摘 要:基于产业共性技术研发在新形势下经济转型升级中的战略意义以及共性技术研发投资的“死亡谷”效应,构建了政府和企业两个投资主体、预研投资和研发投资两种投资类型的柯布道格拉斯生产函数(CD生产函数)投资博弈模型。通过最优反应函数求解,得到不同政府预算占比情况下共性技术研发投资的纳什均衡,探索了政府和企业对两种投资的最优比例,并通过案例分析验证了模型的有效性。结果发现,政府在产业共性技术投资供给中更倾向于预研投资,企业在产业共性技术投资供给中更倾向于研发投资;政府应根据产业发展不同阶段,适时调整功能定位,针对产业共性技术研发投资,动态调整支持方式和支持力度。
关键词:产业共性技术;研发投资;CD生产函数;纳什均衡
中国正处于转变经济发展方式的关键时期,“十三五”规划强调实施创新驱动发展战略,强化科技创新引领作用,集中支持产业共性技术研发。国家工信部发布的《产业关键共性技术发展指南(2015)》指出,产业共性技术研发是加快提升产业技术水平的有效途径。产业共性技术是连接基础研究与产品开发的中间技术[1],是知识转化为生产力的关键,具有应用基础性、关联性和系统性等特点,在技术创新链中的地位举足轻重,是行业乃至国家核心竞争力的有力保障[2]。如通信技术和智能制造技术等关键共性技术的研发水平,直接影响着航空航天、互联网和机械制造等众多产业发展。然而,产业共性技术因研发难度较大、周期较长,已成为制约中国产业持续发展和产业核心竞争力提升的瓶颈。此外,产业共性技术外部性特征使得中国企业缺乏投资动力,产业投资供给存在组织和市场的“双重失灵”[3,4],由此制约了龙头企业乃至产业技术进步和转型升级。
鉴于企业、高校和科研机构已成为产业共性技术研发的重要主体,大量学者开始关注企业和学研方参与产业共性技术合作研发问题[2,5-11]。Tarik等[7]研究发现,单个企业难以完成复杂材料产业共性技术系统研发工作,必须寻求企业间合作和产学研合作。Boĉková和Meluzín[8]认为,电子产业共性技术产学研合作研发能够提高创新型企业的绩效水平。赵红梅[9]、胡燕和王恬[10]研究发现,企业与高校进行产业共性技术协同研发更有利于促进优势产业发展。殷辉和陈劲[2]认为,企业合作研发对产业共性技术研发水平具有正向影响。刘芹等[11]认为,企业与科研院所合作研发能够有效降低产业共性技术研发成本,分散研发风险。祝侣和刘小玲研究了上海市产业共性技术供给体系,比较了高校、科研院所和企业3种关键研发供给主体的优劣势。
产业共性技术具有准公共物品的外部性特征,研发主体企业和学研方在共性技术研发过程中比较容易出现市场失灵,政府研发投资具有诱导私人部门投资的杠杆效应[12],其可以弥补研发主体投资动力不足的“先天缺陷”。政府通过投资共性技术研发项目和设立国家研究所等政策发挥投资主体作用,引导产业共性技术发展。随着产业共性技术研发研究的不断深入,Pilinkienё[13]和Czarnitzki等[14]众多学者逐渐达成政府参与产业共性技术研发供给的共识,认为政府参与可有效缓解产业共性技术研发供给市场失灵。在这些文献中,学者较多研究了政府参与产业共性技术研发资助模式[15-18]、组织模式[19]、研发机制[20]等定性问题。也有少数学者运用博弈模型对政府参与产业共性技术研发问题进行了定量研究[21-22]。程永波等[21]运用博弈模型研究了政府在复杂产品共性技术研发中的最优成本补贴。马晓楠等[22]通过共性技术研发博弈研究发现,政府补贴是促进共性技术研发的有效方式。在政府参与产业共性技术研发投资定量研究中,学者大多将两个企业或企业与高校作为博弈双方。另外还有一些学者将政府补贴作为影响参数,研究企业或高校的研发策略,实质上博弈主体还是企业与高校。
现阶段,中国产业共性技术投资供给主要模式为:政府通过设立专项计划投资产业共性技术研发项目,并遴选有技术需求的企业和有相应研发基础的学研方共同进行共性技术协同研发,学研方受政府或(和)委托企业的资金支持,投资主体为政府和企业。对于政府投资和企业投资效应问题,国外已有大量实证研究。Aschauer[12]认为,政府投资增加对于企业投资具有诱导效应。而Ward和Bairam[23]以及Furceri和M Sousa[24]研究发现,政府投资对企业投资有挤出效应。Lutfi等[25]通过实证研究发现,在不同情况下,政府投资对私人投资存在诱导效应或挤出效应。适度的政府研发投资对于企业投资产业共性技术具有诱导作用,研发投资过度反而对企业投资具有挤出效应。因此,政府投资产业共性技术需把握好研发投资力度,处理好诱导效应与挤出效应的关系。实际上,企业会观察政府投资行为,政府也会观察企业投资行为,二者在投资策略选择上存在博弈。因此,本文重点研究政府和企业作为研发投资主体时的产业共性技术R&D投资博弈问题。
