Therefore,drawing on the relational contract theory, the organizational hierarchy theory and the dynamic capability theory, this paper analyzes the impact of the informal hierarchy of the board of directors on enterprise innovation efficiency and its mechanism under the Chinese social and cultural background and explores the role of opportunity response in the impact . Specifically is the informal hierarchy of the board of directors conducive to the improvement of enterprise innovation efficiency? If it is conducive to the improvement of enterprise innovation efficiency, does it improve the innovation efficiency of enterprises by conducting the decision-making behavior of the board of directors through opportunity response?
This paper selects the Chinese A-share listed companies from 2007 to 2020 as the initial sample, and finally obtains 17 114 sample observations. The study follows the research paradigm of "structure-response-efficiency" and adopts the test method of mediating effect. It verifies the hypothesis by defining variables and constructing a multiple linear regression model to conduct an empirical study on the impact of informal board of directors on enterprise innovation efficiency and its mechanism. Then the study analyzes the basic relationship between the informal hierarchy of the board of directors and enterprise innovation efficiency and opportunity response in turn, and further discusses the mediating role of opportunity response. The empirical results show that there is a significant positive correlation between the informal hierarchy of the board of directors and the innovation efficiency of enterprises; there is a significant positive correlation between the informal hierarchy of the board of directors and the responsiveness of enterprises to innovation opportunities; the informal hierarchy of the board of directors promotes the improvement of enterprise innovation efficiency by encouraging enterprise innovation opportunity response. The research conclusions are helpful to open the "black box" of the internal interaction process of the board of directors and deepen the research on the impact mechanism of the informal hierarchy of the board of directors.
The innovation of this paper is mainly reflected in the following aspects. First of all, most of the current research on the board of directors and enterprise focuses on the formal structure without the consideration of the interaction between members in China's "relationship-based" social and cultural background. Different from the previous studies on the overall level of the board of directors from the