戴克清1,2,陈万明1,王圣元1
(1.南京航空航天大学 经济与管理学院,江苏 南京 211106;2.皖西学院 环境与旅游学院,安徽 六安 237012)
摘要:基于对共享经济“服务性”特征分析,运用多层次视角分析框架,构建共享经济业态下传统产业创新升级路径层次,分析路径层级要素、职能及特征,讨论共享经济促进传统产业创新升级的动力机制。模拟出传统产业创新实现的层次路径模型,以江浙沪三地共享服务型创新企业的发展状况为基础,假设算例对模型进行验证。结果发现:共享经济驱动产业创新发展良性路径实现是以小生境创新种群的竞合关系为基础,重视各层级内部及不同层级间协同大于竞争的关系培育,积极发挥共享型商业平台的介质作用,提升平台开放水平、优化规制方法,建立适应共享新业态的信用体系,完善制度约束,从而优化促进变量和抑制变量之间的调节比值。
关键词:共享经济;产业创新;升级路径;MLP框架;动力模型
国富民强离不开坚实的经济基础。党的十九大报告提出,推动互联网、大数据、人工智能和实体经济深度融合,培育新增长点、形成新动能。共享经济作为“新动能”之一,具备加快科技创新,建设网络强国、数字中国、智慧社会的能力,具有光明的前景。由于共享经济是崭新的经济形态,学界对其研究尚不充分,特别是对其如何充分融入传统产业,推进传统产业转型升级的研究几乎为空白。但是共享经济在促进传统产业转型升级中的作用显著,如沈阳机床厂率先引入共享经济,构建智造共享新生态,实现传统制造业与服务业融合,推动企业进入发展快车道。服务业创新突破以Airbnb和Uber为典型范例,在5年时间内,估值分别超过世界最大的连锁酒店希尔顿(Hilton)和全球最大的传统租车集团“企业号”(Enterprise)。在共享新业态下传统产业转型实践存在突出问题:①共享经济如何有效消耗传统产业由于供需不匹配而形成的过剩产能;②共享经济如何通过要素组合优化,提高传统产业经济效率;③共享经济如何带动传统产业突破产业链上下游的束缚,形成可持续发展的价值环路。因此,本文以共享经济的业态特征为突破口,依托多层次分析框架,探析共享经济驱动传统产业转型升级的具体路径,以此解决传统产业转型升级过程中的突出问题。
共享经济(Sharing Economy)是消费“使用权”的新经济形式,各类“经济剩余”均可参与共享[1]。在产业层面,Albinssn 与 Perera[2]提出,共享经济的供需对接特性在住宿业创新中起重要作用。共享经济发展改变了传统饭店业的经营方式,给传统企业带来了巨大挑战[3]。Ozanne等[4]认为,共享经济对于传统产业的改变,或许可以实现资源永续利用和社会可持续发展。Kathan等[5]主要着眼于共享经济作为创新的经济模式进行研究。Nigel[6]分析了制造商在共享经济中采取的生产策略转变。史竹琴等[7]分析了智能生产共享商业模式的价值逻辑。在平台层面,刘蕾等[8]认为,从传统经济到共享经济是一个“去中介化”和基于共享平台的“再中介化”过程。Llamas等[9]提出,共享平台是共享经济得以运行的基本介质,是需求为导向的数字平台经济。Hagiu等[10]将共享经济描述为消费者间进行直接交易的多边平台市场,试图从技术层面解析共享经济理论来源。戴克清等[11]则对共享经济总体发展趋势和脉络进行梳理,认为共享经济的研究视角虽多,但理论基础尚不完善。因此,本文通过对共享经济业态规制的研究,尝试突破共享经济理论发展的瓶颈。
共享经济业态集聚的创新系统是一个具有多层次协同创新特征的新型系统,驱动传统产业实现创新是多要素、多层次相互作用的结果,是从微观到宏观再到微观的循环渐变过程[12]。因此,本文采用源于创新学研究的多层次视角(MLP:Multi-Lever-Perspective)分析框架,作为创新升级路径分析依据[13]。MLP以非线性演进过程为前提,把通过社会要素或技术创新等各层面相互作用实现创新的复杂动态过程置于一个分析框架中进行演进说明,突出宏观环境场景、中观社会技术域以及微观小生境创新3个层面的共同作用。Martin[14]运用MLP框架,对共享经济是可持续发展经济还是新自由资本主义形式进行辨析。孙冰等[15]则用MLP框架研究创新生态系统演化过程。因此,多层次视角分析框架可以有效分析共享经济业态集聚的复杂系统,深度解析共享经济作用下传统产业创新升级路径。
