First of all,on the basis of the Chua's chaotic model in chaos theory and the existing literature review of tacit knowledge transfer, the Chua's chaotic tacit knowledge transfer model is constructed considering the characteristics of two-way nonlinear tacit knowledge transfer. Then the model is deduced and decomposed, and the simulation analysis is carried out by using Multisim14.0 to study the transfer rule of tacit knowledge between subjects. The research shows that firstly the transfer of tacit knowledge between two subjects is greatly affected by resistance, and the change of small resistance may bring about great changes in the type of tacit knowledge transfer, which is also one of the characteristics of Chaos, that the whole system is extremely sensitive to the initial value. Secondly according to the visual simulation by Multism14.0 , it is observed that with the changes of the transfer willingness of the sender, the transfer ability of the sender, the absorption motivation of the receiver, the strength of cooperation and trust and the degree of interaction and communication (namely, the change of the transfer resistance TKTR), there are five transfer types of tacit knowledge. The full resistance type of tacit knowledge transfer is that tacit knowledge cannot be transferred and shows stagnation. The high resistance type of tacit knowledge transfer is the Rossler attractor form with poor tacit knowledge transfer effect. The resistance type of tacit knowledge transfer is a double attractor form with high tacit knowledge transfer effect. The low resistance type of tacit knowledge transfer which is very smooth presents a nonlinear complexity form. The zero-resistance type of tacit knowledge transfer is a linear form which means the tacit knowledge transfer between the two subjects is super smooth. Both sides of the knowledge subject can adjust the resistance of tacit knowledge transfer from internal and external incentives, create a learning organizational culture atmosphere, and build a face-to-face communication platform, so as to improve the effect of tacit knowledge transfer. Lastly, the research introduces a real case in the automobile industry to prove the effectiveness of the Chua's chaotic tacit knowledge transfer model.
