戚 湧1,2,朱 姝1
(1.南京理工大学 经济管理学院;2.江苏人才发展战略研究院 区域人才研究中心,江苏 南京 210094)
摘要:产学研协同创新是生产要素重新组合的有效手段,将金融机构作为重要的协同主体,充分发挥其在推进产学研研协同创新体系建设中的重要作用,具有重要研究价值。基于三螺旋模型,通过对产学研金协同创新决策过程进行博弈分析,发现不同类型企业的产学研合作意愿不同,金融机构介入能够有效提高中小企业协同创新的积极性,适当的政策引导和保障有助于提高高校、科研院所与金融机构协同创新意愿。据此,提出完善产学研金协同创新体系的对策建议。
关键词:三螺旋模型;产学研金;协同创新体系;动态博弈
自Schumpeter提出创新理论以来,产学研合作创新作为生产要素重新组合的有效手段,经长期理论检验后,得到了广泛应用。随着知识经济及创新3.0时代到来,协同化、网络化、生态系统化已成为创新发展的新趋势。从基础研究到产品生产,再到销售的“上游-下游”的线性创新模式已无法反映当前创新的复杂特征[1],传统的产学研合作创新模式也面临着创新动力不足、组织协调不畅等问题[2]。因此,产学研协同创新体系建设成为新常态下我国学者的研究热点和政府关注的焦点[3,4]。党的十八届三中全会明确提出要“建立产学研协同创新机制”,这为我国产学研合作理论研究和实践应用指明了新方向。
目前,产学研协同创新研究主要关注创新模式[5]、协同机制[6]、利益分配[7]等方面。协同创新参与主体一般包括企业、高校和科研院所,也有部分学者考察政府和用户在产学研协同创新中的作用[8]。金融对创新具有重要推动作用,这一观点已被学者普遍接受并经大量研究证实[9-11],然而少有学者将金融机构作为协同主体纳入产学研协同创新体系进行研究。中国科学技术发展战略研究院统计显示,我国发明专利申请量和授权量分别位居世界第一位和第二位,但这些科研成果绝大部分因缺乏投资而沉睡在实验室里。因此,如何引进资金促进科技成果转化已经成为重要的任务。金融机构作为营利性机构,与其它创新主体一样,在金融服务过程中面临着风险和自身利益诉求,这些因素会对产学研金协同创新结果产生直接影响。本文围绕产学研金协同创新体系建设,通过对产学研金三螺旋模型以及产学研金协同创新决策过程进行博弈分析,为完善产学研金协同创新提供对策建议。
产学研协同创新是当前研究热点,国内外学者对产学研协同创新体系开展了深入研究。
(1)产学研协同创新三螺旋理论。20世纪90年代,美国社会学家Etzkowitz[12]首次用三螺旋概念解释了知识经济时代大学、产业、政府三者间的关系。Loet Leydesdoff[13]对此概念进行补充并构建了理论模型。Etzkowitz[14]创新了三螺旋理论,以此解释高校、企业和政府间的关系。在三螺旋模型中,企业负责生产,让最终产品入市;学校拥有专利、知识技术和人才,是知识经济的生产力要素;政府作为契约关系的保障,确保主体间关系的稳定。学校、企业和政府在区域创新系统中具有多种角色,在执行自身原有职能的同时,还会表现出另外两方的一些能力,三者之间交叉结合,多边和双边沟通灵活,进而形成持续创新流。我国学者基于三螺旋理论对产学研协同创新进行了深入研究。陈红喜[15]以三螺旋理论为支撑,分析大学、产业和政府之间的互动关系,认为政产学研合作应将重点放在“组建研发实体”等高级模式上,以适应产业技术重大创新需求,并建立产业技术层面的战略合作。饶凯等[16]基于三螺旋理论,实证分析了政府研发投入对大学技术转移合同的影响,发现各省市大学获得的政府科技经费投入显著促进了该省市大学技术转移合同数量和收入增长。