仇 勇1,王文周2
(1.北京工商大学 商学院,北京 100048;2.北京师范大学 经济与工商管理学院,北京 100875)
摘 要:考虑到多重特征的属性构型,为解决研究中面临的“双刃剑效应”矛盾,团队断层从组合角度分析成员多样性及排列方式,是对团队多样性研究的深化。通过对团队断层研究渊源的探究及与多样性的比较,阐释了团队断层的内涵与外延,详细介绍了测量方法,并依据断层成因与激活、效应与路径、修复与治理的逻辑脉络梳理了研究成果,可为未来研究提供参考借鉴。
关键词:团队断层;断层测量;断层激活;效应机制;修复治理
日新月异的技术、波云诡谲的竞争、多样异质的人员使各行业面临巨大挑战,越来越多的管理者意识到单枪匹马闯江湖的个人英雄模式再难适应组织发展,团队化作战已经成为一大趋势。如何组建团队才能提升绩效?成员究竟是能力互补、专家搭配更易创新,还是背景相似、语言共通更易合作?诸多两难问题亟待解决。
诸多问题中,首先要面对的是根源性症结——团队成员配置问题。团队多样性描述了成员特征的差异程度。在团队管理主题下,国外对多样性研究较多,国内也逐渐兴起[1],然而研究结论大相径庭。因此,可以认为多样性存在“双刃剑”效应,即一方面其能够提供丰富信息,益于决策,另一面也使内耗和冲突凸显。矛盾的观点下需要对多样性作进一步讨论,这也是团队断层概念的发端渊源。
Lau等[2]提出团队断层的概念,即由成员一个或者多个属性特征引致的潜在分割线,将团队割裂成不同亚群体。断层侧重组合分析成员属性的排列方式,当多个属性特征沿同向断裂时,团队分化会与考察单个特征不同,同向断裂产生的亚群体影响了团队的一致性,造成沟通成本上升、群体极化、凝聚力下降,最终引致效能降低。
为阐释与多样性的异同,Lau等[2]设定了如表1所示的情境。传统上对多样性的测算结果显示,团队1、2并无差异,而现实境遇可能不同,团队1中年龄、性别和种族的划分高度一致,前两位成员各项特征的断裂方向相同,与另一成员差异极大,易形成“2对1”格局,与之相比,团队2并不易出现。多样性偏重于探讨成员特征分布及差异情况的离散程度,断层则考虑多重特征的格局和构型。以断层分析团队人员配置是对多样性研究的推进,希冀借助这一概念解决面临的矛盾困境[3-4]。
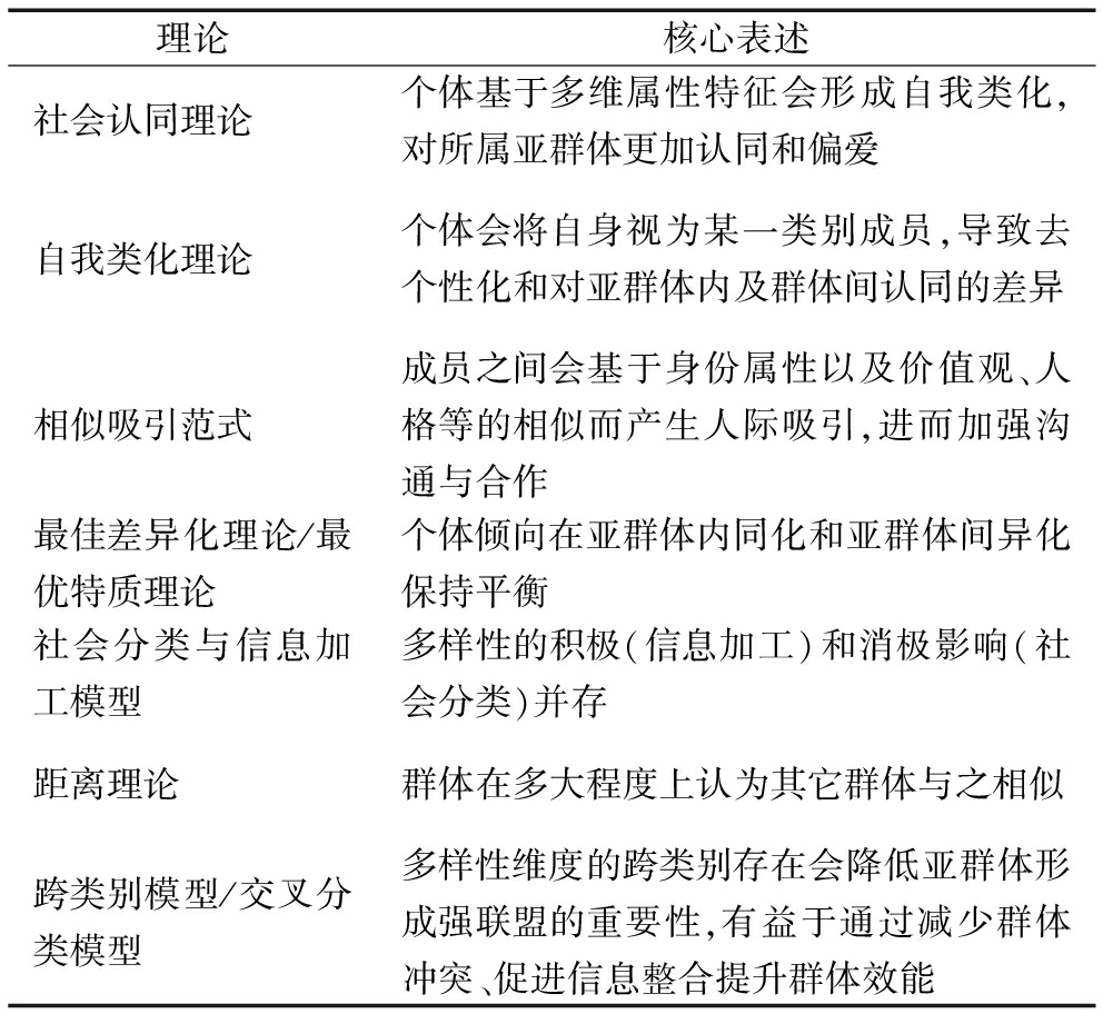
Thatcher等[5]基于59篇以断层为核心的研究文献,梳理了断层研究理论基础,如表2所示。社会认同理论、自我类化和相似吸引范式能够解释断层的形成,最佳差异化理论、距离理论以及分类信息模型能够解释人们保持亚群体内部相似和亚群体间差异平衡的重要性。范合君等[6]指出不同理论可应用于不同团队发展阶段,不同时期的解释视角有差异。
表1多样性与断层的比较

表2断层研究理论基础

资料来源:参考文献[5]
断层分类实质上是对属性特征的划分,经历了由表及里的研究过程。早期研究从人口统计学属性出发,产生了基于社会分类(种族、性别等)和信息属性(工作职能、教育背景等)的研究,近期开始出现非人口统计学断层研究,如自恋程度、A型人格等[5]。在团队形成初期断层往往体现在外显属性上,随着团队发展,深层属性断层会日益凸显[2][7][8]。此外,西方社会中性别和种族的差异容易引致断层,而中国情境下的“师徒”、“战友”等基于人际关联形成的断层更凸显[9]。