共享经济发展需要以不同产业为载体,集聚于不同产业领域,通过弱化产业边界,打通产业链、重构产业网、简化交易环节,实现供需直线对接与定制化创新,借助其业态集聚的新型商业平台,促进传统产业价值链和产业链向价值网与产业网升级。然而,已有研究虽已涉及微观业态主体发展、中观政府政策措施和法律道德规范,以及宏观可持续发展等层面,但未将其置于一个统一的多层级发展框架中进行研究。可见,共享经济的创新能力虽然彰显,但创新实现路径尚不明确,且其作为新动能的系统性要素和所需的多层级环境也未被深度解析,规制和利用路径尚未清晰。因此,本研究意义重大。
依据MLP框架强调的各层面之间因果关系相互转化路径,以及创新变革产生的多元且复杂的因素,分析共享经济驱动传统产业创新升级路径形成的基本要素和作用机理。在共享经济集聚的创新系统中,大场景环境(Landscape)变化对中观层面社会体制技术发展(Social-technology Regime)产生的压力,在一定程度上打破了相对稳定的产业状态,为微观层面的利基(Niche)创新提供发展空隙,促进创新微要素发展。反之,小生境里传统产业创新形态不断发展壮大并作用于中观要素,以解除宏观压力,实现微观、中观和宏观之间相互作用无限循环的活性创新系统。因此,依据MLP框架,综合创新层级路径要素和机理,形成传统产业创新升级的基本层次框架,如图1所示。

图1 传统产业创新升级的基本层次框架
传统产业创新路径生成过程可以通过以上3个层面不断的迂回作用实现突破和发展。因此,研究共享经济作用下传统产业创新各要素主体演进路径,能够厘清共享经济作用下传统产业创新各层级要素、职能及相互间的作用关系。
共享经济业态集聚的创新系统是一个包括企业和非企业的动态演进系统。总体上,创新层级路径演进是由单要素共享向不定要素整合及资源完全开放的多要素、多层级平台演化,因此各层级担负的职责各不相同。
微观层小生境(Niche: Project space)又称为利基层(裂隙层),包括创新的萌发、学习与初期发展过程、技术孵化和成长,以及微要素变革与新需求出现。小生境层主要职能是孵化满足社会经济发展需求的创新群落,是依托科技变革而萌生的共享型创新主体。创新主体依据不同产业,形成供需匹配的创新群落,为社会技术域发展提供新动能。虽然基于不同的前提和条件,但其基本特征均是以科技进步为驱动,利用智能网络平台的终端服务,帮助供需双方快速实现匹配,并且以道德和信任为基础,形成符合社会经济发展趋势的创新型业态群体。
社会技术域(S-T Regime)由处于中观层面的社会系统和技术系统构成,包括政策、生产消费、社会价值和文化等社会层面,以及信息、科技等技术层面的主导要素构成。主要职能包含两个方面:①传递小生境的创新能量,促进自身场域内变革;②通过技术革新与政策升级,为小生境创新群落提供适宜的技术支撑和政策环境,从而推动整体创新。社会技术域的3个主要特征:①共享平台是主要技术载体,共享型创新群落驱动可规制共享平台搭建;②价值网系统重构、价值主张、价值诉求以及价值实现均与传统相区别;③政策规制变革需求迫切,亟需适宜的政策变革,扶持并培育小生境创新群落成长,从而形成指数级增长的网络价值与规模。
环境场景(Landscape)是变化较为缓慢的宏观结构层。环境场景的主要职能是对政治、经济、文化和制度等创新支撑体系起宏观制约作用,同时间接推动小生境创新。环境场景的两个基本特征:①演进速度缓慢,宏观环境场景层面的量变是中观和微观层面创新行为无数次质变积淀的过程;②具有一定隐性特征和阶段性特征,宏观环境场景可以融合微观层面和中观层面的创新变革,再以浸润方式给社会经济发展带来颠覆性影响和变革。
因此,3个层级之间存在相互作用、动态演进的过程。小生境中的共享创新群落作为新经济形态,可以影响中观要素层面,成为突破宏观环境场景下可持续发展压力的主要动力来源。共享创新主体对资源整合及再分配功能,可以实现环境保护和资源永续利用。共享经济强调被忽略的过剩产能与资产优化配置及再利用,成为传统产业创新的动力来源。
