向 宁1,2
(1.中国标准化研究院,北京 100191;2.清华大学 固体废物处理与环境安全教育部重点实验室,北京 100084)
摘要:当前,中国城镇化正高速推进,城市已成为推动可持续发展的关键领域。以城市三支柱协调发展为理论基础,分别采用城市5年人口年均动态增长率、空气PM2.5浓度年达标水平、5年地区GDP年均动态增长率3项指标,作为城市社会进步、环境保护、经济增长3大维度表征,构建“8类4级”城市分类评价方案,其中4级是指城市发展呈现强、中、弱、欠可持续发展的不同特征。对中国2013年所有数据可得的地级及以上城市开展实证研究,获取基于发展态势的城市分类结果。结果显示,90%以上城市处于弱可持续发展态势,环境污染是中国城市发展面临的关键性难题。我国东北地区城市人口流失和财富增长后劲不足,可持续发展挑战巨大。
关键词:城市;可持续发展态势; 分类评价; 实证
城市已成为推进人类社会可持续发展的关键领域,城市可持续发展是当前研究热点问题。其中,怎样的城市发展模式是可持续的?如何表征、判断城市可持续发展态势?哪些政策或技术手段能够推进城市可持续发展?上述问题关系到社会包容、环境宜居、财富创造等人类发展的现实需求,成为城市可持续发展领域的基本问题[1-10]。与以往研究相比,本文基于城市三支柱协调发展,即基于城市社会、环境、经济3大维度,探索中国当前环境承载超重、社会包容欠缺、经济增长迅速的国情下,能够概略反映不同地区、不同时期城市可持续发展态势的分类评价方法,并进一步以全国地级及以上城市为对象开展应用研究,给出城市分类结果。
人类可持续发展是一个关于需求与限制的概念。需求与限制是科学辩证的发展观,人类需求欲壑难填,地球环境资源有限。在生存物质极为匮乏时,必须强调物质增长需要,但在生活水平明显改善后,则应适可而止。一味追求单纯的物质增长,人类社会将面临生态环境崩溃,或两极分化严重的生存危机。尽管可持续发展概念的具体外延随时代、区域、文化更迭而不断发生流变,但其宣扬的理念是一致的,应大力弘扬这种可持续的科学发展观。
城市可持续发展源于对人类社会可持续发展的探讨,可以从两个方面把握可持续发展内涵:①三支柱观点,可持续发展意味着社会、环境、经济三大支柱中的任何一个均具有独立的决定性意义,仅满足其中一个维度是不够的,要使社会、环境、经济3个体系同时具有可持续性[3-4,9];②公平观点,可持续发展既要考虑到当代人间的利益公平,又要顾及当代人与后世人之间的利益分配[9]。
关于社会、环境、经济每个维度的可持续性定义和实践标准则存在很多争议,其中一个是弱可持续性与强可持续性的争论。上述两个概念源于生态经济学,均认为生态环境是重要的,过度破坏生态环境与开发自然资源不利于人类财富永久持续增加。但是,弱可持续性着眼于维持现有资本存量(自然、人造、人力、社会资本)总和不减。自然资本与人造资本间可以相互替代,即使自然资本下降到可接受阈值以下,也可被其它种类人造资本代替,实现其它形式的发展。换言之,该观点认为不存在环境资源耗竭程度的基本约束。与此相对,强可持续性观点认为,人类经济活动不能减少特定的环境生态系统功能。自然资本与人造资本是互补关系,不能相互替代。如果自然资本减少到可接受阈值以下,那么任何形式的发展都不可能出现。也就是说,生态环境是人类发展的制约因素,其消耗程度必须控制在不致于损害生态系统功能的限度内。
两种不同认识反映到城市可持续发展态势评价方法设计上,呈现出两条不同路径:①将环境视为城市系统中一个普通的子系统(弱可持续性)[3,6];②将环境视为城市系统正常运转的约束性因子之一(强可持续性)[3-4,7]。近年来,强可持续性观点的影响力虽然逐渐增强,但反对的声音仍然强烈。国际标准化组织(ISO)于2014年发布了首个关于城市指标的国际标准“ISO 37120 城市可持续发展——城市服务和生活品质的指标”[8]。因为无法在评价方法上达成一致,尤其是国际间对指标权重的分歧极大,因而ISO 37120并未对评价方法进行规范。
持强可持续性观点的城市可持续发展态势评价研究认为,生态环境是城市发展的基本约束条件,人类社会任何形式的发展,对生态环境的影响必须限制在环境承载力容许的范围内。目前,这一路径的评价研究多采用二维视角“环境-经济”或“环境-经济社会”[7]。本文在此基础上,试图提升对城市可持续发展态势的认识精度,采用“社会、环境、经济”城市三维度刻画方法,将城市社会、环境、经济三维度协调发展作为城市分类原则。
对于城市社会、环境、经济三维度协调发展的评价内容,本文分别采用5年人口平均增长率动态值、空气PM2.5浓度达标水平、5年生产总值年均增长率动态值3项指标进行表征。