Lau等[2]按照性别、种族、年龄等人口统计学特征,定性区分了断层强度。当用于断层分类的属性特征不断增加时,采用观察进行定性描述变得更加困难,因此定性测量多集中于实验领域[10]。
本世纪初以来,基于数理计算的测量方法渐次成为主流,主要有3种方法:方差分解法、聚类法以及交叉分类法[5]。就指标而言,Fau、FLS以及PMD等被广泛熟知,ASW和IGFS也开始被推广。
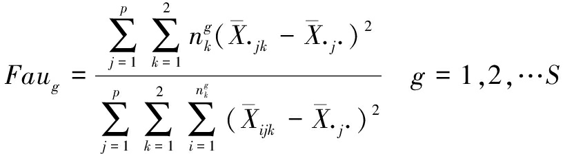
(1)Fau和Dg。Thatcher等[11]开发的Fau指标是以团队中力度最大断裂口的特征变异在整个变异中所占比例衡量的。只考虑团队断裂成两个亚群体,假设共有n个成员,选取p个属性进行分析,可能有S=2n-1-1种方式形成亚群体,断层强度为亚群体间特征平方和在整体特征平方和中所占比例,如式(1)所示。计算所有亚群体断裂方式的Fau值后,最大值即为断层强度,Fau的值域为[0,1],数值越大表示断层强度越大。

(1)
其中,Xijk为亚群体k中成员i在特征j上的取值;
为团队所有成员在特征j上的均值;
为亚群体k中成员在特征j上的均值;
为团队在二分模式g下亚群体k中的成员数量。
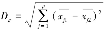
Zanutto等[12]又引入断层距离,即两个亚群体在属性分布上的离散程度。20岁与50岁、30岁与50岁都会形成年龄断层,但影响不同。断层距离用Dg表示,如式(2)所示,其值域为[0,∞),数值越大表示断裂的距离越远。
(2)
其中,
为亚群体1在属性j上的均值,
为亚群体2在属性j上的均值,p为特征数。
Fau和Dg分别从亚群体内相似性和亚群体间差异性两个角度反映断层情况,可独立预测团队结果,也可将Dg作为Fau的调节变量,或将两者相乘以全面反映团队断层情况[12]。
(2)FLS。Shaw[13]开发了一种复合方法测量断层强度(faultline strength, FLS),受两个因素左右——亚群体内聚合(IA)和亚群体间聚合(CGAI)。亚群体内聚合越强、亚群体间离散越大时,断层越明显。FLS的计算量较大,因而应用有限[14][15]。
(3)PMD。Trezzini[16]将断层界定为一种极化的多维多样性(polarized multi-dimensional diversity,PMD),其强度指标准确反映三方面内容,即断层深度、断层宽度以及亚群体双极性程度。参照对极化的测度,假设研究中的属性特征数量为s,每个属性特征有ns个类别,依据这些属性特征及类别形成n个团队。其中,每个亚群体都会形成一个分析单元,如式(3)所示。
(3)
dij反映了断层深度,描绘的是亚群体间的不一致性(特别地,dij=dji且dii=0),pi、pj和(pi+pj)反映了亚群体规模均等程度,非零项之间的求和次数反映了实际存在的亚群体数量,两者共同描述了亚群体双极性程度。
(4)IGFS。韩立丰等[17]指出上述3种指标对断层宽度考虑不足,并构建了整合团队断层强度(integrated group faultline strength,IGFS)指标,综合考虑了Fau、IA和D值,为三者的乘积。IA和Fau的值域为[0,1],但Dg的值域与重标尺度有关,因而IGFS并没有确定值域,但该指标预测效度更高。