基于以上分析,借鉴生态动力学的研究成果,模拟小生境萌生的共享型创新群体的大小及对其它各层级的作用力。以小生境中创新群体的发展(g)和消亡(d)两方的个体数开始,作出最简单的形式:
g=γ*n
(1)
d=δ*n
(2)
式(1)、(2)中γ和δ被视为创新群体发展过程中的扰动项,与n无关,但依赖于外部参量,包括经济发展水平、资源禀赋、资本存量、政策措施、需求变化、创新意愿以及信任程度等,如果这些因素均为恒定状态,那么:
![]()
(3)
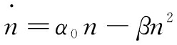
在外部变量α的支持下,创新群体或以指数增长,或以指数衰减,临界状态为γ=δ,对于γ或δ的小扰动是不稳定的,因此不存在定态,这也符合社会经济发展的基本形态。可见,系数γ或δ或二者同时与n有关,可得方程如下:
![]()
(4)
a0n为创新小群体存在状态,-βn2则是以由创新群体生存所须的资本和资源消耗引入,这里的耗损包括参与共享群体数量减少以及过剩产能存量、道德危机和信任危机等,如图2所示。

图2 共享经济创新群体体量发展趋势
创新群体在小生境孕育和发展初期处于竞争与共存阶段,从提供消费者认可的新服务和新产品到资源争夺,再到阶段时间t内实现共存,可得方程如下:
![]()
(5)
其中,创新阶段t中,
为共享创新初期消耗的外部变量。
共享创新群体若想生存并对上一层级产生作用,就必须通过适应改变创新初期αjt和βjt的比值,同时借助创新层级中外部变量的作用力,扩充资源存量和市场空间,加大共享开放程度,进一步拓宽共享域。共享创新演进到一定阶段,存在的创新群体会与外部诸多变量充分磨合,不再被视为异类的创新群体为大众所接受,并带动外部诸多要素变革实现共生,忽略创新初期的自抑制项
从而构建合作模型如下:
![]()
(6)
![]()
(7)
其中,i和j代表不同创新群体,t′代表共享创新的扩大期,δit′nit′为共享创新实现的抑制项。在创新系统的一个循环期内,实现“竞争发展”到“常态化”的良性循环,创新群体在αjt和βjt的比值优化上需要符合:![]()
。共享创新群体相互作用、融合共生,扩大共享域,引发共享平台革新,进入下一阶段的磨合竞争、融合共生,再扩大的迂回演进过程。据此,构建共享经济作用下传统产业创新层级路径演进,如图3所示。

图3 共享经济作用传统产业创新升级路径演进
在传统产业创新过程中,3个层级间存在相互作用关系。第一,环境场景可持续发展需要依托中观和微观的变革,但实现过程缓慢,实现形态繁杂,不宜量化验证。第二,中观社会技术域的变迁需要以小生境发展为动能,是影响小生境创新群体演进的外生变量,此层级良性发展则能够形成推动小生境健康演进的促进变量,反之则为抑制项。第三,小生境内部创新种群间的竞合关系是影响小生境创新实现的内生变量,能够被中观技术域所感知,并形成与之匹配的外生环境。由此可见,小生境创新群落间的竞合关系是产业创新实现的根本动因,创新群落的健康发展是传统产业升级的核心动力。据此,本文进一步通过小生境中共享创新群落之间的竞合关系模型构建和验证,为中观技术域促进变量生成提供指导。
3.3.1 模型假设与推导
基于上文多层次分析框架及创新发展演进路径,首先考虑共享经济在层级内部的创新作用,即小生境创新种群的萌生。其中,种群是指一定时空范围内某一种生物体的集合。种群概念的运用符合共享经济在传统产业创新初期的特点,可以表述诸多拥有相似资源,并参与创新生产的群体集合。设定相关假设,构建种群局域关系模型和种群区域(多局域)关系模型。根据Logistic模型可得:
![]()
(8)
gt表示第t期种群增长率,Nt表示第t期种群个体数量。Nt/K表示第t期种群占用创新系统内的资源量,创新种群中每个单位占用资源为1/K。
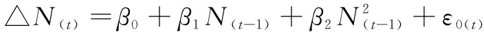
因为:dN(t)≈△N(t)=N(t)-N(t-1),dt≈△t=t-(t-1)=1
所以:![]()
(9)
