论在获奖人数还是比例上都稳步上升,由1931-1940年的0位获奖者稳步上升到2011-2016年的11位,所占比重也创历史新高,达25%,图2更直观地显示了这一点。表6数据表明诺贝尔科学奖获得者国家分布越来越广,不再仅仅局限于欧美国家。这就意味着世界科学技术研究的重心正在向全世界扩散。可以预言,美国的世界科学技术活动中心地位在将来某个时间会动摇。世界科学技术活动中心将朝多极化方向发展,因为一方面美国作为曾经的世界科学技术活动中心不会迅速衰弱,欧美国家也会是未来世界科学技术研究的重要力量;另一方面,在非欧美国家中并没有非常突出的国家,而是相对比较均衡。
从二战之后新增的拥有诺贝尔科学奖获得者所在国家来分析,也必将呈现多极化。二战之后即1941-1950年之后,新增的拥有诺贝尔科学奖获得者的国家分别是日本、澳大利亚、挪威、以色列、阿根廷、捷克、葡萄牙、爱尔兰、土耳其和中国等10国,其中非欧美国家就达到6个,并且在世界七大洲中只有非洲和南极洲没有诺贝尔科学奖获得者。由于南极洲没有人居住,全世界就只有非洲暂时还没有获奖者,依此趋势发展下去,相信不久的将来非洲也会拥有诺贝尔科学奖获得者。中国在政治方面,正在不断加强和完善人民民主,实现政治稳定;在经济方面,改革开放以来已实现经济腾飞,经济总量已位居世界第二;在教育方面,正在积极稳步推进“双一流”建设;在科学研究方面,已进入赶超新阶段。因此,随着各个国家不断重视科学研究事业,欧美作为世界科学技术研究重心和美国作为世界科学技术活动中心的地位并不是牢不可破的;世界科学技术研究事业正朝着多极化方向发展。陈益升等[15]研究认为:“从得出的经验数据来看,形成一个世界科学中心,主要是科学成果量要占世界总产量25%以上,其上限也许不超过39%。但是,在有利的经济发展背景之下,随着今后科技发展的加速,科技多中心和小中心现象已出现,并将成为新的特点。”

图2 1901-2016年诺贝尔科学奖在美国、欧洲和其它地区分布比重趋势
此前通过对2001-2010年中国科学院新增院士与诺贝尔科学奖获得者年龄的比较研究认为,中国科学院新增院士的年龄低于诺贝尔科学奖获得者,只要中国的科技体制和科技政策得当,中国科学家完全能够不断获得包括诺贝尔科学奖在内的世界级学术荣誉,中国重返世界一流完全有希望[16]。而本文通过对1901-2016年诺贝尔科学奖获得者国籍的计量分析发现,世界科学技术活动中心由德国转移到美国并不如此前的研究那样简单;继美国之后的世界科学技术活动将不会出现绝对的中心,而是朝着多极化方向发展。因此,对处于赶超阶段的中国而言,不仅从年龄视角显示出喜人的前景,而且从世界大趋势来看也体现出重返世界先进行列的希望。剩下的就是中国自身要不断适应时代发展要求,加强科技体制改革和科技政策调整,形成能够不断培养出世界级杰出科学家的长效机制,推动中国成为世界科学技术研究领域的重要一极。
在世界科学技术研究事业可能走向多极化的背景下,2015年屠呦呦获得了诺贝尔生理或医学奖,实现了中国本土诺贝尔科学奖零的突破,困扰国人已久的诺贝尔焦虑症(Nobel anxiety)得到了一定程度的缓解,这应该是中国杰出科学家获得包括诺贝尔科学奖在内的世界级学术荣誉的新起点。中国科学技术大学潘建伟院士领导的量子力学研究团队已进入世界先进行列,特别是“墨子”号的交付使用。2017年3月10日出版的国际顶级学术期刊《科学》史无前例地以封面的形式同时刊发了中国科学家的4篇研究论文。据英国自然出版集团执行主编Veronique Kiermer透露,中国论文在《自然》上的发表量从2000年的6篇增长至2010年的149篇,可见中国科学家在世界顶级杂志上发表的论文数正稳步提升。由此可见,中国科学家完全有能力做出世界一流水平的科学研究,并最终获得包括诺贝尔科学奖在内的世界级学术荣誉,中国完全有信心也有能力成为世界科学技术研究领域的重要一极。
表31901-2016年诺贝尔物理奖获得者国籍分布状况单位:人,%