(5)ASW。很多断层测量将团队分成两个亚群体,但断层概念并没有限制亚群体数量[2],并且随着亚群体数量的增加可能降低断层强度[5][13]。Meyer等[18]提出平均轮廓宽度断层聚类指标(average silhouette width faultline clustering,ASW)。通过Ward聚类分析对所有亚群体进行划分与识别,并将成员归入不同亚群体中,断层强度取所有亚群体分类中的最高者。算法保证了最终分类结果是亚群体内差异最小而亚群体间差异最大。ASW指标能够敏锐捕捉亚群体内的同质性变化,对亚群体数目反映精确,受缺失值影响较小。Meyer等[18]对9种指标进行EFA显示,FLS和PMD可以归为一个因子(类别属性测量指标),Fau、ASW等可以归为一个因子(数量方差测量指标)。进一步研究显示,只有ASW、FLS与关系冲突正相关,其它指标与关系冲突相关但不显著,PMD甚至与预期相反。因此认为,现有ASW指标是进行断层测量的较好方法。
客观计算出的断层强度能否被成员主观感知到有待考察,有时客观断层和感知到的亚群体是截然不同的两件事,这与断层是否被激活有关。Jehn等[19]的研究显示,潜在断层与感知到被激活的断层并不显著相关,这对计算得出潜在断层结论的可靠性提出了挑战。由此,感知断层成为测量的一个新分支,学者们基于不同情境开发了从单维到多维的感知断层量表[19][20]。
断层在很大程度上与成员感知有关,只有被激活才会产生影响[2],而断层触发器可以归为5类:区别对待、不同价值观、同化作用、侮辱或羞辱行为以及简单接触[21]。Polzer等[22]指出,虚拟团队中基于工作地形成的断层会在成员寻求共同时间互动时被激活;Jehn等[19]指出,权力和津贴分配会引致断层被激活;陈悦明[23]指出,断层可能被组织文化缺乏凝聚力、任务分配单调及冲突处理不及时等管理失误激活。此外,任务特征[10]、报酬结构[24]、座次[25]、冲突[26]等都会激活断层。
也有学者的研究显示,即使断层没被激活,也可能产生影响[21]。这是因为感知断层与客观断层高度相关[12],无论是潜在断层还是激活断层的影响均相似,只是激活断层的效应更强,但由于缺少纵向研究,对于断层由潜在到激活及其影响还不能给予准确评判[5]。
关于断层对绩效影响效应的研究很多,分歧也较为明显。Thatcher等[27]研究显示,断层与绩效呈倒U型关系;Bezrukova等[3]研究显示,社会分类断层会负向影响绩效,其中,信息断层会对团队绩效产生影响,团队和部门文化一致会改变该影响的作用方向[28]。也有学者实证探究了断层对绩效的影响。Homan等[24]研究显示,断层对团队绩效有负向影响,经验开放性起了调节作用,信息加工处理起了中介作用。国外学者研究断层对绩效的影响尚无定论,普遍趋势是对断层进行分类。其中,社会分类断层的影响通常是负向的,信息断层的影响不定。国内学者陈琛[29]、陈伟等[30]、陈帅等[31]从不同角度分析了断层对绩效的影响机制,极大丰富了断层的实证依据。
