摘 要:产业政策是市场经济国家普遍采用的一种公共调节政策,产业政策有效性评价是检验政策实施效果的基本途径。在合理构建制造业产业政策绩效评价指标体系的基础上,运用灰色关联神经网络智能算法对2005-2014年各指标数据进行预测,再利用差值对比法对2005-2014年中国制造业产业政策作用效力进行综合评价。分别从产业结构、组织、科技、布局角度实证分析了制造业在转型升级过程中产业政策实施绩效水平及其演进阶段性特征,可为今后制定合理的制造业产业政策提供科学的理论依据。
关键词:制造业产业政策;差值对比评价;有效性评价;人工神经网络预测
2016年8月,中国两位著名经济学家张维迎和林毅夫围绕产业政策展开了一场 “世纪之辩”,进而引发了公众对于中国式产业政策问题的探讨。产业政策作为政府干预经济的重要手段,对合理实现社会资源有效配置具有重大意义。纵观制造业发展历程可知,政策因素在推动制造业发展过程中起关键作用。为支持制造业发展,国家在不同经济发展时期针对不同制造业领域和区域出台了多项发展促进规划、指导意见和政策,用于引导中国工业化进程及制造业转型升级发展。总体来说,制造产业结构呈转型升级变化趋势,高技术制造业、高端装备制造业等符合经济转型升级方向的产业得以迅速发展。但制造业产业政策却存在消极效应,如对水泥、钢铁、汽车、光伏等行业的过多干预致使出现了严重的产能过剩。一项产业政策对于制造业发展带来的是积极促进效应还是消极影响,仅从政策自身目标和内容无法直接反映。而产业政策实施有效性评价能够依据科学分析方法,对产业政策实施效果作出价值判断,从而确定制造业产业政策措施是否有效,其是检验政策效果、效益和效率的基本途径。同时,还可根据评价结果找出制造业产业政策的“软肋”和“短板”,并根据需求及时对产业政策进行调整,为经济决策部门今后制定更加有效的制造业产业政策及政策组合提供科学依据。
在对产业政策的相关研究中,刘昌黎[1]对产业政策进行了具有代表性的概括,指出“产业政策是指国家或政府为了实现某经济和社会目的,以全产业为直接对象,通过对全产业的保护、扶植、调整和完善,积极或消极参与某种产业或企业生产、经营、交易活动,以及直接或间接干预商品、服务、金融等市场形成和市场机制的政策总称。
虽然产业政策在中国制造业快速发展过程中确实起到了至关重要的推动作用,但其是否合理有效却在经济学界一直存在争议。Peltzman[2]认为,市场本身能够实现经济资源优化配置,政府介入会干预自发的市场机制,降低市场配置效率。Lee Jong-wha[3]指出,韩国政府在38个行业中制定的税收优惠和贷款补贴政策与全要素生产率不存在相关性,而贸易保护政策却降低了劳动生产率及全要素生产率,说明政府干预并未提升产业生产率。舒锐[4]基于政策偏度测量税收优惠产业政策、研发补贴产业政策在35个工业产业中的实施效果,发现两项产业政策虽然都可以促进产业产出增长,但不能提升行业生产效率。Martin[5]从宏观与产业层面分析了产业政策的作用效力,指出政府补贴多数缺乏效率,未能给企业竞争力带来实质性提升。但也有许多学者持相反态度。南亮进[6]对日本工业发展经验进行案例分析,在揭示产业结构与经济发展水平相关性的基础上,指出政府采用产业政策积极推动产业结构调整和升级,有利于落后产业发挥“后发优势”。Stiglitz[7]认为,东亚经济迅速发展得益于产业政策的正确引导与实施,在市场机制不完善时实施正确的产业政策可以弥补“市场失灵”。Nunn等[8]指出,以保护特定行业技术发展为目标的关税保护政策对长期经济增长的作用效力主要取决于特定国家制度,制度越完善则政策实施的正向促进作用越明显。