intermediate perspective, this paper focuses on the impact of the interaction between individual directors on the efficiency of enterprise innovation from the micro perspective. Secondly, this paper explores the relationship between the informal hierarchy of the board of directors and enterprise innovation efficiency from the new perspective of efficiency, which is a supplement to the previous research. Finally, unlike previous research on informal hierarchy of the board of directors with a focus on its direct impact and influencing factors, this paper deeply explores the impact path of informal hierarchy of the board of directors on enterprise innovation efficiency by constructing the research paradigm of "structure-response-efficiency" and combining the mediating effect test method. The study provides theoretical references for revealing the "black box" of internal interaction among board members.
中共二十大报告指出,加强企业主导的产学研深度融合,强化目标导向,提高科技成果转化和产业化水平,强化企业科技创新主体地位,发挥科技型骨干企业引领支撑作用,营造有利于科技型中小微企业成长的良好环境,推动创新链产业链资金链人才链深度融合。在竞争日益激烈的市场环境中,提升创新效率对于企业成长、发展至关重要。因此,如何通过优化企业治理结构提升创新效率成为关键问题。
随着公司治理研究的深入,董事会治理能力研究从早期结构主义视角注重的表层、显性正式结构分析,转向深层次潜在董事个体行为及成员互动所形成的非正式层级影响效应研究。预期地位理论表明,群体中成员存在地位差异(Gould &Roger,2002),主要源于群体资源、对全体目标的贡献以及成员个人特征差异(Ridgeway &Cecilia,2013)。预期地位差异通常会在群体中达成高度共识,进而形成非正式层级(Auspurg等,2017)。He&Huang(2011)首次提出董事会非正式层级的概念,认为董事会非正式层级是指董事会成员根据个人影响力、社会资本和权威等自发形成的潜在等级秩序。社会学理论指出,群体决策会受到正式或非正式层级的影响,这种由低地位董事会成员顺从高地位董事会成员形成的非正式层级作为隐性力量,能够对董事会集体决策产生影响(Magee等,2008),其虽无制度约束却同正式层级一样发挥作用。根据关系契约理论,组织成员间的相互信任、监督与合作至关重要,契约执行很大程度上依赖于组织成员间的信任与尊重。董事会内部潜在等级秩序在成员间形成的信任关系成为董事会成员有序沟通的基础,能够减少因等级次序缺乏产生的无效争执[1]。这种基于尊重与信任形成的等级次序有利于维持并改善董事会成员间的关系,从而提升沟通效率。组织层级理论强调,界限清晰的层级秩序可以为组织提供明确的方向,高地位组织成员往往掌握着更多资源,能够在决策中发挥重要作用,低地位成员倾向于服从高地位成员,有利于减少冲突、提升决策效率[2-3]。
He&Huang(2011)以美国制造企业为样本研究发现,明晰的董事会非正式层级与企业财务绩效正相关;Tran等(2022)研究表明,董事会内部权力集中度提升会加剧企业业绩波动性;Diakité等(2022)发现,非正式层级有利于抑制机会主义行为,进而提升合作伙伴间交流的灵活性并缓解冲突。中国儒家文化中“尊卑有序”的观念在一定程度上会强化董事会非正式层级的治理效应(张耀伟等,2015;卫旭华等,2015)。清晰的董事会非正式层级能够提升企业绩效(张耀伟等,2015),有助于激励企业实施战略变革(王凯等,2018),加快资本结构调整速度并降低其偏离度(王晓亮和邓可斌,2020)。少数研究关注董事会非正式层级对企业创新的治理效应(薛坤坤等,2021;曾江洪和肖涛,2015),但相关研究仍有待深入。目前,董事会非正式层级与企业创新关系研究集中在对创新规模“量”的探讨上,对董事会非正式层级的治理效应传导路径缺乏深入的分析解读。
本研究立足于企业这一微观主体,分析中国社会文化背景下董事会非正式层级对企业创新效率的影响机制,具体包括:董事会非正式层级是否有利于企业创新效率提升?通过何种路径传导至企业创新效率?上述问题的探索可为董事会非正式层级作用机制研究提供新的思路,对优化董事会结构、促进企业创新具有重要参考价值。
本文创新点主要体现在以下方面:首先,现有董事会与企业创新关系研究主要围绕正式结构展开,缺乏对中国社会文化背景下成员间互动关系的分析。不同于中观视角下董事会整体层面的研究,本文聚焦微观视角下董事会个体互动关系对企业创新效率的影响。其次,现有董事会非正式层级与企业创新关系研究关注创新规模,忽视了董事会非正式层级对创新效率的影响。本文从效率这一视角出发,探究董事会非正式层级与企业创新效率的关系,是对相关研究的有益补充。最后,不同于以往研究大多探讨董事会非正式层级的直接影响及相关因素,本文通过构建“结构—响应—效率”研究范式并结合中介效应检验方法,深入探究董事会非正式层级对企业创新效率的影响路径,为揭示董事会成员内部互动影响企业创新效率的“黑箱”提供理论参考。