Through the introduction of the research paradigm of chaotic dynamics, Chua's chaotic tacit knowledge transfer model is constructed and added to the existing literature on traditional linear knowledge transfer model which does not apply to the tacit knowledge, and the study expresses the shortage of the two-way interaction between feedback and transfer, providing a new research method and means. Furthermore the study conducts the simulation analysis through Multisim14.0 software to explore the influence of the change of tacit knowledge transfer resistance on the effect of tacit knowledge transfer with changes of the transfer willingness of the sender, the transfer ability of the sender, the absorption motivation of the receiver, the strength of cooperation and trust and the degree of interaction between the two knowledge subjects, and provides a quantitative research method for the study on tacit knowledge transfer. Future research will be focused on the empirical case study.
随着知识经济时代来临,知识逐渐成为企业的一种战略性资源,对企业创新和发展起重要作用[1],拥有高质量知识以及快速转移知识是企业成功的关键[2],其中,知识的高质量转移是重中之重[3]。隐性知识是迈克尔·波兰尼(Michael Polanyi)于1958年在《个人知识》(Personal Knowledge)一书中提出的新概念,他认为知识可以区分为显性知识(Explicit Knowledge)和隐性知识(Tacit Knowledge)。其中,显性知识是能够被人类以符码系统予以完整表述的知识;隐性知识是指那些难以清晰表达,通常只能通过经验、深度互动和实践学习获得的知识。隐性知识具有复杂度高、不易转移等特征[4],是知识管理系统最具价值的资产[5],已成为组织创造价值的核心资源,其有效利用对知识共享和知识创新具有重要意义[6]。隐性知识转移(Tacit Knowledge Transfer)的发生以广泛接触、定期互动以及双方信任为基础。隐性知识难于编码并具有情景依附性[7],在转移活动中是一个动态过程且流向性具有非线性[8]。研究隐性知识的表征及传递过程,对丰富企业知识积累、促进企业创新具有重大意义[9]。
在隐性知识转移影响因素方面,国内外学者从隐性知识转移意愿[10]、隐性知识特征[11]等角度深入分析隐性知识共享影响因素,指出意愿[12]是隐性知识转移过程中的重要影响因素。也有部分学者通过大数据分析、鱼骨图和层次分析法[13-15]等方法研究了知识转移影响因素。在知识转移模型构建方面,国内外学者利用通信系统方法[9]、TWD和FRS方法[16]、理性行为理论[17]和计算机科学中的CNN方法[18]、DNN方法[19]、BIM方法[20]、知识管理系统[21]、知识管理模型[22]、改进GSK算法[23]和路线图[24]等研究范式构建了相应的知识转移模型。在知识转移研究方面,国内外学者探讨了知识外部嵌入对企业双元性[25]、个体对知识转移的信心[26]、供应链管理和发展[27]、租赁地点[28]、明星科学家[29]和滥用监督[30]等因素在知识转移过程中的作用机理。也有学者研究了PKT方法[31]、KT流程[32]和远程实验[33]在知识转移教育领域的应用。