鉴于产业政策在不同国家、不同时期发挥着不同作用,对产业政策实施进行有效性评价是检验政策效果最直接的方法。现阶段,国内外学者分别从不同角度评价了产业政策,极大程度上丰富了产业政策实施效应测度方法。Mellssa Liew等[9]构建了时间Petri网(TPN)并行时间计划模型,将其用于具体产业政策评价中,制定了产业政策实施有效最优时间规划。William A等[10]在不确定性条件下,采用模型平均法描述了一个总体框架,用于说明政策实施结果是否依赖模型,并用其评估了新凯恩斯的货币政策规则。Aghion等[11]通过构建“Science、Techonology、System Paradigm”(科学、技术、系统范式模型)对产业政策进行动态模拟,对高技术产业政策实施效果进行了评估。刘希宋等[12]分别从产业结构政策、产业组织政策、产业技术政策和产业布局政策4个维度构建了产业政策评价指标体系,运用AHP层次分析法对我国当前支柱产业政策实施效果进行了量化研究。宁凌等[13]运用DEA分析法对广东省高技术产业政策实施绩效有效性进行了评价。结果表明,广东省高技术产业政策实施具有一定有效性但未达到预期目标,其中自主创新政策是重要影响因素。严飞[14]采用模糊层次分析法评价了产业集群政策,通过测算各评价准则的权重和优先次序,指出生产要素是促进产业集群成长的首要因素。邱兆林[15]基于要素投入倾斜度测量了工业行业产业政策偏度,运用回归模型实证分析得出科技研发投资斜度对全要素生产率具有正向影响,而固定资产投资斜度对产业规模和产出增长率具有负向影响。
目前,国内关于产业政策有效性评价的研究较少,以往对制造业产业政策的研究多以理论定性研究为主,定量分析实证研究不多。通过对现有研究进行总结发现,针对产业政策实施有效性的评价尚存在几个需要深入研究的方面:①在测评对象方面,鉴于产业政策具有多重性、多元性特点,制造产业能否健康发展取决于同期多项产业政策的共同作用,同时还受到前一阶段产业政策时滞效应的影响,而不依靠单一产业政策的贡献。因此,不能局限于单一或某个种类政策进行孤立研究,应对制造产业政策进行整体性综合效用分析;②在研究方法方面,采用层次分析法、模糊综合评价和DEA分析法的研究较多,多是通过分析各项指标评价数值大小与升降程度来反映产业政策实施有效程度。如果产业政策实施作用力度大于制造业自身产业发展演进动力,则其测度结构能够反映产业政策的实际效用,但其弊端在于如果产业政策作用力小于制造业自身产业发展演进动力,且与制造产业发展演进方向相悖,则其测度结果并不具有准确性,无法对产业政策实施前后作用效力进行有效检验。因此,有必要引入一些新评价方法对制造业产业政策实施有效性进行测度,并丰富其评价方法体系。本文采用差值对比评价方法,通过对比受到产业政策影响与无政策影响下的指标数值,选取两者的对比差值作为待评价的初始数据,无论产业政策实施后所产生的作用大小与方向正悖,都能够直观辨识到其对产业整体发展的促进作用或抑制作用。此外,通过多指标综合评价方法能够进一步判定产业政策实施有效性程度。
因此,本文基于有无对比法提出差值对比评价方法,采用灰色关联人工神经网络智能算法,依据1995-2004年各指标数据对2005-2014年数据进行预测,并基于实际数值与预测值的差值对2005-2014年中国制造业产业政策有效性进行综合评价,分别从产业结构调整、组织优化、技术进步和布局稳定4个方面测度制造业产业政策实施有效程度,探寻各类产业政策在不同发展阶段的演进特征,为今后制定合理的制造业产业政策提供科学的理论依据。
2.1 指标体系构建与数据来源
本文依据《行业分类国家标准》对制造业分类进行界定,将二位数代码在C13-C37、C39-C43区间的行业明确界定为制造业。研究所用数据分别来源于《中国统计年鉴》(1996-2015)、《中国工业统计年鉴》(1996-2015)、《中国税务年鉴》(1996-2015)、《中国科技统计年鉴》(1996-2015)、《中国固定资产投资统计年鉴》(1996-2015)及《中国制造业发展研究报告》。