△N(t)为t期种群个体数量的变化量。β1=α,通常β1>0,表示种群内部协同效应。β2=-α/K, 通常β2<0,表示种群内部竞争效应,称为内部竞争系数或种群密度抑制系数。
式(9)变形为: △N(t)={β1+β2N(t-1)}N(t-1)
(10)
若{β1+β2N(t-1)}>0,则△N(t)>0。种群内部以协同效应为主,共享资源可以支撑创新种群中个体数量增加,增长态势得以维持。若{β1+β2N(t-1)}<0,则△N(t)<0。种群内部以竞争效应为主,共享资源难以支撑创新种群中个体数量增加,增长态势难以维持。
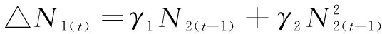
区域(相邻局域总体)创新种群之间互动关系模型如下:
N1(t)=β12N2(t)
(11)
N2(t)=β21N1(t)
(12)
其中N1(t)、N2(t)为相邻局域同种创新种群在t时期的个体数量。β12为种群2对种群1的影响系数,β21为种群1对种群2的影响系数。
则Logistic模型可以修改为:
![]()
(13)
(11)式代入(13)式变形得:
![]()
(14)
其中,
可得:
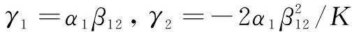
△N1(t)={γ1+γ2N2(t-1)}N2(t-1)
(15)
可以根据γ1、γ2的取值判断种群1、2之间的关系。
若{γ1+γ2N2(t-1)}>0,则△N1(t)>0。种群之间以协同效应为主,共享资源可以支撑创新种群个体数量增加,增长态势得以维持。若{γ1+γ2N2(t-1)}<0,则△N1(t)<0。种群之间以竞争效应为主,共享资源难以支撑创新种群个体数量增加,增长状态难以维持。
由式(9)和(14)构建回归模型(16)和(17):
![]()
(16)
![]()
(17)
其中β0、β1、β2、γ0、γ1、γ2是待估参数,ε0(t)、ε1(t)为残差项。
3.3.2 模型验证
依据以上模型,共享经济驱动的传统产业创新是以资源、服务和产品等共享为基础,借助平台介质实现。共享创新群体或从传统产业内部产生,或独立于传统业态之外,形成新的业态群体。鉴于目前没有连续、统一且全面的统计数据,本文研究数据获取及处理步骤如下:①通过对江苏、浙江和上海三地存在共享要素的传统产业进行实地调研,抽样提取不同产业类型创新主体的代表性数据,包括第一产业的共享农庄、第二产业的制造服务共享型企业,以及第三产业的共享民宿等;②确定抽样的代表性指标,依据谢贵生等[16]提出的企业种群规模扩大包括种群数量和生产能力两个方面,即通过生产经营活动创造更多价值以获取创新种群生存壮大的资本。综合考虑投入和产出,构建种群竞合关系指标体系,包括参与共享创新主体数、从业人数、投入共享的固资净值、创新业态的总产值、业务收入和利润总额;③分析抽样数据的基本特征,模拟出连续的算例数据,以A、B、C分别代表抽样地区,得出创新种群在小生境中竞合关系的计量结果,见表1。
表1结果说明,B局域内共享型服务创新种群内部关系表现为协同效应。A局域内服务企业的协同效应不显著,可以通过竞争系数值判断为内部竞争关系,由于β2值很小,可判定为处于协同与竞争的临界点处。C局域内共享型企业的协同效应系数与内部竞争系数均不显著,局域内种群内部关系不是影响种群演进的主要原因。C局域内共享型企业的生产运营行为具有比较显著的外部性。该局域内企业生产经营不仅与本地环境发生互动作用,更多地表现为更大区域内的互动关系。因此,局域内种群内部关系不显著。相邻局域种群之间的关系计量结果见表2。
表1局域种群内部关系

注:*、**、***分别表示在10%、5%、1%的水平上显著。括号内为T值,下同
表2相邻局域种群之间关系

由表2发现,A局域内共享型企业与B局域内的相互协同作用显著。C局域内的企业种群与A、B局域内的企业种群均处于相互关系不显著状态,协同或竞争关系均不显著,某些局域内的种群特征不显著,可能是由于种群存在跨局域分布现象所致。
