On the theoretical basis of innovation ecosystem and innovation value, this paper takes PROs in the innovation ecosystem as the research object, empirically tests the linear relationship between niche suitability and innovation value, and selects two mediating variables, i.e., the competition effect and the synergy effect, to explore the transmission mechanism of the impact of niche suitability on innovation value. First, an innovation value measurement index system is constructed from two dimensions of innovation achievement and knowledge achievement, and a niche suitability evaluation index system is constructed from innovation subject, innovation resource and innovation environment. The data performance of these two indicators in 31 provinces, autonomous regions and municipalities in mainland China during 2010—2020 is then measured. The results show that the innovation value of PROs in eastern provinces is generally high; the innovation niche suitability of Beijing, Jiangsu, Zhejiang, Guangdong and other provinces is generally high, and the innovation niche suitability of all provinces would be improved to varying degrees in 2020. Moreover, with innovation value as the explained variable and niche suitability as the core explanatory variable, control variables are introduced to build a panel data regression model and empirically test the impact of niche suitability on the innovation value of PROs.
The results show that niche suitability has a significant positive impact on the innovation value of PROs. From the perspective of other factors affecting the innovation value of PROs, the opening level of innovation ecosystem has a negative impact on the innovation value, indicating that the opening of the innovation ecosystem in various regions is still in the initial stage of development, and fails to have a positive impact on improving the innovation value of PROs. It is thus necessary to further strengthen information exchange , and drive the members of the system to improve the efficiency of knowledge production through technological complementarity. The difference in fixed asset investment level has a positive effect on innovation value, but it is not significant. The fixed asset investment used by each ecosystem for research equipment investment and improvement of innovation conditions will promote PROs to produce more innovation results, improve the innovation potential and the ability to resist innovation risks, so the utilization efficiency of fixed assets should be further improved. The level of investment in science and technology has a significant positive effect on the innovation