摘 要:区域创新生态系统是一个不断演化的动态系统,良好的创新环境有利于系统演化。应用Logistic增长模型分析了创新主体间的竞争演化和协同创新演化,在分析演化机理的基础上对京津冀区域的生态位适宜度及进化动量进行了评价,发现北京的生态位适宜度远远高于天津和河北,河北省的进化动量高于北京和天津,说明北京创新活动所需资源的满足程度较高,河北省创新活动提升的空间较大。最后,构建了京津冀协同创新生态系统,以实现京津冀“1+1+1>3”的效应。
关键词:创新生态系统;生态位适宜度;演化;Logistic模型;京津冀
随着经济转型,我国的经济发展已由要素驱动转为创新驱动,以创新、创业和新兴产业为核心能力的创新集群成为区域竞争力的集中体现,党的十八届五中全会进一步强调要坚持创新发展,将创新摆在国家发展全局的核心位置。创新效果受到系统环境的影响,在创新生态系统中,各个创新主体与创新环境之间,通过技术、人才、资金、信息相互影响、相互制约,形成一个协同演化、创新开放的复杂系统。建设区域创新生态系统和发展区域创新能力是提升国家竞争力的重要路径,探讨区域创新生态系统内部主体协同演化规律,实现区域协同发展,成为理论界亟待研究的问题和实践难点。演化思想和生态位适宜度为研究区域创新生态系统协同演化机制(路径)提供了一个新视角。
国内外学者对区域创新生态系统进行了广泛研究,主要集中于系统的构成、结构、生存机制和系统评价,但是从系统论角度对区域创新生态系统演化的研究较少。20世纪90年代后期,将生态学理论应用于创新问题研究日渐增多并逐步深入,学者们通过研究发现,在创新过程中被认为彼此对立的关系有些逐渐变为互补或者共生的关系。Joseph[1]与Athreye[2]分别将自然生态系统演化思想应用到高技术企业创新路径的研究,发现企业创新路径依赖性带有生态学的遗传、变异特征。Metcalfe和Ramlogan[3]指出,只有当创新主体为促进自身创新而与其它创新主体及周围环境建立广泛联系,将各种知识资源与创新资源有效结合时,才能真正建立创新生态系统。朱迪·埃斯特琳[4]从群落的角度,将创新生态系统划分为研究、开发和应用三大群落。
黄鲁成[5]将区域技术创新理论与生态学理论结合,提出区域技术创新生态系统的新概念。国内外学者对创新生态系统的演化机制进行了研究,Lee和Lim[6]提出技术跟随与“蛙跳”理论,认为区域技术创新有可能完全按照线性过程演化,也有可能表现出阶段跳跃式演化过程。郁培丽[7]从创新系统视角研究产业集群问题,揭示了产业集群技术知识创新系统演化规律及演化路径。陈瑜、谢富纪[8]引入生态学的Lotka-Volterra竞争捕食者模型,模拟研究了我国光伏产业生态系统演化路径。胡浩、李子彪[9]对区域创新极间共生演化模型进行了分析和模拟,发现系统演化结果受创新极间共生关系的影响。赵树宽[10]引用生态学理论和方法,运用生物种群演化的logistic模型对企业生态系统演化过程进行了描述。程胜[11]根据产业集群的不同形式构建了logistic模型,对平衡稳定状态下企业共生经济效益进行了分析与对比。
1917年Grinell提出生态位概念,认为生态位是种的最后分布单位,强调空间性。在生态位的基础上,李自珍[12]提出生态位适宜度概念,定义了种居住地的现实生境条件与最适生境条件之间的贴近程度,已广泛应用于区域资源、城市系统等领域。覃荔荔、王道平[13]等人则应用生态位适宜度模型对湖南省区域创新系统可持续发展进行了评价。郭燕青、姚远[14]等人将生态位适宜度相关理论推广到创新生态系统评价问题,构建了创新生态系统生态位适宜度评价模型。周青和陈畴镛[15]、苌千里[16]等分别应用生态位适宜度模型和模糊层次分析法对不同地区的区域创新生态系统适宜度情况作出评价与分析。