庄涛、吴洪[17]运用三螺旋理论,对中国高校、企业和政府在产学研协同创新中的关联紧密度进行测定,发现我国较为稳定的官产学研协同创新体系已初步形成,企业与大学间的合作程度最深,但政府参与程度不高。李小丽、余翔[18]采用因子分析方法测量我国区域三螺旋强度,并基于教育部直属大学的国家技术转移示范机构的投入产出、组织特点和区域三螺旋强度等面板数据,采用随机前沿分析方法考察我国创新效率情况。康健、胡祖光[19]在解析两个并行三螺旋协同创新结构和行为的基础上,引入复合系统协调度模型,对基于区域产业互动的三螺旋协同创新能力评价方式进行理论推演和实例分析。李梅芳等[20]从三螺旋体系的螺旋间合作、网络关系、互补协同3个特征维度入手,以区域创业环境为中介变量,实证研究了三者对区域创业水平的影响。现有文献大多采用以企业、学校和政府为主体的三螺旋模型研究官产学研协同创新,发现我国产学研协同创新体系中政府参与度不高,但其资金投入对科技成果转化的促进作用显著。由于科技成果转化资金主要来自政府投资,难免面临资金有限、脱离市场需求等问题。因此,本文将金融机构纳入模型,通过金融机构筛选项目和提供资金的方式将市场规律引入产学研协同创新体系。
(2)产学研协同创新体系博弈分析。刘明广、李高杨[21]通过构建合作演化博弈模型,分析了企业和高校及科研院所博弈双方的策略选择行为,发现博弈双方最终选择不仅取决于系统的初始状态,而且对鞍点的阈值具有敏感性。王子龙、许箫迪[22]将政府行为引入产学研协同创新,构建政产学研协同创新演化博弈模型进行仿真模拟,描述了具体演化路径及影响因素,发现协同创新系统的演化动力来自内部竞争与合作。李高杨、刘明广[23]针对企业和高校及科研院所在协同创新过程中的策略演化路径规律,通过构建联合开发模式下的演化博弈模型,发现产学研协同创新的长期演化博弈有4种稳定的策略组合。薛克雷等[24]构建演化博弈理论模型,对产学研协同创新中信任行为的动态演变性进行分析,发现产学研协同创新信任关系是多方均衡结果:博弈双方相互信任的概率与协同收益正相关,与创新资源投入、投机收益负相关,与吸收因子无关;存在最佳协同收益分配比例,能使博弈双方相互信任的可能性最大化;政府加强对创新资源投入激励可以有效提高产学研协同创新信任水平。曹霞、刘国巍[25]从两阶段构建了产学研合作创新博弈模型,结合产学研合作创新网络拓扑结构,构建产学研合作创新网络演化算法,并运用Netlogo多主体仿真平台对产学研合作创新网络演化进行仿真,揭示其动态演化规律。韦文雯[26]构建了产学研合作演化博弈模型,结果显示在合作博弈中应遵从收益最大化原则,充分权衡机会主义行为的利弊,避免作出短视决策。另外,政府相关政策的制定有利于促进产学研合作联盟稳定性。胡慧玲、杜栋[27]基于博弈论分析各主体互动过程,探析了产学研协同创新互动机制,发现在产学研协同创新互动过程中,双方交互越频繁,越可能高效地转移知识和技术,对创新绩效的正向影响越强。卢方元、常大华[28]在有限理性假设下构建了演化博弈模型,并引入额外收益分配系数、违约金惩罚数额等指标,发现演化结果取决于系统初始状态,并与获得收益大小、是否公平分配及违约金惩罚数额密切相关。刘和东、陶渊[8]构建企业、学研方以及政府三者的演化博弈模型,分析了协同创新主体合作稳定性机制。综上所述,目前学者对产学研协同创新进行了大量博弈分析,但主要围绕企业和高校及科研院所展开,有关金融机构的博弈分析研究较少。