现有的知识转移研究中,较多应用卷积神经网络(CNN)、深度神经网络(DNN)等深度学习方法,其需要大量的训练集与测试集来训练模型,且在教育领域的应用效果较好,但不太适用于难以清晰表达的隐性知识转移。已有关于隐性知识转移的研究多停留在定性分析层面上,对隐性知识转移的影响因素和转移过程等方面缺乏深入研究。相比已有文献,本文的创新之处在于:第一,通过引入混沌动力学研究范式,构建蔡氏混沌隐性知识转移模型,补充了已有文献中传统线性知识转移模型不适用于研究特征的兼有表达、反馈且双向交互特征的转移的不足,为研究隐性知识转移这一非线性过程提供了新的研究方法和途径;第二,相较于已有文献通过鱼骨图等抽象方法对隐性知识转移影响因素进行研究,本文通过Multisim14.0软件进行仿真分析,探究了随着两个知识主体间输出方转移意愿、输出方转移能力、接收方吸收动机、合作信任强度、互动交流程度的变化即隐性知识转移阻力变化对隐性知识转移效果的影响,为隐性知识转移研究补充了定量研究方法。
隐性知识是未来知识创新的来源之一,同时,也是组织核心竞争力的重要组成部分[7]。但是,隐性知识与可以书面文字、图表和数学公式等方式表述的显性知识不同,隐性知识难以言述与清晰量化,所以不能采用现有文献中研究显性知识转移的方法来研究隐性知识转移。因此,引入隐喻分析方法分析双向非线性的隐性知识转移过程,以便对隐性知识转移难以量化的抽象概念进行仿真研究。隐喻(Metaphor)是以描述另一事物的方式来描述某个事物,通过使用熟悉的概念理解另一个陌生概念,因此隐喻普遍存在于日常生活中[34]。隐喻作为人类认知的一种基本方式,具有重要意义[35]。通过隐喻分析,在非线性物理学基础上可以更形象地研究隐性知识转移过程。首先,回顾非线性物理学中的部分基本概念,非线性物理学的分支主要包括复杂系统(Complex System)、耗散结构(Dissipative System)、自组织(Self-organization)和混沌(Chaos)。其中,混沌是一种源自决定性规律的无序状态,即没有结构的均匀状态。蔡氏混沌(Chua's Chaos)是由蔡氏二极管搭配简单的半导体元器件产生的混沌状态,因结构简单、现象复杂而被誉为混沌系统的典范[36],它是由蔡少棠教授在1983年于日本早稻田大学提出的[37]。在隐性知识转移过程中充斥着正反馈与负反馈,二者相互交叠、错综复杂,整个过程中饱和性、多态环等非线性特征十分明显,并由此诞生了种种不确定性(冯斯波,盛亚,2003)。隐性知识系统是一个开放、复杂的系统,是一个在创造各种知识和技能的过程中存在大量正、负反馈活动的非线性复杂系统(魏钢焰,2007)。隐性知识创新不是突然间从无到有,更多情况下是“站在巨人肩膀”上,成为下一代创新知识产生的基础。隐性知识的不断迭代符合循环因果理论,即隐性知识转移系统是建立在隐性知识自我迭代基础上的动态演化的非线性系统(韩蓉,林润辉,2013)。知识转移方与知识接收方间不是简单的相互依存关系而是相互影响[38]。不难发现,隐性知识转移过程与显性知识转移过程存在显著不同。在显性知识转移过程中,显性知识单向线性地从高知识存量主体向低知识存量主体转移,知识接收方的知识存量会增加,知识发出方的知识存量并没有减少而是保持不变。隐性知识转移过程中则存在大量的自我迭代、正负反馈以及循环因果等非线性过程,说明隐性知识转移过程是一个表达与反馈相结合的双向转移过程,两个主体相互交流、相互启发、相互提升,即双方的隐性知识存量都得到提升。因此,相较于传统的知识转移模型,蔡氏混沌模型因具有自我迭代、正负反馈以及循环因果等显著的非线性特征,更适合隐性知识转移过程研究。综上,本文采用蔡氏混沌模型研究隐性知识转移过程。
一方面,基于混沌系统特征对隐性知识特征进行隐喻:①初态敏感性(Sensitive to Initial Conditions)。隐性知识难以用文字、图像等手段进行可视化的精准表达,知识接收方会依据自身掌握的知识基础对隐性知识进行筛选和过滤,因此隐性知识初始条件的微小差异在传递和迭代过程中会被无限放大进而产生巨大差异,正所谓“差之毫厘,谬以千里”,隐性知识转移对初始状态具有极强的敏感性;②临界性(Boundedness)。隐形知识转移的运动轨道是稠密且复杂的,由于是在两个主体间相互转移,隐性知识的转移轨道也会呈现出周期性,但始终限定在一个确定范围内,表现出一定边界性,说明隐性知识转移过程具有混沌特征;③分形维(Fractal Dimension)。隐性知识转移是一个非线性过程,具有内在随机性,虽然知识发出方输入的隐性知识确定,但受到非线性传递过程中状态不确定性的影响,隐性知识在知识接收方接收时是不确定的,即隐性知识转移具有拓扑混合性,从局部看,隐形知识转移过程是不稳定的,转移过程类似于一个未知的“黑箱”;从整体上分析隐性知识转移规律,即通过“黑箱”的输入和输出分析未知的转移过程,其又具有稳定性并表现出混沌特征。