value, which indicates that PROs can give full play to the function of scientific research innovation, and the level of investment management and allocation of science and technology resources is relatively high. Then, the transmission mechanism is tested, and the results show that niche fitness improves the innovation value of PROs through two mediating variables: the synergy effect and the competition effect. Finally, the robustness and heterogeneity of the model are tested, and the robustness of the regression results is confirmed through the re-calculation of innovation value and regional grouping regression, and the effect of innovation niche suitability in different regions is heterogeneous.
This paper makes an attempt to break through the limitations of innovation behavior in the innovation ecosystem. It takes enterprises as the core, and highlights the important role of PROs in the innovation ecosystem, which provides a theoretical and practical basis for improving the innovation value of PROs, and decision-making reference for improving the ecological niche suitability of PROs and promoting the healthy development of the innovation ecosystem.
习近平总书记在2020年9月科学家座谈会上指出:“我国经济社会发展比过去任何时候都更加需要科学技术解决方案,更加需要增强创新这个第一动力。”创新对于经济社会发展的促进作用已形成共识,在由创新驱动向创新引领转变过程中,应发挥系统性作用,增强创新主体之间的交流合作关系,由原来单一化逐步转化为多元化互补和共生关系,营造有利于各主体发挥创新优势的生态环境,创新生态系统理论由此产生。在将生态系统理论引入创新理论过程中,不同创新主体如何基于生态位异质性在创新生态系统中发挥作用是学术界重点研究内容之一。创新主体在创新生态系统内进行创新所需的资源与所获资源匹配程度称为生态位适宜度。研究表明,生态位适宜度对创新绩效具有积极影响[1],但生态系统内处于不同生态位的创新主体如何通过多元互动关系促进创新价值的产生鲜有学者论证,尤其是公共研发组织生态位适宜度对价值创造的影响未引起学者足够关注。本文基于创新生态系统和创新价值理论,以公共研发组织为研究对象,探索生态位适宜度对创新价值的影响及其传导机制,旨在突破以企业为核心研究创新生态系统内创新行为的局限性,突出公共研发组织对创新生态系统的重要作用,为提升公共研发组织创新价值提供理论和现实依据,进一步为提高公共研发组织生态位适宜度、促进创新生态系统健康发展提供决策参考。
创新生态系统理论经由国家创新系统、区域创新系统和产业创新系统演变而来。Freeman[2]将国家创新系统定义为一国范围内与新技术相互关联的各类机构的网络集合,这些机构围绕新技术引进、吸收、研发、改造、利用和扩散开展合作互动,创新主体主要包括政府、高校、科研院所和企业等。在国家创新系统中,企业是创新活动的发起者和引领者,高校和科研院所等公共研发组织配合企业开展创新活动,各主体分工明确且存在合作边界。但随着创新形式的不断演变,高校、政府和产业职能发生改变。尤其是三螺旋理论提出后,各主体在创新活动中的界限变得日益模糊,高校等公共研发组织创新地位突出,与企业和政府发挥同等作用甚至更胜一筹,逐渐发展成为创新系统的重要组成部分。区域创新系统与产业创新系统分别从区域和产业角度分析创新主体互动行为对于促进知识生产、交流和应用的作用。随着先进信息与数字技术发展,创新主体双边互动关系已不能满足创新发展需要,以多主体互动关系为特征的创新生态系统理论应运而生,这一领域最常引用的文章来自于Moore[3]。他认为企业被视为生态系统的一部分,这个生态系统跨越各种产业,企业间通过合作和竞争共同发展创新能力,从而带来创新。与传统创新系统不同,其从创新生态系统角度对创新过程加以分析,将生态学理论引入创新理论,将创新主体视为生态系统的物种,分析其自组织性和多样性,探索创新生态系统追求多主体共生进而实现生态平衡的路径,以及创新组织群落与创新环境之间的协同演化关系。随后,学者们不断发展创新生态系统的内涵和外延,其中部分学者从生态位视角描述创新生态系统,认为创新主体占据着不同生态位但又相互影响[4],创新主体在资源、需求、技术、政策和体制等环境因子的协同作用下实现生态位动态跃迁[5]。这种生态位跃迁会促进产业演化升级,并推动创新生态系统演化发展[6-7]。自李自珍等[8]将生态位适宜度定义为“某一生物物种居住地现实生境条件与最适生境条件的贴近度”后,相关学者通过构建生态位适宜度评价模型对区域可持续发展、知识创新效率和产品创新效率以及产业创新生态系统动力演化过程进行实证分析[9-11]。