综上所述,国外对于区域创新生态系统的内涵与外延并没有统一界定,相关研究还处于初期阶段,而国内研究多是以发达国家的研究作为逻辑起点,虽已形成对区域创新生态系统的初步认识,但还存在以下问题:一是缺乏结合区域情景,尤其是跨行政区域协同创新情景的研究;二是缺乏对区域经济发展及区域创新政策的理论指导作用。因此,本文对区域创新生态系统的竞争演化和协同创新演化进行分析,对京津冀进行生态位适宜度评价,从而构建京津冀协同创新系统,以实现京津冀“1+1+1>3”的效应。
区域创新生态系统中创新主体的演化与生物种群的演化类似。在创新生态系统中,创新主体都占据着各自的生态位,为了保证发展,创新主体间会发生竞争以争夺有限的生存空间。如中小企业间由于产品差异较小而出现恶性竞争,这种现象的发生主要是由于企业生态位重叠。这种生态位重叠现象可以通过协同创新来消除。按照生态学理论,区域创新生态系统的运行会经历孵化、成长、成熟,直至创新衰退或者持续创新的演化路径。为了实现系统健康、可持续发展,需要系统内创新主体间的竞争合作来促进系统演化。在成员间的协同创新下,系统可能产生“1+1>2”的效应。
2.1 区域创新生态系统创新主体间竞争演化机制
Logistic方程由菲尔哈斯在1838年提出,主要应用于动植物生长发育或者繁殖过程等研究,当前也被应用于社会经济现象研究。本文借鉴赵树宽[10]、程胜[11]的研究,利用生物种群的Logistic模型对区域创新生态系统的竞合演化进行研究。
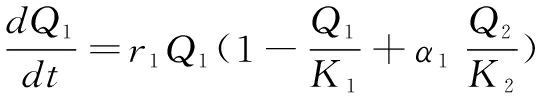
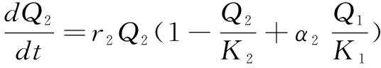
(1)模型假设和构建。为了方便,假设区域创新生态系统中只有A和B两个创新主体,A和B之间存在竞争关系,同时研发同一种产品。由于在一定区域内创新要素的数量确定,因此区域创新效益是存在上限的。在市场规模限制下,创新主体A和B会彼此相互竞争,努力争取更多的创新资源,占据更多的生态位,以形成有利于自身发展的格局。当A的竞争力大于B 时,A主体可能将B主体淘汰从而获得胜利;反之,亦然;当A和B的竞争力不相上下时,A和B不能将彼此淘汰,此时创新主体间的竞争会达到某种平衡状态。假设A和B主体的Logistic方程如下:
方程中的r1和r2分别代表A与B两个创新主体在理想环境下创新产出水平的最大变化率;Q1和Q2分别代表A与B的实际创新产出水平;K1和K2分别代表A与B两个创新主体由于环境限制所能创造的最大创新产出水平。
关于物种间竞争关系的定量描述,洛特卡(Lotka)和沃尔泰拉(Volterra)提出了著名的种间竞争模型,即Lotka-Volterra模型。如果创新主体的规模小,竞争程度高,那么它们合作的可能性不大,系统处于较低水平,创新主体对创新资源的消耗是竞争性的。因此,根据Lotka-Volterra模型,在上述一般Logistic模型的基础上考虑创新主体A和B之间的竞争程度,得到新的Logistic模型。
竞争系数可以表示A和B之间的竞争程度,设λ1为B主体对A主体的竞争系数,代表创新主体B对A的竞争抑制作用,此时A主体的Logistic方程变化为:
同理,B主体的Logistic方程变化为:
其中,λ2为A主体对B主体的竞争系数。
(2)稳定点求解。当
时,A和B达到竞争的平衡状态。根据A和B达到平衡状态的方程求解平衡点,K1-Q1-λ1Q2=0和K2-Q2-λ2Q1=0分别为创新主体A与B的平衡方程。在存在竞争的情况下,A和B主体的平衡条件可以用等值线表示,如图1和图2所示。
以A主体为例,当Q1=K1,Q2=0时,A主体研发的产品完全挤掉了B主体的产品,淘汰了B主体;当
时,B主体研发的产品完全挤掉了A主体的产品,淘汰了A主体,这两个点是两轴上的点,斜线上的其它点表示A主体的其它平衡条件。当
时,此时的点落在斜线内部,A 主体的创新产出水平是逐渐提升的;当
时,此时的点落在斜线外部,A主体的创新产出水平是逐渐降低的。

图1 A主体的平衡条件 图2 B主体的平衡条件
