张晓洁,刘新梅
(西安交通大学 管理学院,陕西 西安 710049 )
摘要:亲社会动机在中国集体主义文化背景下具有特殊价值与作用,由此构建了团队亲社会动机、知识整合、团队情感承诺与团队创造力的关系模型,基于50个研发团队的数据样本检验关系假设。结果表明:亲社会动机能促进研发团队创造力;知识整合和团队情感承诺在亲社会动机与研发团队创造力之间发挥中介作用;知识整合的中介作用显著强于团队情感承诺的中介作用。
关键词:团队亲社会动机;团队创造力;知识整合;团队情感承诺;研发团队
全球化以及市场竞争加剧,促使组织不断寻求新颖、有用的创意以提高自身创新水平[1]。日趋复杂化的任务和不断细化的分工使得个体无法满足创造性工作的知识需求,而跨学科、跨职能团队成为组织进行产品研发与创新基础且重要的形式[2-4]。跨学科、跨职能的研发工作通常具有极高的不确定性和风险性,不仅需要尽可能集合团队所有成员的知识、技能、经验和信息处理能力,还需要团队成员之间相互扶持和互相鼓励。因此,团队亲社会动机——团队成员共享的、使集体和他人受益的愿望[5],成为影响团队创造力的重要因素。亲社会动机高的个体不计较短期个人利益得失,因而能更好地参与到团队活动中,有助于团队工作平稳推进,符合企业采用团队工作模式的出发点和长远利益。特别地,中国集体主义文化强调兼顾集体利益与他人利益[6],而团队创造力对集体意识与团队协作的要求很好地契合了这一内涵。因此,在中国情境中研究团队亲社会动机对团队创造力作用发挥的影响,具有重要现实意义。那么,团队亲社会动机如何影响团队创造力呢?
亲社会动机研究起源于动机性信息加工(Motivated Information Processing)理论[7]。目前,关于亲社会动机与创造力关系的研究刚刚起步。个体层面,Grant等[8]、李阳和白新文[9]均发现,亲社会动机能促使个体更多地考虑他人的需求、观点等,这有助于提高创造性想法的有用性。团队层面,DE DREU等[7]从理论层面指出,亲社会动机通过影响信息加工方向(有利于团队/个体)作用于团队创造力;Li等[10]提出团队利他主义概念,并将亲社会动机纳入团队利他主义范畴,认为团队利他主义会影响团队运作过程和团队产出。然而,尚未有实证研究对些理论假设进行具体化并检验。虽然没有将团队创造力作为结果变量的研究,但Hu等[6]研究证实,当团队任务具有互依性时,团队亲社会动机会通过团队合作和团队活力间接作用于团队效能。有关团队亲社会动机与团队创造力的直接关系及其作用机理的研究尚属空白。因此,以团队亲社会动机作为研究视角,探讨其对团队创造力作用,具有重要的理论意义。
有关创造力的研究表明,团队创造力的形成不仅涉及对复杂信息的加工,还涉及大量情感资源消耗。鉴于此,Muller等[11]将团队创造力的形成过程划分为基于信息加工的过程和基于情感的过程。这两个过程与团队亲社会动机密切相关:一方面,个体层面的亲社会动机研究表明,信息加工是亲社会动机作用于产出的重要机制[7];另一方面,团队层面的研究发现,亲社会动机可以强化成员与团队的情感连接[5]。基于此,本研究认为,团队亲社会动机对团队创造力的影响通过信息加工过程和情感过程实现,并以知识整合、团队情感承诺分别代表团队信息加工过程和团队情感过程[10]。
本研究以中国研发团队为研究样本,探讨团队亲社会动机与团队创造力的关系及其作用机理,试图打开亲社会动机与团队创造力关系的黑箱。具体地,本研究借鉴Muller等[11]的研究,将团队创造过程区分为信息过程(知识整合)和情感过程(情感承诺),并探讨二者对亲社会动机与团队创造力关系的作用。
团队创造力是指,以团队整体为单位产生新颖想法的能力[12]。团队创造力并非是个体创造力的简单加总,从本质上看,团队创造力的产生是一个社会化的过程[13-15]。即在正式或非正式的社会交互过程中,团队成员以彼此想法为基础,发展和深化已有的想法,或直接将自身想法与其他成员的不同观点和独特技能联系起来,进而形成团队层面的创造性成果——团队创造力[16]。