社会是城市发展状况的综合体现。社会发展态势是经济、治理、文化、城市公共服务水平、环境保护等全方位综合,难以用一两个有限评价指标进行概括。城市可持续发展需以人为本,人口则具备流动性,人在市场经济条件下会自发、快速地向资源配置效率更高的地区聚集。纵观人类发展史,凡社会处于稳定、繁荣进步时期,人口会快速增长,呈现人丁兴旺的形势;凡社会动乱,遭遇战争、灾害、饥荒、瘟疫时期,人口会大量下降,出现萧条凋敝的局面。显然,人口荣枯与社会发展优劣状态息息相关。
根据信息综合、简便易用原则,本文采用5年人口年均增长率动态值表征城市社会可持续发展态势,如式(1)所示。选用该指标的理由在于:①城市集聚效应。集聚产生生产和消费的规模效应,提升生产和资源配置效率;②城市吸引力。在人群自由迁徙条件下,人口会流向就业容易、收入更高、生活条件更好的城市。人口净流入为正,说明城市居民福利水平较高;③除经济和制度因素外,人口数量变化还与自然因素及社会治理的安全状况等密切相关。因此,城市人口变化指标能够更较为直观地展示城市社会状况。该指标具有综合、易得、简单明了的特点。
选择人口增减指标的局限在于:①人口增长并非越多越好,长期高水平增长可能意味着资源环境承载力过载,以及稀释发展资源导致经济生产效率降低;②难以充分体现社会公平性、创新氛围等人文特点;③中国城市人口变化也存在盲点:由于中国特殊的户籍管理制度,自由迁移受到影响。农村人口向城市流动,人口数量增加并不能完整地表征城市社会状态向好,而仅源于城乡差别的存在。如何剔除这种盲点仍是研究难题;④城市人口增减内涵复杂,有学者认为,城市间、城乡间、地区间人口自由迁移,是各地域间社会发展水平差异性的“平衡器”。总体而言,目前考虑到中国城市化高速发展,城市人口增加更多地蕴含社会进步的积极意义。
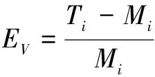
社会维度的城市可持续发展态势指标如式(1)所示。
(1)
式(1)中,P表示5年人口年均增长率动态值,CP表示年城市生产总值,n表示当前年份(5年中的末年),n-4表示基期年份(5年中的首年)。
当P<0为负数时,则5年城市人口总数减少,城市社会发展呈衰退趋势;当P>0为正数时,则5年城市总人口数量增加,可解释为城市社会呈良性向好的发展态势。
生态环境是城市发展的制约因素。20世纪70年代,对环境问题的关注使可持续发展概念在全球范围兴起和普及。围绕环境保护,学界和实务界经历了从末端治理、污染预防到资源使用效率提高、保护生态系统服务的认识深化过程。当前,有多种环境可持续性评估指标和方法,其中影响较大的有5类评估思路:①结合全生命周期的环境影响评估;②城市环境资源承载力评估[11-12];③基于城市代谢理论的物质流或能量流评估[13-14];④基于生态系统服务的城市可持续发展评估[15-16];⑤环境经济核算方法[17-18]。但是,尚未有一个理论范式可以较好地统摄环境可持续性相关理论,也没有一种环境可持续性定量评估方法被普遍接受,这是环境可持续性评价面临的现实困境。
本文秉承强可持续性观点,将不降低居民生活质量作为城市发展在环境方面的基本约束条件。简而言之,分类评价指标应以城市整体环境质量是否超出居民生活可接受阈值为依据。这意味着环境保护指标中常用的污染物排放总量和人均污染排放量均不适用,因其难以体现居民生活环境质量的总体变化,且真实数据复杂难得。
本文选用空气PM2.5浓度量变化作为城市环境可持续性定量分类评价指标,该指标的选择依据在于:①能够从总体上考察城市环境质量变化。中国环境污染源主要来自工业废气和机动车排放,PM2.5是综合程度最高、对人体健康影响最大的大气污染因子。空气具有流动特性,能够适当地弱化城市区域、产业分异对局地环境污染的影响。因此,虽然空气PM2.5浓度值变化局限于空气污染指标,但在人类中心主义视角下可以在一定程度上代表人类活动对环境的影响和损害;②方便引用相关国家标准,提供全国统一的空气质量衡量标准;③其它介质的环境质量指标具有明显的局限性。水质指标数据不足,且不同区域水质水量的基底水平差异巨大,开展全国统一的城市间比较非常困难。噪声污染是瞬时的、局部的。土壤污染也是局地问题,污染类型、范围及程度等资料和数据更加不足,难以进行横向比较。生态损害界定非常困难,中国各地自然生态环境差异巨大,仅基底水平即是无法确定的难题。
选用该指标的局限性在于:①涵盖污染物少,对城市环境容量的指示力度有限。城市环境中的重要介质和因子包括空气、噪声、水、废渣、土壤以及生态系统等,不同污染因子在环境介质中会表现出各异的迁移转化规律,因子之间及因子与介质间的相互反应更是提升了把握城市环境容量的难度。仅采用空气PM2.5浓度水平表征城市环境可持续性,会导致对其它污染因子污染强度和危害水平的判断偏差;②引用《环境空气质量标准》(GB 3095-2012)规定的PM2.5浓度限值,是以人体对污染物的耐受水平作为可接受污染阈值划定的科学依据,而非生态系统组成和结构的损害。换言之,采用了人类中心主义视角,对生态系统受影响水平考虑较少;③空气是流动的,受大气环流及局地地形地貌、气候条件影响。该指标作为城市间环境质量比较的动态参数,难以充分表征各城市管理对于环境保护力度和水平。但从空气质量的统计意义,以及人类中心主义视角看,PM2.5浓度量变化能较为综合地说明城市环境可持续性问题。