通过文献梳理发现,学术界将企业作为创新生态系统主体并研究其创新行为的文献较多,现有研究从不同角度运用多种方法检验生态位适宜度与创新生态系统良性发展的关联关系,但关于创新生态系统内部各主体如何影响创新行为的研究较少,尤其是将公共研发组织作为研究对象讨论其通过与产业互动带来创新价值的研究更少。公共研发组织作为创新生态系统的重要主体,与以利润最大化为目标的企业不同,其具有公共属性和研发特性两大特征。其中,公共性体现在经费主要来源于政府公共财政支持,作为非营利机构,为社会提供准公共产品;研发性体现在生产公共科学知识,以基础研究和公益性研究为主开展科技创新活动。公共研发组织主要包括政府支持的大学、科研机构、非营利机构等[12]。公共研发组织与产业之间的关系对于推动创新具有重要作用,通过转移机制和人员流动形成产学关系,其对商业部门创新活动的贡献远超知识产权转让贡献(许可)[13]。公共研发组织与产业之间的互利共生关系涉及资源和能力的双向流动,即在生态系统主体之间产生互动和价值共创[14-15]。公共研发组织不仅是人力资本和知识的提供者,还是资源和能力从生态系统流向公共研发组织的受益者[16]。因此,科学测度公共研发组织在不同创新生态系统中的生态位适宜度并探讨其对创新价值的传导机制,是厘清创新行为产生并不断演化的关键所在。综上所述,本文围绕3个理论假设展开研究:首先,构建公共研发组织创新价值评价指标体系和创新生态系统生态位适宜度评价指标体系;其次,实证检验区域创新生态系统生态位适宜度对公共研发组织创新价值的影响;再次,以创新主体间的竞争效应和协同效应为中介变量,考察生态位适宜度如何通过中介变量增强对创新价值的影响;最后,对实证结果进行稳健性和异质性分析,根据分析结果提出提高生态位适宜度和创新价值的政策建议,从而为促进创新生态系统健康发展、提升创新能力、以科技创新引领区域发展提供借鉴。
创新生态系统将生态系统理论引入创新理论,从更广泛视角分析创新行为,从生态学视角隐喻创新主体间以及创新主体与创新环境的复杂关系。创新过程被描述为创新物种、种群甚至群落对周围环境变迁、干扰因素的反馈过程[17]。物种作为创新生态系统的基本要素,是创新的基本单元,包含企业、大学和科研院所、政府和创新中介等主体,物种因占据不同生态位而联结形成各种群落,群落之间资源和能力的双向流动形成互利共生关系,并借由互动关系和价值共创进一步影响生态位,进而促进生态系统整体演化。创新生态系统资源与要素互动关系如图1所示。
图1 创新生态系统
Fig.1 Innovation ecosystem
创新生态系统区别于其它创新模式的关键在于价值共创,市场复杂性迫使组织从孤立地创造产品转向在协作创新网络中共同创造价值[18]。任何一个组织在复杂科学和社会背景下都不会拥有创新解决方案所需的全部专业知识和信誉[19],正是不同利益相关者通过相互作用,才能创造出超越单个组织边界的多种类型价值[20]。在价值共创过程中,公共研发组织作为具有公共属性的创新主体,其在创新生态系统中的地位愈发重要。从传统意义上看,公共研发组织以人才培养和基础研究为使命,进而对产业发展产生溢出效应[21]。Etzkowitz &Leydesdorff[22]提出三螺旋模型,强调大学的第三个作用是促进区域经济发展以及与产业和政府进行合作;Sohvi Heaton等[23]基于动态能力视角分析公共研发组织在生态系统中的不断演化,反映出公共研发组织生态位跃迁过程。在初始阶段,创新生态系统表现为低密度、有限同一性以及很少的联系,公共研发组织通过在具有区域潜力的技术领域开展研究和推广活动帮助生态系统创造先决条件。Agrawal &Cockburn[24]认为,大学可以扮演“主要租户”的角色,将企业研发吸引到缺乏多个知识生成节点的领域。在发展阶段,随着生态系统内就业岗位以及初创企业数量的不断增加,公共研发组织通过举办针对性会议与其他创新主体建立联系,协调整个创新生态系统信息的自由流动,同时组织诸如创业训练营、大学孵化器和加速器等项目促进创业发展[25-27]。另外,公共研发组织还可以帮助创新生态系统获取有形、无形的金融资源,这些资源对于产品商业化至关重要。在更新阶段,创新生态系统与市场、技术共同演化,这意味着创新主体需要升级和更新自身资源及能力,这一阶段公共研发组织可引导创新生态系统转型,重新研究技术发展模式和知识交流方式。随着创新生态系统的不断演化,公共研发组织在生态系统中的作用日益增强,与其他主体间的互动更加频繁,占有的资源更加多样,生态位适宜度得到提升,在动态演化过程中产出更多创新价值成果,包括创新成果、知识成果和关系成果[28],进而促进创新生态系统健康发展。据此,本文提出如下假设:
H1:生态位适宜度对公共研发组织创新价值具有正向影响。
在创新生态系统中,创新主体占据各自的生态位,创新主体在价值获取过程中受市场力量的影响,需要面对一些具有资产专有属性的竞争对手[29]。竞争关系的存在使公共研发组织重视市场需求,不断提高技术转化率,及时淘汰落后技术,突显各自竞争优势。创新生态系统竞争关系不仅来源于系统内部,也来源于不同生态系统之间,这与生态学中的“优胜劣汰”法则不谋而合。在创新生态系统内部,创新能力较强的公共研发组织会在竞争中脱颖而出,而创新动力不足的系统成员则有可能被淘汰。在进入新生态位条件下,频繁竞争会出现更高的技术拥挤,从而对探索新生态位产生积极影响[30]。企业会选择创新能力强的公共研发组织进行合作,而政府也会将政策向具有更多创新资源的主体倾斜,为获取更多研发经费或创新资源,公共研发组织不得不开展多样化竞争以彰显自身创新潜力。由于地理位置、认知邻近性,公共研发组织间的技术和资源趋于同质,造成生态位重叠,为争夺有限的生存空间,公共研发组织会不断调整自身属性,达到与环境的动态匹配,以有效获取、利用资源,提升公共研发组织生态位。这种竞争必然带来创新成果和知识成果的增加,产出创新价值。据此,本文提出如下假设:
H2:生态位适宜度通过公共研发组织间的竞争效应提升创新价值。