针对高管团队(TMT)研究的落脚点多为组织战略绩效,Li等[32]的研究表明,人口统计学断层会引致冲突与成员行为不整合,降低团队绩效;Minichilli等[33]、Van Knippenberg等[34]、Kaczmarek等[35]、Hutzschenreuter等[36]、Cooper等[37]、李维安等[38]、李小青等[39]、周建等[40]、潘清泉等[41]分别从家族企业TMT中家族成员配比、成员目标共享程度、繁忙程度及薪酬结构等角度探讨断层对组织绩效和战略的影响。特别是已有学者开始从组织层面关注断层影响。如Bezrukova等[42]分析显示,团队层面断层对绩效有负向影响,内外部冲突分别会增强和削弱这一影响,在组织层面断层对绩效有负向影响,薪酬越高的组织中其负向作用越明显。
Choi等[14]研究显示,性别-年龄以及年龄-种族这两项关系断层和工作年限-年龄这一任务断层会通过增加关系冲突而减少组织层面的公民行为,工作年限-种族这一任务断层会减少关系冲突从而提升团队层面的公民行为,工作年限-性别这一任务断层会通过增加任务冲突而提升团队层面的公民行为。Chung等[43]研究显示,关系断层中的性别断层对员工忠诚行为有显著负向影响,年龄断层的影响不显著。在任务断层中,工作年限、职能对员工忠诚行为的影响不显著,多样性氛围可以减缓性别断层的负向影响,增强职能断层的正向影响。
针对决策的研究以实验居多。如Rico等[8]的研究显示,在任务自主性高的情境下,弱断层团队的决策质量和成员的社会融合度优于强断层团队;韩立丰[20]研究发现,断层强度对决策质量有负面影响,多样性导向会调节这一过程,自我验证和群体联结、信息共享会中介断层对决策质量的影响;Li等[32]指出强断层会引发TMT之间合作行为减少,导致决策效果不佳。
研究显示,断层会使成员对亚群体内和亚群体间形成不同态度,影响团队士气,导致满意度下降[8][12]。Polzer等[22]研究显示,因地理位置而产生的断层会使冲突加剧,信任降低,当地理位置划分成两个或者三个规模相当的亚群体时,断层的负向影响加剧,亚群体内部的异质性会削弱这种负向影响。Bezrukova等[44]、Homan等[25]的研究也显示,断层对满意度及士气有不利影响。也有不同结论,如有研究认为亚群体内部较高的社会支持和奖励会提升群体内部满意度,从而产生溢出效应,促进团队满意度上升。
冲突是断层引致的一个重要结果,也是影响绩效和决策的重要路径。大多数研究显示,断层与关系、任务和过程三类冲突正相关[10][12]。也有相反结论,如Lau等[45]研究发现强断层能够降低关系冲突,Choi等[14]研究发现工作年限-种族断层也会降低关系冲突。芦慧等[46]指出,由中国阴阳哲学形成的中庸思想使断层研究有其特殊性,在西方,成员会出于维护亚群体利益而产生冲突,在中国,个体为规避冲突会选择中立、调解矛盾,达成“和谐共赢”,只有当冲突中损害的个人利益超越容忍底线时,个体才会放弃“安逸”去维护亚群体利益。
创新是近年组织不断追求的。Pearsall等[10]研究显示,被激活的性别断层会对团队创造力产生负向影响;董玉杰[47]研究得出,断层对员工创新有正向影响,团队参与氛围及领导授权调节这一影响;卫旭华等[48]研究发现,TMT任务型断层会提升企业创新强度,亚群体的不均衡性能够调节这一影响;孙慧琳[49]的研究显示,感知断层与创新呈倒U型关系,成员信任和知识转移渠道起调节作用;林明等[50]研究发现,TMT情感断层会负向影响企业的突破式创新,混合高管结构权力平衡会调节这一影响;屈晓倩等[51]研究得出,信息型断层对团队创新有正向促进作用,团队学习目标导向和团队反思、交互记忆系统分别起调节与中介作用;卫武等[52]的研究显示,TMT的断层会对组织层面的创新战略产生消极影响。