两个竞争主体能实现稳定共存的基本条件是K1-Q1-λ1Q2=0且K2-Q2-λ2Q1=0,这种情况只发生在创新主体A和B等值线的交叉点上,即![]()
(3)综合结果分析
值的大小决定着A和B的淘汰结果。根据上述两图的叠加,大致可分为4种情况:①当
时,B胜利A失败;②当
时,A胜利B失败;③当
时,A和B处于不稳定的状态,都有可能取胜;④当
时,该种情况不可能出现。
2.2 区域创新生态系统创新主体间的共生协同演化机制
2.2.1 模型建立
创新主体间竞争演化的分析结果表明,过度的竞争不利于创新主体的成长和发展。因此,创新主体间缺乏竞争不利于创新主体成长,但是过度的竞争也会使区域创新生态系统的发展陷入恶性循环。如果系统内的创新主体因某种共同利益形成合作关系,相互信任度提高,那么系统内的技术创新和产品创新均会开始出现,从而有利于创新主体间合作范围的扩大。基于这种合作共生有利于创新主体的共同发展,考虑到创新主体间的共生协同关系,建立新模型。类似于区域创新生态系统创新主体间的竞争演化机制,假设存在A和B两个创新主体,A和B 之间是共生协同关系,A和B两个创新主体分别对对方的创新产出有促进作用,此时A和B的Logistic方程为:
其中,α1和α2均大于零,分别代表B主体对A主体创新产出的贡献率、A主体对B主体创新产出的贡献率。
2.2.2 稳定点求解
类似于区域创新生态系统创新主体的竞争演化机制稳定点求解,区域创新生态系统创新主体间共生协同演化的平衡条件为
得到稳定点为
而A和B两主体形成互利共生稳定均衡状态的条件是Q1>0,Q2>0,即α1α2<1。
(1)当两个创新主体之间的差距较大时,其中一个创新主体会起主导作用(假定为A主体),另外一个创新主体为主导主体服务,即α1较小,α2较大,主导主体对整个系统的创新贡献较大,其余主体对主导主体的创新贡献只是产品或者服务。在区域创新生态系统中,起主导作用的创新主体较少,而能为主导主体提供产品或者服务的主体较多,主导主体有较多选择,此时α1α2<1表示在区域创新生态系统中创新主体间达到平衡必须满足α1<1且α2>1。这种情况下,要求主导主体必须有很强的创新能力,对其余创新主体的创新贡献较大,其余创新主体间的分工明确,创新主体间的竞争是区域创新生态系统保持平衡的条件。
(2)当创新主体间对彼此的创新贡献不大时,基本上不会出现α1<1,α2>1或者α1>1,α2<1的情况,那么区域创新生态系统保持平衡的条件是α1<1且α2<1,此时稳定平衡点是
显然在稳定平衡点处创新主体A和B的实际创新产出分别为
与
此时创新主体A和B的创新产出均大于他们独立经营时的最大产出,由创新主体间协同共生演化产生的企业竞争优势开始凸显。这就要求创新主体间在竞争的同时也要形成资源信息、R&D甚至原材料采购方面的合作,这样创新主体间的共生性不断增强,克服了创新主体内部不经济的劣势,同时,提高了创新主体各自的竞争优势,形成了对创新主体双方有利的格局。
区域创新生态系统内创新主体间的竞合演化对寻找组织间平衡条件、选择系统演化路径具有重要意义。在演化基础上,选择合适的系统演化路径有利于系统可持续发展。
区域创新生态系统演化为京津冀区域的协同发展提供了理论支持,但是一旦区域内发生生态位重叠现象,特别是过度竞争则会阻碍生态系统的健康发展,如京津冀中某区域创新系统的生态位适宜度过低,则会阻碍京津冀的协同发展。对京津冀地区生态位适宜度和进化动量进行测度,能够明晰各地在不同创新生态因子上的优劣势及对策实施后的效果,为实现京津冀优势互补和制定一体化发展政策提供充分的科学依据,有利于京津冀一体化的区域创新生态系统演化。因此,本文根据区域发展与资源环境需求关系,利用生态位理论,建立生态位适宜度模型。生态位适宜度能反映现实生态位与最适生态位之间的差异,能反映创新活动所需创新资源的满足情况;进化动量能进一步评价区域创新生态系统生态位适宜度的进化空间。
3.1 区域创新生态系统生态位适宜度模型
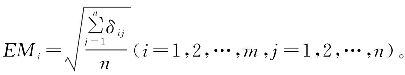
