摘 要:当今世界正迈入数字时代,大数据、云计算、“互联网+”等技术和发展理念已渗透到企业创新活动中。高技术企业作为创新主体,其协同创新的推进已经越来越受到企业间数字鸿沟的阻碍。从网络建设、网络环境、网络利用、网络人才4个维度构建了一套测度指标体系,运用问卷调查法获取数据,定量测度了高技术企业间数字鸿沟。在此基础上,采用结构方程模型分析了企业间数字鸿沟对协同创新的影响途径。结果表明,数字鸿沟可以通过管理方式、战略目标、合作投入、团队分工、学习-吸收能力5条途径影响高技术企业间的协同创新。其中最主要的影响途径是管理方式,其次是战略目标,然后才是合作投入、团队分工、学习-吸收能力。
关键词:高技术企业;数字鸿沟;协同创新;结构方程模型
协同创新是一种能够打破行业或企业间壁垒的创新模式,其可以更好地整合不同主体资源实现融合发展[1]。党的十八大报告指出,应注重协同创新,推动科技和经济紧密结合,着力构建以企业为主体的创新体系。因此,企业间协同创新具有重要意义。
在当前我国企业信息化快速推进的背景下,大数据、云计算、“互联网+”等技术和发展理念已渗透到企业创新活动中[2-3]。高技术企业作为协同创新的主要群体,其信息化水平已成为协同创新持续推进的重要标志[4]。然而,我国高技术企业间的数字鸿沟(尤其是东西部高技术企业间数字鸿沟)日益凸显,已成为协同创新的一大障碍。
经合组织(OECD)[5]是最早关注高技术企业间数字鸿沟的机构之一,其早在2001年就在研究报告《Understanding the digital divide》中强调,数字鸿沟阻碍了企业间创新思想和信息资源的互动交流,从而对创新要素分享机制产生不利影响,但OECD对其并未进行深入探讨。此后,Lakshmi[6]运用2003-2007年印度孟买地区生物制药企业电脑普及率数据,通过实证研究证明了企业间数字鸿沟对融合创新的影响作用,发现将增加协同难度。Katharine[7]采用问卷调查法通过对英国最大的30家汽车引擎制造公司互联网普及率进行分析发现,信息化程度极高企业与极低企业之间难以实现合作研发,公司间的数字鸿沟造成了信息流动不畅、研发效率低下等一系列问题。Jeff等[8]通过选取美国18家高技术企业协同创新失败案例,深入分析了数字鸿沟在企业合作失败中的影响作用,发现数字鸿沟会降低企业创新资源和要素集聚程度,最终引起“合作失衡”。 Carpon等[9]以法国29家高分子材料企业为样本,运用格兰杰因果检验法对企业间互联网普及率差距产生的影响进行了研究,结果发现数字鸿沟对合作研发有显著负向影响。熊义杰等[10]认为,数字鸿沟不仅是宏观问题,更是体现企业信息化差距的微观问题,数字鸿沟会阻碍企业间的开放融合、相互信任与学习,从而影响协同创新。
从现有文献看,国外学者主要从实证角度研究了高技术企业间数字鸿沟对合作研发、知识共享、资源整合等的影响,并未系统研究其对协同创新的整体作用。事实上,知识共享、资源整合等只是协同创新的渠道和方法,而非协同创新本身;另一方面,学者大多从企业电脑或互联网普及率差距方面测算了数字鸿沟,忽视了数字鸿沟实际上也体现了网络环境、网络利用等多维度综合性差距,而非单一维度鸿沟。国内文献方面,相关研究也才刚刚起步,几乎没有直接相关的文献。鉴于此,本文从网络建设、网络环境、网络利用、网络人才4个维度构建了企业间数字鸿沟测度指标体系,通过问卷调查获取第一手数据资料,定量测算出不同企业之间的数字鸿沟大小,在此基础上,采用结构方程模型分析企业间数字鸿沟对协同创新的影响途径。
1.1 高技术企业间数字鸿沟测度指标体系构建
通过借鉴本课题组前期成果[11],结合问卷调查结果,本文构建了高技术企业间数字鸿沟测度指标体系,如表1所示。
表1 高技术企业间数字鸿沟测度指标体系