通过模型构建和验证可知,在共享经济驱动的传统产业创新层级演进路径中,小生境显现出协同发展态势,参与共享创新的传统企业开放度越高,涉及区域范围越大,创新协同度越高,推动产业升级的可能性越大。这也在一定程度上佐证了共享业态为何最先在服务业萌生,并成功驱动传统服务业创新升级。
因此,在小生境创新群落协同共生态势显著的情况下,中观社会技术域的规制标准和管理措施需要根据小生境群落发展需求与现状及时调整,从而促进小生境群体健康发展。宏观场景层可持续发展则是小生境层面的种群协同和社会技术域机制协同作用的结果。完善传统产业创新升级网络治理体系,维护创新升级空间秩序,从而实现产业间及创新层级间的共生共荣。
本文将传统产业创新的实现路径置于多层次分析框架中,从共享经济驱动角度进行讨论,得出以下结论:
(1)共享经济驱动传统产业创新路径是可持续演进的活性发展路径。它既可以促进社会经济可持续发展,缓解宏观环境场景对于传统产业的压力,又可以保护有限资源并稀释过剩产能,优化资源配置,促进资源永续利用的实现。微观上共享型创新企业的成功运营,已经证明小生境创新群体可以克服萌生期的各种耗损,实现演进;创新平台规模扩大显示共享创新域在不断扩展,借助其它层级加大变量的作用力,融合共生,形成多方参与过剩产能交易的健康共享经济市场。
(2)在各层级内部及层级间,构建协同大于竞争的演进关系是传统产业实现共享创新的主要途径。培育小生境创新群体需要重视社会技术域主体共享的新型商业平台建设。建立管理规制和强化互信体系,可以在一定程度上弱化路径演进过程中外部抑制变量的影响,弥补市场运行缺失,实现创新各层级协同发展。
共享经济驱动传统产业实现创新升级,形成协同大于竞争的良性循环系统,最终营造产业可持续发展的宏观创新环境,符合当下中国经济社会的发展方向。因此,应当尽快完善共享经济驱动产业升级政策,积极加强对共享经济业态的引导,扶持小生境下创新群体发展,协调并规制利益相关者,促进各层级创新协同实现,具体有以下几点政策建议:
(1)积极引导共享业态发展,严格规制共享平台运营,为传统产业创新保驾护航。共享经济作用于传统产业创新,主要依赖新型商业平台搭建,帮助消费者之间实现匹配,促进层级间互动。因此,对共享平台进行有效规制,可能解决风险创新群体在交易过程中的道德问题,并能在交易收益中节省一大笔经费。经济利益的趋同促进多方主动参与共享平台,使平台得以发挥中介作用,并作为促进变量调节创新系统内部循环。
(2)制定法规制度的同时,积极治理新业态培育过程中的社会道德乱象,构建社会道德体系,从而解决创新初期小生境层的道德风险对创新系统的抑制问题。重视突破局域限制的跨层级协同关系构建,由于小生境创新实质上需要借助于社会技术域的外部变量解决因共享经济不断发展而出现的市场缺陷问题,例如由于信息不对称所产生的道德风险,以及出租人对物品共享者选择困难。道德风险和选择困难作为抑制变量,如果不断增加将直接影响αjt和βjt的比值、缩减共享资源、降低共享开放程度,从而导致创新群体指数级衰减。在创新竞争期和发展期,建立共享平台参与者和小生境创新群体的奖惩与监督机制期是控制抑制变量的有效方法。
(3)进一步完善征信制度,积极推进新业态环境中互信体系建立。创新业态下信任机制构建是创新群体共生并常态化发展的必然要求,互信体系的完善能够削减创新发展过程中抑制因素的影响,允许处于创新过程不同阶段的共享经济参与主体共存,如有些早期创新阶段的参与者虽然占有先期优势,但创新后期的参与者依然会考虑加入进来,根据主体需求推动新一轮创新。互信体系和技术进步一样,能够从根本上推动传统产业创新自循环系统运行,一个阶段的创新趋于常态化,另一个阶段创新开始萌发,实现产业创新良性循环。
参考文献:
[1] BELK R. Sharing[J].Journal of Consumer Research, 2010,36(2):715-734.
[2] ALBINSSN PA, PERERA B Y. Alternative marketplaces in the 21st century: building community through sharing events[J]. Journal of Consumer Behavior, 2012,11(2):303-315.