目前有关新型产学研金协同创新的理论研究不完善,缺乏对产学研金三方协同创新的系统性分析。建立健全产学研融资渠道,将市场规律引入产学研合作,已经成为产学研长效合作的突破口和切入点。产学研金协同创新体系是指以企业主体、以市场为导向、以金融机构为市场规则执行者和资金支持者,在政府政策性引导和中介机构辅助下,各主体优势互补、资源共享,各要素优化组合,推动科技成果转化和双创人才培养,实现经济发展的社会活动。与传统产学研合作关系相比,新型产学研金协同创新体系中,金融机构作为参与主体之一,负责产学研合作项目筛选和资金供给,而政府仅发挥引导者作用。产学研合作将点到点的合作模式转变为基于生态体系和协同网络的合作,使得主体间联系更加紧密。
本文根据三螺旋模型理论,建立由企业、高校及科研院所和金融机构三方构成的产学研金协同创新三螺旋模型,即企业、高校及科研院所和金融机构在创新过程中密切合作、相互作用,形成3种力量交叉影响、螺旋上升的三螺旋关系。在三螺旋模型中,企业是技术成果应用者和产品生产者,高校及科研院所是技术成果提供者,金融机构是资金提供者。企业、高校及科研院所和金融机构在合作中相互交叠、渗透,每一个主体除执行原有角色的职能外,还表现出其它主体的一些特征,如图1所示。

图1产学研金三螺旋模型理论范式

图2产学研金协同创新三螺旋模型横截面
产学研金协同创新三螺旋模型横截面如图2所示。在产学研金协同创新体系中,企业、高校及科研院所和金融机构的利益诉求分析如下:
(1)企业。随着市场经济不断发展,企业生存与发展对科技支撑的依赖日益加剧。一方面,企业在产学研金协同创新活动中通过获得以市场为导向的新技术、新成果提高企业市场份额。企业作为自主经营、自负盈亏的经济实体,在竞争激烈的市场环境中只有不断提高自身技术水平,才能保证拥有足够的实力在竞争中占据有利地位;另一方面,企业需要与高校及科研院所合作提高经营绩效。企业与高校及科研院所的优势资源具有异质性,而合作可以实现优势互补,形成规模效益,降低交易成本。另外,企业技术创新和成果转化活动需要大量资金。
(2)高校和科研院所。高校及科研院所作为主要的成果产出和技术创新主体,具有以下优势:①在产学研金协同创新体系中,高校和科研院所更易于获取市场导向以指导研发活动、完善科研成果。企业是市场最直接的参与者,可以及时、准确地了解消费者需求和意见,并将其反馈给高校及科研院所,进而完善和强化高校及科研院所理论基础;②高校与科研院所肩负着社会教育和人才培养的责任,对社会整体综合素质提高和科技发展水平提升发挥着至关重要的作用。高校与企业展开合作,有助于在校学生理论联系实际,培养其创新意识,并借助企业平台积累研究和工作经验,促进其向高素质创新创业人才发展。此外,产学研合作有助于高校及科研院所履行其社会服务职能。社会服务是指,从直接满足社会现实需要出发,以人才培养、科学研究为依托,有目的、有计划、有组织地为社会发展服务的一系列活动。通过产学研合作,高校及科研院所能够将自己的能力和资源直接用于服务社会,实现自身价值。
(3)金融机构。一方面,产学研合作项目发展需求促进了金融机构发展,优质产学研合作项目能为科技金融发展创造需求空间。产学研合作包含不同层次科技创新活动、不同规模和类型的参与企业,其对金融机构的资金供给需求不同,金融机构会在不断满足各种需求的过程中逐渐发展壮大;另一方面,优质产学研合作项目可以提高金融机构的投资收益。金融机构通过前期考察,筛选出符合市场需求的产学研项目,而项目技术含量越高、成果的市场前景越好,越有利于金融机构获得丰厚的投资回报,从而提升投资收益。
企业、高校及科研院所和金融机构各自的利益诉求相互推动、共同促进产学研金协同发展、螺旋上升。如何在此过程中实现实现三方共赢是关键。因此,本文构建三方动态博弈模型,对产学研金合作博弈过程进行分析。
产学研金协同博弈主要包括企业、高校及科研院所和金融机构3个利益主体,其中金融机构是指银行、证券、信托等金融行业,三方都是理性经济人。
