基于技术专利视角的创新链与产业链融合发展研究

陈英武1,郑江淮2,王嘉杰3,冉 征4,张 睿2

(1.江苏省经济和信息化研究院,江苏 南京 210003;2.南京大学 经济学院;3.南京大学 信息管理学院,江苏 南京 210008;4.东南大学 经济管理学院,江苏 南京 211189)

摘 要:创新链与产业链融合发展能优化双链协同性和开放性,增强比较优势和创新链韧性,使得创新更容易发生,产业链分工更加紧密。双链融合内在驱动力主要得益于创新基础能力的强化、产业内创新与产业间创新的广泛开展。从创新基础能力、产业内创新网络、产业间创新网络3个维度设计评价指标体系,利用产业数据和技术专利数据对中国及部分OECD国家的产业链与创新链融合情况进行对比分析。研究发现:总体而言,我国创新链产业链融合指数水平近30年来实现大幅提升,目前与日本相当,高于韩国及OECD平均水平,但落后于美国和德国,在一些关键核心技术领域与全球领先水平相比仍有差距,双链融合发展存在不容忽视的风险。为此,需聚焦关键核心技术创新重点领域,不断完善高端要素体系,夯实双链融合基础能力,促进产业间融合创新和地区间互补创新。

关键词:技术专利;创新链;产业链;融合发展

The Integration and Development of Innovation Chain and Industrial Chain from the Perspective of Technology Patent

Chen Yingwu1, Zheng Jianghuai2, Wang Jiajie3, Ran Zheng4, Zhang Rui2

(1.Jiangsu Institute of Economic and Information Technology , Nanjing 210003, China;2.School of Economics, Nanjing University;3.School of Information Management, Nanjing University,Nanjing 210008, China;4.School of Economic and Management,Southeast University,Nanjing 211189, China)

AbstractThe integrated development of the industrial chain and the innovation chain is of great significance for China to achieve high-level scientific and technological self-reliance. For a long time, research on the integrated development of the innovation chain and industrial chain has generally stayed at the macro level, the industry level, or a specific link of the industrial chain innovation chain, and thus the specific level of their integration, especially the integration within and between industries is obscure.

On the basis of the patent data in PATSTAT database and China's classification of strategic emerging industries, this study builds a more scientific and reasonable double-strand fusion index system from three perspectives: innovation basic ability, intra-industry innovation network and inter-industry innovation network, and explores how innovation chain and industrial chain are integrated and the specific level of integration development from the micro level to find out the deep-seated mechanism and law of double-strand fusion development more clearly. In this paper, the reference table of strategic emerging industry classification and international patent classification (2021) (Trial) issued by the China National Intellectual Property Administration is used to construct the industrial patent matching data, and the industrial classification code is related to the patent through the patent IPC mapping relationship in PATSTAT, and it is used as the basic data for subsequent research.

A detailed comparison between China and some OECD countries' industrial chains and innovation chains' integration is made by first analyzing the innovation basic capability index, intra-industry innovation network index and inter-industry innovation network index, and then the development index of double-chain integration of various economies. It is found that, in terms of innovation basic capability index, China has caught up with the OECD average level and is slightly higher than the United States, Japan and South Korea, but significantly lower than Germany; in terms of intra-industry innovation network index, China has achieved a great leap, but it is still lower than the United States and Germany; in terms of inter-industry innovation network index, China has risen rapidly, surpassing the average level of OECD, and now it is only behind the United States (but with a big gap) and slightly higher than Japan; in terms of integration index, it is very close to Germany at present, slightly higher than the average level of Japan, South Korea and OECD, but the gap with the United States is obvious. On the whole, the level of China's double-stranded integrated index has been greatly improved in the past 30 years. At present, it is comparable to Japan, higher than the average level of South Korea and the OECD, but still lags behind the United States and Germany. There are still some gaps compared with the global leading levels in some fields, and deficiencies in the construction of intra-industry technology networks and inter-industry technology interaction. The development of double-stranded integration faces risks including intermediate sources, middle income traps, export channels, internal circulation systems and value chain dominance.

In order to accelerate inter-industry and intra-industry integration and innovation and jointly promote the integration and development of the industrial chain in the innovation chain, it is first of all essential to focus on key technologies in core fields, enhance the control of the commanding heights of the double chain,strengthen the research of cutting-edge technology, promote future industrial development, and build an efficient industry-university-research cooperation platform to give full play to the functions of resource integration and achievement transformation. Second, efforts should be made to promote inter-industry integration and innovation, guide the industrial chain to drive the development of the innovation chain, strengthen cross-industry technology integration and innovation, further promote the development of "manufacturing+service" integration, and the organic integration of new elements and traditional elements. Third, it is necessary to promote complementary innovation among regions and the supporting role of the innovation chain in the industrial chain, handle the relationship between regional layout and regional coordination, inter-industry and intra-industry, formulate innovation policies focusing on technology clusters for different regions, and form a multi-dimensional, three-dimensional and complementary technological innovation pattern between regions, industries and intra-industries.

