刘国巍1,2,张停停2
(1.桂林航天工业学院 管理学院;2.桂林航天工业学院 产学研协同创新与创业研究中心,广西 桂林 541004)
摘要:针对创新网络空间格局如何形成及演化的问题,基于多元邻近视角剖析创新网络空间格局形成机理,运用Agent理论设计仿真算法,并基于Netlogo构建创新网络空间格局演化仿真平台。通过模拟实验发现:①多元邻近更有利于创新网络区域内、外部合作共生,且(跨区、内部)合作边数与区域面积、毗邻距离呈正、负相关;②社会邻近或技术邻近更有利于创新网络产生(绝对)空间集聚,且集聚态势与区域位置中心性呈正相关;③创新网络空间格局呈现随机型至斑块型(或均匀型)的动态演化趋势,且社会邻近或技术邻近更有利于创新网络产生均匀型空间格局,地理邻近或多元邻近更有利于创新网络产生斑块型空间格局;④地理因素作用下的创新网络(空间格局)仍保持幂律分布特性;⑤斑块型空间格局的创新绩效高于均匀型,且多元邻近下斑块型空间格局的创新绩效最高。
关键词:创新网络;空间格局;形成机理;演化仿真;邻近性
随着复杂网络研究的不断深入,网络空间演化成为学者们关注的焦点[1-2]。创新网络作为一种多主体交互、多资源流动、多规则联结的社会网络,诸多学者通过仿真发现其具有鲁棒性、无标度性、小世界性等复杂网络特征,并实证检验了创新网络连接规则的复杂性,但这些研究囿于相对空间,较少考虑绝对空间。如何运用相对空间尺度与绝对空间尺度统一创新网络测量,挖掘网络空间演进规律,成为网络空间演化研究的关键。“空间格局”的概念源于生态学,从生态现象地理(坐标)位置的绝对空间尺度和物种、种群、群落等邻体间拓扑关系的相对空间尺度描述地理要素的空间分布与配置,能有效表征创新网络拓扑结构相对空间和地理位置绝对空间的内在统一[3]。因此,研究创新网络空间格局的形成与演化具有十分重要的理论和现实意义。目前,关于创新网络空间的研究主要集中在以下几个方面:
(1)创新网络相对空间。有学者基于组织信息关联维度、网络结构计量(结构洞、幂律分布、小世界、权利分布)等视角隐喻提出相对空间层面的创新网络结构演化问题[4-6],采用社会网络分析、多主体仿真建模等方法剖析创新网络拓扑结构特征的变化,准确描述了网络“多样-协同-整合”的系统特性[7],探究了网络空间结构的有序递进规律[8-9]。
(2)创新网络绝对空间。20世纪末,Krugman发表的新经济地理学著作为区域资源空间集聚和产业扩散研究奠定基础。随后,诸多学者运用空间计量模型探讨了区域创新(集聚)效率和(知识)溢出问题,揭示了影响创新空间演化的序参量空间关联集聚现象[10-11],推动了绝对空间层面的(创新)系统结构研究进展[12]。有学者进一步提出地理空间因素对创新网络发展至关重要的观点,并运用空间计量模型验证了创新网络绝对空间的作用[13]。
(3)相对空间和与绝对空间整合。早期的物理学界认为,绝对空间和相对空间是对立的、矛盾的,随着空间内涵研究逐步深入、学科范畴日益扩展,一些人文地理学、艺术(空间展示)设计和区域(区位选择)经济学者认为二者之间是一种对立统一的辩证关系,即任何相对空间的存在都是以绝对空间为基础[14-15]。空间具有多样性、层级性、系统性特征,空间(格局)作为系统存在的客观形式,既体现了系统的自然实体(地理空间),又表达了元素之间关联关系的聚合形态(相对空间,Relative Geographical Space)。因此,创新网络空间演化体现为,在一定地理空间(背景)内,拥有多样性资源的不同创新主体基于关联关系(合作模式)而形成的小群体聚合及核型结构涌现等网络空间集聚(现象)。可见,学者们已深入研究了创新网络相对空间和绝对空间的分异规律,但鲜有学者进一步开展相对空间与绝对空间的整合(空间格局)研究。
基于此,本文运用生态学“空间格局”思路探讨创新网络相对空间与绝对空间的有机整合,剖析多元邻近视角下创新网络空间格局形成机理,借助多主体仿真方法揭示创新网络空间格局演化规律,以系统、深入地把握创新网络空间演化动力。