根据信息加工模型,人员构成是影响团队学习的重要输入因素。Gibson等[53]研究得出,多样性与团队学习呈U型关系,而亚群体强度与团队学习呈倒U型关系。Rupert等[54]的研究显示,信息断层强度通过影响交互记忆而破坏团队学习,断层距离能够调节这一影响。陈帅等[55]研究发现,信息断层对内外部学习的直接影响不显著,该过程受到团队共同任期以及交互记忆系统的调节。
基于对国内外研究文献的梳理,其研究脉络如图1所示。
如果不对断层给予积极干预,团队中关于“圈内-圈外”的认知会更明显,“我们-你们”的割裂会更突出,从而引发针对圈外人的不合作行为,降低组织绩效[4]。基于此,对断层进行有效治理以修复断层十分必要。Gratton等[7]指出在团队建立初期领导要采用任务导向制,随着团队发展,必要时可切换关系导向,降低断层的负面影响。Rico等[56]研究发现,团队角色设计与目标结构的联合应用能够削弱激活强断层对团队的负向影响。谢小云等[4]指出,可以采用制度化轮岗以及内部顾客思想、团队导向型的薪酬激励制度以及加强领导者技能培训等手段,对断层进行治理。陈悦明[23]指出,可以从团队成员配置、文化引导、任务配置以及加强团队领导力等角度使断层“休眠”。
无论是国外还是国内,团队断层研究仍处于起步阶段,未来研究可从以下方面着手:
(1)拓展断层内涵与亚群体对等性的研究。目前的研究主要聚焦人口统计学特征,未来应着重探讨深层次的人格、情绪、价值观等差异对断层形成的影响。此外,现有研究多将团队分化出的亚群体在权力和地位上予以平衡考虑,而亚群体间的权力分配并不总是均衡的[5],如何处理这一不对等性是该研究拓展的重要方向。
(2)加强对断层的测量分析。目前断层测量的内涵和构成模式不尽相同,极大影响了断层实证研究的可比性,整合各种指标并基于相同数据比较指标之间的异同显得尤为重要,主观感知与客观指标之间的比较也值得进一步研究。
(3)探索断层影响的作用路径和边界条件。目前断层的实证研究仍然处于初期阶段,结果不统一有可能源于实证的不充分。以往包括断层在内的多样性研究多集中于主效应分析,忽视了作用的边界条件,亟待加强。

图1团队断层实证研究结果整合框架
(4)强化断层激活机制与时间效应研究。目前对激活断层的研究相对匮乏,应在未来寻求突破,特别是断层的时间效应。这是因为断层并不是静止稳态的,随着团队生命周期的演进,断层情况会变化,因此采用多元追踪方法进行动态分析十分必要。
(5)聚焦断层修复的研究。除识别断层、认知断层、分析团队断层效应之外,对断层进行有效干预也很重要。因此,针对“良性”断层的恶变防治与针对“恶性”断层的弥补修复应成为未来研究的一个重要方向。
(6)中国文化情境下断层特殊性的研究。中国人际关系复杂,远超于西方国家,这种特殊性与团队中由于不同属性分类形成的断层间联系值得探讨,这种联系是否会形成断层以及这类特殊断层的影响也亟待挖掘。
(7)探讨不同层面断层的影响与跨层次作用。大多数文献都在讨论团队层面的断层,实际上组织和团队断层有差异[57],但组织层面断层影响的研究甚少[42]。此外,团队是个体嵌入的一个情境,亦会影响个体态度及行为,因此断层的多层面效应值得探讨。
参考文献:
[1] 张志学,鞠冬,马力.组织行为学研究的现状:意义与建议[J].心理学报.2014 (2):265-284.