考虑到中国产业共性技术重大专项计划的资助特点,本文将共性技术研发投资分为预研投资和研发投资两类。通过构建产业共性技术研发两个投资主体、两种投资类型的柯布道格拉斯生产函数投资博弈模型,分析政府与企业之间的共性技术投资博弈情况,研究政府和企业对两种投资的最优比例,拓展了CD生产函数一般只研究单个投资主体的应用范围,以期在产业共性技术研发投资目标层面上,实现企业追求经济效益和政府关注社会效益的双赢,以更加符合中国产业共性技术的供给现状。
1.1 模型假设
产业共性技术研发技术和市场前景不确定性较强、投资风险较大,单个企业不愿也难以承受,而政府不参与投资的产业共性技术研发供给存在“囚徒困境”问题,这就为政府直接参与产业共性技术研发投资提供了理论基础。研究政府和企业共同参与研发的最优投资水平以及不同研发投资类型比例,对于促进产业共性技术发展具有重要意义。为便于进一步研究,本文提出如下假设:
H1:投资主体。产业共性技术研发投资主体包括政府和企业,因学研方作为研发主体而非投资主体,因此本文研究产业共性技术研发投资博弈行为时,不将学研方包含在本模型的主体内涵中;
H2:投资类型和形式。政府和企业产业共性技术研发投资主要分为两类:预研投入和研发投入,投资形式为资金投入;
H3:投资偏好。企业虽然对产业共性技术存在技术需求,但其不能在独自研发的情况下独占技术成果及其全部收益,技术成果无补偿的被动扩散导致技术交易的无效率,致使企业投资动力不足。政府对产业共性技术研发投资的外部性更为关注,因此政府比企业具有更强的投资偏好;
H4:投资预算。政府和企业产业共性技术研发投资有各自既定的预算规模,并在此投资预算规模下寻求收益最大化。
1.2 基本参数与模型构建
中国科研机构转制后,一些具有准公共物品属性的共性技术供给出现了“缺位”现象,政府主要通过直接投资重大专项计划,辅以税收、金融、政府购买等政策措施,加强国家对产业共性技术研发投资的引导,如“863”计划等国家重大专项研发计划等。企业结合自身技术需求和技术基础,根据国家例行发布的体现国内外产业发展现状和趋势的《产业关键共性技术发展指南》,联合具有研发实力的高校、科研机构或其它企业,申请争取重大项目预研和立项,项目研发资金主要来源于中央政府、地方财政出资和企业自筹资金等。鉴于中国政府对共性技术重大专项计划项目的投资特点,本文将政府投资分为预研投资和立项投资两种类型。作为共性技术的需求者,大型龙头企业已经成为产业共性技术研发的中坚力量,其通过投入预研资金用于前期预研项目基础研发工作,如购置实验设备、引进技术人才和前期探索型技术开发等投入,并在项目立项后投入研发资金开展共性技术研发工作。基于此,政府和企业两个投资主体对产业共性技术预研项目和研发项目进行投资,投资收益为Cobb-Douglas型函数:
在此投资博弈中,参与人1为政府,参与人2为企业。主要变量及参数含义如下:
G1:政府对共性技术预研项目的预研投资;
G2:政府对共性技术立项项目的研发投资;
C1:参与共性技术研发企业投入的预研资金;
C2:参与共性技术研发企业投入的研发资金。
其中,A表示综合技术水平限制;AG包括政府预算资金管理水平、相关人员专业素质水平、项目监督和评估限制水平等;AC包括企业基础设施水平、经营管理水平、人员研发限制水平等。R表示投资回报水平;RG表示共性技术为产业带来的新增产值;RC表示共性技术为研发企业带来的额外收益。α、β为投资产出的弹性系数。αG表示政府预研引导资金贡献在产业共性技术新增产值中所占份额;βG表示政府对立项后的正式项目资助资金贡献在产业共性技术新增产值中占所份额。αC表示企业预研投入贡献在企业新增收益中所占份额;βC表示企业在研发阶段的投资贡献在企业新增收益中所占份额。
参数αG、βG、αC、βC≥0,αG+βG≤1,αC+βC≤1,αG>αC,βG>βC。αG+βG≤1和αC+βC≤1的假设表示产业共性技术研发不同于专有技术研发,不能用扩大生产规模增加产出。αG>αC和βG>βC 的假设表明,政府考虑到共性技术研发投资的外部性,对投资共性技术研发具有更强的偏好。
1.3 模型求解
对于CD生产函数投资博弈模型求解,政府面临的问题是:对于给定的企业预研投资水平C1和研发投资水平C2,政府在投资预算约束BG下选择预研项目投资水平G1和立项项目投资水平G2,即求解最优化问题:

(1)
企业面临的问题是:对于给定的政府投资选择G1、G2,企业在其投资预算约束BC下选择C1、C2,即求解最优化问题:

(2)
首先,本文考虑政府对共性技术研发投资的最优化问题。将G2=BG-G1带入目标函数,将问题简化为:

(3)
由一阶条件
=0,可得:
(4)
同理,企业对共性技术研发投资的最优化问题可简化为

(5)
由一阶条件
=0,可得:
(6)
为方便讨论,本文将政府对产业共性技术研发的投资预算水平BG在共性技术总预算水平(BG+BC)中所占比例设为政府预算比例,即
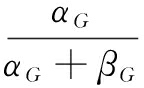
,下文对政府预算比例分3种情况讨论该投资博弈的纳什均衡。
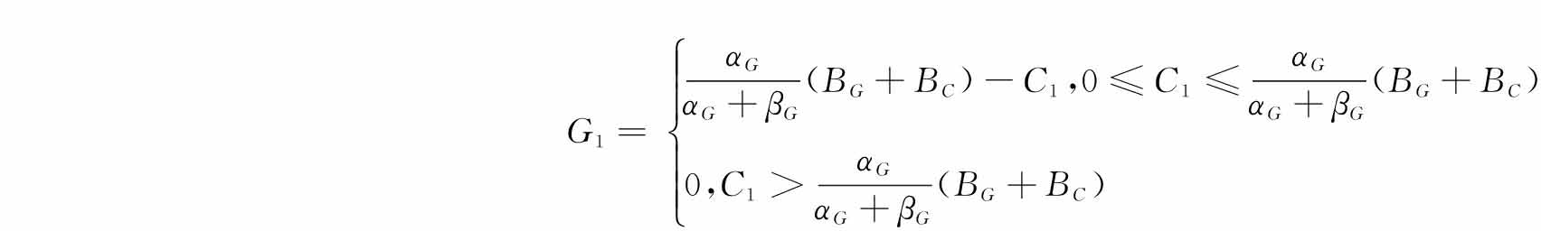
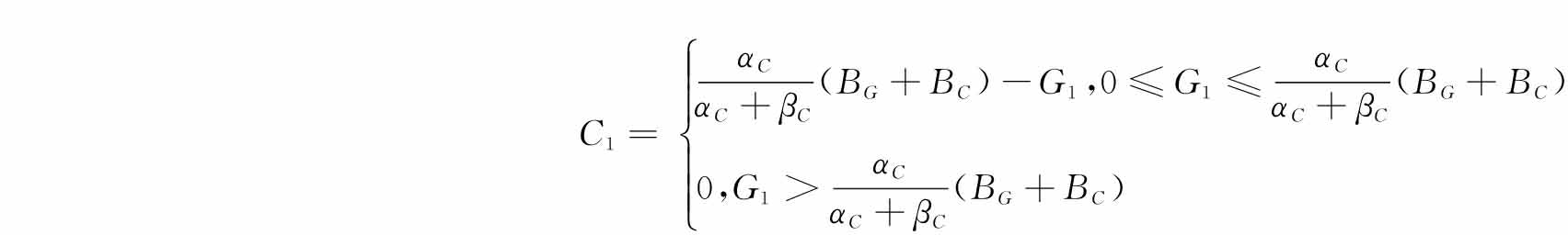
1.3.1 政府预算占比大于
的情况
政府的最优反应函数为:

(7)
企业的最优反应函数为:

(8)
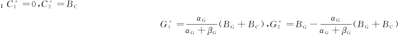
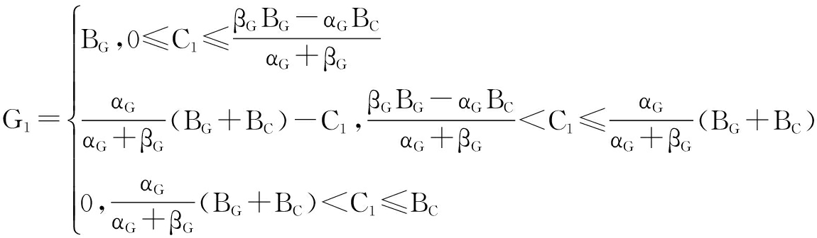
纳什均衡为

在产业发展初期,因企业风险承受能力较弱,企业在共性技术研发投资博弈中一般不会采取“先动”策略,需要政府提高共性技术预算比例
,并通过充足的资金支持推动共性技术研发。纳什均衡如图1所示,企业将全部共性技术投资预算用于研发阶段,政府首先满足企业对于预研引导资金的需求,然后再将剩余预算资金作为立项后正式项目的研发资金。

图1 政府预算占比大于
的纳什均衡
1.3.2 政府预算占比在
范围内的情况
政府的反应函数为:

(9)
企业的反应函数为:

(10)
在产业快速成长期,企业实力逐渐增强,产业共性技术投资风险降低,政府可以综合资金支持和政策支持两种方式。由此,资金支持力度
减弱,政府有意识地引导企业逐渐增加产业共性技术研发投资力度
。纳什均衡如图2所示,企业将预算资金全部用于研发投资,政府将预算资金全部用于预研引导资金。
1.3.3 政府预算占比小于
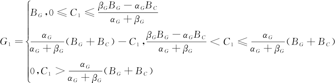
的情况
政府的反应函数为:

(11)
企业的反应函数为:

(12)
纳什均衡为:
在产业发展成熟期,企业研发实力和资金实力进一步增强,寻求持续发展的研发需求愈加强烈,政府应尽量避免直接的资金支持,弱化其共性技术投资主体的角色,注重引导企业成为产业共性技术研发投资主体。纳什均衡如图3所示,政府将共性技术投资预算全部用于预研投资,企业先弥补政府投资对于预研项目投资的不足,然后将剩余预算资金用于研发投资。
CD生产函数投资博弈模型求解结果显示,政府对产业共性技术的支持力度和支持方式应该根据产业发展不同阶段相机而行。此外,政府和企业还需要在不同共性技术预算比例的基础上,选择最优预研投资水平和研发投资水平,以实现产业共性技术投资收益最大化。