(1)多元邻近。邻近性原指(人际)吸引研究中两个个体的场景(如住所、教室座位、工作场所等)邻近,且物理距离(空间位移)越近,二者因重复接触而交往的可能性越大。地理经济学家引入邻近性用以解释不同区域空间集聚的动因,并将其划分为注重空间辐射范围(绝对空间)研究的一般层面和注重组织邻近程度(相对空间)的二元层面[16]。也有学者进一步以地理、社会(经济、认知、制度)、技术等邻近性设定空间计量经济模型中的空间(组合)权重,实现了多元邻近的有机融合[17],为创新网络组织多元邻近性研究奠定了基础。据此,本文认为,创新网络的多元邻近性是指创新网络节点间地理距离邻近、社会关系邻近和技术相似邻近等的有机整合,该概念能有效解释反映创新网络拓扑结构关系等相对空间和网络地理位置等绝对空间的复杂“空间格局”的形成过程。
(2)空间格局。Fowler[18]认为,格局是“规则的形式和次序”。Wiens[19]认为空间格局与范围(区域面积)和粒径(取样单元大小)直接相关,并受其限制。空间格局的相关研究主要集中在人口分布、城市体系、生态效率、产业结构等领域,关注不同事物在地理空间中的分布形态、分布方式和分布格局,鲜有研究探讨复杂网络的空间格局[20-21]。然而,诸多复杂网络研究学者认为,网络空间演化是复杂网络面临的重要问题[22]。创新网络空间演化不仅体现在拓扑结构的相对空间演化过程中,也与地理因素关系紧密,呈现出包含相对时空和绝对时空的空间格局演化态势。由此可见,开展创新网络空间格局研究十分必要。本文认为,创新网络空间格局是以确定的空间范围和取样单元大小为基础,并依据不同(创新连接)规则而形成的(空间)形式和次序,其能有效表征创新的区域协同态势。
生态学者在空间格局相关研究中,发现格局与过程存在反馈机制,即初始空间格局(如植被类型分布)在(火、干旱、放牧等)随机过程作用下形成新格局,而新格局又为随机过程干扰变化创造了条件。鉴于此,创新网络空间格局(相对空间、绝对空间)也会在多元邻近性导向下,受随机过程(连接机制)反馈作用而产生新格局,创新网络空间格局形成机理如图1所示。
(1)创新网络初始空间格局分割。地理空间是物质、能量、信息数量及行为在地理范畴中的广延性存在形式,可划分为绝对空间和相对空间。其中,绝对空间是一个清晰、自然的地理实体;相对空间是事件之间关联关系的聚合形态。任一给定的创新网络(初始空间格局)必然具有区域性,呈现出一定的网络拓扑结构,故可将其分割为创新网络绝对空间和相对空间两部分。创新网络绝对空间是指,在某地理研究范围内,基于地理边界划分的创新网络子网络隶属区域(取样单元)的地理位置(坐标)信息空间;创新网络相对空间是指,在绝对空间基础上,由创新网络子网络节点间(项目合作、联合发明、攻关课题等)连接形成的聚合形态(拓扑结构)。

图1 创新网络空间格局形成机理
(2)多元邻近导向下随机过程的作用。随机过程是空间格局演化的根本动因,邻近性是影响地理空间集聚态势的关键因素,而连接机制是创新网络演化的微观动力,故多元邻近下的连接机制是推动网络空间格局形成和演化的随机过程(核心序参量)。这一机制的作用路径为:①地理邻近下的区域内连接机制促使节点优先在区域内选择合作伙伴,导致网络绝对空间集聚态势涌现;②社会邻近下的连接机制促使节点在区域外选择合作关系广泛的创新伙伴,导致网络相对空间拓扑结构演化;③技术邻近下的连接机制促使节点在区域外选择技术研发实力强的合作伙伴,导致网络相对空间拓扑结构演化;④多元邻近下的连接机制以组合赋权的形式集成上述3种机制,在全局或局域选择合作伙伴,导致网络绝对空间集聚和相对空间拓扑结构演化。上述4种机制均随机发生,体现了过程的随机性。
(3)创新网络新格局的产生。在随机过程(连接机制)作用下,创新网络绝对空间集聚、相对空间演化有机融合,共同形成新的网络空间格局。融合路径为:①明晰网络绝对空间的集聚态势,明确网络相对空间的拓扑结构特征(如相连边、相依边分布状况);②构建包含相对空间拓扑结构特征的绝对空间集聚(如包含相依边的空间权重)测度模型;③基于测度模型剖析网络空间格局集聚态势,据此判断产生的新格局类型(如斑块、均匀、随机)。
2.1.1 Agent类型、基本属性和交互行为确定