环境维度城市可持续发展态势指标的计算方法如式(2)所示。
(2)
式(2)中,EV表示当年第i个城市空气PM2.5浓度达标情况,用数字表示;Ti表示根据《环境空气质量标准》确定的空气PM2.5二级年平均浓度限值;Mi指第i个城市空气PM2.5年平均浓度。
当EV<0为负值时,则当年空气PM2.5污染超标,城市环境基本约束被超出,绝对值越大超标越严重,城市环境不具可持续性;当EV> 0为正值时,则当年空气PM2.5污染未超标,城市环境基本约束未被超出,值越大代表环境状况越好,城市环境具备可持续性。
经济是城市发展的基本物质基础条件。本文以5年内城市生产总值年均增长率动态值作为经济维度的城市可持续性指标,选用该指标有两个方面的含义:①城市聚集人群。在经济全球化和全球城市化背景下,持续的财富创造能力是城市应有属性。城市集聚效应越强,生产和消费效率就越高,越能在创造更多财富的同时,提升城市居民收入。这既是驱动城市化的重要动力,也是城市自身发展特点。全球范围内,大约3/4的经济生产发生在城市。在发展中国家,城市集聚过程往往伴随生活质量和福利水平的区域间分化[19];②城市经济增长是提升吸引力和竞争力、实现持续发展的重要动力。本文指标选择需要以特定时空、社会和技术水平为前提,适用于当今时代,而非人类生存发展的所有时期。如果人类的生物性质、社会组织方式或者技术发展出现了剧变,那么可能城市经济增长的意义、城市发展对人类社会存续的意义都会发生重大变化。
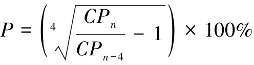
经济维度的城市可持续态势指标如式(3)所示。
(3)
式(3)中,Ec表示5年平均经济增长率动态值,用百分数表示。CGDP表示年城市生产总值,n表示当前年份(5年中的末年),n-4表示基期年份(5年中的首年)。
考虑到城市人口数量不断增加和居民实际生活水平提高,国际货币基金组织(IMF)提出,当全球经济增长率动态值低于2.5%时,实际经济增长进入衰退期。本文借鉴这一限值作为判断中国城市经济处于增长抑或衰退的临界点。当EC< 2.5%时,则5年城市经济生产总值下滑,经济增长呈下降态势,城市经济发展不具有可持续性;当EC>2.5%时,则5年城市经济生产总值提高,经济增长呈上升态势,城市经济发展具有可持续性。
城市可持续发展是社会进步、环境保护、经济增长三大支柱的协调发展问题。社会人口变化状况是城市发展状态的综合体现,经济增长是城市可持续发展必要的物质基础,环境保护是城市可持续发展的制约条件。城市发展态势的3个维度,分别采用5年人口年均增长率动态值(P)、空气PM2.5浓度污染水平达标率(EV)、5年经济GDP年均增长率动态值(EC)进行表征并作为评价指标,通过不同的三维指标组合,评判城市可持续发展态势。三三组合共划分8种类发展态势,进一步对发展态势水平进行分级,分为4个级别:强、中、弱、欠可持续性。该分类方法可概括为“8类4级” 分类方案。如表1所示,第1级仅包括1种;第2级包括2、3、4种;第3级包括5、6种;第4级包括7、8种,其中第8种客观不会存在,除非受人为干涉等异常原因影响。
表1城市可持续发展态势指标组合与分类分级情况

该分类方案依据3条原则:①环境约束条件是最重要的限制性因素。这是城市发展的红线、底线。只要超出环境约束,任何发展都是弱可持续或不可持续的。如果经济上行,且未跨越环境约束限制的发展态势是最高效的,那么可归为高水平可持续性。同样,未跨越环境约束的经济下行,可认为经济发展仍存在潜力,经济下行可能是暂时现象,故归为中可持续发展层级;②经济发展是最重要的基础性划分依据。没有经济发展提供的物质保障,城市发展就是无源之水,不可能持续;③人口增减变化为次要附加评价条件。城市人口数量变化的原因非常复杂,在人口自由流动的前提下,该指标能够在很大程度上体现城市发展现状,并彰显城市发展潜力。但该指标也是一种城市之间发展态势的平衡器。有学者认为,城市人口增减可能是城市间经济发展的自我调节机能,是城市经济的一种自行“免疫”功能[20]。例如,发展资源优厚的城市,其吸引力强,人口流入数量增加,可能降低城市人均发展资源的占有量。发展资源欠缺的城市,人口流出数量减少,客观上又能提高城市人均发展资源占有量。这种城市间经济发展的自我调节功能具有现实价值。典型的例子是,发展中国家向发达国家人口迁移,迁移人群怀揣改变生活和发展境况的美好愿望,发达国家则设法阻止移民迁入,保护自身福利。目前,中国内地不同发展水平的地区之间、城市之间、城乡之间也存在这种人口流动迁移和限制迁移的现象。总体上,考虑到当前中国仍处于高速城市化进程中,城市人口增加蕴含着社会进步的积极意义。