团队亲社会动机是团队成员共享的、使他人和集体受益的愿望[5,8,9]。团队组织形式使同一团队的成员在面对事件、政策、情境等时具有动机一致性[17]。这是因为频繁的正式或非正式互动赋予团队成员动机以极强感染性,使团队更容易形成一致的(高/低)集体亲社会动机[5,10]。与内部动机仅关注自我或任务不同,亲社会动机强调工作的社会性,即团队成员对他人利益和团队整体福祉的关注[8,18],因而能影响团队过程和产出。
Muller等[11]将团队创造力形成过程划分为基于信息加工的过程和基于情感的过程。因此,本研究将其具体构念转化为知识整合(信息加工过程)和团队情感承诺(情感过程)。
知识整合是基于知识基础观和知识过程观提出的概念,是指团队协调、综合性利用各成员拥有的专业知识、技能等[19]。知识整合并不是简单地组合或拼凑分散的信息或知识,而是通过沟通与交流,建立不同元素或想法之间的联系,进而形成全新的视角和洞见。换言之,知识整合不仅要求团队成员进行知识共享,还要求其运用这些知识。因此,知识整合包括知识共享和知识利用两个子过程[14]。
团队承诺是在组织承诺基础上提出的概念,是指团队成员对团队的情感依赖、认同和投入程度[20]。从社会交换角度看,团队承诺是指团队成员得到情感支持和帮助后,对团队产生的归属感与认同感。Neininger等[21]指出,团队情感承诺主要包括3部分:①对团队积极正面的评价;②高度信任团队、接受团队的目标与价值观;③保持团队成员身份的强烈意愿。
作为一种团队状态(Emergent State),团队亲社会动机强调团队成员对集体目标的认可和彼此需求的关注,这有利于强化团队成员承诺,促进团队知识整合,进而提高团队创造力水平。因此,基于社会心理学的“输入-过程-产出”范式,建立概念模型如图1所示。

图1研究框架
创造力实现过程始终伴随着模糊性和不确定性,要想将团队成员在沟通交流过程中产生的转瞬即逝的想法转化为具有新颖性和有逻辑性的解决方案或成果产出,团队必须具有共享的挑战性目标、互助的氛围以及合作和信任的人际关系[22]。首先,亲社会动机强调团队整体利益[5],这有利于团队成员对团队任务和情境产生共享式理解。因此,团队成员更容易形成统一目标,并在共享目标和愿景的引导下,全身心投入到工作中,勇于提出新颖、有用的观点,而这些观点极有可能成为团队创造力的种子——激发其他团队成员和团队整体创造力。其次,亲社会动机要求团队成员关注他人的想法与需要[8],这有助于团队形成合作互助的氛围及良好的人际关系。而合作-竞争理论[23]指出,在合作氛围中,团队成员间的信任感、心理安全感更强,能更好地处理各种冲突,并从冲突中获益,提高创造力。此外,创造性活动具有较高的风险性(如新想法不被接受甚至被嘲笑等),而具有亲社会动机的团队能为成员开展创造性活动提供情感社会支持[12]。基于此,提出以下假设:
H1:亲社会动机与团队创造力正相关。
首先,在亲社会动机较高的团队中,出于对集体利益(如完成任务、解决问题等)的考虑,成员之间会进行积极的正式或非正式互动,传递信息和知识[8],即亲社会动机高的团队成员有更强的知识共享意愿和行为动机,这也是知识整合的前提[14]。其次,知识整合要求成员能够理解彼此提供的知识及相关背景。由于亲社会动机关注他人需求,因此知识贡献方会更多地考虑知识接收方的需求,对共享的知识提供详尽而全面的解释,有利于团队其他成员理解不同知识之间的关系,进而更好地利用共享知识。最后,亲社会动机高的团队成员对他人的意见持更加开放的态度[18],而积极开放的心态有助于团队成员克服“自我中心”和“自我服务偏差”[24],通过客观分析他人所提观点的视角与动机,把握以前未关注到的细节或问题,从而对任务和问题产生新的理解,在不同的观点和知识之间建立新的联系,进而促进团队知识整合水平提升。基于此,本文提出以下假设:
H2a:亲社会动机与知识整合正相关。
团队创造力需要融合多种知识与技能[22]。个体成员的异质性知识能从不同视角反映问题或任务的本质,以此构建的团队创造力知识库具有提高团队创造力的潜能[25]。这种潜能的实现有赖于在不同的知识和视角之间建立联系。由于知识整合能使团队成员获取、探索和使用相关领域的多样化信息,因此,知识整合为团队创造力提升提供了良好的机制保障[25]。其次,个体成员具有思维惯性,在寻求问题解决方案时,会受到自身经历和职能背景限制[26]。接触其他成员的方法、选择和想法并加以整合,有助于团队成员克服上述限制,激发其发散性思维,把握知识要素之间的内在联系,进而使创造性想法的数量呈指数增加[27]。而将更多的可能性纳入考虑范围,使创造性成果在知识整合这一“加工”过程中得以实现[14]。最终,个体层面的知识通过知识整合过程上升为团队层面的结构性知识,团队整体创造力水平得以提高。由此,提出以下假设:
H2b:知识整合与团队创造力正相关。
如前所述,团队亲社会动机强化了团队成员知识共享动机以及采纳他人观点的意愿,这为知识整合创造了条件。而知识整合能使团队成员更加全面地认识与理解问题,在不同知识之间建立联系,进而形成高水平的团队创造力[28]。由此,提出以下假设:
H2c:知识整合对团队亲社会动机与团队创造力关系发挥中介作用。
团队亲社会动机能够强化团队成员的情感承诺。首先,具有亲社会动机的团队成员关心他人感受,通过努力工作使其他成员或团队受益[29]。亲社会团队的成员既会主动为他人提供帮助,也可能受到他人帮助,这有助于团队成员之间建立良好的人际关系,增强团队成员间的感情[30-32],进而增强团队成员对团队的情感依赖和认同[33]。其次,团队亲社会动机强调共享的团队身份,激发成员对团队目标的认同[31]。换言之,在亲社会动机驱动的团队中,成员具有相似甚至相同的价值观和工作目标。社会分类理论[34]及相关实证研究均表明,价值观相似的团队成员会对团队产生更强的承诺感和认同感[35]。因此,亲社会动机有助于团队成员认同集体使命和目标,进而强化其情感承诺。由此,提出以下假设:
H3a:亲社会动机与团队情感承诺正相关。
团队情感承诺能强化团队成员的内部动机,激发其工作积极性,为实现团队目标而努力,进而提高团队创造力,以往的研究也表明团队情感承诺可以提高员工绩效[33]。此外,已有研究表明,情感承诺较高的团队成员会较少感受到压力和工作与家庭冲突[33],始终保持积极良好的心态,并体现在团队工作中,为团队创造力实现营造良好的环境。基于社会交换理论[36],团队为成员提供良好的情感支持、工作回报等,团队成员会以各种形式回馈团队,如更努力工作、帮助团队其他成员或表现出更多的组织公民行为等[37]。特别地,在帮助他人的过程中,团队成员更有可能从他人的角度理解问题,结合自己的知识、经历和技能,产生更多创意想法。由此,提出以下假设:
H3b:团队情感承诺与团队创造力正相关。
如前所述,团队亲社会动机强调团队集体利益,有助于增强团队成员的认同感和情感承诺,而高水平的团队情感承诺通过强化团队整体的内在动机、激发团队成员的观点采纳行为,为团队创造力实现提供了保证。由此,提出以下假设:
H3c:团队情感承诺在团队亲社会动机和团队创造力的关系中发挥中介作用。
本研究采用问卷调查法收集数据,研发团队样本为山东、陕西等地区的企业。问卷分为两部分,第一部分由团队的直接领导填写,问题包括团队成立年限、规模和团队整体创造力;第二部分由团队成员填写,问题包括性别、年龄、教育程度等人口统计学特征,以及感知的亲社会动机、知识整合和团队情感承诺。不同的数据来源可以有效降低共同方法偏差。