创新网络拓扑结构包括网络节点(创新主体)和连边(合作关系)两类主体,故构建创新主体Agent1和合作Agent2两类相对空间多主体。其中,Agent1的基本属性包括主体ID、区域ID、合作策略(积极、消极和不合作)、创新绩效、期望收益比、收益损失比、固定成本、状态阈值;Agent2的基本属性则包括连边ID(区域内合作f=0、区域外合作f=1)、连接机制(度择优0.5<gz≤1、实力择优0≤gz<0.5和随机组合择优gz=0.5)[23]。同时,地理因素也是创新网络空间格局构成的另一环境主体,故构建地理环境Agent3绝对空间多主体,其基本属性包括地理研究范围、空间取样单元(粒径大小)、邻近性(地理邻近、社会邻近、技术邻近和多元邻近)。本文进一步将图1所示的创新网络空间格局形成机理转化为Agent复杂交互行为“微观-宏观”关系逻辑,如图2所示。

图2 Agent复杂交互行为
2.1.2 Agent复杂交互系统模型构造
基于多类Agent复杂交互行为(图2),本文构造创新网络空间格局Agent复杂交互系统模型<M,{Ai},G,K,S,R>6元组。其中,M为参与交互的Agent集合{Agenti},i=1,2,3;{Ai}为每个Agenti的动作集合,且{A1}={A11按连接机制选择合作伙伴,A12合作策略制定,A13收益调整},{A2}={连接机制的制定}={度择优,实力择优,随机组合择优},{A3}={邻近规则的制定}={地理邻近,社会邻近,技术邻近,多元邻近},故Agent1之间的交互行为A11发生在Agent3采用{A3}动作、Agent2采用{A2}动作的情况下,即考虑在区域内或区域外合作(f=0或f=1)条件下选择合作伙伴的连接机制。
此外,G为系统任务,包括起止时间、空间格局演化;K为系统知识,且Agent1的技术、市场知识积累量为
和
为技术、市场因素对技术知识自增长的作用系数,n为与本体Agent1建立合作关系的其它Agent1集合,每个Agent1的知识积累量之和为系统整体知识存量;S为系统状态,反映不同时刻网络空间格局的宏观涌现;R为指导Agenti交互与协调的行为规则,即观察者以此对模型参数进行设计和赋值调整。
上述模型{A2}中的度择优、实力择优是指,Agent1选择节点度最大、实力最强的Agent1建立合作关系,随机组合择优则是利用发生概率q1、q2对度择优和实力择优两种基本连接机制进行组合,且q1∈[0,1],q1+q2=1;{A3}中地理邻近是指Agent1在取样单元内部(区域内f=0)(按照3种连接机制)选择合作伙伴,社会邻近和技术邻近是指,Agent1在地理范围内(区域外f=1)(按照度择优、实力择优连接机制)选择合作伙伴,而多元邻近则是利用发生概率p1、p2、p3对地理邻近、社会邻近和技术邻近3种邻近规则进行组合,且p1∈[0,1],p2∈[0,1-p1],p3=1-p1-p2,p1+p2+p3=1。
假设节点i与j在研发合作过程中的努力程度与合作双方的技术知识势差
成正比,则网络节点合作策略A12的变化遵循“IF-THEN”适应规则,如Ifi、j节点策略均为“积极合作”
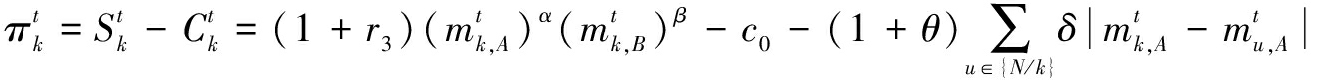
策略不变,其它规则不再赘述。为了描述A13收益调整情况,本文假设网络节点k在[t,t+1]期间内的创新净收益为:
![]()
(1)
式(1)中,A、B为技术知识和市场知识,且创新收益与A、B积累量符合柯布-道格拉斯生产函数关系;α、β为A、B知识对创新收益的贡献率,且α+β=1;r3为创新网络绩效自增长系数;c0为节点内部成本;δ为增加1单位知识存量的成本;N/k集合表示与节点k相连接的节点集合;θ为与节点k连通且采取消极合作策略的节点数与全部连通节点数之比。
2.1.3 算法步骤
Step1:t=0,初始化给定地理范围、取样空间单元(Agent3)和创新网络G=(V,E),并设定网络节点(Agent1)、网络连边(Agent2)的属性值;
Step2:判断该网络中节点
(η=1,2,3,分别表示积极合作、消极合作、不合作3种节点策略)的策略选择以及连边状况;
Step3:利用A12判断网络节点策略变化及连边是否消失,利用A11、{A2}、{A3}调整网络连边的变化,若节点
无连边且策略选择为η=3,则依随机概率判断其是否退出网络;
Step4:根据K计算
和
的技术知识势差
知识积累量
根据A13计算创新收益
且k=i,j;
Step5:若节点退出网络且其创新收益
大于给定阈值(Threshold),那么退出节点将根据随机概率决定是否重新加入网络并判断重新合作策略;
Step6:设定新增节点数量,并利用{A1}根据概率q与网络中原节点连边;