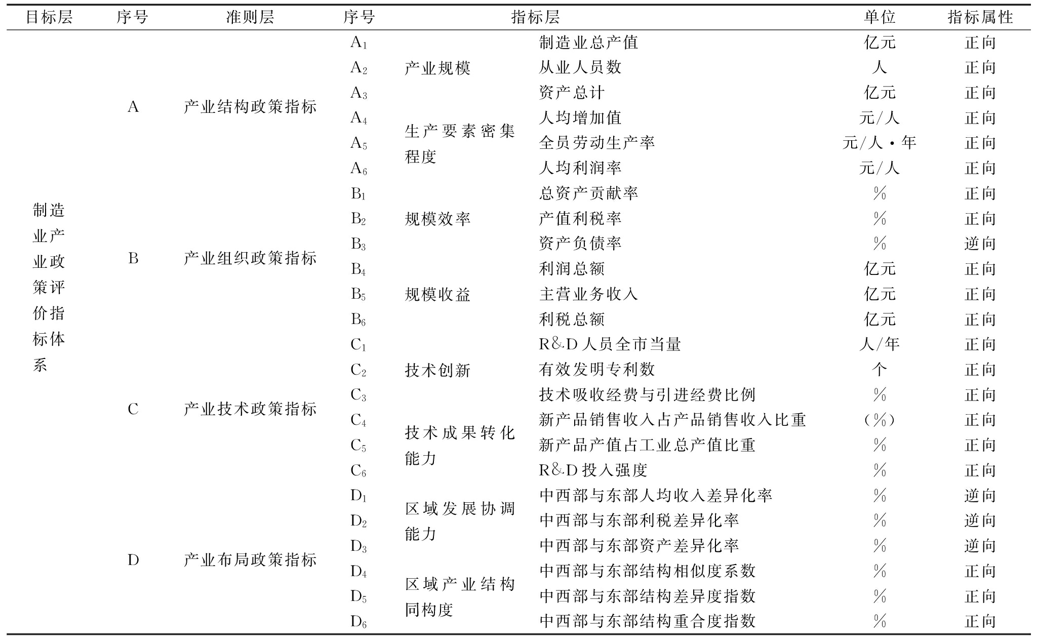
在构建制造业产业政策绩效评价指标体系时,应结合产业政策内涵与制造业自身产业属性两个因素,对指标内容核心要素进行凝练与总结,从而能够准确、合理、系统地反映制造业产业政策的综合特征。因此,本文在刘希宋等[12]构建的产业政策绩效评价指标体系的基础上,分别以产业结构、产业组织、产业技术和产业布局4个方面作为制造产业政策绩效评价指标体系的准则层指标。参考陈瑾玫[16]和邱兆林[17]对产业政策效应评价的分析视角,鉴于产业结构政策作用效果反映在制造业在合理演进过程中产业政策实施对其产业经济增长和资源优化配置的促进程度,其有效性程度主要从产业规模、生产要素密集程度两个方面衡量;产业组织政策能够反映制造业产业规模经济及产业内部资源有效利用程度,其有效性程度主要从规模效率、规模收益两个方面衡量;产业技术政策实施重点在于调节制造产业技术发展适度性及提高创新有效性,其有效性程度主要从技术创新能力、技术成果转化能力两个方面衡量;产业布局政策通过测算中西部与东部各项经济指标的差异与重合程度,能够进一步反映制造业产业布局政策实施效应,其有效性程度主要从区域发展协调能力、区域产业结构同构度两个方面衡量。在制造业产业政策绩效评价指标采集方面,本研究遵循科学性、系统性、可测度性原则,依据各一级指标内涵并参考数据可获得性进行逐一确定,对于产业结构政策、产业组织政策、产业技术政策层面指标的选择主要参照《中国制造业发展研究报告2015》构建的制造业发展水平总体评价指标体系,对产业布局政策指标的选取则主要参照杨贵彬[18]和关爱萍[19]使用的区域发展协调能力与区域产业同构度测度指标。根据中国制造业产业政策的实际情况与特点,在区域发展协调能力指标选择方面,本研究选择产业静态不平衡差来度量产业布局政策对制造业空间均衡分布的影响效果,其计算公式为
)×100%。其中,D为中西部与东部区域间产业静态不平衡差指标,M分别为东部地区制造业人均收入、利税、资产,N为中西部地区制造业人均收入、利税、资产。在区域产业同构度指标选择方面,本文采用结构相似度系数、结构差异度指数、结构重合度指数作为测评指标。其中,结构相似度系数计算公式为
。其中,Sij是中西部与东部结构的相似系数,i和j分别代表中西部与东部两个相比较的区域,Xij是中西部制造业从业人员数占中西部产业从业人员数的比重,Xik是东部制造业从业人员数占东部产业从业人员数的比重;Krugman结构差异度指数法计算公式为
|Xik-Xjk|;重合度指数选择Finger和Kreinin在1979年提出测度产品出口相似度的方法,公式为
min(EPik,EPjk)]×100%。具体指标构成如表1所示。
2.2 差值对比评价法
目前,学者尚没有一个公认的产业政策实施有效性评价方法,其中定性分析主要基于内容分析法、问卷调查、案例分析研究等;定量研究主要采用计量回归、数据包络分析法、综合评价法和对比分析法等。制造业产业政策实施效果评估的关注点在于政策实施后制造行业发展趋势变化程度,进而指出产业政策实施是否能引领制造业实现长足发展。本文综合肖泽磊[20]采用的“投射—实施”对比分析法和邵颖红[21]提出的政策后评价方法,提出差值对比评价方法。此方法的基本思路如图1所示,以某指标A为例,其基本步骤如下:第一步,收集t0-t2年制造发展水平评价体系中各项指标的实际数据;第二步,根据t0-t1年各项指标的实际数值,预测t1-t2年各项指标数值;第三步,运用t2年各项指标的实际数据值减去预测数值,其差值ΔX作为t2年各项指标评价时的基础数值。其中,差值为正数,则意味着在t1-t2年产业政策群对制造业某一指标具有积极促进效应;反之,如果差值为负数则意味着t1-t2年产业政策群对制造业某一指标起抑制效应。差值绝对值大小意味着促进或抑制作用的强弱。
表1 制造业产业政策绩效评价指标体系