一级指标二级指标指标单位计算公式信息化投资比重X1%用于信息化建设的资金企业资产总额互联网接入规模X2%连接互联网的计算机计算机总数量网络建设每百人拥有计算机量X3台/百人计算机总数*100企业职工总人数接入内网的计算机比率X4%接入内网的计算机计算机总数数据库建设规模指数X5无量纲通过专家小组打分获得公共信息资源量指数X6无量纲通过专家小组打分获得网络环境信息服务体系完善指数X7无量纲通过专家小组打分获得信息化注重水平指数X8无量纲通过专家小组打分获得办公自动化系统应用程度X9%办公已实现的自动化功能数办公系统总功能数网络利用关键工作信息化水平指数X10无量纲通过专家小组打分获得企业门户网站水平X11%企业网站具备的功能模块网站总功能模块电子商务普及率X12%网络销售比率*0.5+网络购货比率*0.5信息化人才培训制度完善指数X13无量纲通过专家小组进行打分获得高素质人才比率X14%中专以上学历员工企业总员工网络人才信息化技术普及率X15%精于网络信息的职工企业总职工信息技术人员素质X16%精通网络且高中以上的职工精通网络的职工
该指标体系共包含4个层面16项指标,分别是:
(1)网络建设层面。信息化投资比重反映信息技术投入程度;互联网接入规模反映企业获取外部信息的能力;每百人拥有计算机量反映信息化基础设施建设情况;接入内网的计算机比率反映企业内部信息处理情况;数据库建设规模指数反映信息化基础设施建设情况。
(2)网络环境层面。公共信息资源量指数反映信息化环境质量水平;信息服务体系完善指数反映信息化环境质量水平;信息化注重水平指数反映企业是否注重信息化发展。
(3)网络利用层面。办公自动化系统应用程度反映网络技术在办公中的应用情况;关键工作信息化水平指数反映信息化在企业的应用深度;企业门户网站水平反映高技术企业资源整合情况;电子商务普及率反映高技术企业经营信息化。
(4)网络人才层面。信息化人才培训制度完善指数反映信息化人才重视情况;高素质人才比率反映员工总体素质水平;信息化技术普及率反映员工对信息技术的应用能力;信息技术人员素质反映技术员工的信息化技术应用水平。
1.2 高技术企业间数字鸿沟测算
1.2.1 测算方法
由于高技术企业间数字鸿沟测度指标体系包含16个指标,而本文研究的数字鸿沟又是一个表示信息化差距的综合指数,故采用主成分分析法作为测算方法,用该方法计算高技术企业间数字鸿沟的步骤如下:
(1)原始数据标准化。设指标体系中共包含p个指标,依次为X1,X2,X3…,Xp(样本容量为p),Xij为第i个样本的第j个值。设由此得到的样本矩阵为X=(Xij)n*p,由于p个指标纲量往往不同,因此需要对p个指标进行标准化,其公式为:
(1)
对原始数据进行标准化,标准化后的数据矩阵Y=(Yij)n*p
其中![]()
(2)确定主成分矩阵。首先计算样本相关系数矩阵R=(Rij)p*p
其中
*Ykj( i,j=1,2,…p )
然后得到主成分矩阵

(2)
得出系数矩阵R的p个特征值,从大到小依次排列为λ1>λ2>…>λp>0。然后,计算出针对系数矩阵R的特征值λp相对应的特征向量
则第K个主成分为
*yj ( K=1,2,…,p)。
(3)求旋转后的因子载荷矩阵并得出相应主成分。第i个样本的第k个主成分计算值为:
*yik (k=1,2,…,p;i=1,2,…,n)
(3)
1.2.2 测算结果
2015年4月至2015年6月,本课题组通过实地调研向东部20家高技术企业(浙江7家、江苏6家、上海4家、广东3家)和西部20家高技术企业(贵州6家、四川6家、重庆5家、陕西3家)分别发放问卷500份,共收回有效问卷921份,通过问卷调查得到了第一手资料。基于这些问卷资料,本文对高技术企业间数字鸿沟进行测算,过程如下:
首先,选择上述东、西部各20家高技术企业为测算样本,数据主要来源于问卷调查表,运用公式(1)对原始数据进行标准化。
其次,运用软件SPSS21.0将标准化数据代入公式(2),计算出相关系数矩阵,再计算得到高技术企业间数字鸿沟测度指标数据特征值,如表2所示。其相应的主成分碎石图,如图1所示。从中可以看出,所生成的4个主要成分累计百分比为93.865 1,能够代表16项指标的大部分特征。
表2 高技术企业间数字鸿沟测度指标数据特征值