关系契约观强调组织成员间自上而下的认同,从积极角度看待组织成员并突出合作精神,发现道德维度下信任与合作在组织中的重要作用,Williamson(1985)将其描述为关系契约(relational contracting)。关系治理的关键在于诚信、鼓励合作伙伴、团结以及维护关系(MacNeil等,1977),关系治理机制下,组织中的非正式权威能够缓解冲突(Slade Shantz等,2019),促进成员间非正式沟通交流(Lucas等,2019)。清晰的董事会非正式层级有利于发挥关系治理的积极作用,董事会成员依靠互相信赖关系进行合作,在一定程度上能够解决正式契约下因对董事会成员间不信任而产生的问题,抑制机会主义行为,维持组织团结稳定[4],共同应对创新过程中的不确定性风险。董事会成员在相互信任的基础上进行沟通,能够有效减少组织内部矛盾,促进企业创新效率提升。
权力距离是指个体对组织和机构中权力分配不平等的接受程度(Farh等,2007),在威权主义文化环境中尤为重要(张龙和刘洪,2009)。受儒家文化的影响,中国属于权力距离较大的国家,权威服从的作用较为突出[5]。与西方低权力距离型社会环境下注重团队成员个人的观点不同,中国文化土壤下“尊卑有序”的观念强调对于权力层级的划分,“以和为贵”的集体主义观念较强,权力距离更可能在中国产生影响[6]。在高权力距离下,中国人崇尚权威,通常尽可能维持与高地位成员的积极关系[7],有利于减少冲突与沟通障碍,提升决策效率[8]。在以任务为导向的组织中,拥有一个“全明星”董事会可能不利于董事会成员间的沟通和协作(Groysberg等,2011),等级关系缺乏会对组织发展造成不利影响(Ridgeway等,1990)。权力距离对于维持团队秩序、提升组织有效性至关重要,有利于促进决策质量提升(Smith,2006;张建君,2016)。董事会非正式层级的权力配置方式相对稳定,能够有效抑制情感冲突和公司政治[9],从而为企业创新提供保障。高位阶董事成员能够通过兼职董事的身份与政治关联获得更多资源[10],由于熟悉企业内外部环境,可以引导董事会作出高效决策[11]。权力距离赋予高位阶董事信心,有利于其施展领导才能[12],增强其他成员的归属感和凝聚力(张建君等,2016),从而对创新决策产生积极影响。
董事的任务往往比较模糊,无法通过正式规则加以明确。非正式层级通过协调机制促进董事会成员间互动,有助于解决分工不清的问题[13-14]。董事会非正式层级显著区别于传统官僚制结构,简化了一些不必要的决策程序,能够快速解决创新过程中出现的问题,促进企业创新效率提升。基于以上分析,本文提出以下假设:
H1:董事会非正式层级与企业创新效率正相关。
创新机会响应是指企业对创新机会的识别、执行和反馈,能够体现企业对创新的态度及行动。企业发展历程、文化和制度等因素都会影响企业创新机会响应(Philip等,1995),董事会非正式层级作为企业关键组织结构会对创新机会响应产生一定影响。
组织中的领导权力可归类为内在权力和外在权力,内在权力没有明文规定,来源于领导个人因素,如品德、能力及所拥有的资源等[15]。在董事会非正式层级中,能力强、社会资源丰富的董事具有较高的权威,处于领导地位并主导董事会决策。团队断层理论认为,较高的团队权力不平衡程度能够抑制团队内部竞争与冲突,在注重“以和为贵”的中国文化背景下发挥积极作用,有利于企业制定创新战略[8],从而促进企业对创新机会的识别与利用。根据预期状态理论,组织中高地位的形成源于组织成员期望高地位的成员能够为组织绩效提升作出贡献(Berger等,1980)。董事会中,高地位成员因拥有更多资源、更强影响力和更高声誉而处于领导地位[9],权力差距能够为领导者带来心理优越感,为其发挥领导能力创造条件,从而有利于企业识别并利用创新机会。同时,高地位成员具有较强的影响力和较高的声誉,有动机寻找机会展示其领导能力与影响力[16-17],从而促进企业创新机会响应。
企业创新具有周期长、收益不确定等特点(Czarnitzki等,2003),因而需要管理者拥有一定的魄力。进化心理学研究表明,人们在自信和有安全感的情况下能够接受不同的观点,从而增强风险承担意愿(Monk,1999)。董事会非正式层级能够在一定程度上增强领导者的信心,提升其对创新活动的重视程度[18],从而促进企业创新机会响应。高阶理论认为,领导者特质会对企业决策产生影响(Hambrick等,1982)。在董事会非正式层级中处于高地位的董事,其潜在变革理想有助于企业把握创新机遇、优化创新资源配置。根据关系契约理论,非正式层级作用下,董事会成员间稳定的关系有利于企业应对创新过程中出现的问题,为持续创新提供保障,从而促进企业创新机会响应。由此,本文提出以下假设:
H2:董事会非正式层级与企业创新响应呈显著正相关关系。
创新机会响应的核心在于对创新机会的感知、识别和快速行动,进而高效识别市场变动、政策变化并快速反应[19],包含创新机会识别与利用两个方面。本研究认为,创新机会响应在董事会非正式层级对企业创新效率的影响过程中发挥中介作用。
清晰的董事会非正式层级有利于企业创新,从而促进创新机会响应。根据组织层级理论,清晰的层级排序可为董事会成员提供明确的指导[20],促使内部成员建言献策,从而提升企业创新战略实施的可能性(李长娥,谢永珍,2017)。决策程序复杂程度提升会阻碍企业变革(陈传明和刘海建,2005),董事会非正式层级有助于简化决策程序,促进企业战略变革[15]。创新机会响应作为企业技术变革的直接体现同样会受到董事会非正式层级的影响。