目标层序号准则层序号指标层 单位指标属性制造业产业政策评价指标体系 A产业结构政策指标A1产业规模制造业总产值亿元正向A2从业人员数人正向A3资产总计亿元正向A4生产要素密集程度人均增加值元/人正向A5全员劳动生产率元/人·年正向A6人均利润率元/人正向B产业组织政策指标B1规模效率总资产贡献率%正向B2产值利税率%正向B3资产负债率%逆向B4规模收益利润总额亿元正向B5主营业务收入亿元正向B6利税总额亿元正向C产业技术政策指标C1技术创新R&D人员全市当量人/年正向C2有效发明专利数个正向C3技术吸收经费与引进经费比例%正向C4技术成果转化能力新产品销售收入占产品销售收入比重(%)正向C5新产品产值占工业总产值比重%正向C6R&D投入强度%正向D产业布局政策指标D1区域发展协调能力中西部与东部人均收入差异化率%逆向D2中西部与东部利税差异化率%逆向D3中西部与东部资产差异化率%逆向D4区域产业结构同构度中西部与东部结构相似度系数%正向D5中西部与东部结构差异度指数%正向D6中西部与东部结构重合度指数%正向

图1 差值对比评价方法作用原理
3.1 基于灰色关联分析的人工神经网络预测模型
3.1.1 灰色关联分析模型理论基础
灰色关联分析是灰色系统理论中的重要组成部分,其基本思想是根据时间序列发展演变的曲线间几何形状相似程度,判断系统不同序列的关联程度,在对某抽象系统或经济现象进行分析时,首先需确定反映该系统行为特征的数据序列,用该系统行为的映射量间接表征其行为。依据序列间离散行为的观测值,可对系统因素的几何特征构造测度关联模型,通过对序列间灰色因素在系统发展演变过程中相对变化趋势的定量测度和比较分析,可找出影响系统行为的主导因素和潜在因素。在设计神经网络对影响制造业产业政策有效性的24个三级系统行为特征指标数据进行预测前,应先选定主要灰色关联因素。本文选定与各特征指标关联度最大的前4个指标序列数据进行预测分析,具体过程如下:
设X0为系统特征指标序列,Xi为系统相关因素指标序列,X0、Xi可表示为:
(1)
(2)
式(2)中,s代表相关因素指标个数,采用初值化算子求得式(1)、式(2)各指标序列的初值像,令α(k)=(tk-tk-1,x0(tk)-x0(tk-1))为系统特征序列中相邻时点构成的向量,βi(k)=(tk-tk-1,xi(tk)-xi(tk-1))为相关因素序列中相邻时点构成的向量,Prjα(k)βi(k)为向量βi(k)在向量α(k)上的投影值,|α(k)|为向量α(k)的模。
由于本文选取的24个制造业产业政策有效性指标及诸多相关因素指标均为时间序列数据,则令X0和Xi的长度相同且皆为 1 时距序列,即:
(3)
(4)
则有:
(5)
(6)
因此,系统特征指标序列X0和系统相关因素指标序列Xi在tk时刻的灰色投影关联度为:
(7)
X0和Xi的灰色投影关联度为:
(8)
依据以上公式依次计算系统特征指标序列X0与系统相关因素指标序列Xi,i=1,2,…,s的灰色投影关联度大小,取关联度最大的4个相关指标参与制造业产业政策有效性特征指标下一步预测。
3.1.2 人工神经网络预测模型理论基础
BP神经网络可以实现输入和输出的任意非线性映射,具有高度非线性和自适应学习特点,已被广泛应用于函数逼近、模式识别、数据预测等领域。在对制造业产业政策有效性相关指标数据进行灰色关联筛选后,本文采用三层BP神经网络模型对其进行预测,网络包括输入层、隐含层、输出层节点,有数据向网络输入时,首先由输入层传至隐含层节点,经特性函数作用后再传至输出层输出,每层都要由相应的特性函数进行变换,选用
作为特性函数。
三层BP神经网络模型基本原理和计算过程如下:
设置神经网络输入节点数为4,输出节点数为1,隐节点数为15,在确定神经元连接权值和阈值后,对于N个样本集合{(xk,yk)|x∈Rm,y∈Rn)},k=1,2,…,N的两离散时间序列,将其总样本分成训练样本数据φ1和检测样本数据φ2两部分。首先,运用训练样本数据经过训练建立映射关系,然后再运用检测样本数据检验该神经网络能否给出正确的输入输出关系,网络输入与输出之间的关系如下:
(9)
其中,f(x)为特性函数,k=1,p=15,m=4,t=1,2,…,n,xi(t)为网络输入数据,y(t)为网络实际输出数据,yk(t)为网络的期望输出数据,wij为输入节点与隐层节点间的网络权值,vjk为隐层节点与输出节点间的网络权值,θj为隐层节点阈值,rk为输出节点处的阀值,定义网络总误差为:
(10)
当全部学习样本训练完毕,计算总误差E。若输出的总误差小于预设精度,则该训练结束,可利用该BP神经网络进行产业政策有效性数据仿真预测,本文设计的神经网络结构见图2。