参与本次调研的研发团队共有67个,团队领导67名,团队成员302名。对回收问卷进行筛选,得到可用于进一步实证分析的样本团队数量为50个,包括205个团队成员和50个团队领导的数据。团队平均问卷数量为4.10份,问卷有效率为69.11%。样本团队平均规模6.78人,团队回收率均值为60.47%。样本结构如下:女性占22.69%,平均年龄为29.78岁。
为保证测量工具的信度和效度,本研究测量题项选自已有文献中的成熟量表。同时,采用标准回译方法完善题项,以确保问卷设计和语句的恰当性。所涉变量均采用李克特7级量表进行测量。
亲社会动机采用Grant[9]的量表,共4个题项,如“我们团队的成员希望通过自己的工作使其他团队成员获益”等,内部一致性系数Cronbachs′ α为0.85。
知识整合采用Tiwana等[15]的量表,共4个题项,如“在工作中,团队成员的专业知识和技能得到了充分利用”等,内部一致性系数Cronbachs′ α为0.79。
团队情感承诺采用Allen等[39]的量表,共7个题项,如“团队成员关心团队发展,并试图将我们的团队打造成最好的团队”等,内部一致性系数Cronbachs′ α为 0.87。
团队创造力采用Chen[40]的量表,共7个题项,如“我的团队经常提出与任务相关的新点子”等,内部一致性系数Cronbachs′ α为0.89。
本研究选取团队规模、团队成立年限(月)作为控制变量。此外,已有研究发现多样性是团队创造力的重要前因,因而本文将性别多样性、年龄多样性和教育程度多样性作为控制变量。性别(男=1,女=0)和教育程度(专科及以下=1,本科=2,硕士研究生=3,博士及以上=4)均属于类别变量,采用Blau指数[41]进行计算,公式为D=1|∑pi。其中,pi为第i个类别成员占团队成员总数的比重。因为年龄为连续变量,因而选用标准差衡量其多样性水平。
本研究采用AMOS 18和SPSS 20.0进行数据分析,具体分为4个步骤:①对各变量进行描述性统计;②检验测量模型,包括模型拟合度、信度与效度检验;③分析将个体数据聚合到团队层面的可行性;④检验研究假设。
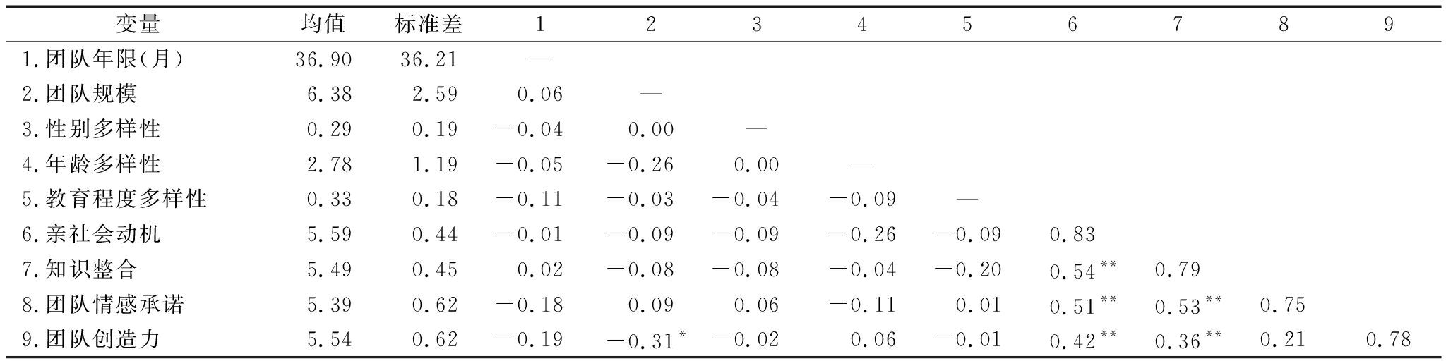
表1给出了各变量的均值、标准差、变量间相关系数以及变量平均萃取方差(Average Variance Extracted,AVE)的平方根。结果显示,团队亲社会动机与知识整合、团队情感承诺和团队创造力均显著相关。
表1描述性统计

注:样本量N=50;*p<0.05;**p<0.01;***p<0.001.对角线上的值为各变量AVE的平方根。
本研究首先利用AMOS 18.0对模型拟合度进行检验,模型拟合度衡量了数据与模型之间的匹配程度。表2显示了四变量模型和单一变量模型的各项拟合指标。
表2的结果显示,四变量(团队亲社会动机、知识整合、团队情感承诺和团队创造力)模型拟合度良好,优于单变量模型,数据与整体模型的匹配程度较高。
表2模型匹配度指标

本研究使用内部一致性信度系数Cronbachs′ α衡量各变量信度。如表3所示,所有变量的Cronbachs′ α系数均高于0.7,说明各变量均具有较好的信度。
同时,本研究利用AMOS 18.0进行验证性因子分析,检验各变量效度,包括聚合效度和区分效度。聚合效度用以检验不同观察题项是否可用以测量同一潜变量,如果某一变量所有测量题项的因子载荷大于0.55,则聚合效度较好;区分效度用以检验不同潜变量是否具有显著差异,如果潜变量AVE值大于0.50,且AVE平方根大于该变量与其它变量的相关系数,则区分效度较好。由表3可知,所有变量测量题项的因子载荷均大于0.55,说明各变量具有较好的聚合效度;每个潜变量的AVE值均大于0.50,且表1显示AVE平方根高于其与其它变量的相关系数,说明变量之间具有较好的区分效度。
表3各变量及题项的因子载荷与信度指标