由公式(4)、公式(6)对应直线G1(C1)与C1(G1)的 交点给出了纳什均衡(C1,G1),可以进一步得到政府 和企业关于预研投资和研发投资的纳什均衡解(G1, G2)、(C1,C2),表1对以上几种情况进行了总结。

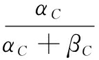
产业发展阶段政府预算比例范围纳什均衡产业发展初期 αGαG+βG,+∞()C*1=0,C*2=BCG*1=αGαG+βG(BG+BC)G*2=BG-αGαG+βG(BG+BC)产业发展成长期αCαC+βC,αGαG+βG[]C*1=0,C*2=BCG*1=BG,G*2=0产业发展成熟期-∞,αCαC+βC()C*1=αCαC+βC(BG+BC)-BGC*2=βCαC+βC(BG+BC)G*1=BG,G*2=0
为了顺应新常态下供给侧结构性改革的国家战略,2016年国家重点研发计划首批重点研发专项已经发布,最新的国家重点研发计划用以整合原有的“863计划”、“973计划”、国家科技支撑计划、国际科技合作与交流专项,国家重点研发计划则涵盖产业核心竞争力重大共性关键技术,以引导相关企业和产业发展,推动经济增长和产业升级。“863”计划是以政府为主导、以有限领域为研究目标、体现国内外产业发展现状和趋势的基础研究国家性计划,一般由具有技术基础和技术需求的企业根据国家关于产业共性技术的发展指南,申请争取重大项目预研和立项,企业间可以共同申报,也可以寻求高校和科研机构的技术支持,企业在自筹资金的基础上争取地方和中央政府投资。邓小平曾为“863”计划题词:“发展高科技,实现产业化”,该计划为支持产业共性技术研发指明了方向。“863”计划已成为中国政府支持共性技术研发的“高端政策”,由其投资的产业共性技术研发涉及信息技术、自动化技术、能源技术、生物技术、新材料技术等重大共性技术。1986-2005年,国家累计投入“863”计划的资金规模高达300多亿元,制定了国家和行业标准1 800多项,获得国内外专利8 000多项,近千家企业参与了产业共性技术投资与研发。考虑到样本的契合性和可获取性,本文以“863计划”中的关键共性技术研发项目为对象进行案例分析。
2.1 样本选取与处理
本文从中国“十二五”期间“863”计划(2012-2014年)中遴选了江苏中天科技股份有限公司、天信仪表集团有限公司、常州天合光能有限公司、浙江钱江生物化学股份有限公司、广州润芯信息技术有限公司和唐山奥特斯科技有限公司等15家企业承担的产业共性技术研发项目作为样本,涉及能源技术、先进制造技术、新材料技术、自动化技术和信息通信技术等重大领域。企业在地域上主要集中在江浙地区,一方面江浙地区的项目成熟度较高,更具代表性;另一方面,方便笔者就近调研。承担“863计划”项目的企业以国有企业为主,由于国企承载着国家意志,不单纯追求经济效益,比较关注行业和社会整体效益水平,而本文构建的模型主体是政府和企业,研究目的是为了实现政府和企业之间对产业共性技术研发投资目标的协调。因此,本文在样本选择过程中,考虑到承担研发项目的企业应该多元化,尽量避免选取国有企业参与的共性技术研发项目,以保证样本具有较好的代表性。本文通过对企业研发部门进行实地访谈调研和电话邮件咨询等方式,获取了以上15个“863计划”样本企业的共性技术研发投入和产出数据。此外,本文结合统计年鉴和公报等经济数据、涉及共性技术研发项目的资金管理办法以及“863计划”立项清单等数据和文件,获取了以上15个“863计划”中政府共性技术研发投入和产出数据。为了便于进一步回归分析,本文对模型函数两边同时取对数,相关样本数据对数处理结果如表2所示。