Key WordsTechnology Patent; Innovation Chain; Industrial Chain; Integrated Development

收稿日期:2023-09-01

修回日期:2023-12-01

基金项目:国家社会科学基金重大项目(22&ZD093)

作者简介:陈英武(1972—),男,江苏扬州人,博士,江苏省经济和信息化研究院副院长,研究方向为产业经济与区域经济;郑江淮(1968—),男,江苏淮安人,南京大学经济学院院长、教授、博士生导师,研究方向为产业经济和区域经济;王嘉杰(2000—),男,浙江宁波人,南京大学信息管理学院博士研究生,研究方向为科技创新和信息管理;冉征(1994—),男,江苏淮安人,博士,东南大学经济管理学院博士后,研究方向为产业经济与区域经济;张睿(1984—),男,江苏南京人,南京大学经济学院博士研究生,研究方向为产业经济与区域经济。

DOI:10.6049/kjjbydc.2023090016

开放科学(资源服务)标识码(OSID):

中图分类号:F260

文献标识码:A

文章编号:1001-7348(2024)06-0075-11

0 引言

创新链产业链融合发展对于我国实现高水平科技自立自强具有重要意义。中共二十大报告指出,推动创新链产业链资金链人才链深度融合,着力提高全要素生产率,着力提升产业链供应链韧性和安全水平,推动经济实现质的有效提升和量的合理增长[1]。国家“十四五”规划纲要提出,打好关键核心技术攻坚战的首要内容是“提高创新链整体效能,补齐产业链短板,坚持自主可控、安全高效,形成具有更强创新力、更高附加值、更安全可靠的产业链供应链”[2]。然而,如何实现创新链产业链融合发展,理论界和实践界众说纷纭。从研究视角看,关于创新链产业链融合发展的研究基本都停留在宏观行业层面,或者产业链创新链某个具体环节,虽然厘清了它们之间融合发展的基本脉络,但未深入探讨两者融合水平,尤其是产业内部与产业之间的融合状况。本文基于技术专利视角,利用产业和专利匹配数据设计评价指标体系,从微观层面研究创新链和产业链融合发展水平,揭示创新链产业链融合发展规律,旨在为更好地推动双链融合发展提供参考依据。

1 文献综述

(1)创新链产业链融合发展关系。多数学者认为两者紧密相联、相互促进。中国社会科学院工业经济研究所课题组[3]指出产业链与创新链相互依存、彼此融合,认为双链融合充分体现了创新主体与生产主体融合、科技创新与产业发展融合、原始创新与产业化应用融合;张晓兰等[4]从微观视角对双链关系进行解释,指出创新链依托产业主体开展创新活动并提升产业链价值,而产业链借助资源集聚和驱动优势支撑创新链有序运转和优化升级。还有学者从宏观视角对双链关系进行阐释。洪银兴[5]指出,创新链是产业链、供应链、价值链的核心,要把“围绕产业链部署创新链”作为推动产业迈上全球价值链中高端的突破口;高洪玮[6]从我国创新体系宏观布局和主要举措出发,构建了我国产业链和创新链融合发展的五维理论框架。在肯定双链紧密联系的同时,也有学者指出双链融合发展需明确区分两类创新。刘志彪[7]认为,产业链与创新链融合的前提是区分科学创新与技术创新,两者界限不能混淆。前者需要科学家,而后者需要企业家,这对相关政策制定有一定启示意义。

(2)创新链产业链融合发展水平。很多学者从区域和产业层面对两者融合进行实证分析。在区域层面,Hamida[8]、Witt[9]和Bai等[10]指出,虽然中国积极融入全球生产网络和创新网络,但逆全球化和新冠疫情使中国面临技术脱钩风险;Feng等[11]指出,中国国内城市创新网络和跨省生产网络已逐渐形成并发挥越来越重要的作用;Chen等[12]认为,中国内陆省份已成为生产网络的主要集中地,而一线城市则开始专注于研发与营销活动;李雪松等[13]研究发现,当前我国产业链、创新链协同度波动上升存在由东向中部延伸的趋势;江曼琦等[14]指出京津冀存在区域创新链与产业链脱节等问题;王硕等[15]指出东北区域产业链和创新链为内循环主体建设的前后联动节点;刘婧玥等[16]以深圳市战略性新兴产业为例探究地方政府实现双链融合发展的3类路径和4种机制。在产业层面,Pavitt[17]基于企业技术轨迹和部门间技术联系方式,总结了企业技术变革行业分类方法;Castellacci[18]研究发现,Pavitt提出的创新部门模式具有跨国变异性,且部门间的垂直联系和知识交流十分重要;Bogliacino等[19]指出,行业之间存在广泛、潜在互补性,应根据产业特征制定差异化创新激励政策;梁树广等[20]认为2010—2021年我国制造业双链耦合协调度呈波动上升态势,经济发展、交通设施促进双链协调发展,而产业结构升级和环境规制则恰恰相反;孙琴等(2022)分析我国集成电路产业双链融合的难点,提出加强国家战略部署引导性等路径;柳毅[21]构建数字经济促进我国传统制造业双链融合评价指标体系,运用耦合协调度模型分析数字经济促进传统制造业双链融合的作用机制。

(3)创新链产业链融合发展路径。刘志彪[7]认为,需要厘清政府职能与企业职能的边界,大力培育科技成果交易市场组织;梁树广等[20]从打造产学研合作平台、搭建要素共享平台和构建综合交通枢纽集群等方面提出提高我国制造业产业链与创新链耦合协调度的相关建议;芮明杰[22]指出,吸引比较完善的国际产业链、供应链和创新链是打通国内国际两个市场、两个产业体系、两个供应网络和两个创新链条的重要途径;张其仔等[23]认为,中国经济实现高质量发展的关键突破口在于通过实现创新链与产业链双螺旋跨越,高质量嵌入全球创新密集型产业。综合来看,促进双链融合发展,需要国内国外、政产学研用等多渠道多主体协同发力。