因子原始特征值特征值所占百分比累计百分比旋转后特征值特征值所占百分比累计百分比17.666166.126166.12615.642153.473153.47312-1.241910.452180.0471-1.102911.320168.26113-1.82596.798190.3141-1.41499.371181.10214-1.90090.082193.8651-1.42699.294193.8651

图1 主成分碎石图
然后,由表2计算得到旋转后的因子载荷矩阵见表3,各因子载荷即是主成分在各指标上的权重。
最后,将表3数据代入公式(3),计算得到40家高技术企业各主成分得分和综合得分(见表4),它们之间的综合得分差距即为企业间数字鸿沟。
从表4可以看出:①东部20家高技术企业综合得分在0.076 8~1.241 9之间,而西部20家企业综合得分在-1.422 4~0.059 8之间,说明我国东西部高技术企业之间确实存在着数字鸿沟;②测度结果表明,东部企业之间的综合得分差距最大,已达到1.165 01,说明即使东部发达地区企业之间也存在数字鸿沟。
表3 旋转后的主成分在各指标上的权重

指标第一主成分第二主成分第三主成分第四主成分信息化投资比重X10.9168-0.2212-0.09840.0373互联网接入规模X20.90280.0638-0.08650.0230每百人拥有计算机量X30.9178-0.1812-0.15140.0408接入内网的计算机比率X40.9268-0.0597-0.08280.0174数据库建设规模指数X5-0.26120.8308-0.17920.2798公共信息资源量指数X60.45380.57080.3818-0.4042信息服务体系完善指数X70.87780.04580.1918-0.1333信息化注重水平指数X80.9048-0.19020.06780.0328办公自动化系统应用程度X90.54780.2138-0.7262-0.3192关键工作信息化水平指数X100.39480.4218-0.7612-0.2322企业门户网站水平X110.91480.0488-0.07650.0331电子商务普及率X120.88680.01560.2138-0.1207信息化人才培训制度完善指数X13-0.52020.71080.31980.1228高素质人才比率X140.9198-0.0993-0.17720.0688信息化技术普及率X150.7748-0.06110.3558-0.3162信息技术人员素质X160.8838-0.2162-0.08870.1888
表4 40家高技术企业间数字鸿沟测度结果

F1F2F3F4综合得分样本1(东部)1.92660.6201-0.17620.33361.2419样本2(东部)1.2798-0.3009-0.00860.42440.7575样本3(东部)1.3707-0.60840.09830.52210.7909样本4(东部)1.3278-0.03460.03410.23420.8068样本5(东部)1.2747-1.2135-0.38720.36880.5586样本6(东部)0.8806-0.5960-0.31400.39470.4349样本7(东部)1.35140.3514-0.08770.27960.8691样本8(东部)0.8223-0.9494-0.29840.26460.3321样本9(东部)0.6835-1.1747-0.10270.26270.2423样本10(东部)1.07810.74320.10600.47020.8193样本11(东部)1.00930.43210.03410.31240.7016样本12(东部)0.88930.11320.05480.25660.5783样本13(东部)0.8706-0.5421-0.3742-0.14690.3583样本14(东部)0.5079-0.87294.1455-1.24600.5480样本15(东部)0.58980.34490.08000.18230.4319样本16(东部)0.3363-0.4573-0.06330.08770.1304样本17(东部)0.16631.94