[2] LAU D C,MURNIGHAN J K.Demographic diversity and faultlines:the compositional dynamics of organizational groups[J].Academy of Management Review,1998,23(2):325-340.
[3] BEZRUKOVA K,JEHN K A,ZANUTTO E L,THATCHER S M B.Do workgroup faultlines help or hurt? a moderated model of faultlines,team identification,and group performance[J].Organization Science,2009,20(1):35-50.
[4] 谢小云,张倩.国外团队断裂带研究现状评介与未来展望[J].外国经济与管理,2011 (1):34-42.
[5] THATCHER S M B,PATEL P C.Group faultlines:a review,integration,and guide to future research[J].Journal of Management,2012,38(4):969-1009.
[6] 范合君,杜博.多样化团队群体断裂带研究综述[J].经济管理,2015 (7):182-190.
[7] GRATTON L,VOIGT A,ERICKSON T.Bridging faultlines in diverse teams[J].MIT Sloan Management Review,2007,48(4):22-29.
[8] RICO R,MOLLEMAN E,SANCHEZ-MANZANARES M,VEGT G S D.The effects of diversity faultlines and team task autonomy on decision quality and social integration[J].Journal of Management,2007,33(1):111-132.
[9] 王端旭,薛会娟.多样化团队中的断裂带:形成、演化和效应研究[J].浙江大学学报:人文社会科学版,2009 (5):122-128.
[10] PEARSALL M J,ELLIS A P J,EVANS J M.Unlocking the effects of gender faultlines on team creativity:is activation the key[J].Journal of Applied Psychology,2008,93(1):225-234.
[11] THATCHER S M B,JEHN K A,ZANUTTO E.Cracks in diversity research:the effects of diversity faultlines on conflict and performance[J].Group Decision and Negotiation,2003,12(3):217-241.
[12] ZANUTTO E L,BEZRUKOVA K,JEHN K A.Revisiting faultline conceptualization:measuring faultline strength and distance[J].Quality & Quantity,2011,45(3):701-714.
[13] SHAW J.The development and analysis of a measure of group faultlines[J].Organizational Research Methods,2004,7(1):66-100.
[14] CHOI J N,SY T.Group-level organizational citizenship behavior:Effects of demographic faultlines and conflict in small work groups[J].Journal of Organizational Behavior,2010,31(7):1032-1054.
[15] 陈帅.知识视角下团队断裂带与团队绩效的关系研究[D].杭州:浙江大学,2012.
[16] TREZZINI B.Probing the group faultline concept:an evaluation of measures of patterned multi-dimensional group diversity[J].Quality & Quantity,2008,42(3):339-368.
[17] 韩立丰,王重鸣.群体断层强度测量指标的构建与检验:一个整合的视角[J].心理学报,2010,42(11):1082-1096.
[18] MEYER B,GLENZ A.Team faultline measures:a computational comparison and a new approach to multiple subgroups[J].Organizational Research Methods,2013,16(3):393-424.
[19] JEHN K A,BEZRUKOVA K.The faultline activation process and the effects of activated faultlines on coalition formation,conflict,and group outcomes[J].Organizational Behavior and Human Decision Processes,2010,112(1):24-42.