另一方面,在相互作用层面上两个主体间的内隐性作用力与两个主体隐性知识存量成正比,与两个主体间距离成反比。这是因为距离越远,阻力越大,两个知识主体间的知识作用也越弱。在知识存储方面,隐性知识可以作为一种内隐性存在存储于主体中;在转移流向方面,与显性知识不同,隐性知识不会单向地从高知识存量主体转移至低知识存量主体,其转移过程更多是一种经验的表达与反馈,表现为隐性知识在两个主体间交流互动,是一个双向转移过程。电荷与隐性知识的类比分析见表1。
表1 电荷与隐性知识类比分析
Table 1 Analog analysis of charge and tacit knowledge
电荷隐性知识相互作用与电荷量成正比,与两点距离成反比与知识存量成正比,与两个主体间距离成反比存储状态存储在电容器中存储在主体中转移流向交流电中电荷转移方向有规律地变化在两个主体间交流互动、双向转移
基于冯斯波(2003)、魏钢焰(2007)、韩蓉(2013)、吴小桔(2017)等的研究以及隐性知识转移过程的隐喻分析,可知隐性知识转移过程与显性知识转移过程存在显著不同。隐性知识转移过程中存在大量的自我迭代、正负反馈以及循环因果等非线性过程,即隐性知识转移过程是一个表达与反馈相结合的双向转移过程。构建蔡氏混沌隐性知识转移模型旨在对隐性知识转移过程进行更形象的仿真研究。基于隐性知识的隐喻分析,提出构建蔡氏混沌隐性知识转移模型的前提条件:①两个隐性知识主体的隐性知识存量存在显著差异;②隐性知识在知识主体间的转移受到转移阻力的影响;③隐性知识在知识主体间的转移过程受到固定干扰和随机干扰的影响。
两个主体间的内隐性作用力与两个主体的隐性知识存量正相关,与两个主体间的距离负相关,这是因为距离越远,阻力越大,两个知识主体之间的相互作用也越弱。变量定义如表2所示。
表2 变量解释
Table 2 Variable interpretation
变量名称英文全称缩写两个主体间内隐性作用力大小Tacit Knowledge ForceTKF两个主体的隐性知识存量Tacit Knowledge StockTKS两个主体间距离Tacit Knowledge Subject DistanceTKSD
根据Coulomb定律的向量形式,结合隐性知识特点,本文构建隐性知识存储点TK1对隐性知识存储点TK2的作用力TKF的方程,如式(1)所示。
![]()
(1)
根据Kirchhoff定律,结合隐性知识双向非线性转移特征,构建蔡氏混沌隐性知识转移模型。其中,隐性知识存量(TKS)、隐性知识转移阻力(Tacit Knowledge Transfer Resistance简写为TKTR)关系满足方程(2)和方程(3)。

(3)
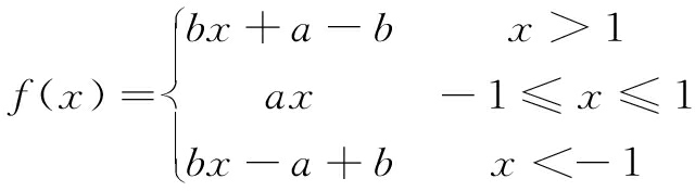
具体分析分段函数f(TKS1),其中,隐性知识转移随机扰动项(Tacit Knowledge Transfer Random Disturbance)的特性曲线具有分段函数特征,可以归纳为式(4)。

(4)
式中:FTKT表示隐性知识转移通量(Flux of Tacit Knowledge Transfer),即单位时间内转移的隐性知识量;TKSA表示隐性知识存储能力(Tacit Knowledge Storage Ability),即知识主体的隐性知识存储能力;TKTFD表示隐性知识转移的固定扰动(Tacit Knowledge Transfer Fixed Disturbance),即隐性知识在两个知识主体间转移时受到的固定干扰;TKTC表示隐性知识转移导通(Tacit Knowledge Transfer Conductance),即隐性知识转移阻力的倒数;TKLD表示隐性知识动势(Tacit Knowledge Level Difference),即隐性知识转移过程中克服转移阻力的趋势。
为了实现无量纲化,作如式(5)所示的变量代换。

(5)
无量纲处理后的蔡氏混沌隐性知识转移模型方程如式(6)(7)所示。

(6)
其中,

(7)
观察式(2)—式(4),不难发现,隐性知识蔡氏混沌隐性知识转移模型的非线性项实质是一个分段函数,因此可将蔡氏混沌隐性知识转移模型划分成一组独立的仿射区域即可进行仿射变换(Affine Transformation)。仿射变换(又称仿射映射)是指在几何中对一个向量空间进行一次线性变换并进行一个平移,变换为另一个向量空间。
将无量纲处理后的蔡氏混沌隐性知识转移模型转换为线性矩阵形式,当蔡氏混沌隐性知识转移模型平移时如式(8)所示。

(8)
分段函数式(7)可表示为:
![]()
(9)
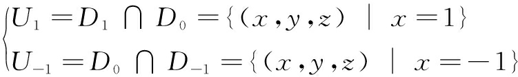
利用式(8)和式(9),将蔡氏混沌隐性知识转移模型分解成3个不同的仿射区域(D1、D0、D-1),如式(10)所示。

(10)
在这个三维空间中划分出一个仿射区域与另一个仿射区域的平面,为由x=1分割D1与D0的平面U1和由x=-1分割D0与D-1的平面U-1。
![]()
(11)
获得平衡点的方程组,如式(12)所示。

(12)
在3个仿射区域D1、D0、D-1中,蔡氏混沌隐性知识转移模型都有唯一的平衡点P+,0,P-,即可设:

(13)
其中,![]()
(14)
再令K=(k,0,-k)T,可将式(8)中的X矩阵改写为如下形式:

(15)
将式(6)无量纲处理后,蔡氏混沌隐性知识转移方程在平衡点处线性化,得到如式(16)所示的Jacobi矩阵。

(16)
其中,在仿射区域D0中(即|x|≤1时)c=a,而在仿射区域D1与D-1中(即|x|≤1时)c=b。
显然,Jacobi矩阵的特征方程为:
f(λ)=|λE-J|=βα(1+c)+(β+αc)λ+[1+α(1+c)]λ2+λ3
(17)
根据Routh-Hurwitz Crierion判据,当式(17)满足时,即可设:
![]()
(18)
3个仿射区域中,J特征值的实部为负,此时平衡点渐进稳定,隐性知识转移过程不发生振荡。若保证ab<0,P+、P-存在且位于对应的D1∪ D-1中,当a、b中的一个参数发生变化时,平衡点性质就会改变。当平衡点由稳定变成不稳定且在平衡点附近出现极限环时,即发生了Hopf分岔,此时隐性知识转移过程的参数α、β、c满足以下条件:
![]()
(19)
在非线性动力学层面上分析隐性知识转移过程,从相空间角度分析问题,耗散系统的一个重要特征就是在系统演化过程中出现体积收缩。蔡氏混沌隐性知识转移流的散度为:
![]()
(20)
Lyapunov指数是判断系统混沌现象的最常见方法。它能够定量描述动力系统在相空间中相邻轨道的发散程度。若动力系统在一定区域内的第1个Lyapunov指数λ1>0,则动力系统在这个区域内就会出现混沌现象,并且对初值敏感。蔡氏混沌隐性知识转移的Lyapunov维数为:
![]()
(21)
知识主体间的隐性知识转移,不仅是一个隐性知识传递过程,而且是不同隐性知识之间相互融合、升级乃至产生新隐性知识的过程。知识流动过程的动态性、复杂性决定了其效果受到多种因素影响,准确识别知识流动影响因素有助于及时趋利避害,不断提升知识流动的稳定性和可持续性[39]。知识发出方的转移意愿、转化能力、知识接收方的吸收意愿都会影响隐性知识转移绩效[40]。隐性知识转移的主体因素包括输出方转移意愿、输出方转化能力、接收方吸收动机、合作信任强度和互动交流程度等。转移意愿是指知识发出方转移隐性知识的动机,转移意愿的强烈程度代表了知识主体是否愿意消耗更多金钱、时间和精力等资源来进行隐性知识转移(李南,王晓蓉,2013)。当隐性知识转移回报大于成本时,有助于进行知识转移。知识发出方的转移意识越强烈,其对隐性知转移就越有利[41-42]。在转移能力方面:隐性知识往往是主观经验或心得体会,难以表达和编码,知识发出方的隐性知识转移能力会影响隐性知识转移效果[43]。隐性知识接收意愿是指知识接收方学习新知识的动机,缺乏知识接收意愿会导致错误接收、虚假接收、消极怠工甚至直接拒绝接收隐性知识。接收方接收意愿越强烈,隐性知识转移效果越好[15],并且积极自主的学习态度有助于激发知识接收方主动探索、积极思考,拓展接收到的隐性知识深度和宽度,从而获得良好的隐性知识转移效果[42]。合作信任程度是隐性知识转移的前提,信任有利于隐性知识转移和流动,进而形成隐性知识转移的良性循环,即知识主体双方信任度被认为是促成知识转移的重要因素。互动交流程度方面,长时间面对面交流或者长时间面对面工作及学习,易于融会贯通其他知识主体的文化、语言和习惯,也更易于理解其他知识主体的隐性知识表达形式,有利于隐性知识转移[40]。隐性知识输出方转移意愿、输出方转化能力、接收方吸收动机、合作信任强度和互动交流程度对隐性知识转移均有正向影响。
隐性知识转移过程中不可避免地会出现噪声和干扰,因此需要对隐性知识进行确认、解释和反馈,才能保证隐性知识被准确、完整地理解、吸收和转移[15]。隐性知识转移的客体因素包括:隐性知识复杂特性和主体间文化差异程度等。隐性知识内隐于个体意识中,具有极强复杂性。通常情况下隐性知识越隐晦、越复杂,越会阻碍知识主体对隐性知识的发出和接收,即转移越难。因此,隐性知识的复杂性会影响隐性知识转移绩效[43]。文化差异是指知识主体双方核心价值和理念的相差度。每个知识主体都具有自己的文化背景和知识结构,形成的隐性知识体系也不相同。如果隐性知识转移发生在文化背景相似的知识主体之间,二者的价值观和行为容易得到相互认同,隐性知识转移就更容易发生;如果参与隐性知识转移的知识主体的文化背景相差过大,则容易导致文化误解和冲突,阻碍知识主体间的隐性知识转移[43]。由此可见,隐性知识复杂特性和主体间文化差异对隐性知识转移有反向影响。
综上,本文将隐性知识转移过程中的影响因素分为三大类,即对应主体因素的隐性知识转移阻力(TKTR)、对应客体因素的隐性知识转移固定扰动(TKTFD)和对应其它因素的隐性知识转移随机扰动(TKTRD),具体组成见表3。
表3 隐性知识转移影响因素
Table 3 Influencing factors of tacit knowledge transfer