总体而言,目前关于创新链产业链融合发展的研究以概念界定为主,对于创新链、产业链和双链融合缺乏系统性描述,未从技术网络和生产网络视角对双链融合发展进行整体测度。本文基于PATSTAT数据库、战略性新兴产业分类构建行业间与行业内部创新网络以及双链融合评价指标体系,通过与发达国家进行对比,揭示我国双链融合发展存在的风险,并据此提出相关对策建议。

2 创新链产业链融合发展研究新思路

2.1 创新链、产业链与双链融合发展

(1)创新链是指以满足市场需求为导向,核心创新主体通过知识创新将相关主体连接起来,进而实现新知识经济转化的链节形态。创新链由知识系统、技术系统(产品、工艺)、运管系统、资本、流通、信息、交易系统等构成,包括大学和科研院所、企业技术中心体系以及各类创新创业服务平台。

(2)产业链本质上是指产业之间的关联关系,即由内在技术经济联系产生的上下游行业之间的供需关系在时空上形成链条式关联形态。从分工角度看,产品生产分工是产业链形成的基础,产业链是不同企业和行业分工协作的制度安排。从价值链和生产流程角度看,产业链描述的是最终产品或服务所经历的价值增值过程,包括从原材料生产到技术研发、中间产品制造再到最终产品装配的全过程。

(3)创新链与产业链具有紧密联系。一方面,产业链能拉动创新链。消化吸收外国技术—产业起步—增强创新能力—掌握技术的过程实质上就是“产业链拉动创新链”模式。依托供应链网络,协同创新、知识共享、协同创新能力与企业创新绩效存在显著正相关关系。另一方面,创新链能提升产业链。关键技术创新不仅能够增强企业之间的合作强度,还能促进价值共创,促进整体产业持续演化。

(4)双链融合是指创新链和产业链相互支持,彼此影响,产生合力和动力,共同发展壮大。产业链与创新链融合发展意味着创新链嵌入产业链、产业链支撑创新链,从而优化产业链条的完备性、协同性、开放性,形成本地市场效应(邻近效应、规模效应和匹配效应等),进而带来网络整体外部经济效益显著提升,促进经济整体比较优势和韧性增强,使得创新更容易发生,产业链分工更加紧密。

2.2 专利视角下双链融合发展研究方法思路

本文以专利数据为基础设计产业链和创新链相关指标,反映产业链与创新链融合发展现状,主要步骤如下:

(1)基于2018年国家统计局发布的《战略性新兴产业分类(2018)》、2021年国家知识产权局印发的《战略性新兴产业分类与国际专利分类参照关系表(2021)(试行)》以及欧洲专利局全球专利数据库PATSTAT提供的专利信息,将战略性新兴产业第一、二层分类代码与全球专利数据进行最细粒度关联匹配,使各产业均能检索到对应专利信息,作为本研究基础数据。

(2)将专利IPC代码作为产业知识网络中代表技术创新知识元的节点,用专利引用网络映射IPC代码之间的引用网络,代表知识流动与继承,为每个产业构建一个创新知识流动网络。在此基础上,用专利IPC组合共现关系构建IPC代码共现网络,代表知识共享与协同,为每个产业构建一个创新知识共现网络。根据网络融合技术规则,将创新知识流动网络和创新知识共现网络深度融合,结合两个网络各自携带的关于创新结构的信息,最终获得各产业的技术创新知识结构,这既是双链融合发展的知识基础,也是双链融合发展的原动力,能客观反映双链融合发展水平。

(3)本研究将各产业技术创新知识结构中的知识元素定义为创新组合,即不同IPC之间的关联组合,并根据不同产业关联组合相似程度计算产业之间的创新关联度,构建创新关联度矩阵。

(4)基于创新关联度矩阵,利用指标公式计算创新链产业链融合水平,具体方法及思路如图1所示。

图1 研究框架
Fig.1 Research framework

3 创新链产业链融合发展指数指标体系构建

3.1 指标体系分解

产业发展是一个复杂的网络系统,存在着纵横交错的技术连接路径以及互补或替代关系。不同产业之间存在复杂的创新交叉路径或能产生协同效应。产业内部细分领域之间也存在或疏或密的技术联系与协同关系。创新链产业链融合发展离开不创新基础能力的支撑,后者直接影响双链融合发展效率。产业内创新、产业间创新以及创新基础能力构成一个较为完整的创新链产业链融合发展系统,因此本文从创新基础能力、产业内创新网络、产业间创新网络3个维度对双链融合发展水平进行测度(见表1)。

表1 创新链产业链融合发展评价指标体系
Table 1 Index system of integrated development of industrial chain and innovation chain