限于数据可得性,对2013—2014年全国地级及以上城市开展可持续发展态势分类评价方法的实证研究。5年人口年均动态增长率指标选用《中国城市统计年鉴》市辖区年末总人口数作为数据来源。需要注意的是,由于2009—2014年地级及以上城市常住人口数和真实流动人口数的公开情况有限,因而采用数据可得性更好的户籍人口数。使用城市户籍人口数作为社会维度的评价指标会出现一定的失真问题,但在说明人口变化趋势方面仍具有一定的指示力。空气PM2.5浓度达标水平指标采用《环境统计年鉴》的PM2.5年均浓度作为数据来源。5年生产总值年均动态增长率指标采用《中国城市统计年鉴》中的市辖区地区国民生产总值作为数据来源。
据《中国城市统计年鉴2015》显示,全国内地共有城市653个,其中直辖市4个,副省级市15个,地级市273个,县级市361个。其中,地级及以上城市共292个。2009—2014年有49个城市区划改变,因而其数据失准。另有4个城市的人口和经济数据出现原因不明的剧烈波动。因此,城市可持续发展分类方法的实证研究未涵盖这53个城市。
2009—2014年城市市辖区年末总人口和地区国民生产总值的数据是可得的,但是PM2.5年均浓度的数据缺失较为严重。2010年后,中国开始重视空气PM2.5,2012年《环境空气质量标准》(GB 3095-2012)修订,将空气PM2.5列为浓度限制的空气污染物。自此,实施空气PM2.5监测的城市范围迅速扩大。根据《空气质量新标准第一阶段监测实施方案》(环办[2012]81号),第一阶段实施范围为京津冀、长三角、珠三角等重点区域以及直辖市、省会城市及计划单列市。2013年,有74个城市公布了空气PM2.5年均浓度值。2014年,数据公布范围扩展至全部113个环保重点城市 。综上,2013—2014年3项指标数据可得的地级及以上城市数量分别为56和90。
分析2013—2014年239个地级及以上城市的5年人口年均动态增长率和5年生产总值年均动态增长率,以及其中56个和90个城市PM2.5浓度达标水平,以表征两年间考察城市的社会、环境和经济可持续发展态势水平,概略介绍各维度指标值的总体情况,并进一步基于省际、行政级别、大区域的划分开展城市分组分析。其中,基于行政级别划分是指按行政级别将城市分为3组:中央直辖市、副省级城市、地级市。基于大区域划分是指将地级及以上城市按照“四大板块”归属分组,包括东北、东部、西部、中部4个区域。
3.2.1 社会可持续性维度指标分析
2013-2014年239个地级及以上城市的5年人口年均动态增长率指标值分析情况如下:
(1)总体情况。2013年239个被考察的地级以上城市年末总人口为31 269.1万人,其5年人口年均动态增长率均值为0.89%。其中,增长率为正的城市有188个,占78.7%;增长率为负的城市有51个,占21.3%。2014年,239个城市的5年人口年均动态增长率均值为0.81%。其中,正增长率的城市有183个,占76.6%;零增长的1个;负增长率的城市有55个,占23.0%。
(2)基于省际、行政级、大区域划分的城市分组分析。按照省际行政区划对被考察城市进行分组。2013年,除重庆、西藏外,全国内地其余29个省区的5年城市人口年均动态增长率均值为0.89%,最高为2.50%(内蒙古自治区),最低为-0.33%(贵州)。有26个省区的5年人口年均动态增长率大于0,占89.7%;有3个省区(湖北、吉林、贵州)小于0,占10.3%。2014年,29个省区的被考察城市指标值为0.74%,最高为1.88%(新疆维吾尔族自治区),最低为-1.84%(青海)。25个省区5年人口年均动态增长率大于0,占82.2%;另有4个省区小于0,占13.8%,这4个省区是吉林、黑龙江、青海、云南。
考察不同行政级别城市的5年城市人口年均动态增长率,发现副省级城市增长率最高,中央直辖市和地级市次之,后两者差别不大。中央直辖市人口和经济基数均为最高,尽管人口增长绝对值最大,但增长率变化幅度相对平缓。这与中央直辖市是特大型城市,实行严格的户籍管制人口迁入有关。地级市人口总体呈净增长,但多达20%的地级市人口增长率低于0。由人口资料数据变化可知,总体上大城市人口集聚效应大于中小城市(见表2)。
表2不同行政级别城市5年人口年均动态增长率

注:*基本情况均为2014年数据;年末总人口数和GDP总值为239个城市相应指标值之和,GDP总值除以年末总人口数求得人均GDP