由于亲社会动机、知识整合和情感承诺等团队层面的变量以个体层面的感知聚合(平均)为基础,因此需要利用聚合指标检验将加总的个体数据代表团队水平的可行性。聚合指标有3个,反映组内一致性的指标Rwg、反映组间差异的指标ICC(1)和反应组间差异稳定性的指标ICC(2)。一般来说,当每个团队的Rwg均值大于0.70,ICC(1)大于0.12时,可将个体层面的数据聚合到团队层面。基于50个团队的聚合检验结果见表4。
表4个体层面测量变量向团队层面聚合的统计指标

如表4所示,亲社会动机、知识整合和团队情感承诺的组内一致性系数rwg均值大于0.7,说明这3个变量的组内一致性程度较高;亲社会动机、知识整合和团队情感承诺的ICC(1)均大于0.12,说明3个变量具有足够的组间差异;亲社会动机、知识整合和团队情感承诺的ICC(2)与文献整理得到的结果相当[42],说明这3个变量具有稳定的组间差异。因此,将个体层面数据聚合到团队层面是合适且合理的。
由于本研究涉及两个中介变量,因此采用Hayes的多重中介方法检验中介效应[43]。具体地,首先检验自变量到中介变量的回归系数ai与中介变量到因变量的回归系数bi(其中,i为第i个中介变量);然后,在此基础上计算间接效应ai*bi的大小及显著性。若ai*bi显著不等于0,则中介变量i的中介效应成立。由于本研究样本量较小,因而采用重复采样(Bootstraping)、以点估计方法解决潜在的偏态分布问题。SPSS 20.0的分析结果见表5(直接效应与路径系数)和表6(中介效应)。
表5直接效应检验

注:样本量N=50;+p<0.10,*p<0.05,**p<0.01,***p<0.001;自变量=团队亲社会动机,因变量=团队创造力
表5结果显示,亲社会动机与团队创造力显著正相关(ΔR2=0.17,β=0.61,p<0.01),H1得到支持;亲社会动机与知识整合显著正相关(β=0.55,p<0.001),H2a得到支持;亲社会动机与情感承诺显著正相关(β=0.67,p<0.001),H3a得到支持;知识整合与团队创造力显著正相关(β=0.28,p<0.01),H2b得到支持;情感承诺与团队创造力的关系边际显著(β=0.12,p<0.10),H3b得到边际支持。
表6中介效应检验结果

注:样本量N=50;p<0.10,*p<0.05,**p<0.01,***p<0.001;BOOTSTRAP=5 000
表6为中介效应检验结果。知识整合与团队情感承诺的间接效应总值为0.33,95%的置信区间(0.02,0.44)不包含0,总间接效应显著。其中,知识整合的间接效应值为0.25,95%的置信区间(0.04,0.46)不包含0,说明知识整合的中介效应显著,H2c得到支持;团队情感承诺的间接效应值为0.08,95%的置信区间(-0.01,0.17)包含0,而90%的置信区间(0.01,0.13)不包含0,因此团队情感承诺的间接中介效应边际显著,H3c得到边际支持。进一步分析发现,知识整合和团队情感承诺的间接效应值为0.17(T=2.01,95%的置信区间为(0.01,0.59)),存在显著差异,即知识整合的中介效应显著高于团队情感承诺的中介效应。
本研究系统、深入地分析和论证了亲社会动机通过知识整合及情感承诺作用于团队创造力的机理。总体来讲,以研发团队为样本的实证结果基本支持本研究提出的假设。具体结论如下:
(1)在研发团队中,亲社会动机正向促进团队创造力,团队亲社会动机解释了17%的团队创造力差异,证实了本研究提出的“亲社会动机对团队创造力的促进作用”假设。动机性信息加工理论指出[8],社会动机会影响团队信息加工过程和绩效。本研究结果证实,在认知动机较高的研发团队中,亲社会动机能够提升团队创造力,印证了动机性信息加工理论的观点。值得注意的是,尽管已有研究表明,适当的任务冲突有利于团队创造力提升,但这与本研究结论并不矛盾。任务冲突的根源是对任务的差异性理解——异质性观点,团队亲社会动机较高并不意味着团队成员之间不存在观点差异,而是亲社会动机能激发团队成员关注集体目标及他人观点和需求,有助于团队成员以建设性、合作性的方式处理冲突、整合异质性观点。由于研发团队需要完成复杂、跨领域任务,其面临的失败风险更高,更需要同伴支持。因此,亲社会动机对研发团队来讲尤其重要。