表41901-2016年诺贝尔化学奖获得者国籍分布状况单位:人,%

表51901-2016年诺贝尔生理或医学奖获得者国籍分布状况单位:人,%

表61901-2016年诺贝尔科学奖获得者所处国家数分布状况
表71901-2016年诺贝尔科学奖获得者在美国、欧洲和其它地区的分布状况单位:人,%

结合世界科学技术活动中心转移的具体状况,我国在树立信心的同时还必须确立并坚守自己的优势发展学科。美国成为世界科学技术活动中心并不是所有学科都处于世界绝对领先地位,而是有一个主打学科,在主打学科的带领之下实现科学技术研究事业全面繁荣,意大利、英国、法国和德国也都是在自己的优势学科带领之下成为世界科学技术活动中心。20世纪八九十年代,我国就确立了物理学作为科学技术发展的优势学科,再具体一点就是高能物理学、粒子物理,特别是20世纪90年代建立了当时世界上最大的粒子加速器即北京正负电子对撞机。经过数十年的发展已经取得了相当高成就,2012年中国顶尖科学家一致认为,中国人先拿物理奖的可能性最大,其次是化学和生物。但是,我国首位诺贝尔科学奖获得者并不是从事物理学的研究者,而是从事医学的屠呦呦。尽管如此,全面评估我国优势学科领域并加强科学研究,或许是勇攀世界科学高峰的可行之策,我国科学技术研究事业不能为获得诺贝尔科学奖而进行功利的研究。按照默顿(Robert King Merton)[17]的理解,诺贝尔科学奖也仅仅是科学家追求的学术荣誉层级中的一个中间层次而已,科学家的最终追求应该是获得命名(Eponymy),“以名字命名可能是科学界中一种最持久,而且也许是声望最高的制度化的承认方式”。虽然我国已有一位诺贝尔生理或者医学奖获得者,但是不能因此就放弃坚守已久的优势发展学科。结合诺贝尔生理或医学奖获得者国籍分布状况的分析,生理学和医学也许是最早能够挑战欧美“霸主”地位的学科,这也意味着我国必须重点关注这个领域。总之,必须坚守自己的优势发展学科,在广铺面的基础上要有重点,进而带动其它学科发展,同时也关注其它学科发展,尤其是生理学或医学。
我国能否成为世界科学技术研究领域的重要一极,关键还在于人才。不得不说,美国之所以能够成为继德国之后的世界科学技术活动中心关键在于人才,而美国之所以能够在短时间内聚集如此之多的杰出科技人才,关键在于积极吸引了欧洲杰出科技人才,并在此基础上逐渐培养自己本土的杰出科技人才。据统计,“1941年法国沦陷后,罗斯福要求国务院在逃往北非和葡萄牙的难民中挑选出文化素质较高并有突出才能的科学家,给他们发放签证后帮助他们迁居美国。后来,美国向328名难民发放了签证,最后入境的约有1 236名。到第二次世界大战结束时,迁入美国的科学家共有2 000多人。其中,德国犹太移民中包含较多的科技人才,移民美国的犹太科学家中还有不少是诺贝尔奖得主”[18]。因此,可以说美国的崛起是在欧洲国家尤其是德国的帮助下实现的。对于我国而言,一方面必须积极推进“双一流”建设,建设一批自己的世界一流大学和一流学科,不断培养出杰出科技人才,同时也要积极借助西方发达国家优势教育资源培养杰出科技人才,积极输送有潜力的青年才俊出国留学深造;另一方面,必须积极吸引境外杰出科技人才到我国开展教学与研究工作,特别是努力吸引境外华裔杰出科技人才。
政治与科学必须保持良好互动关系,这也是我国在科技体制改革和科技政策调整中必须思考的问题。科学技术发展需要稳定的政治环境,需要政治与科学良好互动的制度环境。
总之,在大好形势面前,中国必须积极进行科技体制改革与科技政策调整,形成能够不断培养世界级杰出科学家的长效机制。只有这样,科技中国梦才会梦想成真。
参考文献:
[1] J D BERNAL. Science in history[M].Watts&Co.,1954:930-931.
[2] M YUASA. Center of scientific activity: its shift from the 16th to the 20th century[J].Japanese Studies in the History of Science,1962(1):57-75.
[3] 赵红洲.科学能力学引论[M].北京:科学出版社,1984.
[4] 彭福扬,王树仁.论技术活动中心转移[J].湖南大学学报:社会科学版,1997(1):30-32.
[5] 冯烨,梁立明.世界科学中心转移的时空特征及学科层次析因(上、下)[J].科学学与科学技术管理,2000(5-6):4-8,10-11.
[6] 梁立明,陈立新.世界技术成果时空分布的量化特征及世界技术中心的转移[J].自然辩证法研究,2005(2):67-72.
[7] 黄欣荣,王英.技术中心及其活动规律的统计研究[J].科学学研究,1990(2):19-28.
[8] [以色列]约瑟夫·本-戴维.科学家在社会中的角色[M].赵佳苓,译.成都:四川人民出版社,1988:25.