定义变量组成要素方向符号隐性知识转移阻力(TKTR)输出方转移意愿输出方转移能力接收方吸收动机合作信任强度互动交流程度负向负向负向负向负向RwiRabRmoRtrRco隐性知识转移固定扰动(TKTFD)知识复杂程度文化差异程度正向正向DcoDcu隐性知识转移随机扰动(TKTRD)其它不确定性因素——
将表3隐性知识转移影响因素中的隐性知识转移阻力(TKTR)写成函数表达式,即本文构建的隐性知识转移阻力模型。
TKTR=ε∑e-(Rwi,Rab,Rmo,Rtr,Rco)
(22)
其中,ε为放大系数,取为103,影响因素Rwi、Rab、Rmo、Rtr、Rco∈(0,+∞)。
隐性知识在主体Φ与主体Ω之间受隐性知识转移阻力(TKTR)的影响,隐性知识转移固定扰动(TKTFD)与隐性知识转移随机扰动(TKTRD)之间的混沌转移模型如图1所示。
图1 蔡氏混沌隐性知识转移模型
Fig.1 Chua's chaotic tacit knowledge transfer model
影响隐性知识转移的因素有三类,即隐性知识转移阻力(TKTR)、隐性知识转移固定扰动(TKTFD)和隐性知识转移随机扰动(TKTRD)。隐性知识转移阻力(TKTR)是关键因素,由输出方转移意愿、输出方转移能力、接收方吸收动机、合作信任强度、互动交流程度5个要素组成。主体间行为与关系显著影响隐性知识转移效果。隐性知识转移固定扰动(TKTFD)和隐性知识转移随机扰动(TKTR)通过间接的外部作用影响主体间隐性知识转移。任何因素的微小变化都可能对隐性知识转移系统产生较大影响,这也是混沌的特征之一即初始条件敏感性。
本文设定主体Ω的隐性知识存量与主体Φ的知识存量存在明显差异,即至少相差一个数量级[44],通常是10倍的差异[45],此处取值为TKSΦ=10,TKSΩ=100。隐性知识转移固定扰动(TKTFD)取固定值,在非线性物理学中蔡氏混沌现象产生通常取值15~20之间[46],这里选定平均值并向上取整为TKTFD=18;知识转移随机扰动(TKTRD)随时间变化,无需进行参数设定。通过研究输出方转移意愿、输出方转移能力、接收方吸收动机、合作信任强度、互动交流程度变化的共同作用即隐性知识转移阻力(TKTR)变化对隐性知识转移系统的影响,TKTR的取值范围等同于式(22)的取值范围。知识主体关系可分为竞争与合作,两种关系相对强弱程度的变化以及不同组合又会形成多种知识主体关系。本文将两个知识主体之间合作与竞争平衡关系的取值范围设定为1~1.2。当取值大于1.2时,为合作占据主导位置即合作大于竞争,数值越大表示合作性关系越显著、竞争性关系越弱;当取值达到正无穷时,两个知识主体之间将形成极具理想化的主体关系即兼并重组为一个主体;当取值在0.8~1时,竞争占据主导位置即竞争大于合作,此时数值越小表示竞争性关系越显著而合作性关系越弱;当取值小于0.8时,即认为两个知识主体间只存在竞争而不存在合作,形成一种完全敌对的关系。将输出方转移意愿、输出方转移能力、接收方吸收动机、合作信任强度、互动交流程度的适值[1,1.2)设定为主体之间为合作竞争关系,即主体间处于合作竞争平衡状态点。若知识主体间竞争加剧、合作减弱,则数值落于较低的取值范围[0.8,1)并对应竞争关系;若知识主体间合作加强、竞争减弱,则数值提高到较高的取值范围[1.2,+∞)并对应合作伙伴关系。同时,本文也讨论了取值范围为(0,0.8)和趋于正无穷的情况,它们分别对应主体间完全竞争和完全合作。针对蔡氏混沌隐性知识转移模型,使用Multisim14.0软件进行仿真,带入取值范围并根据方程(2)、方程(6)、方程(19)和方程(22),可分别得到如下仿真结果。
3.2.1 隐性知识转移全阻力类型
当Rwi、Rab、Rmo、Rtr、Rco∈(0,0.8)时,两个隐性知识转移主体间存在完全竞争关系,属于单一态情形。此时由于阻力过大,两个主体间的隐性知识转移路径被完全切断。在知识转移过程中,输出方转移意愿极弱、转移能力极低,接收方吸收动机也极弱,合作信任强度极低,互动交流程度也极低。将5个阻力因素的极低取值范围代入式(22),运算可得隐性知识转移阻力趋于极高的取值范围,即TKTR∈(2 245,5 000)。在知识主体Φ与知识主体Ω之间,因隐性知识无法继续转移而呈现停滞状态,如图2所示。在停滞型情景下知识主体间对应为敌对关系,不进行隐性知识转移[47]。
图2 隐性知识转移全阻力类型
Fig.2 Total resistance type of tacit knowledge transfer
3.2.2 隐性知识转移高阻力类型
当Rwi、Rab、Rmo、Rtr、Rco∈[0.8,1)时,两个隐性知识转移主体间处于竞争对手关系,属于阵发混沌态情形。在两个主体的知识转移过程中,输出方转移意愿较弱、转移能力适中,接收方吸收动机较弱,双方的合作信任强度较低,互动交流程度也较低。将5个阻力因素较低的取值范围代入式(22),运算可得隐性知识转移阻力较高的取值范围,即TKTR∈(1 840,2 245]。主体Φ与主体Ω之间的转移路径发生Hopf分岔,呈现为单涡旋洛斯勒吸引子形式,如图3所示。