(2)知识整合在亲社会动机和团队创造力关系中发挥中介作用。该结论表明,亲社会动机作为一种社会输入,促进了团队成员之间观点和知识共享,促使团队成员整合不同的知识和技能,并在他人观点基础上深化、拓展自身观点,从而提高团队整体创造力。团队创造力的产生不仅是一个信息加工过程,也是一个社会化过程,需要团队成员协同努力。如果团队成员过于计较个人得失,而不关心集体目标和他人利益,就会对团队信息加工过程带来负面影响,如知识整合水平下降,整个团队很难表现出高水平的创造力。
(3)团队情感承诺在亲社会动机和团队创造力关系中的中介作用边际显著。虽然情感承诺为团队创造力提供了心理安全氛围、信任关系、共享目标等,但这些有益因素仅是团队创造力形成的保证,而高水平创造力的实现本质上取决于团队信息加工过程。因此,知识整合的中介作用强于团队情感承诺的中介作用。
本研究的理论贡献有如下3点:①本研究首次探讨了作为社会输入的团队亲社会动机如何影响研发团队创造力,是对以往任务动机层面“团队动机—创造力”关系的拓展与深化,为团队创造力研究提供了新思路;②本研究明确了团队亲社会动机影响研发团队创造力的路径,以Muller等[11]的团队过程分类为基础,指出并证实了基于信息加工的知识整合和基于情感的情感承诺的中介作用,打开了二者作用关系的黑箱;③本研究发现,知识整合的中介作用强于团队情感承诺的中介作用,证实了团队信息加工过程的作用更为显著。
本研究对组织创新实践的管理启示有两点: ①研发任务的完成需要团队整体协作,这也是以团队形式开展研发工作的初衷所在。因此,要实现高水平团队创造力,研发团队领导需要思考如何强化团队亲社会动机,将团队目标与成员目标有机结合起来,为团队成员整合知识和观点提供良好、安全的氛围。然而,即便在中国文化背景下,团队亲社会动机也不是凭空产生的。已有研究表明,合作结果互依性[24]和合作目标互依性[23]是团队亲社会动机形成的良好诱因,是工作设计中理应考虑的重要因素;②知识整合和团队情感承诺是团队创造力的直接前因变量,亲社会动机通过知识整合和团队情感承诺影响团队创造力。因此,提高团队知识整合水平和团队情感承诺水平成为团队创造力实现的关键。一方面,团队知识整合需要心理安全、信任关系等环境。在日常工作中,团队领导应致力于建立良好的团队氛围和人际关系,为知识整合创造条件;另一方面,组织可以通过监控团队的知识整合水平,判断是否需要对团队整体的动机氛围、情感状态进行调整和优化。
本研究提出并验证了团队亲社会动机与团队创造力的直接关系,以及基于信息加工的知识整合和基于情感的情感承诺等团队过程对二者关系的中介作用。结果表明:亲社会动机对团队创造力有积极作用,知识整合和团队情感承诺中介了二者的关系,且知识整合的中介作用显著强于团队情感承诺的中介作用。
本研究仍存在以下局限性:①横截面数据使得因果关系检验无从实现;②团队创造力测量仅采用领导打分法,结果难免存在一定主观性;③虽然每个行业、每种工作情境都有发挥创造力的空间,但本研究选用的研发团队样本属于认知动机较强的情景,从而研究结论的适用性可能受到限制。但是,这也意味着团队类型可能在亲社会动机与团队创造力中起到一定的调节作用,未来研究可对此进行拓展。
参考文献:
[1] ZHOU J,HOEVER I J.Research on workplace creativity:a review and redirection[J].Annu.Rev.Organ.Psychol.Organ.Behav,2014,1(1):333-359.