Y1(lnRG)X1(ln(G1+C1))X2(ln(G2+C2))Y2(lnRC)7.02517.20007.30004.78957.01497.18207.30004.78377.03517.40017.05104.75487.05017.34207.16704.78097.00396.91207.64204.83216.89497.10107.11804.69307.15487.35207.40904.87346.78816.60107.54004.70417.26197.62317.30004.91177.51018.06607.30005.04026.54016.33407.30004.53796.92017.01307.29924.73447.12997.38807.29904.84327.12617.37907.30204.84176.92406.80007.60004.7840
数据来源:“十二五”期间的“863计划”(2012-2014年)
2.2 回归分析
为实现多元线性回归,本文对原CD生产函数模型两边同时取对数,处理后的函数形式如下:
lnRG=lnAG+αGln(C1+G1)+βGln(C2+G2)
lnRC=lnAC+αCln(C1+G1)+βCln(C2+G2)
Y1=lnAG+αGX1+βGX2
Y2=lnAC+αCX1+βCX2
对表2中的样本数据进行回归分析,回归结果如表3所示。
根据回归结果,得到产业共性技术研发生产函数投资博弈模型:
RG=(C1+G1)0.56(C2+G2)0.41
RC=(C1+G1)0.29(C2+G2)0.37 αG+βG≤1,αC+βC≤1,αG>αC,βG>βC,回归得到的参数结果符合模型假设,由此验证了模型的合理性。
通过比较案例分析和模型求解结果可以发现,“863计划”产业共性技术研发项目投资策略存在一些问题。案例中,政府对关键产业共性技术的平均投资预算占比
=55.12%,另外
=57.74%,显然
,政府预算占比符合CD生产函数投资博弈模型的第二种情形,政府可以结合资金支持和政策支持两种方式共同推动共性技术研发。根据模型关于预研投资和研发投资两种投资类型的纳什均衡解,此时政府可将预算资金全部用于预研投资G1,企业可将全部预算投资用于研发投资C2,以保证企业经济效益和社会效益的最大化。然而,在案例中涉及的关键产业共性技术研发项目中,政府对共性技术的平均预研投资水平
占其投资预算的比例仅为60%左右,企业对共性技术的平均研发投资水平
占其投资预算的比例仅为40%左右。因此,为了提高产业共性技术投资收益,政府应提高其预研投资比例,企业应提高其研发投资比例。
表3 回归方程系数