Step7:t=t+1,转Step2,直至达到预设的试验次数(或时间步长),结束。
2.2.1 平台开发
创新网络空间格局演化仿真至少需要创新主体和地理环境两个层次的交互仿真建模,传统计算仿真工具(如MATLAB)难以解决这类建模问题,而多主体仿真具有较好的适用性。NETLOGO是目前应用较为广泛的多主体仿真建模工具,其特有的“海龟和瓦片”交互设计思路为创新网络空间格局演化仿真奠定了基础。因此,本文运用NETLOGO软件开发创新网络空间格局演化仿真平台,该平台包括初始网络布局、参数设置与赋值和可视化3个区域。
空间尺度至少包括地理研究范围(研究区大小)和取样单元(取样粒径)两部分,故设计合理的空间尺度是平台开发的关键。O'Neill等[24-25]建议研究范围设定应比所研究的最大生态过程范围大2~5倍,取样单元应比所研究的斑块或其它特征小2~5倍。本文的创新网络包括区域内和区域间两类连边,且空间尺度设计与地理邻近性直接相关,故本文认为最大“生态过程”体现为毗邻地理区域间的连边。据此,设计界定创新网络地理研究范围,该界面包括白(white)、黄(green-11)、紫(red+101)3块区域(黄色地理位置居中且紫色面积最大、黄色次之、白色最小),其是毗邻区域质心距离的2倍以上,且取样单元为研究范围(整体空间集聚斑块)的1/3,符合研究范围和空间单元的设计要求。
2.2.2 实验设计
科学的实验范式设计是有效揭示实验规律的前提,故本文在明晰实验目的的基础上,采用对比实验分析方法设计4类实验,如表1所示。
表1模拟实验设计

注:f=2表示在区域内或区域外随机连边,即若随机数小于p1=0.5则在区域内连边,若随机数小于p2+p3=0.5则在区域外连边,且若随机数小(大)于gz=0.5则节点偏好于度(实力)择优连接机制
3.1.1 基于拓扑结构的相对空间演化
本文随机给定一个初始网络,按照表1分别进行4类模拟实验(1-4),设定每类实验次数为50次。经过500时间步长,得到4类模拟实验的不同邻近性视角下创新网络拓扑结构。研究发现:地理邻近下的创新网络各区域子网络内部合作关系密集度较高、区域之间连接较少,其基于取样单元(分区)涌现出区内合作“分层”现象;社会邻近与技术邻近下的创新网络跨区合作关系显著、区内合作较少,涌现出更多的“跨界”现象;多元邻近下的创新网络跨区合作和区内合作关系均显著,涌现出区域内、外合作“共生”现象。
为科学、准确地揭示创新网络空间格局演化规律,本文统计每类50次模拟实验的均值结果,并基于创新网络跨区合作和区内合作连边分布状况,进一步探讨创新网络相对空间的演化规律。研究发现:社会邻近、技术邻近和多元邻近下的跨区合作显著强于地理邻近,而地理邻近、多元邻近下的区内合作显著强于社会邻近和技术邻近,故多元邻近下的创新网络跨区合作和区内合作均较为显著。进一步研究多元邻近下合作连边分布状况发现,“黄-紫”跨区合作边数显著高于“白-黄”、“白-紫”,黄、紫区内合作边数显著高于白色区域,表明多元邻近导向下区域(地理)面积越大、越毗邻,越容易建立跨区合作和区内合作。基于此,得到如下结论:
结论1:多元邻近更有利于创新网络区域内、外部合作共生,且(跨区、内部)合作边数分别与区域面积、毗邻距离呈正、负相关。
3.1.2 基于空间集聚的绝对空间演化
序参量是表征创新网络空间演化的核心变量。诸多学者认为网络密度是解释网络进化的科学依据,高密度代表联系频繁、资源丰富、知识集中[26-27]。故本文认为网络密度是创新网络空间格局演化的序参量。于是,设创新网络G整体密度
和区域创新网络Gi(i=1,2,3)密度σi=2Vi/(Ni*(Ni-1))为反映创新网络绝对空间演化的核心指标。然后,基于网络密度
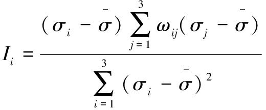
和σi,采用Morans'I指数测度创新网络绝对空间集聚状况Ii,据此判断空间演化态势。Morans'I指数计算公式为:

(2)