图3 隐性知识转移高阻力类型
Fig.3 High resistance type of tacit knowledge transfer
在洛斯勒吸引子型情境下,两个主体间的竞争关系明显强于合作关系,隐性知识转移效果不佳。作为隐性知识转移主体,首先考虑的是努力在混沌态中寻求新路径,实现由高隐性知识转移阻力到低隐性知识转移阻力的情景转换,即将主体关系调整为合作关系大于或等于竞争关系。若无法进行由高隐性知识转移阻力到低隐性知识转移阻力的情景转换,该主体可在能力范围内提高隐性知识的传递质量与传递价值,使得主体间隐性知识转移效果得到提升。事实上,合理的利益分配与激励是知识主体双方进行隐性知识转移和共享的主观驱动力。设计一个兼顾知识主体独特性与未来业绩的短期薪酬激励和长期股权激励方案,有助于驱动知识主体间的隐性知识转移[48]。公平合理的利益分配有助于从外部激发知识主体的隐性知识转移意愿,进而促进隐性知识转移。
3.2.3 隐性知识转移中阻力类型
当Rwi、Rab、Rmo、Rtr、Rco∈[1,1.2)时,两个隐性知识转移主体处于合作竞争关系中,属于混沌双吸引子态情形。在两个主体的知识转移过程中,输出方转移意愿适中、转移能力适中,接收方吸收动机适中,双方合作信任强度适中、互动交流程度适中。将5个阻力因素的适中取值范围代入式(22),运算可得隐性知识转移阻力的适中取值范围,即TKTR∈(1 505,1 840]。此时,知识主体Φ与知识主体Ω间的转移路径呈现为混沌状态中的双吸引子形式,可以理解为乱中有序状态,如图4所示。
图4 隐性知识转移中阻力类型
Fig.4 Resistance type in tacit knowledge transfer
在双吸引子型情景下,两个主体间的合作关系略强于竞争关系,处于一种乱中有序状态,隐性知识也可较为流畅地在两个主体间转移。在此情景下知识主体间保持稳定和信任是关键,这是在混沌与有序状态中实现隐性知识转移的前提。隐性知识通过不同主体间的沟通和互动形成知识转移与扩散,是一个反复且螺旋上升的过程[49]。事实上,基于混沌理论中的正反馈(Positive Feedback)与负反馈(Negative Feedback)机制实现混沌同步(Chaos Synchronization)及混沌控制(Control of Chaos),这是促进混沌与有序结合的关键方法之一。在企业管理实践中,通常采用正激励或负激励手段对战略协同系统进行调节。通过适当调整和混沌控制,双吸引子型隐性知识转移模型也可成为较为高效高质的隐性知识转移模型。
3.2.4 隐性知识转移低阻力类型
当Rwi、Rab、Rmo、Rtr、Rco∈[1.2,+∞)时,两个隐性知识转移主体处于合作伙伴关系,并属于周期态情形。在两个主体间的知识转移过程中,输出方转移意愿较强、转移能力较高,接收方吸收动机较强,因此合作信任强度较高、互动交流程度也较高。将5个阻力因素的较高取值范围代入式(22),运算可得隐性知识转移阻力的较低取值范围,即TKTR∈(0,1 505]。可以看到,为了克服阻力作用,在固定扰动和随机扰动的影响下,隐性知识转移路径发生弯曲和分离。此时,因隐性知识转移阻力较小,主体Φ与主体Ω之间的转移路径呈现为极限环形式,如图5所示。
图5 隐性知识转移低阻力类型
Fig.5 Low resistance type of tacit knowledge transfer
在极限环型情景下,两个主体间的合作关系强于竞争关系,这也是比较常见的主体关系。两个主体间隐性知识转移路径的弯曲和分离呈现出非线性的复杂形态。知识主体可以通过增强连接关系来应对这种情景,如知识发出方可以在隐性知识转移前进行准备工作,降低隐性知识复杂程度以便于接收方理解,调整隐性知识转移阻力到合理范围内以提高隐性知识转移效果。同时,在知识主体间营造良好的共享氛围、提高双方信任度,有利于增强双方隐性知识共享意愿,形成稳定的合作关系,进一步提高隐性知识共享协同增效价值(苏佳坤等,2020)。知识主体还可以通过举办产品展览会或知识交流分享会促进了解、增加信任,也可通过举办相关参观与知识竞赛活动,推动知识主体内部形成良好的学习氛围。知识主体双方可以通过建立更多的面对面交流平台提高主体间交流频度,利用在线会议推动知识共享服务线上平台建设[50]。知识主体通过建立学习型组织以及搭建更为便捷高效的交流平台,将隐性知识转移阻力调整至合理范围内,促进隐性知识转移效果提高。
3.2.5 隐性知识转移零阻力类型
当Rwi、Rab、Rmo、Rtr、Rco→∞时,两个隐性知识转移主体间处于完全合作关系,甚至可兼并重组为一个知识主体,属于单一态情形。在两个主体的知识转移过程中,输出方转移意愿极强、转移能力极高,接收方吸收动机极强,因此合作信任强度极高,互动交流程度也极高,5个阻力因素的取值均趋于正无穷,且隐性知识转移阻力趋于零,即TKTR→0。隐性知识在主体Φ与主体Ω之间的转移路径极为顺畅,呈现为直线型转移方式,如图6所示。
图6 隐性知识转移零阻力类型