图2 三层BP神经网络结构
3.2 评价模型理论基础
3.2.1 熵值法权重测算
为避免受主观人为因素的影响,本文选择基于客观环境测度指标权重的熵值赋权法,此方法根据数据自身所含信息量大小及效用价值确定各指标权重。基于数据信息论原理,数据信息是对系统有序程度的度量,而熵是对系统无序程度的度量,所以数据信息量越大其不确定性越小,则熵值越小;反之,数据信息量越小其不确定性越大,则熵值也越大[17]。具体测算权重步骤如下:
设X为第i准则层j个指标t年的数据样本矩阵,
为第i准则层j项指标第t年的数值(i=1,2,...,s;i=1,2,...,n;t=1,2,...,k)。其中,s表示准则层数,n表示各准则层中的指标个数,k表示年数。
指标比重变换![]()
(11)
计算第i项指标熵值:
,其中![]()
(12)
计算第i项指标信息价值![]()
(13)
计算第i准则层j项指标权重![]()
(14)
3.2.2 多指标综合评价模型
本文采用多指标综合法对制造业产业政策实施有效性进行量化测算,该方法在遵循系统性、层次性和可操作性评价原则的基础上,能够直观有效测算出评价结果。
具体测算模型为:
(15)
其中,Ti为第i项准则层评价值,U为目标层评价值,wi为第i准则层权重,Δxij为第i准则层j项指标实际值减去预测值的差值。
本研究采用人工神经网络模型,依据1995-2004年制造业产业政策各指标数据,首先运用matlab在CPU主频2.00GHZ、RAM为2.00G的PC上进行建模计算,对2005-2014年各项指标数据进行预测,并通过相关误差检验,检验结果见图3~图4,其10年间实际值与预测值的动态变化趋势见图5~图8。其次,计算出实际数据与预测数据的差值再进行去量纲化规范性处理。最后,利用熵值法求出各项指标权重,具体结果见表2。