创新机会响应能够激励企业提升创新效率。以Teece[21]为代表的学者提出的动态能力理论认为,动态能力是企业对内外部资源的整合、建立和重组,其核心是资源整合能力,并在此基础上进一步将动态能力划分为机会识别感知能力和实践把握能力。一方面,洞察市场机会与技术机会对于企业创新至关重要[22]。在创新机会响应过程中,企业能够通过获取信息资源识别创新机会,有利于增强企业创新信心并提升创新成功率[21,23]。创新机会响应程度较高的企业通常是积极的信息搜集者,通过各种渠道全面分析潜在市场需求、技术现状以及竞争者动态,从而获得创新相关信息资源(Liao等,2009)。通过创新机会响应获得的信息对于企业识别创新机会、制定适应内外部环境的创新战略具有积极影响,可以帮助企业在激烈的竞争环境中制定科学的创新方案,从而提升创新成功率[21,24]。创新机会响应积极的企业,通常具有较为全面的知识积累。根据消化吸收理论,企业前期通过创新机会响应积累的资源与创新知识有利于增强其识别新技术并预测市场变革趋势的能力[23]。另一方面,创新机会响应有利于企业利用识别到的创新机会开展研发活动并反馈在创新效率提升上。创新机会响应积极的企业能够对资源进行快速整合与重构[24],以增强资源柔性与协调柔性[25],从而在创新过程中作出高效决策。
董事会非正式层级通过促进创新机会响应提升企业创新机会识别与利用能力,能够帮助企业高效配置创新资源,在创新过程中发挥其结构优势,从而提升创新效率。因此,本文提出以下假设:
H3:董事会非正式层级通过企业创新机会响应促进企业创新效率提升。
基于以上分析,本文构建研究模型如图1所示。
图1 研究机理模型
Fig.1 Mechanism model
本文以2007—2020年中国A股上市公司为初始样本,按照以下标准对样本进行筛选:①剔除交易状态为ST类公司;②剔除金融类上市公司;③剔除数据缺失样本。最终,得到17 114个公司年样本观测值,为避免极端值的干扰,本文对所有连续变量在5%和95%分位数上进行Winsorize缩尾处理。本文数据来源于CSMAR数据库、CCER数据库、CNRDS数据库和巨潮资讯网站,采用DEAP 2.1,Stata 15.1软件对数据进行处理。
2.2.1 被解释变量
创新效率(TEDEA)。创新效率反映了企业创新投入与产出关系,能够衡量在一定投入下的产出可提升能力。数据包络分析法(DEA)不需要考虑生产前沿具体形式,能够避免函数的主观设定。根据决策单元投入产出数据,本文选取决策单元为技术有效点构造生产前沿,能够直接处理多产出情况,在一定程度上弥补随机前沿分析法的不足。因此,本文采用数据包络分析法对企业创新效率加以衡量。CCR模型假定规模报酬不变是DEA模型构建的基础(Charnes等,1978),其表达式如下:

(1)
式中,有n(j=1,2,…,n)个决策单元,每个决策单元有m(i=1,2,…,m)种不同投入和p(r=1,2,…,p)种不同产出。Xj代表决策单元投入向量,Yj代表决策单元产出向量,λj(j=1,2,…,n)为权向量,目标函数θ表示在既定产出下投入向量Xj的最大可收缩程度。根据以上约束条件,本文对每个决策单元进行效率求解。
在使用数据包络分析法分析创新效率时,本文选取的指标包括投入指标和产出指标。投入指标分为两个方面:第一,劳动要素投入,以研发人数(TEEMPIOYEE)表示;第二,资本要素投入,以企业研发投入金额(RDINVEST)表示。以企业当年专利授权数(TPATIENT)作为产出指标,采用以上模型对样本数据求解,得到17 114个公司年样本观测值对应的创新效率(TEDEA)。
2.2.2 解释变量
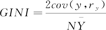
基尼系数通常被用以反映变量间的均衡性,能够有效衡量组织中存在的非正式层级[16,26]。参照He &Huang(2011)的研究成果,本文采用基尼系数衡量董事会非正式层级[1,16,27]。在董事权威测度上,参考叶玲等[27]的研究成果,采用董事在其它上市公司兼任董事的数量计算,董事影响力越大,在其它公司兼任董事数量越多,基尼系数计算公式如下:
![]()
(2)
其中,GINI为基尼系数,用以衡量董事会非正式层级;y为董事权威,通过董事在其它上市公司兼职数量衡量;ry为董事兼职数在董事会中排名;N为董事会规模,采用董事会总人数衡量;
为董事会兼职数y的平均值。
由基尼系数定义与公式可知,基尼系数取值范围为0~1。当取值为0时,表示董事会成员的权威相同;当取值为1时,表示董事间的权威差距较大。
2.2.3 中介变量
本研究使用上市公司年报数据进行机会响应分析。参照邵剑兵等[28]的研究成果,采用企业年报中创新关键词衡量创新机会响应,即采用创新、研发、技术和发明4个词语在年报中出现频次总和的自然对数值衡量。此外,在巨潮资讯网站获取2007—2020年样本公司年报数据,借助Python软件并结合手动搜索关键词,以获取相关研究数据。
2.2.4 控制变量
参照相关研究,本文从两个方面选取其它可能影响企业董事会决策行为与创新效率的因素,以此作为控制变量。
(1)董事会层面控制变量。相关研究表明,董事会规模与董事会持股比例(陈仕华等,2020;张耀伟等,2020)、董事长与首席执行官两职分设情况(谢永珍等,2017)、独立董事比例(王凯和常维,2018)会对董事会创新决策产生影响。由此,本文选取上述变量作为控制变量。
(2)公司层面控制变量。根据现有研究成果,本文选取企业规模与资产负债率(陈险峰等,2019)、企业绩效(刘振杰等,2019)、企业成长能力(王晓亮等,2020)、股权集中度(陈仕华等,2020)、是否国有控股(雪莲等,2019)、大股东占款(叶玲等,2016)作为控制变量。
此外,本文控制了时间和行业因素的影响,具体测量方法见表1。
表1 变量选择与方法确定
Table 1 Variable selection and measurement methods
变量名变量定义测量方式因变量TEDEA创新效率见上文自变量GINI董事会非正式层级GINI=2cov(y,ry)NY-中介变量lnRESPONSE机会响应上市公司年报中“创新、研发、技术和发明”频次自然对数控制变量DRATIO独立董事占比独立董事人数/董事会总人数DUAL董事长与首席执行官两职分设董事长与首席执行官兼任为0,两职分设为1BSIZE董事规模董事会总人数自然对数LEV资产负债率总负债/资产SHARE股权集中度第一大股东持股比例ROA企业绩效资产收益率SHARERATIO董事会持股比例董事会持股数/总股数SIZE公司规模总资产自然对数GROW企业成长能力营业总收入增长率STATE国有控股国有控股为1,否则为0REC大股东占款其它应收款/总资产INDUSTRY行业虚拟变量,若属该行业取值为1,否则取值为0YEAR年份虚拟变量,若属该年份取值为1,否则取值为0