创新生态系统作为创新主体体现相互依存关系的一种方式,在商业战略和实践中占据突出地位。创新生态系统的优势在于以合作和竞争为特征的交易网络中,合作伙伴之间实现协调发展[31-32]。合作的大部分机会来自于对主体间互补性的挖掘,其中主体位于供应链不同位置[33]。在创新生态系统内部,公共研发组织异质性和技术多样性使技术在各群落间互补流动,能够改善单个物种技术单一的问题。各种互补技术重新组合、匹配使更多创新成果的产生成为可能,有助于丰富创新生态系统功能多样性,增强物种间稳定的合作关系。如果生态系统内创新主体因某种共同利益形成协作关系,则有利于扩大合作范围,促进新技术和新产品研发,增强创新主体之间的共生性。
生态位适宜度越高,说明系统内各物种之间生产关系、研发战略、地理位置等关联要素相互依赖关系越强,系统成员获取创新资源的渠道和方式越多,创新需求匹配度越高,相比于系统边界之外的其他创新主体越容易形成合作关系,并且会在系统内外部寻找合适的创新生态位,系统内成员可通过资源互补开展协同创新,进而演化出分工合作、竞合发展的竞合共生路径,这种方式越能够提升系统创新能力[34],产生更多创新价值。相反,公共研发组织所在创新生态系统生态位适宜度越低,创新主体寻求匹配的技术、人员难度越大,在关键技术研发和应用方面越不容易找到与之相匹配的创新主体,创新需求越不容易被满足。创新生态系统生态位适宜度影响公共研发组织与产业之间的协同效应,能够有效降低成本投入,产生更多创新成果。例如,在一个拥有公共研发组织(高校和科研院所)、政府和企业的创新生态系统中,公共研发组织协同创新既有高校与科研院所之间的联合研发、横向合作及成果共享,也有高校或科研院所与企业共建实验室、技术成果转化和经费投入。生态位适宜度决定创新主体协作互动机制是否健全,生态系统经济环境、技术环境、信息环境和文化环境影响主体能否开展有效协作。协同创新会带来关键技术攻关,降低创新成本,促进创新成果转化。据此,本文提出如下假设:
H3:生态位适宜度通过公共研发组织间协同效应提升创新价值。
生态位适宜度是指创新主体所需资源与所获资源的匹配程度,反映创新主体创新需求被满足的程度,在与系统内其他主体的竞争合作关系中,资源流动与互补既有助于产生新创意和新技术,也会造成资源挤占。基于竞争效应和协同效应传导机制,本文构建以生态位适宜度作为解释变量、以协同效应和竞争效应作为中介变量、以公共研发组织创新价值作为被解释变量的理论模型,如图2所示。
图2 生态位适宜度影响创新价值的理论模型
Fig.2 Theoretical model of innovation value affected by niche suitability
3.1.1 被解释变量
公共研发组织创新价值(inno)。创新生态系统理论强调主体间的价值共创,借鉴Charlotte Reypens等[28]的研究,由多方利益相关者共同创造的价值成果包括创新成果和知识成果。其中,创新成果体现为公共研发组织为企业开发解决方案,实现科技成果转化;知识成果体现为公共研发组织进行知识创造、知识传播以及人才培养。为符合区域创新生态系统实际,本文将地理位置作为创新生态系统的重要划分依据,以中国内地31个省、自治区和直辖市作为创新生态系统的基本单元,形成创新群落,以各区域内高校、科研院所作为公共研发组织的典型代表,以专利所有权转让及许可收入、申请专利数表征创新成果,以R&D课题数、发表科技论文数和研究生数量表征知识成果,构建公共研发组织创新价值评价指标体系,如表1所示。
表1 公共研发组织创新价值评价指标体系
Table 1 Index system for measuring innovation value of PROs
因变量测度要素二级指标三级指标公共研发组织创新价值成果创新成果科技成果转化专利所有权转让及许可收入开发解决方案申请专利数知识成果知识创造R&D课题数知识传播发表科技论文知识人才高等学校(机构)研究生数
对公共研发组织数据进行标准化处理,运用熵权法对其创新价值进行测度,得到2010-2020年的测度结果。为清晰识别各地区公共研发组织创新价值变化趋势,分别选取2010年、2020年进行对比分析,如图3所示。从各地区整体水平看,我国东部省份公共研发组织创新价值相对较高。其中,北京公共研发组织创新价值测度结果最高,远高于其它省份,测度值均在0.7以上;上海、江苏2020年公共研发组织创新价值测度值均超过0.4,仅次于北京;西藏、青海、宁夏、新疆等省区有较大差距,尤其是青海2010年、2020年创新价值不足0.01,表明各省份公共研发组织创新价值具有明显差异。从变动趋势看,与2010年相比,2020年广东、青海等省份公共研发组织创新价值在波动中呈明显上升趋势,辽宁、西藏、甘肃等省份呈明显下降趋势,而创新价值测度值最高的北京则呈现小幅下降趋势。
图3 各地区2010年和2020年公共研发组织创新价值测度结果
Fig.3 Results of innovation value measurement of PROs in 2010 and 2020 in various regions
3.1.2 核心解释变量
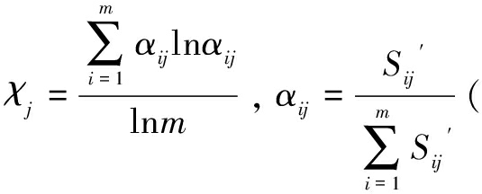
创新生态系统生态位适宜度(suita)。生态位是生态系统中一个物种所占据的生存单位,任何物种在一定范围内生存和繁衍都会受到环境因素的制约[35]。在创新生态系统中,公共研发组织创新活动的持续进行依赖于与创新主体及复合环境的交互流通。在此过程中,创新生态系统实际获得的能量和信息等创新资源称为现实生态位,而使创新活动实现效益最大化的理想状态称为最适生态位。现实生态位与最适生态位的匹配程度称为创新生态位适宜度,即区域创新资源存量对公共研发组织创新需求的满足程度。创新生态位适宜度取值介于0~1之间,越接近1,说明现实生态位与最适生态位匹配度越高,创新资源满足创新需求的能力越强。生态位适宜度通常采用创新主体要素、创新资源要素和创新环境要素测度。公共研发组织在生态系统中利用可获取资源与其他主体开展合作竞争,占据不同生态位,通过提高创新价值创造更多创新成果,助力公共研发组织在系统内部不断演化升级,并在生态位跃迁过程中促使系统协同创新能力不断提升,推动整个创新生态系统演化发展。本文借鉴武翠等[36]的测度方法,测算各地区公共研发组织创新资源供给量与最适资源量的贴近程度,具体测度方法如下:
![]()
(1)