[2] 秦伟平,赵曙明,周路璐,等.企业人力资源管理实践对夸功能团队创造力的跨层影响[J].管理学报,2015,12(1):88-96.
[3] 屈晓倩,刘新梅.信息型团队断裂影响团队创造力的作用机理研究[J].管理科学,2016,29(2):18-28.
[4] 王艳子,白丽莎,李倩.团队领导跨界行为对团队创造力的影响机理:知识管理视角[J].科技进步与对策,2017,34(3):140-146.
[5] HU J,LIDEN R C.Making a difference in the teamwork:linking team prosocial motivation to team processes and effectiveness[J].Academy of Management Journal,2015,58(4):1102-1127.
[6] HOFSTEDE G H.Culture's consequences:comparing values,behaviors,institutions and organizations across nations[M].Thousand Oaks,CA:Sage,2001.
[7] De DREU C K,NIJSTAD B A,VAN KNIPPENBERG D.Motivated information processing in group judgment and decision making[J].Personality and Social Psychology Review,2008,12(1):22-49.
[8] GRANT A M,BERRY J W.The necessity of others is the mother of invention:intrinsic and prosocial motivations,perspective taking and creativity[J].Academy of Management Journal,2011,54(1):73-96.
[9] 李阳,白新文.善心点亮创造力:内部动机和亲社会动机对创造力的影响[J].心理科学进展,2015,23(2):175-181.
[10] LI N,KIRKMAN B L,PORTER C O L H.Toward a model of work team altruism[J].Academy of Management Review,2014,39(4):541-565.
[11] MUELLER J,CRONIN M A.How relational processes support team creativity[M].CREATIVITY IN GROUPS,MANNIX E A,NEALE M A,J A,et al.UK:Emerald Group Publishing Limited,2009:12,291-310.
[12] SHIN S J,ZHOU J.When is educational specialization heterogeneity related to creativity in research and development teams:transformational leadership as a moderator[J].Journal of Applied Psychology,2007,92(6):1709-1721.
[13] PERRY-SMITH J E,SHALLEY C E.The social side of creativity:a static and dynamic social network perspective[J].Academy of Management Review,2003,23(1):89-106.
[14] TIWANA A,MCLEAN E R.Expertise integration and creativity in information systems development[J].Journal of Management Information Systems,2005,22(1):13-43.
[15] PERRY-SMITH J,MANNUCCI P V.From creativity to innovation:the social network drivers of the four phases of the idea journey[J].Academy of Management Review,2017,42(1):53-79.
[16] 刘璇,张向前.团队创造力研究理论评析[J].科技进步与对策,2016,33(2):155-160.
[17] HACKMAN J R.Leading teams:setting the stage for great performances[M].Boston:Harvard Business School Press,2002.
[18] De DREU C K W.Rational self-interest and other orientation in organizational behavior:a critical appraisal and extension of meglino and korgaard[J].Journal of Applied Psychology,2006,91:1245-1252.
[19] NEWELL S,TANSLEY C,HUANG J.Social capital and knowledge integration in an ERP project team:the importance of bridging and bonding[J].British Journal of Management,2004,15(S1):S43-S57.
[20] MEYER J P,ALLEN N J.A three-component conceptualization of organizational commitment[J].Human Resource Management Review,1991,1(1):61-89.
[21] NEININGER A,LEHMANN-WILLENBROCK N,KAUFFELD S,et al. Effects of team and organizational commitment:a longitudinal study[J].Journal of Vocational Behavior,2010,76(3):567-579.
[22] 耿紫珍,刘新梅,沈力.合作目标促进科研团队创造力的机理研究[J].科研管理,2012,33(8):113-119.
[23] De DREU C K W.Cooperative outcome interdependence,task reflexivity,and team effectiveness:a motivated information processing perspective[J].Journal of Applied Psychology,2007,92(3):628-638.
[24] GALINSKY A D,MOSKOWITZ G B.Perspective-taking:decreasing stereotype expression,stereotype accessibility,and in-group favoritism[J].Journal of Personality and Social Psychology,2000,78(4):708.