600.37842.57060.7799样本18(东部)0.95042.1075-1.8823-3.92840.1129样本19(东部)0.31470.1546-0.2800-0.25470.1373样本20(东部)0.23310.2617-0.4637-0.29080.0768样本21(西部)-0.0267-0.1887-0.3704-0.2332-0.1237样本22(西部)-0.10990.91880.0865-0.23780.0556样本23(西部)-2.39810.4871-0.0421-0.3189-1.3763样本24(西部)-0.34990.1200-0.02370.0463-0.1835样本25(西部)-0.37870.1743-0.03260.0782-0.1891样本26(西部)-0.6752-0.0959-0.1250-0.1667-0.4479样本27(西部)-0.93210.47910.0903-0.0062-0.4614样本28(西部)-1.04890.73260.18710.1065-0.4637样本29(西部)-1.05572.05040.38432.40400.0598样本30(西部)-0.64220.41390.21341.8942-0.0363样本31(西部)-0.9865-0.63760.04390.1338-0.6507样本32(西部)-0.7939-0.97862.5662-1.0537-0.4127样本33(西部)-0.9247-0.8978-0.3438-0.4202-0.7779样本34(西部)-1.3359-3.0310-2.22530.8640-1.4224样本35(西部)-1.47340.89290.2293-0.2462-0.7283样本36(西部)-1.1184-0.3721-0.1990-0.3236-0.7795样本37(西部)-1.18460.3486-0.1467-0.0431-0.6650样本38(西部)-1.3254-0.0571-0.2870-0.6331-0.9049样本39(西部)-1.08790.2367-0.2590-0.4395-0.6922样本40(西部)-1.09740.5523-0.0324-0.3026-0.6020
2.1 影响途径分析框架
高技术企业间存在数字鸿沟,阻碍了企业间的合作,使信息化水平较高企业更倾向于选择同水平合作战略伙伴,而信息化水平较低企业只能选择与其水平相适应的合作伙伴,这不利于高技术企业提升自身创新能力,严重阻碍了高技术企业群体的共同进步与可持续发展。高技术企业间数字鸿沟之所以能够影响协同创新,主要是通过以下几个途径实现的(见图2)。

图2 影响途径分析框架
(1)管理方式。对于信息化水平较高的高技术企业,其大多在企业内部建立了完善的信息管理系统、生产自动化设备、良好的信息传递体系等,其工作效率较高、组织性较强。对于信息化水平较低的企业员工而言,由于他们适应了长期松散的管理体制,很难在短期适应对方的管理方式,体会不到该管理方式的优点,反而觉得更为约束,不利于其能力的发挥。同时,他们也不能对良好的信息资源加以有效利用。此外,为了使对方适应其高效的信息化管理方式,信息化水平较高企业会对合作方员工进行培训,导致企业之间协同创新成本加大,不利于双方实现合作,或者会降低双方的协同创新效益。
(2)战略目标。由于高技术企业之间存在数字鸿沟,使企业制定的战略目标也存在很大差异。信息化水平较高的高技术企业可以充分利用自身优势,制定信息化营销、信息自动化生产、信息化管理等多个高效益目标,以提升自身竞争力,实现经济效益最大化。而信息化水平较低企业受条件限制,无法适应对方的战略目标,致使企业之间进行协同创新存在很大障碍。
(3)合作投入。高技术企业若要形成合作创新,需约定好双方的投资比例和投入资源。由于高技术企业之间存在数字鸿沟,使得企业之间在融资途径和资产设备上存在很大差异,双方对投资标准的设置也会不同。由于信息化水平较低的高技术企业不能充分利用当前互联网带来的融资机遇,使得其资金规模远远小于对方企业,且员工技能、管理方式、企业文化等信息资源也落后于对方企业,致使其无法按照对方设定的投资标准投资,这些都不利于企业间展开协作。