式(1)中,Sij表示第i个系统第j个生态因子的具体统计指标,Sjmin=min(Sij),Sjmax=max(Sij)。
suitai=
![]()
(2)

(3)
式(2)中,Saj为生态因子的最佳生态位,即Saj=max(Sij′)
式(3)采用熵权法计算第j个生态因子的权重wj,其中
当αij=0时,假设αijlnαij=0)。
模型参数ε一般根据suitai=0.5测算得出,公式如下:
situai=

(4)
基于生态位理论,参考解学梅等[37]构建的生态位适宜度评价指标体系,对公共研发组织所在创新生态系统生态位适宜度水平进行测度。其中,创新主体包括科研机构、高校和有R&D活动的企业,创新资源包括人力资源和经费投入,创新环境包括经济环境、技术环境、信息化环境和文化环境,每个指标采用相应生态因子指标表征,如表2所示。
表2 创新生态系统生态位适宜度评价指标体系
Table 2 Evaluation index system of niche suitability of innovation ecosystem
测度目标测度要素测度指标生态因子指标 创新生态系统生态位适宜度创新主体科研机构科研机构数(所)高校普通高等院校数(所) 企业有R&D活动的企业数(个) 创新资源人力资源R&D人员全时当量(万人年) 经费投入R&D内部支出(亿元) R&D外部支出(亿元) 创新环境经济环境人均生产总值(元) 城乡居民人均可支配收入(元) 城乡居民人均消费支出(元) 技术环境三大专利申请数量(个) R&D课题数量(个) 信息化环境互联网普及率(%) 文化环境公共图书馆个数(个)
公共研发组织所处创新生态系统生态位适宜度测度结果如图4所示,为看清变化趋势,分别对2010年、2020年进行比较分析。从各省份相对水平看,北京、江苏、浙江、广东等省份创新生态位适宜度普遍较高。其中,广东2020年创新生态位适宜度达到0.67,海南、青海、西藏、宁夏等省区有较大差距,2010年和2020年创新生态位适宜度值均低于0.05。从变动趋势看,与2010年相比,2020年各省份创新生态位适宜度水平均实现不同程度提升。其中,西藏创新生态位适宜度值增长3.14倍,浙江、湖南、重庆、宁夏等省区增长幅度较大,达到原来的2倍左右,而山西、辽宁、吉林、黑龙江等省份涨幅较小,均不足40%。
图4 各地区创新生态系统生态位适宜度测度结果
Fig.4 Measurement results of niche suitability of innovation ecosystem in various regions
3.1.3 控制变量
本文将创新生态系统对外开放水平(open)、创新生态系统固定资产投资水平(inv)、创新生态系统科技投入水平(sci)设置为控制变量,分别采用进出口总额、全社会固定资产投资、科学技术财政支出分别占GDP的比重表示。
3.1.4 中介变量
本文以竞争效应和协同效应作为中介变量。借鉴陈关聚、张慧[38]选取的关于合作度和竞争度的指标,协同效应以高校与科研院所R&D经费外部支出表征,R&D经费外部支出可以反映公共研发组织与其他主体间的合作关系,有经费和研究课题互动往来表明主体间存在协同关系;竞争效应以创新生态系统内公共研发组织个数表征,公共研发组织间的竞争主要来源于高校和科研院所,在经济学市场理论研究中,参与者数量是影响市场结构的重要指标。参与者人数越多,因技术和资源同质性越容易造成生态位拥挤,公共研发组织为实现生态位跃迁会不断提高创新价值,输出创新成果。
综上所述,本文设定如下计量模型:
innoit=α1+β1suitait+γ1Xit+εit
(5)
其中,被解释变量inno表示公共研发组织创新价值;suita为解释变量,表示公共研发组织所在创新生态系统生态位适宜度;Xit为控制变量;i表示省份(自治区、直辖市);t表示时间;α1为常数项;β1和γ1分别为解释变量和控制变量的待估参数;εit为随机扰动项。
本文数据主要来源于《中国统计年鉴》《中国科技统计年鉴》,研究样本为2010-2020年中国内地31个省、自治区和直辖市数据,缺失数据采用插值法补齐。
本文首先采用计量模型分析生态位适宜度对公共研发组织创新价值的影响,结果如表3所示。其中,第(1)~(3)列分别为OLS、固定效应模型、随机效应模型检验结果,可见3种模型中生态位适宜度对公共研发组织创新价值均具有显著正向影响。通过Hausman检验得出,模型未拒绝随机效应RE原假设,因此采用随机效应模型进行分析。结果发现,创新生态系统生态位适宜度越高,公共研发组织创新价值越高,生态位适宜度能够提升公共研发组织创新价值,假设H1得到验证。
表3 基准回归结果
Table 3 Benchmark regression results
变量名称 inno(1) OLS inno(2) FE inno(3) REsitua1.832∗∗∗0.654∗∗∗0.734∗∗∗(10.65)(7.43)(8.07)open-0.233∗∗∗-0.259∗∗∗-0.087 9∗(-5.02)(-3.68)(-1.75)inv-0.033 4∗∗∗0.010 5∗∗∗0.005(-6.13)(2.73)(1.41)sci0.601.315∗∗∗1.112∗∗∗(0.72)(3.20)(2.63)constant0.018 9∗∗0.061 8∗∗∗0.042 3∗∗∗(2.21)(6.77)(2.89)
注:括号内为估计系数对应的t统计值,***、**、*表示在 1%、5%、10%水平下显著,下同
从影响公共研发组织创新价值的其它因素看,创新生态系统开放水平对创新价值具有负向影响,说明我国各地区创新生态系统开放处于初步发展阶段,需要进一步加强信息交流与互动,促进创新资源在生态系统内外部流动和溢出,通过技术互补提升知识产出效率;固定资产投资水平对创新价值具有正向影响,但不显著,说明各生态系统用于科研设备投入、创新条件改善的固定资产投资会促进公共研发组织产出更多创新成果,提升抵抗创新风险的能力,因此应强化固定资产利用率;科技投入水平对创新价值具有显著正向影响,表明我国公共研发组织能够充分发挥科研创新职能,科技资源投入管理和配置水平较高。