[20] 韩立丰.并购变革背景下团队断层特征与整合机制研究[D].杭州:浙江大学,2013.
[21] CHROBOT-MASON D,RUDERMAN M N,WEBER T J,et al.The challenge of leading on unstable ground:triggers that activate social identity faultlines[J].Human Relations,2009,62(11):1763-1794.
[22] POLZER J T,CRISP C B,JARVENPAA S L,et al.Extending the faultline model to geographically dispersed teams:how colocated subgroups can impair group functioning[J].Academy of Management Journal,2006,49(4):679-692.
[23] 陈悦明.“冻结”团队断层[J].北大商业评论,2013 (3):96-103.
[24] HOMAN A C,HOLLENBECK J R,HUMPHREY S E,et al.Facing differences with an open mind:openness to experience,salience of intragroup differences,and performance of diverse work groups[J].Academy of Management Journal,2008,51(6):1204-1222.
[25] HOMAN A C,VAN KNIPPENBERG D,VAN KLEEF G A,et al.Interacting dimensions of diversity:cross-categorization and the functioning of diverse work groups[J].Group Dynamics:Theory,Research,and Practice,2007,11(2):79-94.
[26] HART C M .From fault line to group fission:understanding membership changes in small groups[J].Personality and Social Psychology Bulletin,2006,32(3):392-404.
[27] THATCHER S M B,JEHN K A,ZANUTTO E.Cracks in diversity research:the effects of diversity faultlines on conflict and performance[J].Group Decision and Negotiation,2003,12(3):217-241.
[28] BEZRUKOVA K,THATCHER S M B,JEHN K A,et al.The effects of alignments:examining group faultlines,organizational cultures,and performance[J].Journal of Applied Psychology,2012,97(1):77-92.
[29] 陈琛.新企业创业团队断层对创业行为的影响研究[D].长春:吉林大学,2014.
[30] 陈伟,杨早立,朗益夫.团队断裂带对团队效能影响的实证研究——关系型领导行为的调节与交互记忆系统的中介[J].管理评论,2015 (4):99-110.
[31] 陈帅.团队断裂带对团队绩效的影响:团队交互记忆系统的作用[J].心理学报,2016 (1):84-94.
[32] LI J T,HAMBRICK D C.Factional groups:a new vantage on demographic faultlines,conflict,and disintegration in work teams[J].Academy of Management Journal,2005,48(5):794-813.
[33] MINICHILLI A,CORBETTA G,MACMILLAN I C.Top management teams in family-controlled companies:'familiness','faultlines',and their impact on financial performance[J].Journal of Management Studies,2010, 47(2),205-222.
[34] VAN KNIPPENBERG D,DAWSON J F,WEST M A,HOMAN A C.Diversity faultlines,shared objectives,and top management team performance[J].Human Relations,2011,64(3):307-336.
[35] KACZMAREK S,KIMINO S,PYE A.Board task-related faultlines and firm performance:a decade of evidence[J].Corporate Governance:An International Review,2012,20(4):337-351.
[36] HUTZSCHENREUTER T,HORSTKOTTE J.Performance effects of top management team demographic faultlines in the process of product diversification[J].Strategic Management Journal,2013,34(6):704-726.
[37] COOPER D,PATEL P C,THATCHER S M B.It depends:environmental context and the effects of faultlines on top management team performance[J].Organization Science,2014,25(2):633-652.
[38] 李维安,刘振杰,顾亮.董事会异质性、断裂带与跨国并购[J].管理科学,2014 (4):1-11.
[39] 李小青,周建.董事会群体断裂带对企业战略绩效的影响研究——董事长职能背景和董事会持股比例的调节作用[J].外国经济与管理,2015 (11):3-14.
[40] 周建,李小青,杨帅.任务导向董事会群体断裂带、努力程度与企业价值[J].管理学报,2015 (1):44-52.
[41] 潘清泉,唐刘钊,韦慧民.高管团队断裂带、创新能力与国际化战略——基于上市公司数据的实证研究[J].科学学与科学技术管理,2015 (10):111-122.