[25] HOEVER I J,VAN KNIPPENBERG D,VAN GINKEL W P,et al.Fostering team creativity:perspective taking as key to unlocking diversity's potential[J].Journal of Applied Psychology,2012,97 (5):982-996.
[26] WOODMAN R,SAWYER J,GRIFFIN R.Toward a theory of organizational creativity[J].Academy of Management Review,1993,18(2):293-321.
[27] QUINN J B,ANDERSON P,FINKELSTEIN S.Managing professional intellect:making the most of the best[J].The Strategic Management of Intellectual Capital,1998:87-100.
[28] HARVEY S.Creative synthesis:exploring the process of extraordinary group creativity[J].Academy of Management Review,2014,39(3):324-343.
[29] GRANT A M.Relational job design and the motivation to make a prosocial difference[J].Academy of Management Review,2007(32):393-417.
[30] ALGOE S B,HAIDT J.Witnessing excellence in action:the 'other-praising' emotions of elevation,gratitude and admiration[J].Journal of Positive Psychology,2009(14):105-127.
[31] DE DREU C K W,WEINGART L R,KWON S.Influence of social motives on integrative negotiation:a meta-analytical review and test of two theories[J].Journal of Personality and Social Psychology,2000(78):889-905.
[32] GRANT A M,PATIL S V.Challeging the norm of self-interest:minority influence and transitions to helping norms in work groups[J].Academy of Management Review,2012,37:547-568.
[33] MEYER J P,STANLEY D J,HERSCOVITCH L,et al.Affective,continuance,and normative commitment to the organization:a meta-analysis of antecedents,correlates,and consequences[J].Journal of Vocational Behavior,2002,61(1):20-52.
[34] TURNER J C.Rediscovering the social group:a self-categorization theory[M].New York:Blackwell Publishers,1987.
[35] VAN DER VEGT G S,VAN DE VLIERT E,OOSTERHOF A.Informational dissimilarity and organizational citizenship behavior:the role of intrateam interdependence and team identification[J].Academy of Management Journal,2003,46:715-727.
[36] ADAMS J S.Inequity in social exchange[J].Advances in Experimental Social Psychology,1965,2(4):267-299.
[37] 王端旭,朱晓婧,王紫薇.团队承诺影响研发人员创造力的实证研究:知识共享为中介变量[J].科学学与科学技术管理,2009,30(12):184-187.
[38] ALLEN N J,MEYER J P.The Measurement and antecedents of affective,continuance and normative commitment to the organization[J].Journal of Occupational Psychology,1990,63(4):1-18.
[39] CHEN M H.Understanding the benefits and detriments of conflicts on team creativity process[J].Creativity and Innovation Management,2006,15(1):105-116.
[40] BLAU P M.Inequality and heterogeneity:a primitive theory of social structure[M].New York:Free Press,1977.
[41] ZHANG Y,FANG Y,WEI K,et al.Cognitive elaboration during wiki use in project teams:an empirical study[J].Decision Support Systems,2013,55(3):792-801.
[42] HAYES A F.Introduction to mediation,moderation,and conditional process analysis:a regression-based approach[M].Guilford Press,2013.
Zhang Xiaojie,Liu Xinmei
(School of Management,Xi′an Jiaotong University,Xi′an 710049,China)
Abstract:Prosocial motivation has a special value and significance in China,where collective-culture is dominant.Thus,the present study aims to reveal how prosocial motivation influences team creativity through informational-based knowledge integration and affect-based team commitment.Using data from 50 R&D teams,we found that 1) team prosocial motivation is significantly and positively related to team creativity,2) knowledge integration and team affective commitment mediate the relationship between team prosocial motivation and team creativity,and 3) the indirect effect of knowledge integration is stronger than that of team affective commitment.
KeyWords:Team Prosocial Motivation; Team Creativity; Knowledge Integration; Team Affective Commitment; R&D Teams
DOI:10.6049/kjjbydc.2017070579
中图分类号:F272.90
文献标识码:A
文章编号:1001-7348(2018)11-0139-08
收稿日期:2017-10-16
基金项目:国家自然科学基金项目(71402138)
作者简介:张晓洁(1987-),女,山东淮坊人,西安交通大学管理学院博士研究生,研究方向为知识管理、个体与团队创造力、中国本土化管理;刘新梅(1962-),女,河北沧州人,博士,西安交通大学管理学院教授、博士生导师,研究方向为创造力与服务创新。
![]()
(责任编辑:林思睿)