为深入探究生态位适宜度对公共研发组织创新价值影响的传导机制,检验竞争与协同中介效应是否存在,本文采用温忠麟等[39]提出的中介效应模型对影响机制进行检验,模型构建如下:
Mit=λ1+η1suitait+δ1Xit+εit
(6)
innoit=λ2+η2suitait+φ2Mit+δ2Xit+εit
(7)
其中,M为中介变量,包括主体间协同效应(co)和竞争效应(com),被解释变量为公共研发组织创新价值,解释变量为公共研发组织所在创新生态系统生态位适宜度,控制变量分别为开放水平、固定资产投资水平和科技投入水平。η、φ、δ分别为解释变量、中介变量、控制变量的待估参数,i、t分别表示省份和时间,λ为常数项,εit为随机扰动项,所有中介变量均取对数值。
表4为生态位适宜度竞争效应对创新价值影响的检验结果,第(1)列为基准回归结果,第(2)列为生态位适宜度对中介变量竞争效应的回归结果,系数为0.187,在5%水平上显著,表明生态位适宜度有利于促进系统内创新主体竞争;第(3)列为生态位适宜度和创新主体间竞争效应对公共研发组织创新价值影响的回归结果,两个变量系数均显著为正,表明生态位适宜度通过提高主体间竞争效应激发公共研发组织知识、技术、设备创新,竞争效应能够强化生态位适宜度对创新价值的提升作用,假设H2得到验证。
表4 竞争效应影响机制检验结果
Table 4 Test results of the influence mechanism of competition effect
变量名称inn(1)com(2)inn(3)situa0.734∗∗∗0.187∗∗0.738∗∗∗(8.07)(2.49)(7.73)com0.117∗(1.76)open-0.087 9∗0.043 -0.071(-1.75)(0.96)(-1.51)inv0.005-0.006∗0.004 (1.41)(-1.88)(1.07)sci1.112∗∗∗-0.620∗1.174∗∗∗(2.63)(-1.78)(2.67)constant0.042 3∗∗∗0.194∗∗∗0.017 (2.89)(14.17)(1.00)
表5为协同效应对公共研发组织创新价值的影响结果,第(1)列为生态位适宜度对创新价值影响的基准回归结果,第(2)列为生态位适宜度对中介变量协同度的回归结果,可见生态位适宜度系数为8.88,在1%水平上显著为正,表明生态位适宜度有助于增强系统内创新主体间协同效应;第(3)列为生态位适宜度和创新主体间协同效应对创新价值影响的回归结果,发现两个变量系数均显著为正,表明生态位适宜度通过创新主体间协同效应提高公共研发组织创新价值。即系统内各种互补技术的重新匹配能够增强创新生态系统功能多样性,强化主体间协作关系,促进创新资源在主体间流动,假设H3得到验证。
表5 协同效应影响机制检验结果
Table 5 Test results of the influence mechanism of synergistic effect
变量名称inn(1)co(2)inn(3)situa0.734∗∗∗8.880∗∗∗0.599∗∗∗(8.07)(4.88)(6.04)co0.027 2∗∗∗(9.96)open-0.087 9∗-0.1980.003(-1.75)(-0.22)(0.10)inv0.005-0.480∗∗∗0.012 0∗∗∗(1.41)(-6.32)(2.97)sci1.112∗∗∗78.640∗∗∗-1.094∗∗(2.63)(9.33)(-2.26)constant0.0423∗∗∗0.1590.0275∗∗∗(2.89)(0.65)(3.20)
为进一步检验计量结果的稳健性,选取公共研发组织创新效率作为创新价值的另一个表征变量,以投入产出效率衡量创新价值。选取R&D从业人员全时当量作为劳动要素投入指标、R&D经费内部支出作为资本要素投入指标、专利申请授权数作为产出指标,采用DEA-Malmquist指数模型对公共研发组织创新效率进行测算,全样本回归分析结果如表6所示。由全样本回归结果可知,通过改变测度方法,采用新变量替代创新价值表征变量后,所得估计结果与基准回归结果具有高度一致性,从而证实研究结果具有一定稳健性和可靠性,假设H1得到进一步验证。
表6 全样本回归结果
Table 6 Whole sample regression results
变量系数估计值标准误t值P值suita 0.185 9∗∗∗ 0.063 8 2.91 0.004open -0.012 6 0.059 0 -0.21 0.831inv 0.024 2∗∗∗ 0.003 1 7.75 0.000sci -0.782 0∗∗ 0.343 6 -2.28 0.024_con 0.298 0∗∗∗ 0.007 3 40.78 0.000
不同地区科技创新投入和产出水平不同,导致地区之间创新生态位适宜度可能存在异质性。为此,根据我国地区划分标准,将样本划分为东部、中部、西部、东北4个地区对样本进行分组检验,结果如表7所示。表7模型(1)为全样本回归结果,模型(2)~(5)分别为东部、中部、西部、东北地区分组回归结果。从各模型实证结果可以看出:所有地区创新生态位适宜度系数均显著为正,支持创新生态位适宜度提高公共研发组织创新价值这一结论。对比各组系数显著性水平可知,创新生态位适宜度对创新价值的作用强度由高到低分别为东北、中部、东部、西部地区,东北地区若提高生态位适宜度会带来创新价值显著提升,作用强度更大,西部地区生态位与最适生态位匹配度较低,创新价值提升潜力不足。对于控制变量而言,西部和东北地区创新生态系统开放水平对创新价值具有显著正向影响,不同于全样本回归结果,表明西部地区和东北地区对外开放能够为公共研发组织创新价值带来显著提升效应。因此,应继续强化对外开放合作,扩大创新主体资源共享和互动协作范围,促进技术互补,降低创新成本;在固定资产投资和科技投入水平方面,各地区作用效果没有明显差距,与全样本回归结果基本一致。
表7 异质性检验结果
Table 7 Results of heterogeneity test