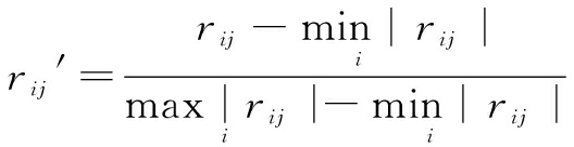
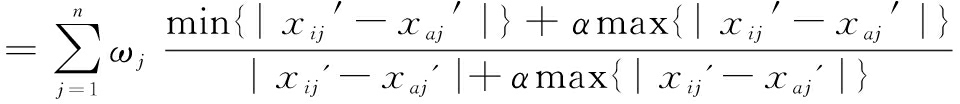
生态位理论是研究物种生态位构建的理论基础,本文以区域创新生态系统为研究对象,考虑到与创新有关的群落、资源和环境等生态因子,设X={x1,x2,…,xn}为选定的生态因子的量化指标,其中,xj∈Ij(j=1,2,…,n)。由于区域创新生态系统是连续动态演化的,因此不同地区的生态因子量化指标构成了m维生态因子空间Em,Em=[Xij]m×n,其中i=1,2,…,m,j=1,2,…,n。适宜度概念为系统生态因子间协同性和耦合性的定量与客观评价提供了有效的分析思路。区域创新生态系统的生态位适宜度是生态因子实际值与最适值之间的贴近程度,能够较好反映不同创新种群对其生态环境的适应程度。生态位适宜度值越大,生态因子满足生态需求的程度越高,其值一般在0~1之间,生态位适宜度模型如下:
其中,ωj是生态因子所占权重,δij=|xij'-xaj'|(i=1,2,…,m;j=1,2,…,n)为xij'和xaj'之间的绝对差,xij′为无量纲化结果,xaj'为第j个生态因子的最佳生态位,α∈[0,1]为模型参数,一般由Ft=0.5求出
所以![]()
进化动量主要评价生态位适宜度的进化空间,其模型为
3.2 基于熵权模型的生态因子权重向量
按照信息论原理的解释,信息可以测量系统的有序程度,熵可以表示系统的无序程度。熵权模型作为客观的权重确定方法,是一种在综合考虑各种因素所提供的信息量的基础上确定综合指标的方法,能够根据各指标传递给决策者的信息量大小确定权重。在信息论原理的带动下,熵概念被应用到经济学领域。熵权法能准确反映区域创新生态系统评价指标中所含的信息量,能够解决区域创新生态系统评价指标的量化、权重确定等问题。
假设评价区域包括m个创新生态系统,每个创新生态系统包含n个生态因子,分别为xj(j=1,2,….,n),通过查询各省市统计年鉴、统计公报和中国统计年鉴,获得评价指标体系中评价指标的统计值,则判断矩阵为R=(rij)m×n(i=1,2,…,m,j=1,2,…,n)。其中,rij表示第i个区域创新生态系统在第j个生态因子上的统计值。由于各生态因子指标单位的不同,为了消除不同单位间的影响,需要将判断矩阵标准化。本文采用极值法对判断矩阵进行标准化,得到R′=(rij′)m×n(i=1,2,…,m,j=1,2,…,n),标准化后矩阵指标的统计值变为
标准化后可以计算各个生态因子的信息熵,则第j个生态因子的熵可以表示为
其中
假定当kij=0时,kijlnkij=0),确定熵值后,根据公式
可以确定第j个生态因子的权重。
从信息角度看,熵权代表在评价生态位适宜度时生态因子提供有用信息的多少。生态因子熵权越大,表示该生态因子在评价适宜度时提供的有用信息越多。运用熵权法能客观确定生态因子权重,并且对众多生态因子进行选择,从而提取能反映区域创新生态系统生态位适宜度的相关指标,保证评价指标能最大限度地提供评价生态位适宜度所需的各种信息。
区域创新生态系统的可持续发展是以知识为主要创新资源的持续供给、以竞合协同为主体关系和以系统结构不断演化为基础的,建立区域创新生态系统的目标是为了使创新主体保持活力,使系统具有可持续生态能力,从而为系统内的创新活动提供有效的资源支持。生态位适宜度能反映现实生态位与最适生态位之间的差异。
4.1 区域创新生态系统生态位适宜度评价指标体系
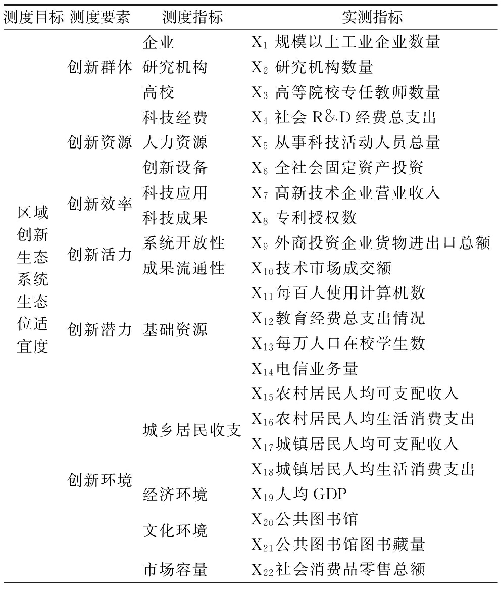