(4)团队分工。由于高技术企业间存在数字鸿沟,企业间员工的信息知识和工作技能都存在很大差异。若两个企业进行协作创新,必然会因为工作任务分配而产生一系列矛盾,从而降低协同创新经济效益。主要体现在以下几点;首先,由于员工信息处理能力不同,若对其分配相同任务,能力较差的一方很难完成,致使其延误工作并给企业带来一定损失;若依据个人能力分配工作,出于自身经济利益的考虑,能力较强的一方则会产生消极态度,同样会使企业之间的协作达不到最高效益。其次,由于企业员工所处的信息环境差异较大,信息化水平较低的高技术企业员工很难适应当前的合作环境、管理方式,致使双方磨合时间较长,达不到预期协作经济效益,不利于企业之间进行协同创新。
(5)学习-吸收能力。高技术企业之间进行协作创新,不只是为了提升双方的经济效益,还希望通过与对方合作借鉴其先进技能和创新方法,进而使企业员工能力得到提升。如果企业员工可以从合作对象处学习到更多知识、技能,则其会倾向于双方合作,并更加重视与对方的交流沟通,及时化解合作中出现的矛盾、冲突,增强双方的长期合作意愿;若企业员工无法从合作对象那里学习更多知识、技能,则企业会降低合作意愿,即使同意合作,在日后合作过程中也会对合作方进行防范,避免本企业的核心技能和隐形知识被对方吸收与借鉴。对于信息化程度较高的高技术企业,其员工信息化应用水平较高,其技术研发、生产创新能力、营销创新能力等在信息化管理方式下都会得到很大改善。然而,信息化水平较低的企业员工与他们之间存在很大差距,致使信息化水平较高的一方很难借鉴、学习对方的工作经验、技能,而自身技能、经验却被对方学习,使得双方合作存在很大的不公平性,不利于高技术企业之间进行协作创新,即使达成约定,日后也会因为利益冲突而产生很多矛盾。
2.2 影响途径实证检验
2.2.1 信效度分析
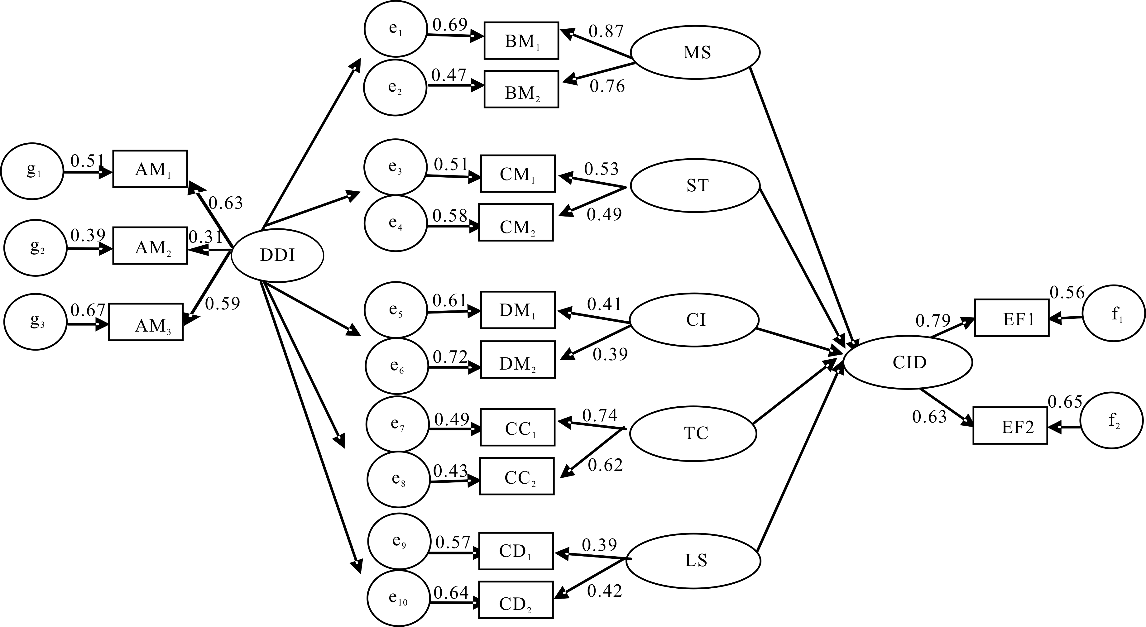
本文结构方程模型包括7个变量:高技术企业间数字鸿沟、管理方式、战略目标、合作投入、团队分工、学习-吸收能力和协同创新,分别记作DDI、MS、ST、CI、TC、LC、CID。
本文参考已有研究对所涉及的构念度量进行操作化定义,问卷采用Likert五点积分方法来测量MS、ST、CI、TC、LC。
MS:量表采用两个题项,即信息集群化扁平管理和分权-授权职能管理。
ST:本文采用3个题项对其进行测量,即基于大数据的战略目标、基于经验的战略目标、基于传统的战略目标。
CI:借鉴Katharine Wakelin的研究成果[7],本文采用3个题项对其进行测量,分别是投入资金来自互联网金融、投入设备来自众创、人力资源来自众包。
TC:量表采用两个题项来测量团队分工,即分工采用(微信等)新媒体和基于平台的团队合作管理。
LC:本文借鉴Jeff P Boone和Raman K K[8]的研究成果,量表采用两个题项对其进行测量,分别是利用网络学习-吸收和隐形知识信息共享。
通过SPSS软件和AMOS19.0软件对调查问卷(上述东、西部各20家高技术企业为调查样本)进行信度及效度检验,结果见表5。从中可见,每个变量的Cranach's α值波动范围为0.741~0.927,说明每个变量的信度都较高,所有变量的AVE值均大于0.6,并且CR值都大于0.8,可以看出各变量具备较好的信度和效度。
表5 信度与效度检验结果

构念Cronbach'sα因子载荷AVECR构念Cronbach'sα因子载荷AVECRDDI0.8750.7130.892MS0.9270.6730.924AM10.765BM10.841AM20.814BM20.913AM30.825ST0.7520.7430.846CI0.8140.6140.815CM10.724DM10.694CM20.683DM20.731TC0.8170.6930.927LS0.7410.6420.817CC10.858CD10.732CC20.814CD20.616CID0.8490.7140.869EF10.793EF20.862