图3 自相关性误差检验

图4 前向输入与误差相关性检验
为了更加直观地分析产业政策实施结果的优劣程度,本文对产业政策实施结果有效性进行5等级划分,具体分级见表3。根据多指标综合评价模型的计算步骤,测算出2005-2014年制造业产业政策实施有效性评价结果,具体数值见表4,根据表4结果绘制的动态趋势见如图9~图13。

图5 制造业产业结构政策实施效果

图6 制造业产业组织政策实施效果

图7 制造业产业技术政策实施效果

图8 制造业产业布局政策实施效果
从图9中可以看出,2005-2006年制造业产业政策总体实施效果并不理想,其评价分值分别为0.378 7和0.382 8,侧面说明这两年政策实施效果未能对制造业整体经济增长起显著促进作用。2007-2010年,制造产业政策有效值逐年稳步上升(最高达0.582 6),随后4年虽然有效值一直保持在0.5~0.6间的中等水平,但每年均呈下滑态势,表明2011-2014年制造业产业政策有效性已呈弱化趋势。因此,政府应及时捕捉预警信号,根据制造业产业市场发展规律对产业政策作出及时调整,进而确保制造业产业政策的实施能够达到预期效果,并对制造业产业未来发展产生正向促进作用。
表2 2005-2014年各产业政策指标权重及差值标准化数值

准则层指标层A(0.2215)A(0.0444)A(0.0305)A(0.0342)A(0.0346)A(0.0388)A6(0.039)B(0.2529)B1(0.0312)B2(0.0386)B3(0.0622)B4(0.0390)B5(0.0518)B6(0.0301)20050.00000.00001.00001.00000.09080.13470.85260.35170.00000.46330.00000.344420060.17520.47100.39380.84860.00000.12260.92430.72070.02770.55110.07910.455620070.41510.74500.90080.37090.16850.43130.90700.54100.31910.62360.48980.555620080.60731.00000.35470.00000.19170.18140.79130.00000.55390.00000.67390.555620090.46020.76380.33820.44110.24000.44130.78430.56330.65000.29810.47990.666720100.75490.87530.47850.51380.36061.00001.00000.84560.38760.87310.76910.444420110.90080.97230.36420.34071.00000.66290.00000.86220.59771.00000.88071.000020120.85250.86050.45060.36750.47030.29190.52591.00000.93110.29040.99740.888920131.00000.82040.32320.09900.60970.45150.49720.76770.86340.17840.93210.555620140.98380.83030.00000.14320.49600.00000.89170.20581.00000.35301.00000.0000准则层指标层C(0.2719)C(0.0436)C(0.0571)C(0.0447)C(0.0344)C(0.0363)C(0.0558)D(0.2539)D1(0.0389)D2(0.0361)D3(0.0488)D4(0.0399)D5(0.0535)D6(0.0367)20050.13630.06461.00000.25510.51720.27010.58210.40481.00000.39720.05590.834720060.13070.08130.94010.22540.88970.33890.60480.07250.65101.00000.00000.857120070.00000.06530.57800.17840.25520.91500.84790.42810.42410.14310.09480.952920081.00000.23320.33781.00000.42070.01401.00000.66790.54700.65260.03270.843420090.46080.00000.85450.58480.22761.00000.79920.49220.81270.21390.61060.613020100.57200.10600.47280.00001.00000.62850.18550.38120.25870.64330.75831.000020110.55980.27650.52160.39010.38620.14140.00000.00000.72540.64100.56120.885820120.88390.77140.00310.57220.11280.00000.61550.77780.22850.00000.57330.321020130.53320.64830.00000.36060.41380.45470.34091.00000.15910.81220.52690.508020140.69751.00000.12540.23710.00000.80080.54600.29760.00000.76501.00000.0000
表3 制造业产业政策有效性等级划分

有效性等级劣差中良优有效性评价值0~0.20.2~0.40.4~0.60.6~0.80.8~1区间不可接受过渡可接受
表4 2005-2014年制造业产业政策有效性评价结果

年份产业结构产业组织产业技术产业布局产业总体20050.35030.27130.35650.53380.378720060.31510.28630.40940.50930.382820070.48840.53560.35320.45250.454620080.37980.43810.45030.58480.465820090.43840.56620.52400.59950.535020100.66520.69290.45420.53770.582620110.71580.73210.36350.48640.566020120.55020.80130.39170.41590.536620130.56500.67540.41590.53710.545420140.42080.64680.53690.45700.5188