[3] BARDHI F, GIANA M. Access-based consumption: the case of car sharing[J]. Journal of Consumer Research,2012,39(4):881-898.
[4] OZANNE L K, BALLANTINE P W. Sharing as a form of anti-consumption? an examination of toy library users[J]. Journal of Consumer Behavior,2010, 9(11):485-498.
[5] KATHAN W, MATZLER K, VEIDER V. The sharing economy: your business model′s friend or foe[J].Business Horizons, 2016,59(6):663-672.
[6] NIGEL BERKELEY. Assessing the transition towards battery electric vehicles: a multi-level perspective on drivers of, and barriers to, take up[J].Transportation Research Part A: Policy and Practice,2017(106):320-332.
[7] 史竹琴,蔡瑞林, 朱先奇. 智能生产共享商业模式创新研究[J].中国软科学,2017(6):130-139.
[8] 刘蕾,鄢章华.共享经济——从“去中介化”到“再中介化”的被动创新[J].科技进步与对策,2017,34(7):14-20.
[9] LLAMAS,T U THOMSEN. The luxury of igniting change by giving: transforming yourself while transforming others′ lives[J]. Journal of Business Research, 2015,69(1):166-176.
[10] HAGIU, J WRIGHT. Multi-sided platform[J].International Journal of Industrial Organization,2015(43):162-174.
[11] 戴克清,陈万明,李小涛. 共享经济研究脉络及发展趋势[J].经济学动态,2017(11):106-121.
[12] MARKARD J, RAVEN R, TRUFFER B. Sustainability transitions: an emerging field of research and its prospects[J].Res. Policy,2012,41(6):955-967.
[13] SMITH A, VOB J P, GRIN J. Innovation studies and sustainability transitions: the allure of the multi-level perspective and its challenges[J].Res. Policy, 2010,39(4):435-448.
[14] CHRIS J,MARTIN. The sharing economy——a pathway to sustainability or a nightmarish form of neoliberal capitalism[J].Ecological Economics,2016(121):149-159.
[15] 孙冰,徐晓菲,姚洪涛. 基于MLP框架的创新生态系统演化研究[J]. 科学学研究,2016,34(8):1244-1254.
[16] 谢桂生,朱绍涛.基于logistic模型的组织种群共生演化稳定性[J].北京工业大学学报,2016(2):315-320.
Dai Keqing1,2,Chen Wanming1,Wang Shengyuan1
(1.College of Economics and Management, Nanjing University of Aeronautics and Astronautics, Nanjing 211106,China;2.College of Environment and Tourism, West Anhui University, Lu'an 237012,China)
Abstract:This study analyzes the "service" characteristics of sharing economy and use the multi-level perspective analysis framework to build the path level of traditional industrial upgrading innovation system in sharing economic environment. It analyzes the elements, functions and characteristics of each hierarchy in the path and discusses the dynamic mechanism of sharing economy which can promote upgrading of traditional industries. It simulates the hierarchical path model of the traditional industrial innovation realization, then verified the model by the example that based on the development of the innovation enterprise in Jiangsu Zhejiang and Shanghai. Then concluded that:sharing economy can drive traditional industry innovation system to realize the virtuous circle of sustainable development path, which based on internal and coordination between different levels;the openness and the regulation of sharing platform is the core content of medium technology domain of social change;establish a new formats for sharing credit system, perfect the institutional constraints, so to optimize promote adjustment between variables and inhibition ratio.
KeyWords:Sharing Economy; Industry Innovation; Innovation Upgrade Path; MLP Frame; Dynamics Model
作者简介:戴克清(1983-),女,安徽寿县人,南京航空航天大学经济管理学院博士研究生,研究方向为服务经济、科技创新管理;陈万明(1956-),男,四川泸州人,南京航空航天大学经济管理学院教授、博士生导师,研究方向为科技管理、创新管理;王圣元(1979-)男,江苏连云港人,南京航空航天大学经济管理学院博士研究生,研究方向为创新管理。
基金项目:国家自然科学基金项目(71764003);皖西学院校级质量工程项目(wxxy2017004)
收稿日期:2018-01-23
文章编号:1001-7348(2018)14-0050-06
文献标识码:A
中图分类号:F260
DOI:10.6049/kjjbydc.2017110715
(责任编辑:张 悦)