为了更好地评价京津冀区域创新生态系统生态位适宜度,本文在遵循科学性、可比性、可获得性、可靠性、完备性和代表性等原则基础上,借鉴覃荔荔、周青、苌千里等人的研究、清华大学启迪研究院的《中国城市创新创业环境评价研究报告》、硅谷指数和世界竞争力指数,构建了区域创新生态系统生态位适宜度评价指标体系(见表1),具体包括创新群体、创新资源、创新效率、创新活力、创新潜力和创新环境。创新资源指标主要反映系统进行创新所需要消耗的资源,知识资源生态位决定创新主体在区域创新生态系统内的创新生态位,科技经费是技术创新得以实现的前提,人力资源是知识资源产生的源头;创新效率直接反映系统创新体系的运行效果,知识产权是区域创新生态系统中重要的创新资源,是创新效率的直接体现,因此选用专利数来代表,科技成果的商业化程度是构建创新生态系统的目的,用高新技术企业营业收入代表科技应用成效;外商投资企业货物进出口总额、技术市场成交额能代表系统的开放性和资源流动性,表征创新活力;每百人使用计算机数、教育经费总支出情况、每万人口在校学生数、电信业务量代表了目前系统中资源和能力能否支持未来区域创新生态系统的可持续发展;创新环境指标则借鉴《中国城市创新创业环境评价研究报告》,选取8个指标。这些指标虽然不能全面代表测度指标的真实情况,但是在一定程度上可以反映区域创新生态系统生态位适宜度的基本情况。
表1 区域创新生态系统生态位适宜度评价指标体系

测度目标测度要素测度指标实测指标企业X1规模以上工业企业数量创新群体研究机构X2研究机构数量高校X3高等院校专任教师数量科技经费X4社会R&D经费总支出创新资源人力资源X5从事科技活动人员总量创新设备X6全社会固定资产投资创新效率科技应用X7高新技术企业营业收入科技成果X8专利授权数创新活力系统开放性X9外商投资企业货物进出口总额区域创新生态系统生态位适宜度成果流通性X10技术市场成交额X11每百人使用计算机数创新潜力基础资源X12教育经费总支出情况X13每万人口在校学生数X14电信业务量X15农村居民人均可支配收入城乡居民收支X16农村居民人均生活消费支出X17城镇居民人均可支配收入创新环境X18城镇居民人均生活消费支出经济环境X19人均GDP文化环境X20公共图书馆X21公共图书馆图书藏量市场容量X22社会消费品零售总额
4.2 数据来源
本文以京津冀区域为研究对象,通过对比东部地区适宜度和进化动量来判断各地区创新活动所需资源的供求情况,从而对整合区域创新资源的统筹规划和政策制定提供科研成果支持,提升京津冀区域整体创新能力。
为了评价京津冀区域创新生态系统生态位适宜度和进化动量,本文选择北京、天津、河北、辽宁、上海、江苏、浙江、福建、山东、广东、广西和海南等12个省市作为样本,数据主要来源于《中国统计年鉴2015》、各省市统计年鉴2015、各省市统计公报2015。
4.3 数据分析
(1)生态因子权重确定。为了评价京津冀区域创新生态系统生态位适宜度和进化动量,首先需要确定生态位适宜度模型中的生态因子权重,将12个省市的原始数据构成12×22阶判断矩阵,由于各生态因子的量化单位不同,需要将原始数据标准化,利用公式
将原始数据标准化后的结果如表2所示。
根据信息熵的公式,确定各生态因子的信息熵,结果如表3所示。
最后,通过指标权重公式确定22个生态因子的权重,结果如表4所示。
(2)京津冀区域创新生态系统生态位适宜度及进化动量确定。在确定22个生态因子权重的基础上,利用公式
确定12个省市的生态位适宜度。其中,α一般由Ft=0.5确定
所以
计算得出α=0.621。
将结果代入生态位适宜度和进化定量公式,可以得到12个省市创新生态系统生态位适宜度和进化动量,评价结果如表5所示。
表2 各地区生态因子标准化后数值