2.2.2 结构方程模型验证
为了检验影响途径分析框架是否成立,本文采用AMOS19.0构建结构方程对其进行验证,其拟合结果见图3。

图3 结构方程模型验证结果
由表6结果可知,各拟合指标都达到了一定的精度标准,表明该结构方程拟合效果较好,能够达到要求。因此,该量表具有整体建构效度。
由图3可知,高技术企业间数字鸿沟的确能够通过管理方式、战略目标、合作投入、团队分工、学习-吸收能力5条途径影响协同创新。其中,最主要的影响途径是管理方式,其次是战略目标,再次是合作投入、团队分工、学习-吸收能力。具体分析如下:
(1)数字鸿沟主要通过管理方式对高技术企业间的协同创新产生影响。企业间数字鸿沟的存在使企业间形成了不同的管理方式,致使对员工的行为约束和工作管理水平相差较大,员工管理难易、工作效率高低以及信息化适应性强弱都是高技术企业进行协同创新需要考虑的因素,其会影响企业间协同创新经济效益。因此,管理方式不同会影响双方(或多方)企业的协同创新结果。
表6 结构方程模型拟合度情况统计

拟合指标CMIN/DFGFIAGFIIFICFIRMSEANNFI拟合结果2.7930.9130.9450.8450.8170.0620.893拟合精确度标准2-3>0.9>0.9>0.8>0.8<0.09>0.8
(2)数字鸿沟的存在使高技术企业间在生产、营销方式和企业发展方向等方面都存在很大差距,各企业对未来发展会制定不同规划和战略目标。高技术企业间进行协同创新也必须有一个明确的发展目标,这是企业实现共赢的基础,而数字鸿沟打破了双方合作的基础,使存在数字鸿沟的企业很难实现协同创新。
(3)数字鸿沟对高技术企业间协同创新影响的另一条途径是合作投入。由于高技术企业间存在着数字鸿沟,由此导致投融资信息来源存在较大差异的两家或多家企业投入方式不同,投入方式差异进一步导致企业间协同创新要求的资金资源也不同,这直接影响了双方的合作意愿。
(4)高技术企业之间存在的数字鸿沟使员工对于信息处理能力产生较大差距,进一步导致任务完成能力也存在很大差异。因此,工作任务会结合员工信息处理能力进行分配。然而,协同创新企业始终会对自身成本、收益进行评估,不同的团队分工也使得各自付出的成本存在差异。出于经济利益考虑,由数字鸿沟引起的“不均衡”团队分工也会影响高技术企业间的协同创新结果。
(5)在双方(或多方)企业协同创新的基础上,提升员工学习-吸收能力是企业希望达到的最佳合作状态。然而,高技术企业间数字鸿沟使得员工学习-吸收能力存在一定差距,很难达到相互学习、共同进步的目的,甚至还会出现利益偏于一方的状况,这使得高技术企业间会因一定的利益矛盾而放弃协同创新。
3.1 结论
本文构建了一套高技术企业间数字鸿沟测度指标体系,并计算出样本企业之间的数字鸿沟大小。在此基础上,研究了高技术企业间数字鸿沟对协同创新的影响途径。主要研究结论如下:
(1)高技术企业间数字鸿沟测度指标体系包括信息化投资比重、互联网接入规模、每百人拥有计算机量、接入内网计算机比率、数据库建设规模指数、公共信息资源量指数、信息服务体系完善指数、信息化注重水平指数、办公自动化系统应用程度、关键工作信息化水平指数、企业门户网站水平、电子商务普及率、信息化人才培训制度完善指数、高素质人才比率、信息化技术普及率、信息技术人员素质等16个指标,通过该指标体系测算出我国高技术企业之间(尤其是东部与西部企业之间)存在较大的数字鸿沟。
(2)数字鸿沟可通过管理方式、战略目标、合作投入、团队分工、学习-吸收能力等5条途径影响高技术企业间的协同创新。其中最主要的影响途径是管理方式,其次是战略目标,再次是合作投入、团队分工、学习-吸收能力。
3.2 对策建议