Y1模型非标准化系数标准系数显著水平BBetaSig.Y2模型非标准化系数标准系数显著水平BBetaSig.常量0.0010.084常量0.0000.022X10.5601.0830.000X10.2901.0860.000X20.4100.3100.000X20.3700.5410.000
2.3 结果讨论
案例中一些重要参数的回归结果与中国“863计划”产业共性技术研发投资的现实背景相吻合。
(1)政府预研投资产出弹性系数大于企业预研投资产出弹性系数,即αG>αC。考虑到共性技术的外部性、共性技术投资的“死亡谷”效应以及共性技术的“缄默性”,且企业层面尚未意识到共性技术的战略意义,同时绝大多数企业尚未突破共性技术研发瓶颈,导致民间对产业共性技术研发的投资欲望不强。因此,政府需要通过引导资金注入,调动企业投资共性技术研发项目的积极性。因此,政府的先动欲望比企业更强烈,预研投资规模一般比企业更大,且预研产出弹性也更高。
(2)政府研发投资产出弹性系数大于企业研发投资产出弹性系数,即βG>βC。产业共性技术研发复杂度较高,因此其研发形式多为合作研发,相对于企业而言,作为“掌舵者”的政府能够调动更多的社会资源。例如,政府牵头搭建了一大批产业共性技术产学研协同研发平台,高校和科研院所对技术成果的公开发表也更有利于共性技术的扩散和应用,且能够发挥更大的经济效益,政府对产业共性技术研发投资的产出弹性更高。
(3)政府预研投资产出弹性系数大于其研发投资产出弹性系数,即αG>βG。相对于产业共性技术立项项目研发投资而言,政府更加注重对投资产业共性技术的引导,需要一定的资金投入力度才能打破共性技术投资供给的“囚徒困境”。考虑到参与产业共性技术研发的企业多为有需求的龙头企业,龙头企业技术基础较好、资金力量较为雄厚,政府需加强引导其参与共性技术投资,分散其投资风险,为龙头企业加大研发投资力度免去后顾之忧。
(4)企业预研投资产出弹性系数小于其研发投资产出弹性系数,即αC<βC。政府对“863计划”产业共性技术研发项目的立项,越来越以关键技术龙头企业的申请立项为遴选对象,政府预研投资为企业研发产业共性技术提供了前期保障。参与产业共性技术研发的龙头企业需解决自身技术难题,突破发展瓶颈,将企业资金和精力更多地投向产业共性技术研发。
本文在相关研究的基础上,构建了两主体产业共性技术研发CD生产函数投资博弈模型,并基于产业共性技术研发两种投资类型,研究了政府在产业共性技术总投资预算占比不同的情况下,政府和企业对预研投资和研发投资的最优比例。结合模型求解结果和“863计划”产业共性技术研发项目案例分析,本文得出如下管理启示:
(1)政府应参与到产业共性技术研发投资供给中,并根据共性技术涉及产业发展阶段的不同,适时调整功能定位,采取动态支持方式和力度。研究结论完全符合习近平主席2016年5月关于推进供给侧结构性改革的重要讲话精神,即政府在承担职能转变责任的同时,应注意把握好供给节奏和力度,提高政府供给质量,扩大有效供给。中国目前的经济增长方式需要以政府主导为主的供给模式,在产业发展初期,以较大比例资金支持方式为主,吸引企业资金进入;在产业发展成长期,可以结合资金支持和政策支持,引导企业增加产业共性技术研发投资;在产业发展成熟期,可以进一步减少财政资金注入,注重营造良好的政策环境,引导和鼓励企业成为产业共性技术研发投资的主体。
(2)政府对产业共性技术的投资需求应进一步向预研投资方向倾斜,企业对产业共性技术的投资需求应向研发投资方向倾斜。考虑到中国原有的“863计划”等共性技术国家科技计划对项目投资阶段的比例选择不能充分实现企业经济效益、产业效益和社会效益最大化,国务院于2014年发布了《关于深化中央财政科技计划(专项、基金等)管理改革的方案》,提出在2016年以前设立国家重点研发计划,对实施效果不好的“863计划”、国家科技支撑计划等科技专项计划或基金,通过撤、并、转等方式进行必要调整和优化,着力改变原有科技计划对科技预算的统筹安排,有效解决政府投资产业共性技术的 “越位”和“缺位”问题。
参考文献:
[1] KANCS A,SILIVERSTOVS B.R&D and non-linear productivity growth[J].Research Policy,2016,45(3):634-646.
[2] 殷辉,陈劲.共性技术下异质企业对学研方合作行为的演化博弈仿真分析[J].科技进步与对策,2015,32(8):101-107.
[3] 龚利,郭菊娥,高峰.基础项目政府担保因素组成及其对投资激励作用[J].运筹与管理,2011,20(1):164-172.
[4] 方兆本,朱文超.技术溢出或能效恶化?——基于中国工业行业的实证分析[J].预测,2013(6):40-44.
[5] 刘洪民,杨艳东.制造业共性技术研发协同知识链及知识流动模型——模块化协同视角的研究[J].科技进步与对策,2016,33(9):41-46.
[6] 方文中,罗守贵.自主研发与技术引进对全要素生产率的影响——来自上海高新技术企业的实证[J].研究与发展管理,2016,28(1):1-9.
[7] BAYKARA TARIK,ÖZBEK SUNULLAH,
LU AHMET NURI.A generic transformation of advanced materials technologies:towards more integrated multi-materials systems via customized R&D and Innovation[J].The Journal of High Technology Management Research,2015,26(1):77-87.
[8] NINA
KOV
,TOM
MELUZ
N.Electronics industry:R&D investments as possible factors of firms competitiveness[J].Procedia-Social and Behavioral Sciences,2016(220):51-61.
[9] 赵红梅.优势产业中关键共性技术协同研发机制研究[J].科技管理研究,2015,35(16):110-114.
[10] 胡燕,王恬.关键共性技术在优势产业中研发协同机制[J].科学管理研究,2014(6):48-51.
[11] 刘芹,何彬斌,吕郑超,等.高科技产业集群共性技术合作研发模式研究[J].现代管理科学,2013(4):43-45.
[12] ASCHAUER D A.Does public capital crowd out private capital[J].Journal of Monetary Economics,1989,24(2):171-188.
[13] VAIDA
.R&D Investment and competitiveness in the baltic states[J].Procedia - Social and Behavioral Sciences,2015(213):154-160.