变量名称 inno(1) RE inno(2) RE1 inno(3) RE2 inno(4) RE3 inno(5) RE4 suita0.734∗∗∗0.603∗∗∗0.952∗∗∗0.481∗∗1.810∗∗ (8.070)(3.980)(5.480)(2.540)(2.200) open-0.087 9∗-0.209∗∗0.0310.492∗∗∗1.218∗∗ (-1.75)(-2.32)(0.150)(2.650)(2.350) inv0.0050.0090.0070.0146∗0.019 (1.410)(1.010)(1.560)(1.690)(0.580) sci1.112∗∗∗1.704∗∗-0.4860.835-14.340 (2.630)(2.490)(-1.07)(0.470)(-1.24) _cons0.042 3∗∗∗0.122∗∗0.0130.005-0.010 (2.890)(2.550)(0.800)(0.500)(-0.22)
本文基于创新生态系统理论,以公共研发组织为研究对象,以公共研发组织间的竞争效应和协同效应为中介变量,构建公共研发组织创新价值评价指标体系,结合2010—2020年中国内地31个省、自治区和直辖市数据,对生态位适宜度影响公共研发组织创新价值的传导机制进行实证检验,得出如下结论:①东部地区各省份公共研发组织创新价值普遍较高,各地区公共研发组织创新价值存在明显差距;②北京、江苏、浙江、广东等省份创新生态位适宜度普遍较高,符合以区域经济发展水平判断生态位适宜度的预期,2020年各省份创新生态位适宜度值均实现不同程度提升,说明各地区创新生态系统均在演化跃迁,其中西藏地区生态位适宜度值涨幅最大;③生态位适宜度对公共研发组织创新价值具有显著正向影响,各地区创新价值均与生态位适宜度高度正相关;④创新系统生态位适宜度通过主体间协同效应和竞争效应提高公共研发组织创新价值,说明生态系统内创新主体竞合关系推动生态系统演化发展;⑤不同地区创新生态位适宜度存在异质性,创新生态位适宜度对创新价值的作用系数在东北部、中部、东部、西部地区依次递减。
(1)不同于现有文献,本文以公共研发组织创新价值为被解释变量,扩展了创新主体生态位研究视角,突出公共研发组织在创新生态系统中的重要作用。
(2)从理论层面阐释生态位适宜度对创新价值的影响和传导机制,实证检验生态位适宜度对创新价值的促进作用和区域异质性,丰富了现有研究结论。
(3)引入协同效应和竞争效应作为中介变量,发现生态位适宜度通过两个中介变量增强对创新价值的影响,为创新生态系统深入研究提供了理论依据,对从实践层面制定政策、促进公共研发组织竞合发展提供了实践依据。
基于以上分析,本文提出如下政策建议:
(1)充分认识创新生态系统的重要性,政府应搭建创新生态系统服务平台,激发创新主体活力,集聚创新资源,优化创新环境。根据实证结果,生态位适宜度对创新价值具有显著促进作用,因此应提高创新主体在创新生态系统中的生态位适宜度,引导创新主体协同创新,增强创新政策公信力,提高信息公开透明度,统筹安排重大科技攻关项目投入,避免资源重复浪费。
(2)搭建区域科技创新交流平台,推进政府、高校、科研院所和企业之间的信息共享,对接企业技术需求与公共研发组织科研成果,鼓励公共研发组织之间、公共研发组织与企业之间开展协同创新,通过创新主体间的信息交流与互动,促进创新资源流动和技术溢出,释放协同效应,带动公共研发组织提升知识产出效率。
(3)优化科研经费配置,加大公共研发组织科研设备投入,引导公共研发组织间的良性竞争。同时,注重科研经费合理配置,加大企业关键技术需求,尤其是面向国家重大战略需求的关键技术投入,集中攻克“卡脖子”技术难题。
(4)重视科技人才培养,激发科研人员创新潜力。创新生态系统可持续发展取决于科研人员合理配置,公共研发组织种群竞争力更多表现为科研经费投入和科研人才竞争力,在资源充分流动的前提下,高水平人才会流向最有利于创新活动开展的种群。因此,应加强科技人才培养,为其提供对外合作交流机会,创造有利于创新活动开展的有利条件,促进创新成果在生态系统中更好地自组织迭代升级。
[1] 金莉,周婷婷,李佳馨,等.生态位适宜度能否影响公共研发组织的创新效率——基于区域比较的实证分析[J].中国软科学,2021,36(7):143-151.
[2] FREEMAN C.Technology policy and economic policy:lessons from japan [M]. London: Frances Pinter,1987.
[3] MOORE J F.Predators and prey: a new ecology of competition[J].Harvard Business Review,1993,71(3):75-86.
[4] IANSITI M,LEVIEN R.Strategy as ecology[J].Harvard Business Review,2004,82(3):68-81.
[5] LEIBOLD.The niche concept revisited: mechanistic models and community context[J]. Ecology,1995,76(5):1371-1382.
[6] GUIDO BUENSTORF. Self-organization and sustainability: energetics of evolution and implications for ecological economics[J]. Ecological Economics,2000,33(1):119-134.
[7] HENRY ETZKOWITZ. Polyvalent knowledge and the entrepreneurial university: a third academic revolution[J]. Critical Sociology,2010,36(4):595-609.
[8] 李自珍,赵松岭,张鹏云.生态位适宜度理论及其在作物生长系统中的应用[J].兰州大学学报,1993,38(4):219-224.
[9] 覃荔荔, 王道平, 周超. 综合生态位适宜度在区域创新系统可持续性评价中的应用[J]. 系统工程理论与实践, 2011, 31(5):927-935.