根据前述假设,本文采用中介作用三步判定法构建如下多元回归模型,进一步判断中介变量是发挥部分中介作用还是完全中介作用。
TEDEAit=α0+α1GINIit+α2∑CONTROLit+α3∑YEARt+α4∑INDUSTRYit+μit
(3)
lnRESPONSEit=β0+β1GINIit+β2∑CONTROLit+β3∑YEARt+β4∑INDUSTRYit+μit
(4)
TEDEAit=γ0+γ1GINIit+γ2lnRESPONSEit+γ3∑CONTROLit+γ4∑YEARt+γ5∑INDUSTRYit+μit
(5)
模型(3)-(5)分别对假设H1,假设H2和假设H3进行检验。其中,i代表企业,t代表时间,ΣCONTROLit表示控制变量,ΣYEARt、ΣINDUSTRYit分别表示年份与行业效应,μit代表随机扰动项。
按照中介作用三步判定法,若模型(3)中GINI对TEDEA影响的回归系数α1显著为正,则表明董事会非正式层级能够显著激励企业创新效率提升;若模型(4)中GINI对lnRESPONSE影响的回归系数β1显著为正,则表明董事会非正式层级能够显著促进企业创新机会响应。进一步地,相较于模型(3),若模型(5)中GINI的回归系数变小但仍然显著,则说明lnRESPONSE发挥部分中介作用;若模型(5)中GINI的回归系数不显著,则lnRESPONSE发挥完全中介作用。
表2为变量描述性统计结果。由表2可知,企业创新效率的最大值为0.625,最小值为0,标准差为0.206,说明不同企业创新效率存在较大差异;董事会非正式层级的最大值为0.239,最小值为0,说明部分企业存在董事权威影响相同的情况;创新机会响应的最小值为4.357,标准差为0.575,说明企业普遍对创新机会积极响应,但不同企业响应程度存在较大差异;独立董事占比的最大值为0.455,均值为0.373,大于证监会规定的最低要求0.333,说明企业董事会独立董事占比较小;近7成企业选择董事长与首席执行官两职分离的结构设置,说明企业倾向于权力制衡。
表2 描述性统计结果(N=17 114)
Table 2 Descriptive statistics (N=17 114)
变量平均值标准差中位数最小值最大值连续变量TEDEA0.2670.2060.27600.625GINI0.1110.0750.11800.239lnRESPONSE5.0370.5755.0564.3576.068DRATIO0.3730.0450.3640.3330.455BSIZE2.1140.1642.19772.398LEV0.3760.1900.3610.1130.730SHARE0.3290.1320.3090.1260.600ROA0.0450.0450.0430.0030.134SHARERATIO0.1800.2030.07600.584SIZE21.7931.07021.64620.69524.113GROW0.0020.0030.001-0.2080.008REC0.0120.0130.0070.0010.049哑变量值=1值=0频数百分比(%)频数百分比(%)STATE0.2354 01923.48413 09576.516DUAL0.65411 19265.3975 92234.603
对模型(3)-(5)进行回归,结果如表3所示。
表3 模型回归结果
Table 3 Regression results of the model
注:括号内为稳健标准误,*、**、***分别表示在10%、5%与1%水平下显著,下同
变量模型(1)模型(2)模型(3)TEDEAlnRESPONSETEDEAGINI0.063***0.170***0.050***(0.018)(0.050)(0.017)lnRESPONSE0.076***(0.003)DRATIO-0.0300.186*-0.044(0.039)(0.113)(0.038)DUAL-0.001-0.040***0.002(0.003)(0.008)(0.003)BSIZE0.0110.056*0.007(0.011)(0.032)(0.011)LEV-0.006-0.390***0.024**(0.010)(0.027)(0.009)SHARE-0.023**-0.338***0.002(0.010)(0.030)(0.010)ROA-0.035-0.074-0.030(0.036)(0.100)(0.035)SHARERATIO0.029***0.367***0.001(0.008)(0.022)(0.008)SIZE0.050***0.042***0.046***(0.002)(0.005)(0.002)GROW0.77024.220***-1.064*(0.566)(1.617)(0.554)STATE0.005-0.0040.005(0.004)(0.011)(0.004)REC0.405***1.818***0.267**(0.110)(0.318)(0.108)Constant-1.004***3.215***-1.247***(0.048)(0.137)(0.047)INDUSTRYYESYESYESYEARYESYESYESObservations17 11417 11417 114R20.3220.3050.353