[9] 路甬祥.创新的启示:关于百年科技创新的若干启示[M].北京:中国科学技术出版社,2013:23.
[10] 赵兴太,王国领.“科学与社会”视角下的诺贝尔自然科学奖研究[M].郑州:郑州大学出版社,2014:89.
[11] 陈其荣,廖文武.科学精英是如何造就[M].上海:复旦大学出版社,2011:59.
[12] WARREN O HAGSTROM. The scientific community[M].Southern Illinois University Press,1965:24.
[13] [日]古川安.科学的社会史[M].杨舰,梁波,译.北京:科学出版社,2011:84-85.
[14] 樊春良.全球化时代的科技政策[M].北京:北京理工大学出版社,2005:53-62.
[15] 陈益升.科学发现:经验与规律探索[M].北京:中国科学技术出版社,2011:113.
[16] 徐飞,陈仕伟.中国杰出科学家年龄管理策略的新思考[J].科学学研究,2012(7):976-982.
[17] [美]P·R·默顿.科学社会学散忆[M].鲁旭东,译.北京:商务印书馆,2004:406.
[18] 张瑾.第二次世界大战后英国科技人才流失到美国的历史考察[M].北京:中国社会科学出版社,2013:123.
Chen Shiwei1,Xu Fei2
(1.School of Marxism Studies,Jiangxi University of Finance & Economics,Nanchang 330013, China;2.Dept.of the Philosophy of Science, University of Science and Technology of China, Hefei 230026,China)
Abstract:By quantitative analysis of the nationality distribution of the Nobel prize winner in science of 1901-2016 we can find the general situation of the world science and technology activity center shifting from Germany to the United States and the development trend of the current research of science and technology in the world: the countries in Europe is the focus of research of science and technology in the world and the United States is the world center for science and technology activity. But this position is not very stable. As all the countries pay attention to the research of science and technology the development of science and technology in the world toward multi polarization has emerged, which has important enlightenment value for our country's system reform and policy adjustment of science and technology.
KeyWords:Nobel Prize Winner in Science; Nationality Distribution; Quantitative Analysis; World Center for Science and Technology Activity; Metastasis Rule
文章编号:1001-7348(2018)18-0011-09
文献标识码:A
中图分类号:G301
DOI:10.6049/kjjbydc.2017100378
作者简介:陈仕伟(1979-),男,江西于都人,博士,江西财经大学马克思主义学院副教授,江西财经大学理论经济学博士后流动站在站博士后,研究方向为科学社会学、大数据哲学;徐飞(1961-),男,江苏扬州人,博士,中国科学技术大学科技哲学部教授、博士生导师,研究方向为科技哲学与科学史、科学技术与社会。
收稿日期:2017-12-19
(责任编辑:万贤贤)