(1)金融机构策略选择及参数设置。由于目前金融机构专门针对产学研项目的服务较少,主要服务对象仍为企业,因此假定金融机构对企业进行融资,金融机构并不能确定企业是否进行产学研合作。在产学研金协同创新中,金融机构可以选择发放贷款和不发放贷款,概率分别为p3和(1-p3)。如果金融机构选择融资,融资资金为I,市场利率为r,则金融机构的收益为Ir。若企业和高校及科研院所达成合作进行协同创新,此时贷款回收率为y,如果企业和高校及科研院所没有达成合作,资金回收率率为y1。如果金融机构选择不放贷,金融机构资金平均回收率为ε。
(2)企业策略选择及参数设置。由于技术创新和成果转化需要大量资金支持,因此企业是否选择协同创新受到金融机构是否同意发放贷款的影响。如果金融机构不融资,企业选择协同创新的概率为p1,不协同创新的概率为(1-p1);如果金融机构融资,则企业选择协同创新的概率上升至δp1,选择不协同创新的概率为(1-δp1),其中δ是一个大于等于1的常数,表示金融机构融资对企业选择行为的影响,0≤δp1≤1。如果企业选择协同创新,当高校及科研院所同意与企业进行协同创新时,增加的总净收益为U,企业和高校及科研院所按照α和(1-α)的比例分摊;当高校及科研院所选择不协同时企业独自进行创新,获得收益为U1。如果企业选择不协同创新,当高校及科研院所创新时企业搭便车获得的额外收益为E1;当高校及科研院所不协同创新时企业只能得到正常收益R1。
(3)高校、科研院所策略选择及参数设置。高校及科研院所可以选择是否与企业进行协同创新。高校及科研院所选择协同的概率为p2,不协同的概率为(1-p2)。如果企业选择协同创新,当高校及科研院所同意与企业进行协同创新时,增加的总净收益为U,企业和高校及科研院所按照α和(1-α)的比例分摊;当高校及科研院所选择不协同时企业独自进行创新,高校搭便车获得的额外收益为E2。如果企业选择不协同创新,当高校及科研院所独自创新时获得收益;当高校及科研院所不协同创新时只能得到正常收益R2。
在产学研三方博弈中,参与主体对各自的效用函数都知情。
基于以上假设,本文采用完全信息动态博弈模型对产学研金协同创新体系中产、高校及科研院所和金融机构的动态博弈过程进行分析,具体动态博弈模型设定如下:
(1)参与主体:企业、高校及科研院所和金融机构;
(2)参与主体行动顺序:假定参与主体行动顺序为金融机构、企业和高校及科研院所。
(3)参与主体的行动空间及概率分布:金融机构选择放贷和不放贷的概率为p3和1-p3;金融机构选择放贷时企业选择协同创新和不协同创新的概率为δp1和1-δp1,金融机构选择不放贷时企业选择协同创新和不协同创新的概率为p1和1-p1;高校及科研院所选择协同创新和不协同创新的概率为p2和1-p2。
为了计算博弈各参与主体的收益函数,构建博弈树如图3所示,得到金融机构、企业和高校及科研院所收益矩阵如表1所示。

图3产学研金三方动态博弈树
表1产学研金三方动态博弈收益矩阵

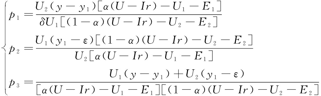
3.3.1 高校及科研院所期望收益均衡
高校及科研院所的期望收益为:E学研=p1p2p3[(δ-1)(U-αU-U2-E)-δ(1-α)Ir]+p1p2[(1-α)U-E2-U2]+p1p3E2(δ-1)+p1U2+p1E2+R2
(1)
当上述函数的一阶导数等于0时,函数值达到最大,即:![]()
(2)
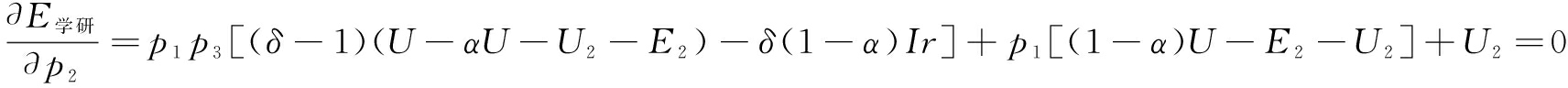
3.3.2 企业期望收益均衡
企业的期望收益为:E企=p1p2p3[(δ-1)(αU-U1-E1)-δαIr]+p1p2(αU-U1-E1)+p1p3U1(δ-1)+p1U1+p2E1+R1
(3)
当上述函数的一阶导数等于0时,函数值达到最大,即:![]()