[14] CZARNITZKI D,HANEL P,ROSA J M.Evaluating the impact of R&D tax credits on innovation:a microeconometric study on Canadian firms[J].Research Policy,2011,40(2):217-229.
[15] 刘波,李娜,康俊俊.政府购买共性技术研发服务决策影响因素分析[J].科技进步与对策,2015,32(22):1-7.
[16] LAZZARINI S G.Strategizing by the government:can industrial policy create firm-level competitive advantage[J].Strategic Management Journal,2015,36(1):97-112.
[17] GUAN J C,YAM R C M.Effects of government financial incentives on firms' innovation performance in China:evidences from Beijing in the 1990s[J].Research Policy,2015,44(1):273-282.
[18] 王敏,方荣贵,银路.基于产业生命周期的共性技术供给模式比较研究——以半导体产业为例[J].中国软科学,2013(9):124-132.
[19] 刘洪民.协同创新背景下中国产业共性技术研发组织模式创新[J].科技进步与对策,2013,30(13):59-66.
[20] “产业共性技术研发组织与基地建设研究”课题组.我国产业共性技术研发组织的现状、问题与政策建议[J].中国科技成果,2008(17):26-29,32.
[21] 程永波,李婷,陈洪转,等.复杂产品共性技术研发的政府最优成本补贴[J].哈尔滨工程大学学报,2015,36(3):432-436.
[22] 马晓楠,耿殿贺.战略性新兴产业共性技术研发博弈与政府补贴[J].经济与管理研究,2014(1):73-78.
[23] BAIRAM E,WARD B.The externality effect of government expenditure on investment in OECD countries[J].Applied Economics,1993,25(6):711-716.
[24] FURCERI D,SOUSA R M.The impact of government spending on the private sector:crowding-out versus crowding-in effects[J].Kyklos,2011,64(4):516-533.
[25] ERDEN L,HOLCOMBE R G.The linkage between public and private investment:a co-integration analysis of a panel of developing countries[J].Eastern Economic Journal,2006,32(3):479-492.
(责任编辑:王敬敏)
Study on Proportion of Two Types of Industrial Generic Technology R&D Investment of Government and Enterprises
Abstract:Given the strategic significance of Industrial Generic Technology R & D in the new situation of economic transformation and upgrading and the "Dead Valley" effect of Industrial Generic Technology R & D Investment, this paper established a Cobb-Douglas production function Investment Game Model of two types of investment between the government and enterprises.This paper obtained the Nash equilibrium of Generic Technology R & D investment under different circumstances of government budget proportion through solving the optimal response function.This paper also explored the optimal proportion of two types of investment between government and enterprises and verified the validity of the model through a case study.The study found that government investment in Industrial Generic Technology R & D should be more inclined to supply pre-research investment while enterprises investment should be more inclined to supply R & D investment. Meanwhile,the government should adjust its positioning and function according to the different stages of industrial development and take dynamic measures of different supporting ways and intensity to invest in Industrial Generic Technology R & D.
Key Words:Industrial Generic Technology;R&D investment; Cobb-Douglas Production Function; Nash Equilibrium
收稿日期:2016-09-19
基金项目:国家社会科学基金重点项目(14AGL001);国家自然科学基金项目(71471091);教育部人文社会科学研究基金项目(14YJA880061);中国高等教育学会高等级教育科学研究“十二五”规划项目(16YB047);教育部人文社会科学研究青年基金项目(13YJC880098)
DOI:10.6049/kjjbydc.2016080146
中图分类号:F260
文献标识码:A
文章编号:1001-7348(2017)06-0062-07