表3模型(1)为董事会非正式层级与企业创新效率回归结果。由表3可知,董事会非正式层级的回归系数为0.063且在1%水平上显著,说明董事会非正式层级能够显著促进企业创新效率提升,与理论分析结论一致。受“尊卑有序”观念的影响,董事会中拥有更多资源和更高社会声誉的董事在非正式层级中处于高位,清晰的董事会权力层级划分有利于促进董事会成员分工与协作,进而提升沟通与工作效率,减少无效争执,通过维持董事会内部稳定,帮助企业灵活应对创新过程中的不确定性风险,从而促进企业创新效率提升。模型(2)为董事会非正式层级与创新机会响应回归结果,机会响应的回归系数为0.170且在1%水平上显著,说明董事会非正式层级能够显著促进创新机会响应,与假设H2相符。企业创新具有投入大、风险高、收益不确定等特点,由于存在委托代理问题,管理者创新意愿较弱。董事会非正式层级有利于强化领导者的信心与风险承担意愿,促使其重视技术变革。在董事会非正式层级的影响下,决策程序简化能够激励企业变革,加强企业创新机会识别与利用,从而促进创新机会响应。模型(3)对机会响应的中介效应进行检验,结果发现,董事会非正式层级、机会响应的回归系数均为正且在1%水平上显著。相较于模型(1),模型(3)中的董事会非正式层级回归系数降低,说明机会响应在董事会非正式层级对企业创新效率的影响过程中发挥显著部分中介作用,与理论分析假设一致。在董事会非正式层级的激励下,企业通过创新机会响应抓住市场机会,通过及时获取市场需求、技术现状与竞争者动态识别创新机会,进而为创新活动制定更多选择方案,提升创新成功率。创新机会响应积极的企业往往具备丰富的知识积累,能够快速对资源进行整合与重构以增强资源柔性与协调柔性,从而促进创新效率提升。
参考温忠麟(2004)的研究成果,本文进一步根据各模型系数计算中介效应,结果如表4所示。经过计算发现,机会响应的中介效应与总效应之比为20.635%。由此表明,机会响应在董事会非正式层级对企业创新效率的影响过程中发挥部分中介效应。
表4 中介效应分析结果
Table 4 Mediation effect analysis
路径直接效应间接效应总效应中介效应贡献度占比(%)GINI-lnRESPONSE-TEDEA0.0500.0130.06320.635
为验证研究结果的稳健性,本文采用更换部分核心解释变量、考虑时间滞后效应、增加控制变量以及内生性检验进行稳健性检验。
参照吴延兵等(2012)的研究方法,本文采用专利数量与研发人员之比衡量企业创新效率,再对原模型进行检验,回归结果如表5所示。
表5 稳健性检验结果(替换因变量)
Table 5 Robustness test results(replacing dependent variables)
变量(1)(2)(3)TElnRESPONSETEGINI0.026***0.170***0.021***(0.007)(0.050)(0.007)lnRESPONSE0.030***(0.001)CONTROLYESYESYESINDUSTRYYESYESYESYEARYESYESYESObservations17 11417 11417 114R20.3970.3050.425
在采用不同方法测度创新效率时,核心变量的回归系数符号与显著性均未发生改变,机会响应的中介作用依然成立,表明本文结论具有稳健性。进一步进行Sobel中介效应检验,结果如表6、表7所示。
表6 Sobel中介效应分析结果
Table 6 Analysis of Sobel mediation effect
路径Z值标准误P值中介效应GINI-lnRESPONSE-TEDEA3.3700.0020.001***显著
表7 Sobel中介效应占比情况
Table 7 Proportion of Sobel mediated effect
效应效应值占总效应比(%)间接效应0.005***18.519直接效应0.022***81.481总效应0.027***100
表6中Sobel检验结果显示,机会响应的中介作用显著。表7中中间接效应的占比为18.519%,再次表明创新机会响应发挥部分中介作用。
考虑到董事会非正式层级对企业创新效率的影响可能存在时间滞后性,本文采用滞后一期董事会非正式层级、机会响应、企业创新效率进行验证,结果如表8所示。
表8 解释变量滞后检验结果
Table 8 Lag test of explanatory variables
变量(1)(2)(3)TEDEAlnRESPONSETEDEAL.GINI0.078***0.212***0.062***(0.019)(0.054)(0.019)L.lnRESPONSE0.079***(0.003)CONTROLYESYESYESINDUSTRYYESYESYESYEARYESYESYESObservations14 49314 49314 493R20.3270.2810.361
表8中,滞后一期董事会非正式层级、机会响应与企业创新效率的回归系数符号及显著性均未发生实质性改变,机会响应的中介效应占比为20.513%。由此表明本文主要结论仍然成立。
由于创新活动具有连续性,企业创新效率不仅受当期因素影响,而且受到过去研发投入的影响(庞廷云等,2020)。借鉴郭玥(2018)的研究成果,本文使用企业创新投资与总资产的比值衡量研发投入强度(R&D),在原模型中加入滞后一期研发投入强度(L.R&D)作为控制变量,回归结果如表9所示。
表9 控制变量检验结果(增加滞后一期创新投资)
Table 9 Test results of control variables (adding innovation investment with one period lag)
变量(1)(2)(3)TEDEAlnRESPONSETEDEAGINI0.077***0.142**0.067***(0.019)(0.055)(0.019)lnRESPONSE0.075***(0.003)L.R&D0.739***4.505***0.401***(0.196)(1.162)(0.119)CONTROLYESYESYESINDUSTRYYESYESYESYEARYESYESYESObservations14 49314 49314 493R20.3340.3150.363
在考虑过去研发投入对创新效率的影响后,各模型中解释变量的回归系数符号及显著性与表3主检验回归结果一致,机会响应发挥显著中介作用。由此可见,本文实证结果具有稳健性。
4.4.1 工具变量法
为排除可能存在的内生性问题对董事会非正式层级、企业创新效率及机会响应关系的影响,即创新效率较高、实力较强、机会响应积极的企业往往会制定长远的发展战略,因而更容易吸引具有较大影响力的董事。参考叶邦银等(2022)的研究成果,本文以剔除本企业董事会非正式层级的行业年份均值作为工具变量,使用两阶段最小二乘法(2SLS)进行检验,结果如表10所示。