式(2)中,ωij为创新网络空间权重矩阵W元素值。W矩阵包括空间邻接和空间距离,本文采用经典的空间(一阶)邻接权重设定方法,即区域间直接毗邻则ωij=1,否则ωij=0。依据上述网络密度和Morans'I计算公式,基于4类模拟实验50次均值结果,运用OriginPro 8重绘仿真效果图,得到图3(a)-(d)和(e)-(f)所示的不同邻近性视角下创新网络绝对空间集聚态势。其中,midu、jueduiMoransI标题图分别反映了不同邻近视角下创新网络整体密度和区域子网络密度、各子区域Morans'I指数分布,且“white”、“green-11”、“red+101”分别表示白、黄、紫3个区域子网络密度、Morans'I指数值分布。

图3 创新网络绝对空间集聚态势
图3中,(a)、(d)密度值明显高于(b)、(c),表明地理邻近、多元邻近下的合作密度显著高于社会邻近、技术邻近;(f)、(g)的Morans'I指数明显高于(e)和(h),表明社会邻近和技术邻近下的区域网络相比地理邻近、多元邻近更容易产生空间集聚。深入研究(f)、(g)发现,“green-11”的 Morans'I指数显著高于“white”和“red+101”,表明处于“承上启下”位置的黄色中间区域与毗邻区域形成了“高-高”或“低-低”的空间集聚态势,表明区域网络的地理位置越居中,越容易与毗邻区域产生空间依赖,越有利于与毗邻区域产生空间集聚。事实上,图3(e)和(h)中“green-11”的 Morans'I指数相对较高,同样符合这一特征。综合上述分析,得到如下结论:
结论2:社会邻近或技术邻近更有利于创新网络产生(绝对)空间集聚,且集聚态势与区域位置中心性呈正相关。
3.2.1 创新网络空间格局演化趋势分析
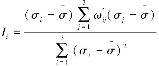
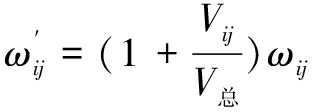
为了有效分析创新网络空间格局演化趋势,表征创新网络的拓扑结构相对空间和地理位置绝对空间的内在统一,本文基于跨区合作边数和空间(一阶)邻接权重构建相对空间和绝对空间耦合的空间格局动态权重矩阵W′:
且![]()
(3)
式(3)中,
为创新网络空间格局动态权重矩阵W′元素值,ωij为创新网络空间(一阶)邻接权重矩阵W元素值,Vij为创新网络i和j区域之间的跨区合作边数,V总为创新网络总边数。由此,本文构建如下Morans'I指数测度创新网络空间格局演化态势:

(4)
基于上述Morans'I公式,以及4类模拟实验50次均值结果,得到图4(a)-(d)所示的不同邻近性视角下创新网络空间格局集聚态势。其中,gejuMoransI标题图反映了不同邻近视角下创新网络各子区域空间格局的Morans'I指数分布,“white”、“green-11”、“red+101”分别表示3个子区域空间格局的Morans'I指数值分布。

图4 创新网络空间格局集聚态势与(景观)格局类型
图4中,(b)、(c)的Morans'I指数显著高于(a)和(d),结论2仍然成立。进一步研究发现,(b)、(c)中的Morans'I指数均按“green-11”、“red+101”、“white”递减排列且指数值相差不大,表明社会邻近或技术邻近下的创新网络形成了以“green-11”为中心集聚的均匀型空间格局(见图4(f)、(g)),且这种格局在短时间段(t=50)内便脱离了随机波动(随机型空间格局)快速涌现的格局演进趋势,表明社会邻近或技术邻近有利于创新网络空间格局产生随机型至均匀型的演化趋势;(a)和(d)中“green-11”和“white”的Morans'I指数均(大部分)大于0,但“red+101”趋于0,表明“green-11”和“white”产生了空间集聚,“red+101”与“green-11”、“white”产生了空间差异,此时创新网络形成了局部空间集聚的斑块型空间格局(见图4(e)、(h)),且这种格局在经历了较长时间(地理邻近t=180、多元邻近t=350)的随机波动(随机型空间格局)后才形成,表明地理邻近或多元邻近有利于创新网络空间格局产生随机型至斑块型的演化趋势。综合上述分析,得到如下结论:
结论3:创新网络空间格局呈现随机型至斑块型(或均匀型)的动态演化趋势,且社会邻近或技术邻近更有利于创新网络产生均匀型空间格局,地理邻近或多元邻近更有利于创新网络产生斑块型空间格局。
3.2.2 创新网络空间格局涌现特性分析