一级指标名称二级指标名称指标说明权重(%)创新基础能力指数创新规模各国家/地区在不同时间窗口内各产业的相关专利总数———技术频谱宽度IPC_NUM各国家/地区在不同时间窗口内各产业的4位IPC总数0.047 8技术复杂度ECI基于非线性EFC方法计算国家/地区层面的技术复杂度指数0.102 2产业内创新网络指数技术集聚水平TOP5_NODES_WEIGHT:在各国家/地区各时间窗口期各产业技术创新知识结构网络内,对节点总度数(节点出度与入度之和)排名前5的节点的相关边的权重求和,计算求和后权重占整个网络边权重之和的比重。若网络内节点总数小于5个,将该值赋值为10.036 4技术互动水平VARIETY_CALCULATE:在各国家/地区各时间窗口期内各产业技术创新知识结构网络内,跨越不同知识组(4位IPC,如H01L- G01M)的边的权重之和占整个网络边的权重之和的比重0.049 1NODE_WEIGHT_AVG:各国家/地区各时间窗口期内各产业技术创新知识结构网络内节点的平均度数0.028 6技术多样水平NODES_NUM:各国家/地区各时间窗口期内各产业技术创新知识结构网络的节点数量0.098 0THIRD_IPC_NUM:各国家/地区各时间窗口期内各产业技术创新知识结构网络的4位IPC数量0.095 5产业间创新网络指数技术协同水平SIMI_SUM:各国家/地区各时间窗口期内产业创新关联度矩阵中,不同产业之间的创新关联度之和0.131 9创新互动水平INTERACT:以产业专利数量为权重,对各国家/地区各时间窗口期内的产业创新关联度矩阵进行加权求和0.143 4技术成熟水平MAX_INTERMEDIARY:各国家/地区各时间窗口期内的产业创新关联度矩阵中,各节点中介中心度的最大值0.131 9AVG_INTERMEDIARY:各国家/地区各时间窗口期内产业创新关联度矩阵中,对中介中心性排名前5的节点取均值0.135 2

(1)创新基础能力。对经济体新兴产业创新活动整体情况进行评价,指标包括创新规模、技术频谱宽度和技术复杂度。创新规模通过专利总数等指标反映经济体的创新实力,技术频谱宽度和技术复杂度分别反映经济体的技术覆盖面以及技术水平高低。创新基础能力指数越高,说明经济体创新活动规模越大,创新国际影响力越强。

(2)产业内创新网络。对每个细分产业技术集聚水平、产业内技术互动水平和技术多样性进行测算,重点分析产业内部跨技术领域的技术结构和创新关联性。上述3个指标分别考察经济体某个产业内部的技术密集程度、不同技术协同效果以及技术可拓展性。产业内创新网络指数高,说明该产业领域已形成较为成熟的技术创新模式,创新主体间的合作研发和知识溢出有利于深化技术创新网络。

(3)产业间创新网络。基于每个产业创新网络对产业之间的技术互动强度进行测算,分析全产业链视角下地区内部创新关系,指标包括技术协同水平、创新互动水平和技术成熟水平,分别考察不同产业之间的技术是否形成协同效应、关联效应以及技术应用效果如何。产业间创新网络指数越高,说明经济体内部两两产业之间的创新联系越紧密,围绕产业链布局的创新链越稳固,关键核心技术产业化的研发基础越坚实,抵御外部技术风险的能力越强。

在计算得到全部指标数值后,使用熵权法为每个指标赋值一个权重,反映每个指标在产业链融合发展中的重要性。一般来说,指标熵值越小,说明指标所含的信息量越多,该指标权重也就越大。与主观评价方法相比,熵权法指标权重的客观性更强,每个指标的权重结果如表1第四列所示。从中可见,在不考虑专利数量情况下,产业间创新网络指数相关指标权重较高,产业内创新网络指数相关指标权重较低。在创新基础能力方面,技术复杂度权重最高,技术频谱宽度权重适中。

3.2 数据说明

3.2.1 产业数据

本文使用国家统计局发布的《战略性新兴产业分类(2018)》对创新链产业链融合水平进行研究。战略性新兴产业主体编码分为一、二、三层,其中一层共有9个类别,包括新一代信息技术产业、高端装备制造产业、新材料产业、生物产业、新能源汽车产业、新能源产业、节能环保产业、数字创意产业、相关服务业;二层共有40个类别。根据本文关注重点,将产业划分范围限定在第二层分别进行统计与研究。

3.2.2 专利数据

本研究使用欧洲专利局发布的PATSTAT全球专利数据库作为专利数据源,该数据库包含与专利信息相关的28张相互关联的表,内容涉及专利信息、专利申请人信息、相关技术领域、行业信息、专利引用信息等。其中,IPC分类号映射关系和专利引用关系可为本文计算以IPC为节点的创新知识网络提供足量的数据支撑。

3.2.3 产业专利匹配数据

本文使用2021年国家知识产权局印发的《战略性新兴产业分类与国际专利分类参照关系表(2021)(试行)》构建产业专利匹配数据,该表针对九大战略性新兴产业领域以及脑科学等关键核心技术领域建立与国际专利分类IPC的参照关系。经合并去重,共建立1 800多条关系,涉及国际专利分类表大部分领域。

为统一展示二级产业情况,本文剔除原始参照关系表中二级产业关键词组分类,用二级产业整体情况反映产业与专利的匹配情况。并且,通过正则表达式的文本匹配技术,将原始参照表中非结构化的“国际专利分类”文本转化为可供数据库读取的关系型结果,其中加星号的国际专利分类是指映射关系覆盖到该分类的每一小类。本文为每个二级产业匹配最细粒度5级IPC分类代码(一对多关系),最终映射数据结构如表2所示。基于该参照关系表,本文通过PATSTAT中的专利IPC映射关系,将产业分类代码与专利进行关联,以此作为基础数据展开后续研究。

表2 产业IPC映射关系
Table 2 Industrial IPC mapping

一级产业代码一级产业名称二级产业代码二级产业名称IPC1新一代信息技术产业 1.1下一代信息网络产业G01S1/181.1下一代信息网络产业G01S1/201.1下一代信息网络产业G01S1/221.1下一代信息网络产业G01S1/24……………