图9 制造业产业政策总体实施有效性评价结果
为更进一步探究制造业各类产业政策实施的有效性,分别对2005-2014年制造业产业结构政策、产业组织政策、产业技术政策、产业组织政策有效值变化趋势进行解析,其具体演进特征如图10-图13所示。
比较而言,产业结构政策、产业组织政策有效值演进趋势有一定相似度,其政策有效性均是在初始阶段处于较差等级而后稳中有升并在2010年跨过过渡区间。其中,产业结构政策在两年具有促进优势后,从2012年开始,结构政策影响效应渐渐减弱,在2014年跌至0.420 8,而制造业产业结构演进主要遵循产业内部比较优势,说明近期制造业产业结构政策作用效力方向与制造业本身内在发展规律相悖。而产业组织政策对制造产业规模效率和规模收益则一直具有显著促进作用,其有效值在2012年达到最高0.801 3,处于优质等级。虽在2013-2014年政策有效促进作用下降至0.675 4、0.646 8,但均处于良好水平。但制造业产业组织演变以产业结构状况为基础,因此制造业产业结构状况变动将制约产业组织调整。鉴于现阶段制造业产业结构政策实施效力呈下降趋势,应积极调整制造业产业结构政策战略,加快制造业产业结构转型升级,并在一定程度上避免影响制造业产业组织政策效力优势的持续。