X1X2X3X4X5X6X7X8X9X10X11X12X13X14X15X16X17X18X19X20X21X22北京0.0681.0001.0000.7760.2820.0970.5980.3680.1191.0001.0000.3470.2620.2360.8140.9121.0001.0000.9270.0260.7470.309天津0.1060.1200.5150.2780.1790.1880.1170.1250.1160.1240.2950.2090.2010.0330.6660.8200.3020.4951.0000.0660.1710.129河北0.2980.1200.2760.1840.0670.5980.1640.0930.0100.0090.0000.4240.6090.2530.1200.1830.0000.0620.0961.0000.2440.389辽宁0.3170.1450.2560.2590.0020.5490.1360.0900.0660.0690.0230.2620.5060.1940.2010.1310.2030.2930.4450.7150.4530.390上海0.1880.3500.1460.5240.1880.0740.5270.2460.5180.1890.6360.3180.2020.1971.0001.0000.9660.8290.8910.0261.0000.297江苏1.0000.2990.4421.0001.0000.9860.9241.0000.5870.1730.0450.8140.9390.5040.5020.5970.4180.4510.6760.6160.8440.816浙江0.8370.0770.2270.5520.4340.5370.4720.9420.1490.0280.0450.5240.4940.4290.8550.9080.6660.6530.5530.5100.7510.610福建0.3390.0260.1620.2700.2080.3830.1250.1830.1110.0120.0000.2810.3510.2390.3170.5080.2700.3830.4210.4440.3230.298山东0.8350.1030.4280.7980.3621.0000.5580.3590.1670.0790.0000.7871.0000.3970.2500.1490.2080.1750.3850.8740.5850.877广东0.8430.1200.3990.9850.5780.5891.0000.8991.0000.1320.2501.0000.9981.0000.2850.3910.3280.4590.4210.7750.8571.000广西0.1050.0090.1330.0590.0720.2720.0820.0410.0000.0030.0450.2970.3230.1430.0000.0000.0220.0000.0000.6030.2980.167海南0.0000.0000.0000.0000.0000.0000.0000.0000.0040.0000.4320.0000.0000.0000.0980.0410.0140.1320.0810.0000.0000.000
表3 生态因子信息熵
X1X2X3X4X5X6X7X8X9X10X11X12X13X14X15X16X17X18X19X20X21X22信息熵0.8470.7440.8910.8830.8160.8790.8520.8110.7360.6270.6810.9120.9040.8660.8760.8630.8290.8850.8950.8560.9160.896
表4 生态因子权重
X1X2X3X4X5X6X7X8X9X10X11X12X13X14X15X16X17X18X19X20X21X22权重0.0430.0720.0310.0330.0520.0340.0420.0530.0750.1060.0900.0250.0270.0380.0350.0390.0480.0330.0300.0410.0240.030
表5 京津冀区域生态位适宜度及进化动量评价结果