[42] BEZRUKOVA K,SPELL C S,CALDWELL D,BURGER J M.A multilevel perspective on faultlines:differentiating the effects between group- and organizational-level faultlines[J].Journal of Applied Psychology,2016,101(1):86-107.
[43] CHUNG Y,LIAO H,JACKSON S E,SUBRAMONY M,COLAKOGLU S,JIANG Y.Cracking but not breaking:joint effects of faultline strength and diversity climate on loyal behavior[J].Academy of Management Journal,2015,58(5):1495-1515.
[44] BEZRUKOVA K,SPELL C S,PERRY J L.Violent splits or healthy divides? coping with injustice through faultlines[J].Personnel Psychology,2010,63(3):719-751.
[45] LAU D C,MURNIGHAN J K.Interactions within groups and subgroups:the effects of demographic faultlines[J].Academy of Management Journal,2005,48(4):645-659.
[46] 芦慧,陈红,周肖肖,柯江林.基于扎根理论的工作群体断层——群体绩效关系概念模型的本土化研究[J].管理工程学报,2013,27(3):45-52.
[47] 董玉杰.团队断层对员工绩效的影响:一项跨层次研究[D].北京:北京科技大学,2015.
[48] 卫旭华,刘咏梅,岳柳青.高管团队权力不平等对企业创新强度的影响——有调节的中介效应[J].南开管理评论,2015,18(3):24-33.
[49] 孙慧琳.团队断裂带与新产品研发团队创新绩效研究——团队快速信任和知识转移渠道的情境机制[J].财经理论与实践,2015 (5):126-132.
[50] 林明,戚海峰,李兴森.混合所有制企业高管团队断裂带对突破性创新绩效的影响:基于混合高管结构权力平衡的调节效应[J].预测,2016 (4):15-21.
[51] 屈晓倩,刘新梅.信息型团队断裂与团队创造力关系的实证研究——交互记忆系统的中介作用[J].研究与发展管理,2016 (1):52-61.
[52] 卫武,易志伟.高管团队异质性、断层线与创新战略——注意力配置的调节作用[J].技术经济,2017 (1):35-40.
[53] GIBSON C,VERMEULEN F.A healthy divide:subgroups as a stimulus for team learning behavior[J].Administrative Science Quarterly,2003,48(2),202-239.
[54] RUPERT J,BLOMME R J,DRAGT M J,JEHN K.Being different,but close:how and when faultlines enhance team learning[J].European Management Review,2016,13:275-290.
[55] 陈帅,王端旭.道不同不相为谋? 信息相关断裂带对团队学习的影响[J].心理学报,2016 (7):867-879.
[56] RICO R,SANCHEZ-MANZANARES M,ANTINO M,LAU D.Bridging team faultlines by combining task role assignment and goal structure strategies[J].Journal of Applied Psychology,2012,97(2):407-420.
[57] LAWRENCE B S,ZYPHUR M J.Identifying organizational faultlines with latent class cluster analysis[J].Organizational Research Methods,2011,14(1):32-57.
Qiu Yong1,Wang Wenzhou2
(1.Business School of Beijing Technology and Business University, Beijing 100048,China;2.Business School of Beijing Normal University,Beijing 100875,China)
Abstract:Team faultline, which is a further advance of diversity research, refers to a hypothetical line dividing a team into subgroups. It aims to solve the "double-edged sword" dilemma. In this article, we compare similarities and differences of diversity and faultline, and then introduce three kinds of measurement, as well as the causes, activation, effect and governance of team faultline. At last, put forward the direction of future research.
Key Words:Team Faultline;Faultline Measurement;Faultline Activation;Effect Mechanism;Governance
DOI:10.6049/kjjbydc.2017020073
中图分类号:C936
文献标识码:A
文章编号:1001-7348(2018)01-0154-07
收稿日期:2017-06-08
基金项目:北京市教育科学“十三五”规划重点项目(AAFA16005)
作者简介:仇勇(1990-),男,北京人,博士,北京工商大学商学院讲师,研究方向为组织行为与人力资源管理;王文周(1975-),男,河南清丰人,博士,北京师范大学经济与工商管理学院副教授,研究方向为绩效管理与项目管理。
(责任编辑:胡俊健)