图10 制造业产业结构政策实施有效性评价结果

图11 制造业产业结组织政策实施有效性评价结果

图12 制造业产业技术政策实施有效性评价结果

图13 制造业产业布局政策实施有效性评价结果
制造业产业布局政策制定一直都比较符合产业发展规律,2005-2014年其产业布局政策作用方向与产业自身演进发展趋势基本一致,政策有效性评价值介于0.4~0.6间,处于中等级别。2009年后,其布局政策实施有效值逐年呈现一定幅度下滑,虽在2013年略有回升但随后在2014年再呈下降趋势。这表明,制造业产业布局政策仍具有一定的区域经济倾斜性,对平衡中西部与东部制造业经济发展的作用效果不佳,但东部制造业利润增长并不能以牺牲中西部地区为代价,应尽快合理调整各区域间的资源配置效应。而制造业产业技术政策实施效用一直具有小幅度波动性,临界于差-中-差等级之间,并于2013年再次脱离差等级,在2014年产业技术政策对制造产业技术进步的促进作用达到0.536 9,说明近段时间对制造业增加科技投入、建立科技发展基金、拓宽融资渠道、加大技术开发投入等一系列技术政策的实施起到一定实际效用。
本研究运用灰色关联人工神经网络智能算法对2005-2014年各指标数据进行预测,再利用差值对比法对2005-2014年中国制造业不同类型产业政策有效性进行综合评价,得出以下结果与相关建议:
(1)2005-2014年制造业产业政策总体实施有效值并未达到理想预期效果,在2005-2006年初期处于较差等级,虽然在2007-2014年政策影响效力有所提升,但一直徘徊在中等水平,并且在2011-2014年产业政策总体有效性呈弱化趋势。因此,应重视制造业产业政策与其它相关经济政策的相互配合协调,从产业补贴、政策性贷款、税收优惠等为主的传统行政干预手段,向以产业间倾斜性资源配置为基本特征的引导性政策转变,可通过人力资本投资、技术研发专项补贴等功能型产业政策促进制造企业技术自主创新及核心竞争能力提升。
(2)制造业产业结构政策、产业组织政策整体实施效果比产业技术政策、产业布局政策实施效果更为理想,其中制造业产业组织政策在2010年后对产业发展一直保持着良好促进作用,而制造业产业结构政策有效值却在2011年后呈现两极分化下降态势。因此,应根据现阶段制造产业经济发展实际情况,对制造业产业结构政策作出积极调整,优先发展高技术、低耗能、低污染的“新型化”制造产业。同时,对传统制造业也要作好关于调整存量、做优增量的相关产业政策部署,通过产业技术升级与资源整合来软化和改造传统制造产业,从而加快解决制造业基础产能过剩问题,使制造业规模结构与市场发育程度、规模、供求态势相适应。
(3)制造业产业技术政策、产业布局政策有效值波动相对平稳,其中制造业产业技术政策有效值一直在差-中等级徘徊,在2014年升至近期效力的最高值0.536 9,产业布局政策有效值则一直处于中等级别。但鉴于近期呈现出弱化态势,制造业产业布局政策应以各区域间经济协调发展为核心,制定相应合理的产业转移政策,从而进一步缩小中西部与东部地区间的制造业经济增长差距。针对具备较好产业基础和区位优势的东部地区,国家应出台相对优惠的产业政策,引导部分东部地区制造业向中西部地区转移,在资金投入、人才引进和技术研发等方面为中西部地区制造产业提供政策倾斜,在充分发挥中西部与东部区位经济优势的基础上,最大限度地提升制造业总体经济效益。
参考文献:
[1] 刘昌黎. 现代日本经济概论[M]. 大连:东北财经大学出版社有限责任公司, 2014.
[2] PELTZMAN S. Toward a more general theory of regulation [J].Journal of Law and Economics,1976(19):211-240.
[3] LEE JONG-WHA. Government interventions and productivity growth in Korean manufacturing indus-tries[J].Journal of Economic Growth, 1996, 1(3):391-414.
[4] 舒锐. 产业政策一定有效吗?——基于工业数据的实证分析[J].产业经济研究, 2013(3):45-54.
[5] MARTIN F. Rethinking the role of fiscal policy[J].American Economic Review, 2009,99(2):556-59.
[6] (日)南亮进. 经济发展的转折点:日本经验[M].关权, 译.北京:社会科学文献出版社, 2008.
[7] STIGLITZ J E. Some lessons from the east Asian miracle[J].The Word Bank Research Observer,1996(11):151-177.
[8] NUNN N,TREFLER D. The structure of tariffs and long-trem growth[J].American Economic Journal Macroeconomics, 2010, 2(4):158-194.
[9] MELLSSA LIEW,LANGFORD B WHITE.Concurrent temporal planning using timed petrinets-policy evaluation[J].Springer Berlin/Heidelberg, 2007:727-731.
[10] BROCK W A, DURLAUF S N, WEST K D. Model uncertainty and policy evaluation:some theory and empirics[J].Journal of Econometrics, 2005, 136(2):629-664.
[11] AGHION P, DAVID P A, FORAY D. Science, technology and innovation for economic growth:linking policy research and practice in 'STIG System'[J].Research Policy, 2009, 38(4):681-693.
[12] 刘希宋,夏志勇,赵寰. 基于全面建设小康社会的支柱产业政策绩效评价[J].科学学与科学技术管理, 2005, 26(6):116-119.
[13] 宁凌,汪亮,廖泽芳. 基于DEA的高技术产业政策评价研究——以广东省为例[J].国家行政学院学报,2011( 2):99-103.
[14] 严飞. 基于模糊多准则决策方法的产业集群政策评价[J].经济问题, 2012(2):43-46.
[15] 邱兆林.中国产业政策有效性的实证分析——基于工业行业的面板数据[J].软科学, 2015,29(2):11-14.
[16] 陈瑾玫.中国产业政策效应研究[D].沈阳:辽宁大学, 2007.
[17] 邱兆林.中国制造业转型升级中产业政策的绩效研究[D].济南:山东大学, 2016.
[18] 杨贵彬. 基于BP神经网络的我国产业政策作用力评价研究[J].科技进步与对策, 2007,24(11):16-19.
[19] 关爱萍. 产业同构测度的方法[J]. 统计与决策, 2007(19):32-34.
[20] 肖泽磊, 韩顺法.高技术产业政策实施效果评估[J].科技进步与对策, 2011,28(24):126-130.
[21] 邵颖红, 黄渝祥. 政策后评价的方法[J].中国软科学, 1999(4):26-28.
(责任编辑:王敬敏)
Evaluation of China's Manufacturing Industry Policy Effectiveness
Abstract:Industrial policy is a kind of public regulation policy that adopted widely in market economy, and industrial policy effectiveness evaluation is a basic method utilized to examine the effects of policy implementation. On the basis of constructing performance evaluation index system for the manufacturing of industrial policy, the thesis applied grey correlation neural network intelligent algorithm to predict the index data from 2005 to 2014. Then the contrast difference method was used to make a comprehensive evaluation on effectiveness of China's manufacturing industry policy from 2005 to 2014. The evaluation was divided respectively from the point of industrial structure, organization, science and technology in the manufacturing industry policy to analysis the performance levels and the stage evolution characteristics on the process of transformation and upgrading. The result provides scientific theory basis and reasonable proposals for manufacturing industry policy.
Key Words:Manufacturing Industry Policy; Evaluation of Contrast Difference; Efficiency Evaluation; Artificial Neural Network Prediction
收稿日期:2017-02-09
基金项目:国家社会科学基金一般项目(15BJY066);教育部哲学社会科学研究重大课题攻关项目(14JZD018)
DOI:10.6049/kjjbydc.2016120297
中图分类号:F262
文献标识码:A
文章编号:1001-7348(2017)10-0060-09