(4)
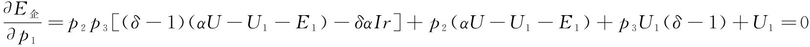
3.3.3 金融机构期望收益均衡
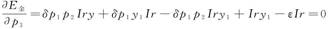
金融机构的期望收益为:E金=p3(δp1p2Iry+δp1y1Ir-δp1p2Iry1+Iry1)+(1-p3)εIr
(5)
当上述函数的一阶导数等于0时,函数值达到最大,即:![]()
(6)
联立式(2)、(4)、(6),化简得产学研金动态博弈的均衡解为:

由上述均衡解,可得以下结论:
(1)企业进行协同创新的概率与U2成正比,与U1成反比,U1和U2代表企业和高校及科研院所独自创新时的收益,说明企业在选择协同创新对象时,希望对方有较强的创新能力,但当自身创新能力足够强时,其协同创新意愿就会下降。y-y1越大,企业进行协同创新的概率越大,说明在政府资金支持情况下,或者产学研合作项目成功的概率很高时,企业更愿意选择协同创新。α(U-Ir)-U1-E1代表企业进行协同创新的收益与独自创新的收益和搭便车收益之差,当α(U-Ir)>U1+E1时企业才愿意进行协同创新,企业进行协同创新获得的利益越大,进行协同创新的概率就越大。δ是表示金融机构是否放贷对企业是否选择协同创新影响的常数,通常缺乏资金的中小企业δ较大,资金充足的大企业δ较小。企业进行协同创新的概率与δ成反比,说明中小企业未获得金融机构贷款时进行协同创新的概率较低,当获得金融机构贷款后中小企业选择协同创新的概率提升幅度较大。
(2)高校及科研院所进行协同创新的概率与U1成正比,与U2成反比,说明高校及科研院所在选择协同创新对象时,希望对方有较强的创新能力,但当自身创新能力足够强时,协同创新意愿就会下降。当y1-ε为正时p2>0,并且y1-ε越大,p2值就越大,说明当企业信誉较好、还款能力较强时,高校及科研院所越愿意进行协同创新。(1-α)(U-Ir)-U2-E2代表高校及科研院所协同创新的收益与独自创新收益和搭便车收益之差,当(1-α)(U-Ir)>U2+E2时,高校及科研院所才会选择协同创新,高校及科研院所进行协同创新获得的利益越大,进行协同创新的概率就越大。
(3)金融机构放贷的概率与U1、U2成正比,说明企业和高校及科研院所的创新能力越强,金融机构越愿意放贷。α(U-Ir)>U1+E1,(1-α)(U-Ir)>U2+E2时,金融机构才愿意放贷,并且y-y1越大,金融机构放贷的概率越大,说明有政府资金支持或产学研合作项目市场前景好、成功率高的情况下金融机构更愿意放贷。当y1-ε为正时,p3>0,并且y1-ε越大,p3值就越大,说明当企业信誉较好、还款能力较强时,金融机构更愿意放贷。当y1-ε为负时,金融机构放贷意愿会降低,但只要y-y1足够大,p3仍然为正。
从博弈分析可以看出,大企业更容易进行产学研金协同创新,但是大企业由于自身创新能力强、资金充足,选择协同创新的意愿并不强。中小企业更愿意与高校及科研院所和金融机构合作,但资金匮乏限制了中小企业进行协同创新的可能,而金融机构发放贷款能够有效提高中小企业协同创新的积极性。高校及科研院所作为研发方在选择产学研合作对象时更看重企业本身的能力和平台。中小企业由于能力、资源有限,给高校及科研院所带来提升有限,会降低其合作意愿。但由于高校及科研院所角色的特殊性,其利益诉求不仅是经济收益,还包括服务社会。因此,适当的政策引导有助于促进中小企业产学研合作。金融机构一方面作为市场规律的执行者,在前期会筛选市场前景好、利润高的产学研合作项目进行投资;另一方面从自身利益角度考虑,金融机构更倾向选择有一定基础和规模的企业和高校合作,以规避风险,但政府政策保障可以使金融机构放宽要求。