注:其它新兴产业类似新一代信息技术产业,因而省略

4 创新链产业链融合发展动态趋势:中国与OECD国家对比分析

4.1 创新基础能力指数结果分析

图2展示了各经济体创新基础能力指数变动趋势。数据显示,自20世纪80年代以来,德国创新基础能力指数总体保持平稳态势且目前最高(明显高于OECD平均水平),其它经济体逐步趋同于OECD平均水平,总体呈现“一强多同”的格局。其中,美国创新基础能力总体呈现下降趋势。日本在20世纪90年代中期以前总体呈上升趋势,但之后逐步下降。中国、韩国总体呈上升态势,中国在21世纪初呈现先上升又下降的阶段性走势,2014年之后进入低速平稳增长通道,这主要得益于在专利申请数、技术频谱宽度方面积累的优势;韩国出现下降又上升的阶段性走势。总体而言,OECD国家创新基础能力指数平稳增长,我国已赶上OECD平均水平并略高于美日韩但明显低于德国。

图2 创新基础能力指数趋势对比
Fig.2 Trend comparison of index of basic innovation capabilities

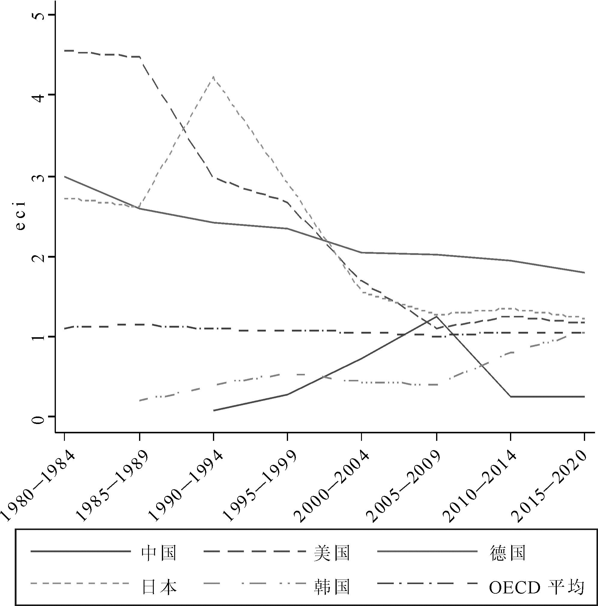
进一步,对二级指标技术复杂度指数进行对比发现(见图3),美德日韩与上述创新基础能力指数变化趋势基本保持一致。中国技术复杂度与发达国家相比存在一定差距,虽然自20世纪90年代以来不断提升,但近十年来又有所下降,目前落后于美国、日本、德国、韩国等主要发达国家以及OECD平均水平。可能是因为,虽然中国技术水平不断提升,尤其是专利总量快速增加,但主要集中于低技术水平领域,高复杂度技术占比较小,使得总体技术复杂度不升反降。这说明,我国在关键核心技术领域与发达国家相比仍存在一定差距。在发达国家制造业回流、“小院高墙”、断链脱钩等大背景下,技术复杂度不足意味着我国产业链整体安全存在隐患。

图3 技术复杂度指数趋势对比
Fig.3 Trend comparison of technical complexity index

4.2 产业内创新网络指数结果分析

图4展示了各经济体产业内创新网络指数变动趋势,可见几大经济体产业内创新网络指数存在趋同上升趋势。在OECD国家,目前德国该项指标位于领先地位,美国由领先降为第二,日本、韩国接近OECD平均水平。我国产业内创新网络指数追赶周期较长,1990—2009年一直低于OECD平均水平,直至2010前后才实现追赶(之后一直略高于平均水平)。截至目前,我国产业内创新网络指数依然低于美国、德国。

图4 产业内创新网络指数趋势对比
Fig.4 Trend comparison of intra-industry innovation network index

产业内创新网络指数反映某一国家在单一产业的创新网络密集度,体现产业创新过程中不同技术间的融合以及创新主体之间的联系,其变动趋势反映国家单一产业技术多样化程度。上述结果说明,不同国家在产业发展过程中遵循相似路径,即在产业规模增长的同时,不断拓展该产业技术频谱,将不同技术融合在同一产业内。例如,人工智能产业以数字处理和图形处理技术为基础,逐渐纳入语音处理技术、光学元件技术,并拓展到数字传输和电子通信领域。

二级指标结果显示,我国技术集聚水平、技术互动水平和技术多样性水平与发达国家的差距较小,说明我国产业内部创新网络联系紧密程度正在逐步加深。其中,我国技术集聚水平在2004年前后实现赶超,之后一直小幅领先于主要发达国家及OECD国家平均水平(见图5)。我国技术互动水平虽然稍有不足,但也实现了较大幅度提升,无论是从跨节点网络占比还是节点平均度数看,目前虽然比美、德稍低,但与OECD平均水平相比不相上下(见图6)。技术多样性水平对比情况基本与技术互动水平对比情况类似,在2009年前后赶上OECD平均水平,但无论是从结构网络节点数量还是结构网络包含的IPC小类数量看,我国与德国、美国相比还有一定差距(见图7)。