为进一步考察创新网络空间格局的复杂特征,本文通过实验1-4得到不同邻近性视角下创新网络空间格局幂律特征分布,研究发现:在t=500时间步长、双对数(横轴表示节点度、纵轴表示出现概率)坐标系中,无论是均匀型或斑块型空间格局下的创新网络都涌现出一定的幂律分布特性,表明考虑(绝对空间)地理因素的创新网络结构(相对空间)仍然保持幂律分布。因此,得到如下结论:
结论4:地理因素作用下的创新网络(空间格局)仍保持幂律分布特性。

图5 创新网络空间格局的创新绩效
为了考察创新网络空间格局的功能特征,本文基于4类模拟实验50次均值结果,得到图5(a)-(d)所示的不同邻近性视角下创新网络空间格局的创新绩效,chuangxinshouyi标题图反映了t=500时间步长内网络所有节点创新净收益的平均值(创新绩效)变化。由图5可知,不同空间格局类型下的创新绩效存在一定差异性,且(a)、(d)的创新绩效在演化初期、成熟期的t<100、t>400时明显高于(b)、(c),且(d)的创新绩效在t>400时仍呈上升趋势,预示了多元邻近下的斑块型空间格局创新绩效将持续增高,斑块型空间格局的创新绩效(均值)将高于均匀型。因此,得到如下结论:
结论5:斑块型空间格局的创新绩效高于均匀型,且多元邻近下的斑块型空间格局创新绩效最高。
一些学者在对我国装备制造业及广西电子信息产业创新网络进行实际研究分析后发现:地理邻近是创新网络形成的基础,社会邻近成为寻求创新合作伙伴的重要方式,地理邻近和社会邻近的动态耦合推动了创新网络发展,形成了不同产业创新空间集聚状态[28-29];我国区域创新水平表现出较强的空间相关性,并且具有“核心-边缘”结构(非均衡的斑块型空间格局)特征的区域合作创新网络产生较高的创新绩效[30]。以上研究结论在一定程度上印证了本研究仿真分析的实际性与合理性。
本文从绝对空间和相对空间整合的全新视角理解创新网络,揭示了创新网络空间格局形成的多元邻近机理和演化规律;以“地理分区-网络结构”多尺度交互特征的多主体仿真模型作为创新网络空间格局演化趋势预测工具,为创新网络和空间模拟提供了新思路和新方法;基于跨区合作边数和空间邻接权重构建相对空间和绝对空间耦合空间格局动态权重矩阵,将其引入Morans'I指数,测度创新网络空间格局演化态势。研究发现:多元邻近更有利于创新网络区域内、外部合作共生,更有利于创新网络产生斑块型空间格局,且多元邻近下的斑块型空间格局创新绩效最高;社会邻近或技术邻近更有利于创新网络产生绝对空间集聚,更有利于创新网络产生均匀型空间格局,但均匀型空间格局的创新绩效低于斑块型;创新网络空间格局呈现随机型至斑块型(或均匀型)的动态演化趋势,且在地理因素作用下的创新网络(空间格局)仍保持幂律分布特性;创新网络(区内、跨区)合作边数分别与区域面积、毗邻距离呈正、负相关,且空间集聚态势与区域位置中心性正相关。
“空间演化”作为网络科学理论最前沿的课题备受学者关注,但现有创新网络研究仍以“拓扑网络”理论框架为基础,着重于分析网络结构、关系强度等相对空间问题,对包含地理(坐标、分区等)因素的绝对空间和相对空间的整合研究相对较少。本文首次引入生态学中有效表达绝对空间和相对空间整合的“空间格局”理论,尝试构建创新网络“空间格局”模型,并运用多主体仿真方法测度绝对空间和相对空间协同的格局态势,丰富了创新网络理论,拓展了空间统计应用层面与计量理论体系,实现了创新理论、复杂网络理论、空间计量分析和生态学的对立统一。
本文的研究结果对创新网络、空间计量相关理论具有一定参考价值,对我国协同创新实践也有一定指导意义:①政府部门应利用补贴、减税等激励措施优先发展具有资源、技术等绝对优势的(斑块)毗邻地区,如京津冀协同区域,而后利用成果转化、人才引进等知识扩散渠道鼓励斑块区域向经济腹地溢出知识和技术,培育区域协调“效率-公平”均衡意识;②处于地理范围(如国家、省、市)中心位置区域(如省、市、县)的政府部门,应充分发挥与各毗邻区域距离近的地缘优势,利用联合攻关课题、联合申请专利等开放政策消除跨区域合作障碍,鼓励区域内和区域外的企业、大学及研究所等创新主体建立更多跨区合作关系,以占据地理范围内资源和技术的信息“枢纽”区位。
参考文献:
[1] 马双,曾刚,吕国庆.基于不同空间尺度的上海市装备制造业创新网络演化分析[J].地理科学,2016,36(8):1155-1164.