(1)加强管理者的信息化意识。随着信息化的兴起,高技术企业逐渐将信息化应用到研发、生产、营销等方面,并促进了企业科技创新和产品升级。若要提升高技术企业信息化水平,首先必须加强管理者的信息化意识,将信息技术运用到企业管理运行的各个方面,对传统管理方式、组织结构、管理理念进行变革。当前,企业若要增强自身核心竞争力,必须加强信息化建设,如果不充分利用信息化带来的发展机遇,高技术企业最终将遭遇淘汰。此外,只有提升管理者的信息化意识及素质,高技术企业才能通过信息化实现经济增长。信息化管理不只是针对技术的提升,其涵盖范围非常广,在信息化建设管理过程中,必然会触及部分人的利益,致使信息化的推进遭遇阻碍。所以,管理者要有坚定的信念推进信息化建设。只有高层管理者意识到信息化建设的必要性,才能更好地推进信息化在高技术企业中的应用。
(2)投入更多资源用于信息化建设。信息化建设需要足够的资金支持,而当前大多数企业认为企业资金不足致使信息化建设步伐一直停滞不前。因此,企业要加强信息化建设,必须有一定的资金实力或通过融资方式获取资金支持,以保证企业信息化水平得到提升,进而增加未来经济效益。高技术企业仅仅依靠传统融资方式获取资金远远不够,还应适应当前的融资体制,通过多种形式筹集资金。与此同时,若本公司产业属于政府支持产业,还可以得到政府资金支持,也可向国外利息较低的银行进行贷款,甚至与技术改造项目相结合,对需要进行技术改造的项目加大信息化建设投入力度,对于以后的新建项目,及时为信息化投入进行融资,使信息化应用在项目投产之日就已开始。高技术企业只有拓展融资渠道,加大对信息化建设的投资力度,才能持续提升信息化水平。具体融资渠道如下:首先,对于上市的高技术企业,可通过发行公司股票、债券等金融工具进行融资,也可利用股份制方式吸收社会资本入驻;其次,应充分运用当前日益成熟的风险投资、创业投资进行融资,政府还应加大对创业投资的支持力度,同时对其进行监督,针对企业信息化建设发展建立投资基金,将外部投资机构引入到信息化建设方案中,为高技术企业信息化建设提供资金支持;最后,政府应鼓励商业银行等金融机构向高技术企业贷款,完善企业财务信用评估体系。
(3)提升高技术企业员工信息素质与技能。在加强高技术企业信息化建设的同时,不能忽略对信息化人才的培养。在高技术企业未来发展中,急需一批高技能且信息化素质较高的人才,其不但能够充分运用先进的信息技术,而且还应具备信息化经营管理思想;不但需要具备一定的理论知识,还应具备实际操作技能。因此,高技术企业若要推进信息化建设,必须提升员工信息素质与技能。首先,可与培训机构、资深互联网企业和高校合作,对职工进行培训,使员工的信息化素质和技能得到提升。同时,改善员工引进、竞争和激励机制,解决长期以来企业存在的人才流失问题。其次,要使员工处于网络环境中,加大对信息化的宣传力度,向员工普及相关信息化知识,提高员工在日常工作中的信息化应用意识及技能,使企业内部工作实现信息化。主要途径如下:首先,在企业外部直接招聘高素质人才,为其提供丰厚待遇,如给予员工一定的权利,设计良好的晋升机制和高福利等;其次,注重加强对企业内部职工的信息化技能培训。为了适应社会的快速发展,需定期对员工进行培训,使其了解最前沿的理论知识,认识行业未来发展趋势,及时有效地获取市场信息。再次,制定最佳激励机制,防止人才流失。高技术企业应为员工提供良好的发展空间,使其价值能够充分发挥并不被其它企业挖走,要及时与他们沟通,加强对他们的培训,使其价值有进一步提升空间;最后,依靠与高校、培训机构的合作,为高技术企业带来高素质人才。对于高技术企业存在的难题,也可以请求专业人士帮助。
(4)政府应加大对高技术企业信息化的支持力度。高技术企业在推进信息化建设进程中仅仅依靠自身力量很难实现,还需要得到政府的支持。企业是推进信息化建设的主力军,而政府则起了重要推动作用,若要提升企业信息化水平,必须加强双方合作,这样才会更加高效地实现高技术企业信息化建设。政府应加强信息基础设施建设,完善配套服务体系,重视互联网安全监控工作,为高技术企业信息化建设提供一个丰富、有序的网络环境,保证信息化建设工作能够稳定落实。高技术企业作为我国重点发展的企业,政府应真正了解当前高技术企业发展面临的问题,针对存在的问题积极进行政策引导,有效提升企业信息化水平。
参考文献:
[1] 蔡剑,等.协同创新论[M].北京:北京大学出版社,2012:51-62.