图5 技术集聚水平对比
Fig.5 Comparison of technology agglomeration level

图6 技术互动水平对比
Fig.6 Comparison of technical interaction level

图7 技术多样性水平对比
Fig.7 Comparison of technical diversity level

4.3 产业间创新网络指数结果分析

图8展示了各经济体产业间创新网络指数变动趋势。从中可见,各经济体产业间创新网络指数存在明显分化。我国产业间创新网络指数上升较快,在21世纪初超越OECD平均水平,目前只落后于美国(但差距较大),略高于日本。韩国和日本一直在较高水平上波动,目前基本处于OECD平均水平。值得注意的是,德国产业间创新网络指数总体处于较低水平,目前落后于美日韩及OECD国家平均水平,这与其在其它指标上的领先地位形成强烈反差,原因可能在于德国目前几个主导产业横向之间缺乏紧密关联。

图8 产业间创新网络指数趋势对比
Fig.8 Trend comparison of inter-industry innovation network index

对比二级指标发现,在技术协同水平方面(见图9),各经济体分化也比较明显。我国在21世纪初赶上OECD平均水平,目前仅次于美日。美国、日本的世界领先地位在21世纪初实现逆转,目前美国显著领先于日本。德国、韩国指数总体不断上升,目前高于OECD平均水平但落后于中国。

图9 技术协同水平对比
Fig.9 Comparison of technical coordination level

在创新互动水平方面(见图10),我国与韩国起伏较大,其它经济体总体呈现较为平稳的态势。我国自20世纪90年代中期以来开始提升,近20年经过两次提升和两次下降后,目前这一水平仅次于美国而高于其它经济体和OECD平均水平。韩国自20世纪90年代中期以来一直处于下行通道,目前低于OECD平均水平但高于德国。美国基本保持稳定增长态势,目前处于全球领先地位。

图10 创新互动水平对比
Fig.10 Comparison of innovation interaction level

在技术成熟水平方面(见图11),几大经济体起伏不定,尤其是日本一直处于下降通道。从节点中介中心度最大值看,我国提升速度较快(一度全球领先),目前仅次于OECD平均水平,显著高于其它经济体。从TOP5中介中心性均值比较看,目前我国低于美国以及OECD平均水平。

图11 技术成熟水平对比
Fig.11 Comparison of technical maturity level

上述数据显示,中国与美国等发达国家的差距主要源于制造业产业之间创新关联程度较弱,且我国缺乏跨产业创新平台,各产业创新活动呈现“各自为政”的局面;基础科学创新难以传达到企业层面,新技术范式很难同时在不同产业运用。这一现象导致不同产业生产活动难以形成合力,产业链存在断点,进而导致内循环不够通畅。

4.4 创新链产业链融合指数结果分析

图12展示了各经济体双链融合指数(包含创新规模)变动趋势。从中可见,我国创新链产业链融合指数处于领先水平,但这种领先地位主要受专利数量的驱动,因而稳定性较弱。以战略性新兴产业为代表,我国在产业链层面的创新起步较晚,但增长趋势明显。1990年以前,我国创新链产业链融合指数呈缺失状态。直至1990年,才逐渐有中国申请人的专利涉及战略性新兴产业。随着中国加入WTO,我国专利总量呈加速上升趋势,双链融合指数也从2000年开始进入快速上升通道,这一趋势一直维持到最近(本文数据截至2019年),于2005—2009年完成对日本和韩国的赶超,并于2010—2014年超越美国,成为全球双链融合指数最高的国家。除中国外,没有出现其它双链融合指数跨越式上升的国家,尤其是近年来各发达国家保持较为稳定的差距,美国、德国和日本依然占据世界领先地位。韩国在1985—2004年呈现快速上升趋势,但在全球金融危机后转入平稳增长,与我国持续提升存在明显差别。

图12 创新链产业链融合指数趋势对比:包含创新规模
Fig.12 Trend comparison of industrial chain integration index in innovation chain: including the scale of innovation

为避免专利数量“爆发式”上升对产业链的过度影响,在剔除创新规模指标后,本文重新计算创新链产业链融合指数(见图13)。结果显示,我国双链融合指数在2010年以前的增长趋势未受到影响,2010年以后双链融合指数逐渐趋于平稳,目前与德国非常接近,略高于日本、韩国及OECD平均水平,但与美国差距较为明显。

图13 创新链产业链融合指数趋势对比(剔除创新规模)
Fig.13 Trend comparison of industrial chain integration indexes in innovation chain: deleting the scale of innovation

总体而言,近30年来我国创新链产业链融合发展水平实现大幅提升,但与美国相比还有较大差距。同时也应看到,一方面,在产业政策支持下,我国已经逐渐在高新技术领域实现产业升级和技术跃迁,并获得较高的技术复杂度水平;另一方面,我国产业内创新网络,尤其是产业间创新网络与发达国家相比还有一定差距,不同产业之间的融合创新还不够深入。

5 中国创新链产业链融合发展存在的若干风险

5.1 关键核心技术领域薄弱导致中间品来源风险

由上述分析可知,我国产业内创新网络指数目前依然低于美国、德国,产业间创新网络指数落后于美国且差距较大。我国多个产业技术结构关键节点缺失,产业内部各技术节点之间的关联性较弱,部分关键核心技术依赖于发达国家。在创新密集型行业,如半导体制造、高端装备以及生物医药、光学影像和医疗器械产业等领域,美国、韩国、日本和德国是我国主要的中间品进口来源国。当前,国际层面产业链脱钩正在形成,我国密集的技术网络和生产网络可能会进一步放大关键核心技术领域“卡脖子”风险。如果发达国家继续进行技术封锁,将会有更多企业的中间品无法生产或消化。如果这些关键核心技术无法实现自主可控,可能会导致更多产业链“断链”和产能失速,使产业发展面临较大风险。