[2] 刘国巍.产学研合作创新网络时空演化模型及实证研究——基于广西2000-2013年的专利数据分析[J]. 科学学与科学技术管理,2015,36(4):64-74.
[3] MARIE J F.空间分析——生态学家指南[M].北京:高等教育出版社,2014.
[4] YLI R H,AUTIO E,SAPIENZA H J.Social capital:knowledge acquisition,and knowledge exploitation in young technology-based firms[J].Strategic Manament Journal,2001,22(6-7):5870-613.
[5] PEREZ M P, SANCHEZ A M. The development of university spin offs: early dynamics of technology transfer and networking [J]. Technovation, 2003, 23(10):823-831.
[6] GUAN J Q, ZHAO Q J. The impact of university-industry collaboration networks on innovation in nanobio pharmaceuticals [J]. Technological Forecasting and Social Change, 2013, 80(7):1271-1286.
[7] LILJEROS F, EDLING C R, AMARAL L A N, et al. The web of human sexual contacts [J].Nature,2001,411(6840):907-908.
[8] MOLDOVENANU M C, BAUM J A, ROWLEY T J.Information regimes, information strategies and the evolution of inter-firm network topologies[J].Emerald Group Publishing Limited,2003,2:221-264.
[9] HERMANS F, APELDOOM D, STUIVER M, et al. Niches and networks: explaining network evolution through niche formation processes [J]. Research Policy, 2013,42(3):613-623.
[10] 张玉明,李凯.省际区域创新产出的空间相关性研究[J].科学学研究,2008,26(3):599-665.
[11] LESAGE J P, FISCHER M M, SCHERNGELL T. Knowledge spillovers across europe: evidence from a poisson spatial interaction model with spatial effects [J]. Papers in Regional Science,2007,86(3):393-421.
[12] 翟仁祥,李敏瑞.中国海洋产业结构时空分异研究[J].数学的实践与认识,2011,41(19):44-51.
[13] 刘国巍.创新网络结构资本、空间溢出及滞后效应[J].技术经济与管理研究,2017(2):8-13.
[14] 许超,刘华年.展示设计(第2版)[M].长沙:湖南大学出版社,2011:26-27.
[15] 孙海军,张素蓉,董金环.经济区域形成研究[M].北京:中国财富出版社,2011.
[16] KNOBEN J,OERLEMANS L A G.Proximity and inter-organizational collaboration:a literature review[J].International Journal of Management reviews,2006(8):71-89.
[17] 余泳泽,刘大勇.我国区域创新效率的空间外溢效应与价值链外溢效应——创新价值链视角下的多维空间面板模型研究[J].管理世界,2013(7):6-20.