考察2013-2014年中国地级及以上城市5年人口年均动态增长率的“四大板块”分布情况:东部最高,优势较为明显;西部与中部次之;东北最低,2014年东北区域人口年均增长率降到0。这种情形与近年来我国区域经济发展格局变化相匹配:东部作为沿海区域,交通便利,汇聚我国首都圈及华北、长三角和珠三角三大经济增长极,人群吸引力最高;西部与中部人口增长率相近,西部稍高。这两个大区域城市的总人口数、生产总值、人均生产总值相距不远,近年来人口提升速率大体处于同一水平。西部稍高的情况与国家执行西部大开发的战略有密切关系,如2014年新疆维吾尔自治区的两个城市人口增长率全国夺冠。东北地区城市年均动态增长率最低,2013年和2014年指标值为负的城市分别占57.6%和63.6%,反映出东北区域近年来经济不振、就业困难、城市设施老化等诸多社会问题(见表3)。
表3大区域城市分组近5年人口年均动态增长率

3.2.2 环境可持续性维度指标分析
由于我国空气PM2.5浓度数据缺失严重, 2013-2014年分别有56和90个城市数据可得,对其空气PM2.5污染达标水平分析如下:
(1)总体情况。2013年,56个地级及以上城市中,各城市空气PM2.5浓度指标达标(国家标准二级限值)水平的算术平均数为-0.429 3。达标城市(评价指标值大于0)2个,占3.6%;未达标城市(评价指标值小于0)54个,占96%。2014年,90个城市中空气PM2.5浓度指标达标(国家标准二级限值)水平的算术平均数为-0.377 9。空气达标城市9个,占10.0%;未达标城市81个,占90.0%。
分析指标数据分布情况,我国城市空气PM2.5指标达标或排名靠前的城市基本集中在东南部沿海地区,或重化工业不发达的边远地区,如河北张家口,云南玉溪、曲靖等。空气污染较重的城市主要分布在北方地区,如华北及中国北方的中部地区。黑色冶炼工业、煤化工业、冬季供热采暖、城市汽车尾气是导致中国北方地区城市空气污染严重的主要原因。
(2)基于省际、行政级、大区域划分的城市分组分析。按照省际划分,可得到29个省级区域的城市空气指标达标分布数值。2013年,除数据不可得的重庆、西藏、黑龙江、河南、湖南、云南6个省(市)外,其余25个省区的城市空气PM2.5浓度指标达标水平的算术平均值为-0.453 4。空气PM2.5污染达标水平最高为0.296 3(海南),最低-0.681 8(山东)。全国仅海南省空气达标,占所有省区的4%,其余24个省区城市平均达标水平均值小于0。2014年,全国内地29个省区城市空气PM2.5浓度指标达标水平的算术平均值为-0.344,表现最好的是0.521 7(海南),最不理想的是-0.616 9(河北)。全国仅3个省区的城市平均空气指标达标水平大于0,占10.3%,分别为海南、福建、云南,较2013年情况稍有好转,其余26省区的城市指标值均小于0。
由此可见,我国空气污染总体形势极不乐观。像山东、河北等主要钢铁冶炼工业发达地区,空气污染程度尤为严重,亟需加强工业化环境污染治理工作,亟需经济发展转型升级。
考察不同行政级别城市空气PM2.5浓度达标水平情况(见表4)。总体上,所有级别城市空气PM2.5浓度均超过二级污染限值,可谓全军覆没。相较而言,地级市空气PM2.5浓度达标水平较高,副省级城市稍次之,中央直辖市最低。中央直辖市空气PM2.5浓度污染一方面源于人口规模大和密度高、汽车尾气排放、交通拥堵等,另一方面与城市越大,环境监测系统建设水平越高(监测点密集、数据失真小)有关。考虑到空气PM2.5污染普遍超标现状,对于我国任一层级城市而言,空气污染危害程度高、影响范围大,亟需采取有效治理措施。
表4不同行政级别城市分组空气PM2.5浓度达标水平

考察“四大板块”城市空气PM2.5浓度达标水平。2013年、2014年,所有区域指标均值全部小于0,即全部超过二级标准限值(见表5),显示出空气污染程度过重的普遍趋势。相较而言,东部最好,西部和东北次之,中部情况最差。这与我国经济发展产业区域分工一致,也与大气环流条件有一定关系。东部地区经济发展水平最高,服务业、信息产业等高产值、低污染的产业产值占地区生产总值的比重较大,这得益于近年来地方政府力主将传统污染源企业搬迁等因素推动,再加上陆海型空气对流条件的助力。北京市空气污染水平常受到天气状况主导,是一个典型例证。西部和东北城市则受限于较低的人口密度和较小的经济规模,在能源使用水平和污染排放总量上相对较低。中部地区则汇集了我国当前主要产煤和工业城市,严重依赖重化工制造业的生产格局,由于尚不完善的环境管理体制,加上大陆大气环流相对封闭,导致其空气PM2.5浓度污染程度最为严重。此外,2014年空气污染程度较2013年有明显缓和,显示出改善趋势。
表5大区域城市分组空气PM2.5浓度达标水平

3.2.3 经济可持续性维度指标分析
针对经济可持续发展态势评价指标——5年国民生产总值年均动态增长率,有239个地级及以上城市的数据可得,指标值分析情况如下:
(1)总体情况。2013年,239座城市的5年GDP动态增长率均值为15.17%。其中,指标值大于2.5%的城市有237个,占99.2%;增长率小于2.5%的仅3个(黑龙江省鸡西市、双鸭山市,辽宁省葫芦岛市),占0.8%。2014年指标均值为11.50%,较2013年有所下降。其中,大于2.5%的城市有223个,占93.3%;小于2.5%的增加到16个,多数分布在东北地区,占6.7%,较2013年有所增加。
分析经济增长数据,解读重要信息可知:①近年来,中国经济发展的最高速地区基本集中在西部地区,可见国家大力实施的西部大开发战略的成绩斐然。同时,我国东北地区经济发展出现大幅下滑倾向;②2014年较2013年经济发展速度明显减缓,但发展态势分布状况仍然一致,西部经济发展势头仍然最为强劲,东北落后;③经济发展上升态势与环境污染趋势基本同步,经济发展提速伴以生态环境污染加剧。这种相关性与城市持续发展相矛盾的悖论,成为中国经济发展与生态环境保护的两难性挑战。
(2)基于省区、行政级、大区域划分的城市分组分析。2013年 29个省区的城市GDP年均动态增长率均值为15.33%,指标值最高为18.78%(贵州),最低为9.44%(上海)。29个省区的城市年均动态增长率均明显大于2.5%。2014年,29个省区城市分组生产总值年均动态增长率的算术平均值为12.06%,指标值最高为18.89%(贵州),最低为2.54%(黑龙江)。由此可见,中国城市经济呈高速增长态势,但2014年较2013年增速有所下降。
2013年和2014年不同行政级别城市GDP年均动态增长率均值均超过10%(见表6),与我国经济普遍迅猛发展的总趋势相一致。相较而言,地级市年均动态增长率最高,副省级城市稍次之,中央直辖市最低。中央直辖市由于其产值总规模的基数大,发展起步最早,因此5年年均动态增长率变化幅度相对平缓,但仍处于发展快车道上,副省级城市和地级市则普遍处于经济规模高速膨胀期。这种现象也体现出特大、大、中等城市间的经济发展水平差距开始缩小的趋势。
表6不同行政级别城市分组5年国民生产总值年均动态增长率

注:*基本情况均为2014年数据;年末总人口数和GDP总值为239个城市相应指标值之和,GDP总值除以年末总人口数求得人均GDP
将2013年、2014年中国地级及以上城市按照“四大板块”归属分组(见表7),得到一个有趣的分布:西部最高,中部次之,东部再次之,东北最低。自国家西部大开发战略实施以来,由于经济规模基数相对低,西部城市迎来爆发式经济增长,中部地区紧随其后,东部地区尽管增长率小于中部和西部,但仍是我国经济发展的核心地带。东北区域则是经济发展最为迟缓的地区,2014年东北区域内有33.3%的城市增长率小于2.5%,甚至有8个城市国民生产总值呈负增长。这是由于该区域内许多城市资源枯竭、工业技术落伍、经济转型缓慢等原因所致,该区域面临经济可持续性不足的窘境。此外,相较于2013年,2014年全国经济发展增速普遍出现减缓趋势,东北地区减缓幅度最大。
表7大区域城市分组5年国民生产总值年均动态增长率

3.3.1 全国主要地级及以上城市分类结果
受限于数据可得性, 2013年、2014年可供分类的城市分别仅有56和90,且两年仅有35个城市重合。计算这些城市可持续发展态势评价指标数据,基于“8类4级” 分类方案给出两年间城市分类结果,呈现4种态势类型,涉及3级可持续发展态势水平,如表8、表9所示。
2013年,56个地级及以上城市中,属于第1级强可持续发展(1类)的仅有2个;属于第3级弱可持续发展(包括5、6类)的有54个,占96%。该年度缺失第2级中可持续发展(包括2、3、4类)城市,未出现第4级欠可持续发展(7类)城市,如表8所示。
2014年,90个地级及以上城市中,属于第1级强可持续发展(第1类)的增加至8个;第2级中可持续发展(第4类)的有1个;属于第3级弱可持续发展(包括第5、6类)有81个,占90%。该年度未出现第4级欠可持续发展城市,如表9所示。可见,城市经济高速发展,但环境污染超标,呈现弱可持续发展态势是中国城市发展的普遍现象。
表82013年56个地级及以上城市可持续性分类结果

3.3.2 城市可持续发展态势分类结果分析
根据前文分类结果,90个考察城市出现的发展问题分析如下:
(1)第1级强可持续发展:城市人口增加,环境约束未超出,经济上行。此类态势为城市可持续发展的理想状态。具体表现为:城市吸引力强,就业状况良好,居民生活质量提升,社会包容性增强,城市人口不断增长。在城市经济发展过程中,生态环境污染得到有效控制,具备持续发展潜力。2013年该类型城市仅有2个,2014年增加至8个。这些城市在力争经济增长的同时,控制污染排放,从而为居民提供更好的发展机会和生活环境。