5.2 低复杂度技术过度集中引发中等收入陷阱

尽管我国创新基础能力指数近年来不断提升,创新规模和技术多样性水平处于世界领先地位,但是创新基础能力指数明显低于德国,尤其是技术复杂度指数依然落后于美日德韩及OECD平均水平,说明我国技术优势仍集中在传统技术领域。这表明,在全球价值链中,我国通常作为配套技术提供者和代工生产者参与分工,借助成本优势出口产品,而高技术、高附加值环节依然由发达国家掌控。过度集中于低复杂度技术研发不利于向价值链中高端环节攀升,也难以留住高新技术人才。长此以往,我国技术创新将形成低附加值路径依赖,难以突破创新“舒适区”,最终陷入中等收入陷阱。

5.3 技术影响力缺乏导致出口渠道风险

我国公开专利主要被国内创新主体引用,其它国家引用较少。与美国、日本等发达国家相比,我国技术在国际上的影响力较弱。这表明,重点产业链依赖国外需求,缺乏价值链主导能力,很容易被其它出口国所取代。尤其是在技术密集型产业,如光学影像和医疗器械、机械设备及其零部件对发达国家的依赖较大。在中美博弈背景下,某些国家从我国获取产品的成本攀升、不确定性上升,很有可能会转向其它发展中国家获得中间产品,进而导致需求侧断链风险。

5.4 产业导向型技术薄弱导致的循环体系风险

产业创新网络演化一般遵循从单一核心向多核心、从基础科学向产业化技术转变的规律。我国重点产业技术结构呈现基础型技术单核心结构,缺乏与之互补的产业导向型技术。以人工智能产业为例,我国创新网络以基础性图像和文字识别为核心,而发达国家则包含下游产业相关技术,如传输、医疗和电子通信技术,形成较为完整的创新链。因此,我国需要畅通产业链上下游关系,将关键核心技术融入产业链,使技术网络向终端产品延伸。如果缺失产业导向型技术,将会造成技术成果难以产业化,被迫滞留在产品生命周期探索阶段,导致我国相关产业上下游企业长期使用国外中间品,进而导致内循环体系不畅。

5.5 产业间技术联系薄弱引发价值链主导权风险

各国新兴产业创新活动呈现以数字创意产业和相关服务业为中心、其它产业围绕主导产业获取知识溢出的格局。从上述分析可知,我国产业间创新网络指数与美国相比差距较大,尤其是技术协同水平和技术成熟水平差距明显,主要源于制造业产业之间以及制造业与服务业之间的创新关联度不高。这一现象导致产业链存在创新断点,不同产业创新活动难以形成合力。当前,全球新一轮科技革命和产业变革正在兴起,技术更新速度加快,颠覆性技术不断涌现,技术创新的特点在于跨学科性和跨产业性,因此产业间创新互动是技术范式创新的必要条件。我国产业间创新联系不足导致在新技术范式领域处于落后地位,进而丧失在全球价值链中高端主导者的机遇。

6 结论与建议

本文从创新基础能力、产业内创新网络、产业间创新网络3个维度入手,构建基于专利数据、具有可持续追踪性的创新链产业链融合评价指标体系,测度主要经济体的创新链产业链融合指数。研究发现,随着创新驱动发展战略的实施以及各级政府对产业链安全的重视,我国产业链创新能力逐渐提升,自主可控能力不断增强,创新链产业链融合指数不断提高。然而,目前我国产业技术创新网络不够完善,无论是产业内技术互动还是产业间技术关联与国际领先水平相比均存在一定差距,这使得我国双链融合发展、产业链供应链安全稳定和顺畅循环存在较多风险。为进一步提升我国创新链产业链融合水平,本文提出如下对策建议:

6.1 聚焦关键核心技术领域,提升双链制高点把控力

一是加强前沿技术研究,推动未来产业发展。加强“硬科技”、“黑科技”研发布局,围绕基础材料、核心零部件、工业软件等严重制约产业发展的短板和痛点布局产业创新,提升双链制高点把控力。二是保障关键核心技术企业攻关资金来源。一方面,由政府承担部分天使投资人的角色并在社会上筹集天使投资进行体制与政策创新,对战略地位高、创新难度大、缺乏上下游支持的企业提供初创资金。另一方面,引导产业链上下游企业接纳创新企业,促使产业链上中下游共同创新,推动关键核心技术攻关成果顺利转化。三是构建高效的产学研合作平台。加快建立各类产业创新中心,推动产学研向应用性基础研究方向深度融合,构建企业与高校等不同创新主体间的合作网络,通过基础研究到产业一体化协作,消除企业、高校与科研机构间的信息不对称。

6.2 促进产业间融合创新,引导产业链带动创新链发展

一是加强跨产业间技术融合与创新。持续深化体制机制改革,打破不同产业、不同领域、不同部门之间的藩篱,大力促进产业内、产业间的技术融合创新,不断推动新工艺、新产品、新产业持续升级,实现高质量融合发展,迈向产业链价值链中高端。二是深入推进“制造+服务”融合发展。围绕人工智能、量子通信、基因工程等前沿技术及新兴产业,深化制造业与工业互联网、研发设计、现代物流等生产性服务业融合,重点推动装备制造业与系统集成、工业软件、工艺设计、金融租赁、大数据等服务业融合发展。三是促进新型要素与传统要素有机融合。充分发挥数字技术在双链融合发展中的巨大作用,将数据要素贯穿于创新链产业链各环节,发挥对其它生产要素的“加速器”作用,形成数字经济新形态。加快5G信息基础设施建设,促进创新链产业链融合,降低交易成本,为产业之间的融合创新创造条件。