本文首先对产学研金协同创新体系内涵进行界定,研究了产学研金协同创新三螺旋模型;在此基础上构建产学研金三方动态博弈模型,对企业、金融机构和高校及科研院所三方合作行为进行分析。从博弈分析结果可以看出,不同类型企业的协同创新意愿不同,金融机构介入能够有效提高中小企业参与协同创新的积极性,而适当的政策引导和保障可以提高高校及科研院所与金融机构开展协同创新的意愿。基于以上研究结论,本文提出以下对策建议:
(1)完善制度体系,推动三螺旋关系。一方面,政府应建立三螺旋互动激励政策体系,既要对创新能力强、参与积极性高和投资贡献大的主体进行奖励和补贴,充分利用其相对优势,也要在各个主体内部,尤其是研发主体内部,建立与个人贡献挂钩的绩效考核机制,支持和鼓励研发人员以专利、科技成果入股,充分激发其主动性、积极性和创造性。另一方面,政府应构建三螺旋关系协调机制,以解决主体间的矛盾与冲突。此外,还应建立科学的知识产权评估体系,并在此基础上构建公平、公正的利益分配和风险分担机制,明确各参与主体的权利、责任与义务,进而实现各主体协同发展。
(2)创新金融服务。产学研深入合作已经成为大势所趋,而金融机构针对产学研项目的服务才刚起步。因此,金融机构有必要围绕产学研合作项目创新服务产品和服务模式,主动融入产学研合作。首先,鼓励银行开放知识产权质押贷款业务,对于在资金和固定资产方面紧缺但拥有自主知识产权的中小型或科技型企业,通过评估其专利技术水平、商业化前景、行业带动性,发放专利抵押贷款支持,有助于解决中小企业面临的资金短缺问题,也有利于提高企业对专利技术的重视、促进企业进行研发活动。其次,设立产学研项目专项融资服务,对筛选出的产学研合作项目给予定向融资支持。与以往放贷对象单一的情况不同,产学研合作项目存在参与主体多、资金用途监控复杂等特殊性,需要金融机构构建新的框架和体系以应对新变化。
(3)设立风险担保专项基金。科技创新活动和中小企业科技成果转化具有高风险性,往往使金融机构望而却步,不愿意参与产学研合作。因此,政府可以针对处于发展初期的企业设立风险担保专项基金,为融资提供支持和担保,引导资金进入市场。基金为参与产学研合作、筛选项目、提供资金的金融机构分担风险,如在产学研合作项目失败后按照投资量给予一定比例的资金补贴,以提高金融机构对中小企业放贷的积极性。
(4)引进技术创新国际化模式。技术创新国际化模式是指,以财政投入为引导、企业投入为主体、金融资本和民间资本跟进的多元化科技投融资机制。这种跨国的“政产学研金”联合创新模式一般以政府支持的、对产业发展有重大影响的项目为载体,由学术界、科技界和企业界共同参与,可以调动各方力量,将政府创新资源和战略、研究机构成果、企业生产能力和民间资本结合起来,高效推动科技成果转化。
(5)建立高校与中小企业一对一帮扶制度。中小企业由于建立初期风险较大,研发主体和金融机构与其合作的意愿较低。此时,政府应引导高校对中小企业进行一对一帮扶,通过建立高校和科研机构与中小企业沟通交流平台,筛选创新能力较强、市场前景好的中小企业,引导其与研发能力较强的高校和科研机构进行产学研合作,进而打通中小企业与研发主体合作渠道,扶持优质中小企业发展,提高金融机构对中小企业投资意愿。
参考文献:
[1] 周春彦,亨利·埃茨科威兹.三螺旋创新模式的理论探讨[J].东北大学学报:社会科学版,2008(4):300-304.
[2] 张俊霞.经济新常态下政产学研协同创新问题研究[J].科技进步与对策,2015(14):27-30.
[3] 何郁冰.产学研协同创新的理论模式[J].科学学研究,2012(2):165-174.
[4] 张力.产学研协同创新的战略意义和政策走向[J].教育研究,2011(7):18-21.