表10 内生性检验结果
Table 10 Endogenetic test results
变量董事会非正式层级与创新效率OLS2SLSTEDEATEDEA董事会非正式层级与机会响应OLS2SLSlnRESPONSElnRESPONSEGINI0.063***1.321***0.170***4.637***(0.018)(0.304)(0.050)(0.914)CONTROLYESYESYESYESINDUSTRYYESYESYESYESYEARYESYESYESYESCragg-Donald Wald F 统计量74.90774.907[临界值][16.38][16.38]Anderson LM 统计量74.772***74.772***(P值)(0.000 0)(0.000 0)Observations17 11417 11417 11417 114
采用Anderson LM统计量进行不可识别检验,以验证工具变量是否与解释变量相关。结果显示,不可识别检验中Cragg-Donald Wald F统计量P值均为0.000 0,拒绝原假设,秩条件成立,通过不可识别检验。弱工具识别检验中,Cragg-Donald Wald F统计量远大于Stock-Yogo检验10%的临界值,表明不存在弱工具变量问题,本文工具变量选取较为合理。由此可见,模型系数符号与显著性均未发生改变,研究结果具有稳健性。
4.4.2 倾向得分匹配法
为控制内生性问题,本文进一步采用核匹配法、半径匹配法、局部线性回归匹配法进行检验,结果如表11所示。
表11 平均处理效应结果(倾向得分匹配法)
Table 11 Results of average treatment effect(propensity score matching method)
匹配方法选择变量TreatedControlsDifferenceS.E.T-stat核匹配TEDEA0.2710.2610.0100.0042.78***lnRESPONSE5.0724.9960.0760.0117.03***半径匹配TEDEA0.2710.2610.0100.0042.75***lnRESPONSE5.0724.9950.0770.0117.14***局部线性回归匹配TEDEA0.2710.2560.0150.0053.00***lnRESPONSE5.0725.0060.0670.0144.76***
结果表明,董事会非正式层级、企业创新效率及机会响应均在1%水平上显著正相关,与主检验结果一致,进一步验证了本文研究结论的可靠性。
本文以2007—2020年中国A股上市公司为研究样本,验证董事会非正式层级、创新机会响应与企业创新效率的关系,得到以下主要结论:
(1)企业董事会非正式层级能够显著促进治理水平与企业创新效率提升。一方面,清晰的董事会非正式层级意味着高位阶董事受到更多尊敬,低位阶董事倾向于服从高位阶董事领导,有利于加强组织成员间的团结,抑制董事会内部情感冲突和无效争执,从而促进创新效率提升。另一方面,董事会非正式层级中,拥有更多资源、享有更高社会声誉的领导者通常较为熟悉企业内外部环境,能够及时获取信息资源,有能力领导董事会制定高效的创新决策,从而促进企业创新效率提升。
(2)董事会非正式层级有利于加强企业对创新机会的识别和把握,从而促进企业创新机会响应。清晰的董事会非正式层级能够赋予高位阶董事权威,有利于增强领导者的自信与风险承担意愿,促使其提升对创新的重视程度,从而促进企业对创新机会的识别与利用。董事会非正式层级有利于简化决策程序并抑制董事会内部冲突,加快企业创新战略制定与实施,并通过识别创新机会、配置创新资源等方式促进企业创新机会响应。
(3)董事会非正式层级可以通过企业创新机会响应促进创新效率提升。清晰的董事会非正式层级有助于企业创新机会响应,企业在创新机会响应过程中能够获得更多信息资源以识别创新机会,从而制定更多的创新选择方案。创新机会响应积极的企业往往拥有较多的知识积累,能够快速对创新资源进行整合重构,增强资源柔性与协调性,从而促进创新效率提升。
(1)在创新过程中,企业需要重视董事会非正式层级的治理作用。董事会往往倾向于选聘具有较强政治关联、享有较高社会声誉以及管理经验丰富的成员,然而,“全明星”董事会结构并不一定有利于企业决策效率提升。在董事会组建过程中,企业在关注“明星”董事的同时,更要从团队角度出发,注重董事会内部团结,增强董事会内部成员沟通协作能力。在聘任“明星”董事的同时,企业应有意识地提升董事会成员间的政治关联性和社会声誉区分度,组建个人领导力影响下权力层级划分清晰的差异化团队,促进企业创新机会响应,从而提升创新效率。
(2)在创新过程中,企业应重视创新机会响应对创新效率的积极作用,增强自身识别与利用创新机会的动态能力以实现高效创新。一方面,企业应拓宽信息资源获取渠道,通过及时获取潜在市场需求、技术现状与竞争者动态识别创新机会;另一方面,企业应及时利用所识别的创新机会开展研发活动,增强自身资源组合重构能力并高效配置创新资源,从而提升创新效率。具体而言,企业可以通过创新知识搜集、学习等方式提升员工创新意识并积累创新资源,进而提升创新机会识别与利用能力。在创新机会利用过程中,企业可以基于创新流程、资源配置、产品设计等模块,构建模块化创新网络以提升组织灵活性,并根据不同的环境需求对模块化结构进行灵活组合,通过强化自身应变能力促进创新效率提升。
本研究具有一定局限性:首先,与上市公司相比,非上市公司没有强制披露年报的要求,董事会规模较小,具有较强的自主性。与上市公司相比,非上市公司董事会非正式层级特征有何不同?能否发挥企业创新治理作用?上述问题值得进一步探索。其次,由于中西方文化差异,西方国家低权力距离背景下强调成员个性的个人主义思想可能导致董事会非正式层级的影响受限。未来可以对董事会非正式层级的治理效应进行异质性分析。最后,本文仅探讨了董事会非正式层级对企业创新效率的影响及具体路径,未来可以对董事会非正式层级与创新效率间可能存在的非线性关系作进一步分析,以探讨其边际效应。
[1] 王晓亮, 邓可斌. 董事会非正式层级会提升资本结构决策效率吗[J]. 会计研究, 2020,41 (8):77-90.