6.3 推进地区间互补创新,以创新链支撑产业链发展

随着产品技术越来越复杂,单一地区难以实现全产业链技术覆盖,多地区合作研发成为产业链创新的必然趋势。政策设计需要处理好顶层设计与地方主动、地区布局与区域协同、产业间和产业内等关系,形成区域间、产业间和产业内多维度、立体式、互补性的技术创新格局。一是制定区域创新规划。突破省域、城市边界,形成区域技术互补的创新共同体,推动有条件的毗邻区域共同布局创新基础资源,形成能够引领区域不同类型创新链实现突破、具备全球影响力的国家级产业创新基地。二是根据不同地区特点有针对性地制定以技术集群为重点的创新政策。欠发达地区应围绕现有优势技术吸引其它地区同类型企业在本地投资,集中创新资源提升现有产业技术质量;中等发展水平地区应逐渐转向技术集群建设,有选择性吸引新技术、新产业投资项目,形成地区技术集群;高经济发展水平地区应主动承担推进技术范式变革的责任,以高校为中心加强基础科学研究。三是推动企业之间、科研院所之间要素、标准、技术互通,实现创新生态系统有序发展。发挥重点科研机构、企业在产业发展方面的引领作用,鼓励龙头企业整合各方资源组建创新联合体,实现不同领域技术创新与产品开发的无缝连接,形成更加紧密的协同创新网络。

参考文献:

[1] 习近平.高举中国特色社会主义伟大旗帜 为全面建设社会主义现代化国家而团结奋斗[M].北京:人民出版社,2022.

[2] 中华人民共和国中央人民政府网站.中华人民共和国国民经济和社会发展第十四个五年规划和2035年远景目标纲要[EB/OL].[2021-03-13].https://www.gov.cn/xinwen/2021-03/13/content_5592681.htmpc.

[3] 中国社会科学院工业经济研究所.推动产业链与创新链深度融合[J].智慧中国,2021,7 (12):20-24.

[4] 张晓兰,黄伟熔.我国产业链创新链融合发展的趋势特征、经验借鉴与战略要点[J].经济纵横,2023,39(1):93-101.

[5] 洪银兴.围绕产业链部署创新链——论科技创新与产业创新的深度融合[J].经济理论与经济管理,2019,39(8):4-10.

[6] 高洪玮.推动产业链创新链融合发展:理论内涵、现实进展与对策建议[J].当代经济管理,2022,43(5):73-80.

[7] 刘志彪.四链融合:一个关于现代产业增长方程的系统分析[J].学术界,2023,38(3):64-71.

[8] BEN HAMIDA L. Outward R&D spillovers in the home country: the role of reverse knowledge transfer: opportunities and consequences[J].Advances in International Management, 2017(30):293-310.

[9] WITT M A. De-globalization: theories, predictions, and opportunities for international business research[J].Journal of International Business Studies, 2019, 50(7):1053-1077.

[10] BAI W, JOHANSON M, MARTIN O M. Knowledge and internationalization of returnee entrepreneurial firms[J]. International Business Review, 2017(26): 652-665.

[11] ZHIJUN FENG, HECHANG CAI, ZINAN CHEN, et al. Influence of an interurban innovation network on the innovation capacity of China: a multiplex network perspective[J]. Technological Forecasting and Social Change, 2022, (180):121651.

[12] QUANRUN CHEN, YUNING GAO, JIANSUO PEI, et al. China′s domestic production networks[J]. China Economic Review, 2022(72):101767.

[13] 李雪松,龚晓倩.地区产业链、创新链的协同发展与全要素生产率[J].经济问题探索,2021,42(11):30-44.

[14] 江曼琦,刘晨诗.基于提升产业链竞争力的京津冀创新链建设构想[J].河北学刊,2017,37(5):151-157.

[15] 王硕,朱春艳.内循环主体建设中的产业链与创新链研究——以东北地区为例[J].科学管理研究,2023,43(2):93-100.

[16] 刘婧玥,吴维旭.产业政策视角下创新链产业链融合发展路径和机制研究:以深圳市为例[J].科技管理研究,2022,44(15):106-114.

[17] PAVITT K. Patent statistics as indicators of innovative activities: possibilities and problems[J]. Scientometrics, 1985,7(1):77-99.

[18] CASTELLACCI F. The interactions between national systems and sectoral patterns of innovation[J]. Journal of Evolutionary Economics, 2009, 19(3):321-347.

[19] BOGLIACINO F, PIANTA M. The pavitt taxonomy, revisited: patterns of innovation in manufacturing and services[J]. Economia Politica, 2016, 33(2):153-180.

[20] 梁树广,张芃芃,臧文嘉.中国制造业产业链与创新链耦合协调及其影响因素研究[J].地域研究与开发,2023,42(3):1-6,26.

[21] 柳毅,赵轩,杨伟.数字经济对传统制造业产业链创新链融合的影响——基于中国省域经验的实证研究[J].浙江社会科学,2023,38(3):4-14,156.

[22] 芮明杰.增强对国际产业链供应链创新链的吸附力[J].人民论坛,2023,32(10):74-78.

[23] 张其仔,许明.中国参与全球价值链与创新链、产业链的协同升级[J].改革,2020,33(6):58-70.

(责任编辑:王敬敏)