[10] 张贵, 吕长青. 基于生态位适宜度的区域创新生态系统与创新效率研究[J].工业技术经济, 2017, 36(10): 12-21.
[11] 雷雨嫣, 陈关聚, 刘启雷. 高技术产业创新生态系统的创新生态位适宜度及演化[J]. 系统工程, 2018, 36(2): 103-111.
[12] 刁媛,康琪.公共研究的治理变革[J].管理评论,2007(5):51-56,64.
[13] MARKUS PERKMANN,KATHRYN WALSH.University-industry relationships and open innovation: towards a research agenda[J].International Journal of Management Reviews,2007,9(4): 259-280.
[14] CHERTOW M R.Indusrtial symbiosis:literature and taxonomy[J].Annual Review of Energy and the Environment,2000,25(1):313-337.
[15] SHAW, DUNCAN R, ALLEN TIM.Studying innovation ecosystems using ecology theory[J]. Technological Forecasting and Social Change,2018,136(5) :88-102.
[16] JOSEP M, BERBEGAL-MIRABENT, JASMINA, et al. The role of universities in shaping the evolution of silicon valley′s ecosystem of innovation[J].Triple Helix Journal, 2020:1-45.
[17] SIEGEL D S, WRIGHT M. Academic entrepreneurship: time for a rethink[J].British Journal of Management, 2015,26(4):582-595.
[18] FILIERI R,MCNALLY R C, O′DWYER M, et al.Structural social capital evolution and knowledge transfer: evidence from an Irish pharmaceutical network[J].Industrial Marketing Management, 2014,43(3): 429-440.
[19] LUSCH R F, VARGO S L, TANNIRU M.Service Value networks and learning[J].Journal of the Academy of Marketing Science,2010,38(1):19-31.
[20] NISSEN H A, EVALD M R, CLARKE A H. Knowledge sharing in heterogeneous teams through collaboration and cooperation: exemplified through public-privateinnovation partnerships[J]. Industrial Marketing Management,2014,43(3):473-482.
[21] MOWERY D, R NELSON, B SAMPAT, et al. Ivory tower and industrial innovation[M]. Stanford:Stanford Business Books,2004.
[22] ETZKOWITZ H, L LEYDESDORFF.The dynamics of innovation: from national systems and "mode 2" to a triple helix of university-industry-government relations[J]. Research Policy,2000, 29(2): 109-123.
[23] SOHVI HEATON, DONALD S SIEGEL, DAVID J TEECE. Universities and innovation ecosystems: a dynamic capabilities perspective[J].Industrial and Corporate Change,2019:1-19.
[24] AGRAWAL A,I COCKBURN.The anchor tenant hypothesis: exploring the role of large, local, R&D-intensive firms in regional innovation systems[J].International Journal of Industrial Organization, 2003,21(9):1227-1253.
[25] MIAN S. Assessing value-added contributions of university technology business incubators to tenant firms[J]. Research Policy,1996,25(3):325-335.
[26] ROTHAERMEL F T,M THURSBY.University-incubator firm knowledge flows: assessing their impact on incubator firm performance[J].Research Policy,2005,34(3):305-320.
[27] CLARYSSE B, M WRIGHT, A LOCKETT, et al. Academic spinoffs, formal technology transfer and capital raising[J].Industrial and Corporate Change, 2007,16(4):609-640.
[28] CHARLOTTE REYPENS, ANNOUK LIEVENS, VERA BLAZEVIC.Leveraging value in multi-stakeholder innovation networks: a process framework for value co-creation and capture[J].Industrial Marketing Management, 2016(56): 40-50.
[29] UTTERBACK J M, SUáREZ F F. Innovation, competition, and industry structure[J]. Research Policy,1993,22(1):1-21.
[30] JUAN ANTONIO CANDIANI,VICTOR GILSING,MARIANO MASTROGIORGIO.Technological entry in new niches: diversity,crowding and generalism[J].Technovation,2022,116:1-17.
[31] BRANDENBURGER AM, NALEBUFF BJ. Co-opetition:a revolution mindset that combines competition and cooperation: the game theory strategy that′s changing the game of business[M]. Currency: New York,1997.
[32] AFUAH A.How much do your co-opetitors' capabilities matter in the face of technological change[J].Strategic Management Journal,2000,21(3):397-404.
[33] CEES VAN BEERS,FARDAD ZAND.R&D cooperation,partner diversity,and innovation performance: an empirical analysis[J]. Journal of Product Innovation Management,2013, 31(2):292-312.
[34] 刘和东,陈洁.创新系统生态位适宜度与经济高质量发展关系研究[J].科技进步与对策,2021,38(11):1-9.
[35] GRINNELL J. Field tests of theories concerning distributional control[J].The American Naturalist,1917,51(602):115-128.
[36] 武翠,谭清美.基于生态位适宜度的区域创新生态系统与产业协同集聚研究[J].科技管理研究,2021,41(3):1-9.
[37] 解学梅,刘晓杰.区域创新生态系统生态位适宜度评价与预测—基于2009-2018中国30 个省市数据实证研究[J]科学学研究,2021,39(9):1706-1719.
[38] 陈关聚,张慧.创新网络交互度对区域创新的影响及地区差异研究[J].工业技术经济,2018,37(12):52-60.
[39] 温忠麟,叶宝娟.中介效应分析:方法和模型发展[J].心理科学进展,2014,22(5):731-745.