[2] ANDERSON C, BROWN C E. The functions and dysfunctions of hierarchy[J].Research in Organizational Behavior, 2010, 30:55-89.
[3] RONAY R, GREENAWAY K, ANICICH E M, et al. The path to glory is paved with hierarchy: when hierarchical differentiation increases group effectiveness[J].Psychological Science, 2012, 23(6):669-677.
[4] DIAKITE D, ROYER A, ROUSSELI
RE D, TAMINI L D. Formal and informal governance mechanisms of machinery cooperatives: the case of Quebec[J].Journal of Co-operative Organization and Management, 2022, 10(2):100181.
[5] YANG K S, YU A B, YEH M H. Chinese individual modernity and traditionality: construct definition and measurement[C].In Proceedings of the Interdisciplinary Conference on Chinese Psychology and Behavior, 1989:287-354.
[6] HALEVY N, CHOU E Y, GALINSKY A D. A functional model of hierarchy[J].Organizational Psychology Review, 2011, 1(1):32-52.
[7] 魏昕, 张志学. 组织中为什么缺乏抑制性进言[J].管理世界, 2010,26(10):99-109.
[8] 卫旭华, 刘咏梅, 岳柳青. 高管团队权力不平等对企业创新强度的影响——有调节的中介效应[J].南开管理评论, 2015, 18(3):24-33.
[9] 马连福, 高塬, 杜博. 隐性的秩序:董事会非正式层级研究述评及展望[J].外国经济与管理, 2019, 41(4):111-125.
[10] 谢德仁, 陈运森. 董事网络:定义、特征和计量[J].会计研究, 2012,33(3):44-51.
[11] HAMBRICK D C. Environment, strategy, and power within top management teams[J].Adm Sci Q, 1981, 26(2):253-275.
[12] GARG S, LI Q, SHAW J. Undervaluation of directors in the board hierarchy: impact on turnover of directors in newly public firms[J].Strategic Management Journal, 2017, 39(2): 429-457.
[13] JOHNSON, PHYL. Shared thinking and interaction in the family business boardroom[J].Corporate Governance International Journal of Business in Society, 2004, 4(1):39-51.
[14] MARSHALL, JEFFREY. Back to the drawing board: designing corporate boards for a complex world[J].Financial Executive, 2004,42: 380-382.
[15] 王凯, 常维. 董事会非正式层级如何影响公司战略变革[J].首都经济贸易大学学报, 2018, 20(3):87-94.
[16] HE J, HUANG Z. Board informal hierarchy and firm financial performance: exploring a tacit structure guiding boardroom interactions[J].The Academy of Management Journal, 2011, 54(6):1119-1139.
[17] REGO A, OWENS B, YAM K C, et al. Leader humility and team performance: exploring the mediating mechanisms of team psycap and task allocation effectiveness[J].Journal of Management, 2019, 45(3):1009-1033.
[18] 梁彤缨, 陈昌杰. 管理者过度自信与企业创新投资:融资约束和股权激励的作用[J].工业技术经济, 2020, 39(1):23-32.
[19] DUYMEDJIAN R, RULING C C. Towards a foundation of bricolage in organization and management theory[J].Organization Studies, 2010, 31(2):133-151.
[20] 董斐然, 谢永珍, 曹琳君. 董事会权力层级对企业价值的影响研究——企业使命的调节效应与战略选择的中介效应[J].东岳论丛, 2022, 43(8):123-34.
[21] TEECE D J. Capturing value from knowledge assets: the new economy, markets for know-how, and intangible assets[J].California Management Review, 1998, 40(3):55-79.
[22] DRUCKER P F. Innovation and entrepreneurship practice and principles [M].NY:Harper Business, 1993.
[23] 吴航. 动态能力的维度划分及对创新绩效的影响——对Teece经典定义的思考[J].管理评论, 2016, 28(3):76-83.
[24] TEECE D J. Explicating dynamic capabilities: nature and microfoundation[J].Strategic Management Journal, 2007, 28(13):1319-1350.
[25] LU Y, ZHOU L, BRUTON G,et al. Capabilities as a mediator linking resources and the international performance of entrepreneurial firms in an emerging economy[J].Journal of International Business Studies, 2010, 41(3):419-436.
[26] BLAU P. A Macrosociological theory of social structure[J].American Journal of Sociology—Amer J Sociol, 1977,83(1): 26-54.
[27] 叶玲, 管亚梅. 董事会隐性层级、公司投资行为及效率——基于我国A股上市公司的实证检验[J].财经理论与实践, 2016, 37(5):43-49.
[28] 邵剑兵, 赵文玉. 高管从军经历会提升企业“一带一路”倡议响应度吗[J].上海财经大学学报(哲学社会科学版), 2020, 22(3):50-63.