[5] 刘勇.产学研协同创新超网络均衡模型及其实现路径[J].中国科技论坛,2017(1):19-25.
[6] 蔡启明,赵建.基于流程的产学研协同创新机制研究[J].科技进步与对策,2017(3):7-13.
[7] 张清华,郭淑芬,黄志建.基于利益分享的产学研协同创新机制研究[J].科学管理研究,2017(1):23-26.
[8] 刘和东,陶渊.政产学研协同创新的演化博弈分析[J].科技管理研究,2016(8):8-13.
[9] CZARNITZKI D, LOPES BENTO C.Value for money? new microeconometric evidence on public R&D grants in Flanders[J].Research Policy, 2013, 42(1):76-89.
[10] 徐玉莲,王玉冬.区域科技创新与科技金融系统协同发展运行机理分析[J].科技进步与对策,2013(20):25-29.
[11] 亨利·埃茨科威兹.三螺旋[M].周春彦,译.北京:东方出版社,2005.
[12] LEYDESDORFF L,MEYER M.The triple helix of university-industry-government relations[J].Scientomentrics,2003,58(2):191-203.
[13] TOORAN ALIZADEH.The role of local communities:a modification for the knowledge-based regional development theory[J].学术界,2010(1):249-257.
[14] 陈红喜.基于三螺旋理论的政产学研合作模式与机制研究[J].科技进步与对策,2009 (24):6-8.
[15] 饶凯,孟宪飞,ANDREA PICCALUGA.政府研发投入对中国大学技术转移合同的影响——基于三螺旋理论的视角[J].科学学与科学技术管理,2012(8):74-81.
[16] 庄涛,吴洪.基于专利数据的我国官产学研三螺旋测度研究——兼论政府在产学研合作中的作用[J].管理世界,2013 (8):175-176.
[17] 李小丽,余翔.区域三螺旋强度及TTO特征对TTO效率的影响研究[J].科研管理,2014(9):115-122.
[18] 刘明广,李高扬.产学研合作创新的演化博弈分析[J].工业技术经济,2012(10):137-143.
[19] 王子龙,许箫迪.政产学研协同创新的演化博弈分析[J].科技与经济,2013(4):16-20,35.
[20] 李高扬,刘明广.产学研协同创新的演化博弈模型及策略分析[J].科技管理研究,2014(3):197-203.
[21] 曹霞,刘国巍.基于博弈论和多主体仿真的产学研合作创新网络演化[J].系统管理学报,2014(1):21-29.
Qi Yong1,2,Zhu Shu1
(1.School of Economics & Management,Nanjing University of Science & Technology;2.Regional Talent Research Center,Jiangsu Academy of Talent Development,Nanjing 210094,China)
Abstract:The production of collaborative innovation is an effective means of production factors to combination, it looks the coordination of financial institutions as an important subject, give full play to its in promoting production, research the importance of collaborative innovation system has important research value.In this paper, based on the triple helix model, and through the production of gold game analysis of cooperative innovation decision-making process, found that different types of enterprises industry-university-institute cooperation intention, the involvement of financial institutions can effectively boost the enthusiasm of the small and medium-sized enterprise cooperative innovation, appropriate policies to guide and care will help improve the university institutes and financial institutions to collaborative innovation.In the end, proposes countermeasures and Suggestions to perfect the production gold collaborative innovation system.
KeyWords:Three Spiral Model;Industry-University-Research-Finance;Collaborative Innovation System;Dynamic Game
作者简介:戚湧(1970-),男,江苏泰州人,博士,南京理工大学经济管理学院教授、博士生导师,江苏人才发展战略研究院区域人才研究中心主任,研究方向为创新管理;朱姝(1995-),女,江苏盱眙人,南京理工大学经济管理学院硕士研究生,研究方向为创新管理。
基金项目:国家自然科学基金项目(71673135);国家社会科学基金重大项目(15ZDA053);中央高校基本科研业务费专项(30917014110);江苏省社会科学基金重大项目(16ZD006)
收稿日期:2017-11-03
文章编号:1001-7348(2018)14-0030-06
文献标识码:A
中图分类号:F124.3
DOI:10.6049/kjjbydc.201708X322
(责任编辑:林思睿)