(2)第2级中可持续发展:人口减少,环境约束未超出,经济上行。该类型城市属于中等可持续性发展水平。在城市经济发展的同时,生态环境污染控制较好。但是该类型城市可能经济发展效率不高,新的经济增长点不足,就业困难,城市吸引力减弱,人口数量呈下降态势。
表92014年90个地级及以上城市可持续性分类结果

2014年,属于该类型城市只有云南省玉溪市(第2级4类型)。城市户籍人口连年负增长,逝去或迁出人口数量大于新增人口数量。云南省玉溪市是中国传统烟草工业生产基地,中国著名的红塔山、玉溪香烟的原产地。烟草工业属于高度依赖农业资源的加工产业,工业规模扩张受到农业资源的限制,这可能是该市户籍人口持续减少的原因之一。据资料报导,实际上玉溪市常驻人口不断增加,笔者推测原因可能是该市管理者对户口迁入持谨慎态度,力求维持市区户籍人口的福利水平不受影响。
(3)第3级弱可持续发展:人口增加(或减少),环境约束超出,经济上行。该类城市属弱可持续性水平。该级城市在中国占绝大多数,表现为经济增速较快,城市集聚效应得以发挥。在经济高速增长的带动下,劳动效率提升,就业机会增多,城市公共基础设施条件不断完善,城市人口增长。但是,其经济增长类型仍是粗放型,尤其生态环境污染较为严重,城市发展对自然生态系统的压力超出了适度范围。该类型城市经济发展以生态环境损害为代价,其发展潜力堪忧,应该引起高度警惕。
2014年,中国属于该级别第5类的城市数量最多,高达61个,占考察城市总数的67.8%。这类城市代表目前我国城市发展状态的主流。在城市化进程中,经济发展对化石燃料的依赖严重,但因利用方式不合理,加上城市病问题爆发,更加剧生态环境承载的负担。这类城市急需转变经济增长模式,主动约束可能导致生态环境进一步恶化的生产和生活需要。
另有20个城市属于第6种(人口减少,环境约束超出,经济上行),占总考察城市的22%,是90个考察城市中可持续性发展水平最低的,面临提振经济活力和提升城市吸引力的双重挑战。这类城市经济竞争力虽强,但城市集聚效应却在减弱,人口流失。这类城市经济增长依赖的资源有限,创新不足,新的经济增长点缺失,就业岗位枯竭,城市人口数量呈下降趋势。目前,城市主导产业对生态环境污染较为严重,经济发展前景不容乐观。这类城市面临的具体问题还需要进一步分析,因为人口流失有可能导致人均经济资源拥有量增加,反而会提振社会和环境表现,使得城市可持续发展态势水平提升。
(4)第4级欠可持续发展:人口减少(或增加),环境约束超出,经济下行。呈现这种局面的城市,可以说是全面衰退,人力和财力流失严重,面临破产和消失的威胁,因此定义为欠可持续型。在本文考察的城市中尚未发现这种情况。
本文以城市社会、环境、经济三支柱协调发展作为理论框架,分别以5年人口年均动态增长率、空气PM2.5污染达标水平、5年地区GDP年均动态增长率作为分类评价指标。通过不同的指标组合,构建“8类4级”城市可持续发展态势分类方案,其中4级分别代表强、中、弱、欠可持续发展态势特征。
按照分类方案,对2013年、2014年度全国地级及以上城市(限于数据可得性)进行分类评价,得到以下结果:①2013年56个地级及以上城市中,强可持续发展城市仅2个,弱可持续发展城市54个,占研究城市数的96%,无中可持续、欠可持续发展城市;②2014年90个地级及以上城市中,属于强可持续发展城市增加至8个,分别是海口、深圳、福州、珠海、泉州、湛江、北海、曲靖,中可持续发展城市1个,云南省玉溪市,弱可持续发展城市81个,占总数的90%,无欠可持续发展城市。
由此可见,中国地级及以上城市普遍面临经济高速发展但环境约束限制超出的问题,呈现弱可持续发展态势。生态环境损害是中国大部分城市发展面临的严峻挑战。在未来城市发展管理中,各级政府有必要高度重视生态环境保护问题,主动限制可能导致生态环境进一步恶化的活动,努力打赢“绿水青山蓝天保卫战”。
本文采用强可持续性理论视角,对当前主流城市“环境-(社会)经济”二维分类予以拓展和深化,提出以城市社会、环境、经济三维度为基础的城市可持续发展态势分类评价方案。未来可从两个方面深化本研究:①丰富指标设置。本文仅选用3个指标表征三维度的持续性,充分性存在不足,后续研究可通过合理增设指标数量对其予以提升;②对实证研究得到的城市分类结果进行聚类分析,进而提炼、总结城市可持续发展态势变化的影响因素。
参考文献:
[1] GRAYMORE M L M, SIPE N G, RICKSON R E.Regional sustainability: how useful are current tools of sustainability assessment at the regional scale[J].Ecological economics, 2008, 67(3):362-372.