[18] FOWLER H W,FOWLER F G.The concise oxford dictionary of current English[M].Oxford:Oxford University Press,1976.
[19] WIENS J A.Spatial scaling in ecology[J].Functional Ecology,1989(3):385-397.
[20] 邓羽,刘盛和,蔡建明,等.中国省际人口空间格局演化的分析方法与实证[J].地理学报,2014,69(10):1473-1486.
[21] 鲍超,陈小杰.中国城市体系的空间格局研究评述与展望[J].地理科学进展,2014,33(10):1300-1311.
[22] 周涛,张子柯,陈关荣,等.复杂网络研究的机遇与挑战[J].电子科技大学学报,2014,43(1):1-5.
[23] 曹霞,刘国巍.基于博弈论和多主体仿真的产学研合作创新网络演化[J].系统管理学报,2014,23(1):21-29.
[24] O'NEILL R V,HUNSAKER C T,TIMMINS S P,et al.Scale problems in reporting landscape pattern at the regional scale[J].Landscape Ecology,1996(11):169-180.
[25] O'NEILL R V,RIITTERS K H,WICKHAM J D,et al.Landscape pattern metrics and regional assessment[J].Ecosystem Health,1999(5):225-233.
[26] GILSING V, NOOTEBOOM B, VANHAVERBEKE W, et al. Network embeddedness and the exploration of novel technologies: technological distance, betweenness centrality and density[J]. Research Policy, 2008,37(10):1717-1731.
[27] 曹霞,张路蓬.基于利益分配的创新网络合作密度演化研究[J].系统工程学报,2016,31(1):1-12.
[28] 吕国庆,曾刚,顾娜娜.基于地理邻近与社会邻近的创新网络动态演化分析——以我国装备制造业为例[J].中国软科学,2014,(5):97-106.
[29] 刘国巍,张停停.空间计量视角下创新网络结构资本对产业发展的影响测度——基于“地理-社会”邻近耦合空间权重的回归建模与实验[J].科技进步与对策,2017,34(20):64-71.
[30] 蒋天颖.我国区域创新差异时空格局演化及其影响因素分析[J].经济地理,2013,33(6):22-29.
Liu Guowei1,2,Zhang Tingting2
(1.Guangxi Aviation Logistics Research Center, Guilin University of Aerospace Technology;2.The I-U-R Collaborative Innovation and Entrepreneurship Research Center, Guilin University of Aerospace Technology,Guilin 541004,China)
Abstract:In order to reveal the question that formation and evolution of innovation network spatial pattern, we analyze the formation mechanism of innovation network spatial pattern based on multi adjacent. And agent theory is used to design the simulation algorithm and innovation network spatial pattern evolution simulation platform is built based on NetLogo. Through simulation experiments, we find: ①Multiple proximity is more conducive to cooperation of the internal region and external region of innovation network, and cooperation (cross, internal) number of edges is positive correlation to the regional area while negative correlation to the adjacent distance; ②The social proximity or technology proximity is more conducive to innovation network (absolute) spatial agglomeration, meanwhile the agglomeration and the center of regional position are positive; ③ Innovation network spatial patterns presented the dynamic evolution trend that random type to plaque type (or uniform type), the social proximity or technology proximity is more benefit to innovation network (absolute) engender uniform spatial patterns, while geographical proximity or multiple is more advantage to innovation network produce the plaque type spatial pattern; ④Innovation network(spatial pattern) still maintain a power-law distribution features under the effect of the geographical factors; ⑤The plaque type spatial pattern of innovation performance is higher than the uniform type, and under the multiple proximity innovative performance of the patch type spatial pattern is highest.
KeyWords:Innovation Network;Spatial Pattern; Formation Mechanism; Evolution Simulation; Proximity
收稿日期:2018-02-11
基金项目:国家自然科学基金项目(71764004);广西自然科学基金项目(2015GXNSFBA139258)
作者简介:刘国巍(1985-),男,黑龙江绥化人,博士,桂林航天工业学院管理学院副教授、硕士生导师,产学研协同创新与创业研究中心副教授,研究方向为创新网络、创新地理学;张停停(1985-),女,江苏宿迁人,桂林航天工业学院管理学院讲师,研究方向为空间计量、创新网络。
DOI:10.6049/kjjbydc.2017110501
中图分类号:F091.354
文献标识码:A
文章编号:1001-7348(2018)10-0031-08
(责任编辑:林思睿)