城市生态位适宜度生态位适宜度排序进化动量进化动量排序北京0.71810.64410天津0.47370.8466河北0.45280.8743辽宁0.44890.8615上海0.57940.7297江苏0.66530.57912浙江0.56150.6999福建0.445100.8624山东0.54560.7278广东0.67220.59111广西0.411110.9372海南0.399120.9821
4.4 结果分析
通过对北京、天津、河北、辽宁、上海、江苏、浙江、福建、山东、广东、广西和海南等12个省市创新生态系统生态位适宜度及进化动量的测度研究发现(如图3所示),2014年北京的创新适宜度最高(达到0.718),其次是广东和江苏(分别为0.672,0.665),相差不大,天津和河北分别位于第7位和第8位。就京津冀区域而言,河北省的生态位适宜度最低,天津略高于河北,而天津和河北的生态位适宜度距北京还有一定差距。进化动量主要评价生态位适宜度的进化空间,河北省的进化动量达到0.874,说明其生态位适宜度的进化空间较大;天津的进化动量为0.846,天津和河北的进化动量大于北京的0.664,说明天津和河北的创新效益有上升空间。北京在研究机构数量、高等院校专任教师数、技术市场成交额、每百人使用计算机数、城镇居民人均可支配收入、城镇居民人均生活消费支出等生态因子方面处于样本中12个省市的首位,河北省的生态位适宜度在京津冀区域中最低,是京津冀区域协同创新发展的“短板”,不利于京津冀区域的可持续发展,因此需要进行创新资源整合。企业作为创新主体,应把握系统内企业间的竞合关系,通过协同研发提高效益,同时,密切关注所处创新生态系统的结构变化和功能升级蜕变,以促进区域创新生态系统的可持续演化。
生态位适宜度模型反映了支撑区域创新生态系统可持续利用的现实资源生态位与最适宜生态位间的几何贴近度,可以定量分析创新资源对创新主体和系统发展的适宜程度,为实现创新资源可持续利用、系统结构不断演化提供了分析基础。
区域创新生态系统的本质是创新主体间不能分割的联系,是在创新环境下系统创新主体间相互复杂作用的结果。审视国内,协同创新已经成为转变经济发展方式的新型创新模式,因此只有通过区域协同发展,建立系统创新的生态网络,实现资源互补,才能突破个体创新的瓶颈,从而提升京津冀的生态位适宜度,实现系统的可持续演化。在生态学中,对生态系统进行中度干扰将有利于产生和维持生态的多样性,因此京津冀地区可以通过对创新生态系统的中度干扰,发挥京津冀创新活动的优势和改善创新活动的劣势。在京津冀这个大版块中,河北和天津的进化动量远远高于北京,可以通过改善天津和河北的创新环境来提高京津冀区域整体的生态位适宜度,从而带动区域发展。

图3 京津冀区域创新生态系统生态位适宜度及进化动量
京津冀协同创新的重要任务就是整合区域科技、人才等创新资源,建立健全区域创新体系,形成京津冀协同创新共同体。为了京津冀协同创新的实现,需要借鉴硅谷经验,构建京津冀协同创新生态系统,如图4所示。
京津冀三地之间可以建立共享的创新平台或者联盟,以促进区域间科技创新资源的流动配置和共享,同时,建立统一的技术转移和科技成果转化平台,开展三地互动的科技服务,以促进科技成果转化。中关村创业资源最丰富,京津冀资源高度互补,新兴产业发展和传统产业改造空间巨大。在孵化器合作层面,可以探讨孵化器管理模式的输出和承接,推动各类资源和要素的互联互通与平台建设。在科研设施方面坚持开放共享的原则,可以建立区域内产学研资源共享机制;在创新要素方面,形成互联互通的人才市场、技术市场和多层次资本市场,使人才、技术和资金等创新要素在京津冀三地顺畅流动;在政府政策方面,通过政策引导、支持和激励,实现跨区域协作组织、会议和机制的建立。

图4 京津冀协同创新生态系统
参考文献:
[1] JOSEPH M ABE,DAVID A.BASSETT,PATRICIA E.DEMPSEY.Business ecology:giving your organization the natural edge[M].Oxford:Butterworth Heinemann,1998:156-160.