[2] HUANG L, WU J, YAN L.Defining and measuring urban sustainability: a review of indicators[J].Landscape ecology, 2015(30): 1-19.
[3] MORI K, CHRISTODOULOU A.Review of sustainability indices and indicators: towards a new city sustainability index (CSI)[J].Environmental impact assessment review, 2012, 32(1):94-106.
[4] MORI K, YAMASHITA T.Methodological framework of sustainability assessment in city sustainability index (CSI): a concept of constraint and maximisation indicators[J].Habitat International, 2015(45): 10-14.
[5] PARRIS T M, KATES R W.Characterizing and measuring sustainable development[J].Annual review of environment & resources, 2003, 28(1): 559-586.
[6] SHEN L Y, OCHOA J J, SHAH M N, et al.The application of urban sustainability indicators——a comparison between various practices[J].Habitat International, 2011, 35(1):17-29.
[7] UNDP (United Nations Development Programme).2015年中国城市可持续发展报告——衡量生态投入与人类发展[EB/OL].http://www.cn.undp.org/content/china/zh/home/library/democratic_governance/the-china-sustainable-cities-report--measuring-ecological-and-hu,2015.
[8] SANDRINE T.New ISO standard to help communities manage sustainable development[EB/OL].http://www.iso.org/iso/home/news_index/news_archive/news.htm?refid=Ref2101,2016.
[9] 21世纪议程管理中心可持续发展战略研究组, 中国科学院地理科学与资源研究所.中国可持续发展状态与趋势[M].北京: 社会科学文献出版社, 2007.
[10] 海热提·涂尔逊, 王华东, 王立红,等.城市可持续发展的综合评价[J].中国人口·资源与环境, 1997, 7(2): 46-50.
[11] WACKERNAGEL M, ONISTO L, BELLO P, et al.National natural capital accounting with the ecological footprint concept[J].Ecological economics, 1999, 29(3):375-390.
[12] 杨开忠, 杨咏, 陈洁.生态足迹分析理论与方法[J].地球科学进展, 2000, 15(6): 630-636.
[13] 沈丽娜, 马俊杰.国内外城市物质代谢研究进展[J].资源科学, 2015, 37(10): 1941-1952.
[14] 石磊, 楼俞.城市物质流分析框架及测算方法[J].环境科学研究, 2008(4): 196-200.
[15] 张玲玲, 巩杰, 张影.基于文献计量分析的生态系统服务研究现状及热点[J].生态学报, 2016, 36(18): 1-11.
[16] 赵景柱, 肖寒, 吴刚.生态系统服务的物质量与价值量评价方法的比较分析[J].应用生态学报, 2000, 11(2):290-292.
[17] 修瑞雪, 吴钢, 曾晓安, 等.绿色GDP核算指标的研究进展[J].生态学杂志, 2007, 26(7):1107-1113.
[18] 杨充霖.GDP的理论缺陷与可持续国民财富核算[M].北京: 社会科学文献出版社, 2014.
[19] KOCHENDORFER-LUCIUS G, PLESKOVIC B.Spatial disparities and development Policy[M].Washington,D.C.:World Bank Publications, 2009.
[20] 许小年.城镇化或城镇神化[J].徽商, 2013(3):46-47.
Xiang Ning1,2
(1.China National Institute of Standardization, Beijing 100191, China; 2.Key Laboratory for Solid Waste Management and Environment Safety, Tsinghua University, Beijing 100084, China)
Abstract:Today, China is carrying forward its urbanization at a high speed, where cities have been a key factor for pushing ahead sustainable development.In this paper, based on the theory of “the coordinated development of the three pillars”, Five-year annual average dynamic growth of urban population, rate of complying limiting concentration of PM2.5 and five-year annual average dynamic growth of city GDP were adopted to represent urban social progress, environmental protection and economic development respectively.A technical scheme for urban classified evaluation with “8 types and 4 levels” was established, where the “4 levels” denoted strong, medium, weak and poor sustainability of urban development.The scheme contained an empirical evaluation research on the sustainable development situation of Chinese cities above prefectural level, for which a directory of city development situation for 2013 and 2014 was obtained.According to the result, 90% of cities investigated in these two years were in the situation of weak sustainable development, and severe environmental pollution is a critical barrier universally hindering the development of Chinese cities.Cities in Northeast China are confronted with enormous challenges in sustainable development because of the apparent loss of urban population and the less-motivated wealth growth.
KeyWords:City; Sustainable Development Situation; Classified Evaluation; Empirical Study
收稿日期:2017-09-25
基金项目:中央级公益性科研院所基本科研业务费专项资金项目(512016Y-4496)
作者简介:向宁(1985-),女,山东德州人,博士,中国标准化研究院与清华大学固体废物处理与环境安全教育部重点实验室联合培养博士后、助理研究员,研究方向为城市可持续发展。
DOI:10.6049/kjjbydc.2017050763
中图分类号:F290
文献标识码:A
文章编号:1001-7348(2018)10-0121-09
(责任编辑:张 悦)