[2] 王献蜀. 数字鸿沟的弥合给传统企业带来发展机遇[N]. 中国日报,2014-09-19(02).
[3] 杨帆. 世界“数字鸿沟”持续加大[N]. 经济日报,2015-04-17.
[4] 胡鞍钢,王蔚,周绍杰. 中国开创“新经济”——从缩小“数字鸿沟”到收获“数字红利”[J]. 国家行政学院学报,2016(7):26-27.
[5] ORGANIZATION FOR ECONOMIC COOPERATION AND DEVELOPMENT. Understanding the digital divide [R].Paris, France: OECD,2001:1-4.
[6] LAKSHMI K RAUT.R&D spillover and productivity growth:evidence from Indian private firms[J].Journal of Development Economics,2009,48(1):1-23.
[7] KATHARINE WAKELIN. Productivity growth and R&D expenditure in UK manufacturing firms[J]. Research Policy,2010,30(7):1079-1090.
[8] JEFF P BOONE, RAMAN K K. Off-balance sheet R&D assets and market liquidity[J].Journal of Accounting and Public Policy,2011,20(2):97-128.
[9] CARPON H,VAN POTTELBERGHE B.Public support to R & D programmes: an integrated assessment scheme[R].OECD,2016:35-48.
[10] 熊义杰,谢白雪,郑晓纯. “数字鸿沟”与我国企业文化的系统分析[J].情报理论与实践,2008,31(1):41-46.
[11] 刘骏,薛伟贤.城乡数字鸿沟测度指标体系及其实证研究[J].预测,2012,31(5):68-73.
(责任编辑:王敬敏)
Research on the Influence of Digital Divide between High-tech Enterprises to Collaborative Innovation
Abstract:The world is entering the digital era, big data, cloud computing, Internet plus technology and development concept has penetrated into enterprise innovation activities. High-tech enterprises as the main body of innovation, the promotion of collaborative innovation has increasingly been hindered by the digital divide between enterprises. This paper constructs a set of measure index system from four dimensions of network construction, network environment, network utilization and network talents. And the digital divide between high tech enterprises are measured by using the data obtained from questionnaire survey. On the basis of this, the influence of the digital divide on the cooperative innovation is analyzed by the structural equation model. Research results show that collaborative innovation between high-tech enterprises can be influenced by management mode, strategic target, cooperation investment, team division of labor, learning absorptive capacity. One of the most important way is through the management mode, followed by the strategic target, and then through cooperation investment, team division of labor, learning absorptive capacity.
Key Words:High-tech Enterprise; Digital Divide;Collaborative Innovation;Structural Equation Model
收稿日期:2016-07-20
基金项目:教育部人文社会科学研究项目(15XJCZH003);贵州省社会科学规划项目(14GZQN32);贵州省教育厅自然科学研究项目(黔教合KY字(2013)164号);商务部联合研究基金项目(2015SWBZD03);贵州省科技厅软科学计划项目(黔科合基础[2016]1504号)
DOI:10.6049/kjjbydc.201611X054
中图分类号:F276.44
文献标识码:A
文章编号:1001-7348(2017)01-0075-08