[2] ATHREYE S.Competition,rivalry and innovative behavior[J].Economics of Innovation& New Technology,2001,10(1):5-11.
[3] METCALFE S,RAMLOGAN R.Innovation systems and the competitive process in developing economies[J].The quarterly review of economics and finance,2008,48(2):433-446.
[4] 朱迪·埃斯特琳.美国创新在衰退[M].北京:机械工业出版社,2010.
[5] 黄鲁成.论区域技术创新生态系统的生存机制[J].科技管理研究,2003(2):47-51.
[6] LEE K,LIM C.Technological regimes,catching-up and leapfrogging:findings from the Korean industries[J].Research Policy,2001,30(3):459-483.
[7] 郁培丽.产业集群技术知识创新系统演化阶段与路径分析[J].管理学报,2007,4(4):483-487.
[8] 陈瑜,谢富纪.基于 Lotka—Voterra 模型的光伏产业生态创新系统演化路径的仿生学研究[J].研究与发展管理,2012,24(3):74-84.
[9] 胡浩,李子彪,胡宝民.区域创新系统多创新极共生演化动力模型[J].管理科学学报,2011,14(10):85-94.
[10] 赵树宽,郝陶群,李金津.基于 logistic 模型的企业生态系统演化分析[J].工业技术经济,2008,27(10):70-72.
[11] 程胜.基于 Logistic 模型产业集群演化稳定性研究[J].西北农林科技大学学报:社会科学版,2007,7(5):36-40.
[12] 李自珍,韩晓卓,李文龙.具有生态位构建作用的种群进化动力学模型及其应用研究[J].应用数学和力学,2006,27(3):293-299.
[13] 覃荔荔,王道平,周超.综合生态位适宜度在区域创新系统可持续性评价中的应用[J].系统工程理论与实践,2011,31(5):927-935.
[14] 郭燕青,姚远,徐菁鸿.基于生态位适宜度的创新生态系统评价模型[J].统计与决策,2015(15):13-16.
[15] 周青,陈畴镛.中国区域技术创新生态系统适宜度的实证研究[J].科学学研究,2008,26(S1):242-246.
[16] 苌千里.基于生态位适宜度理论的区域创新系统评价研究[J].经济研究导刊,2012(13):170-171.
[17] 刘洪久,胡彦蓉,马卫民.区域创新生态系统适宜度与经济发展的关系研究[J].中国管理科学,2013,11(21):764-770.
[18] 解学梅.协同创新效应运行机理研究:一个都市圈视角[J].科学学研究,2013,31(12):1907-1920.
(责任编辑:胡俊健)
Evaluation on Niche Suitability of the Innovation Ecosystem of Beijing-Tianjin-Hebei
Abstract:Regional innovation ecosystem is a dynamic and evolving system, good innovation environment is conducive to the evolution of the system. This paper analyses evolution of competition and the evolution of collaborative innovation among innovative subjects using Logistic Growth Model .the paper evaluates niche suitability of Beijing-Tianjin-Hebei region's evolutionary momentum, and constructs collaborative innovation ecosystem of Beijing-Tianjin-Hebei region in order to achieve the synergistic effect.
Key Words:Innovation Ecosystem; Niche Suitability; Evolution; Logistic Growth Model; Beijing-Tianjin-Hebei
收稿日期:2016-09-06
基金项目:河北省社科基金项目(HB16YJ028)
DOI:10.6049/kjjbydc.2016070005
中图分类号:F207
文献标识码:A
文章编号:1001-7348(2017)04-0047-07