Fig.6 Zero-resistance type of tacit knowledge transfer
在直线型情景下,两个主体只存在合作关系、不存在竞争关系。在无其它因素干扰的情形下,这是理想化的主体关系,两个主体间的隐性知识转移极为流畅即呈现线性形态,但因为这种情景过于理想化,在现实中极为罕见。
本文在总结其他学者研究的基础上,结合混沌理论,构建了蔡氏混沌隐性知识转移模型,并通过Multisim14.0软件进行仿真分析,探究了两个知识主体间输出方转移意愿、输出方转移能力、接收方吸收动机、合作信任强度、互动交流程度变化即隐性知识转移阻力变化对转移效果的影响。得出以下结论:首先,隐性知识在两个主体间转移会显著受到阻力的影响,微小的阻力变化有可能带来隐性知识转移类型的巨大变化,这也是混沌的特征之一,即系统整体对初始值极为敏感。在使用Multism14.0进行可视化仿真后,观察发现,随着输出方转移意愿、输出方转移能力、接收方吸收动机、合作信任强度、互动交流程度的变化(转移阻力TKTR的变化),隐性知识转移呈现出隐性知识转移全阻力类型、隐性知识转移高阻力类型、隐性知识转移中阻力类型、隐性知识转移低阻力类型、隐性知识转移零阻力类型5种类型。知识主体双方可以从内外部激励、营造学习型组织文化氛围、构建面对面交流平台方面调整隐性知识转移阻力,提高隐性知识转移效果。
在现实汽车制造业中,有两家公司的发展历程较为符合蔡氏混沌隐性知识转移模型,即J公司与L公司,它们分别在20世纪20年代和20世纪40年代创立于英国。通常汽车由发动机、底盘、车身和电气设备4个基本部分组成,其中,发动机、底盘和电气设备三部分属于显性知识,而车身外观设计和内饰设计属于隐性知识。
第一,自公司创立至1990年,为隐形知识转移全阻力类型阶段,在此期间,两家公司属于完全竞争关系,公司间隐性知识转移意愿极小、转移能力极低、吸收动机极弱,因此合作信任强度极低,互动交流程度也极低,几乎没有显性知识转移,更不用说隐性知识转移。
第二,1990-2000年为隐性知识转移高阻力类型阶段。J公司于20世纪90年代被美国F集团收购,成为F集团的子公司,而L公司被德国B集团收购,成为B集团的子公司,因F集团与B集团有少量技术合作,J公司与L公司处于竞争对手关系(竞争大于合作),即J公司与L公司之间隐性知识转移意愿较弱,转移能力适中,吸收动机较弱,合作信任强度较低,互动交流程度也较低。此时,J公司与L公司之间隐性知识转移效果较差,只有底盘部分技术作为显性知识转移,车身设计等隐性知识转移较少,转移效果较差。十年间J公司从未盈利,并陷入财务危机。
第三,2000—2008年为隐性知识转移中阻力类型阶段。21世纪初L公司被德国B集团出售给美国F集团,此时J公司与L公司同属美国F集团,在F集团的指示下二者在英国考文垂设立联合工程中心,共享技术研发成果,共同设计新发动机。在此期间,J公司与L公司处于合作竞争关系(竞争与合作平衡),J公司与L公司之间隐性知识转移意愿也适中,转移能力适中,吸收动机适中,合作信任强度适中,互动交流程度适中,隐性知识能较为流畅地在J公司与L公司之间进行转移。2005年,L公司使用与J联合研发的 J-V8发动机取代了原B集团的M62 V8发动机。在J公司与L公司联合研发发动机过程中,由于底盘相关制造零部件通用,使得制造成本下降,同时,在车身内饰与外观设计等方面也有相关交流,即发生隐性知识转移,伴随而来的是,J公司与L公司销量提升,并在2007年突破400万辆。
第四,2008—2013年为隐性知识转移低阻力类型阶段。2008年,J公司与L公司同时被美国F集团出售给印度T集团,J公司与L公司属于合作伙伴关系,此时J公司与L公司之间的隐性知识转移意愿较强,转移能力较高,吸收动机较强,合作信任度较高,互动交流程度也较高,J公司与L公司之间的隐形知识转移非常流畅,并在发动机技术、底盘技术结构和电子设备等方面完全共享技术,在车身外部设计和内饰设计等隐性知识方面也具有较高相似性。此时,J公司与L公司销量进一步提升。
第五,2013年至今,为隐性知识转移零阻力类型阶段。2013年,J公司与L公司合并为JLR公司并完全共享技术与设计师。J公司与L公司属于完全合作关系(合并为同一公司),J公司与L公司之间隐性知识转移意愿极强,转移能力极高,吸收动机极强,合作信任强度极高,互动交流程度也极高。J公司与L公司之间的隐性知识转移极为流畅,呈现线性关系。在汽车四大基本组成部分,即发动机、底盘、车身和电气设备方面实现了完全共享(例如两公司全系车型都有装配相同的PT204和PT306发动机),在车身外观设计和内饰设计等隐性知识方面(例如旋转升降式档把)进行了知识转移,设计成本进一步降低。在此期间,J公司与L公司拿到英国政府和皇室的大量团体订单,销量进一步提高,公司发展前景光明。J公司与L公司从创立之初的完全对立,到成为竞争对手,再到合作竞争、成为合作伙伴,最后合并为一个公司,诠释了本研究中蔡氏隐性知识转移模型中的五大类型,即隐性知识转移全阻力类型、隐性知识转移高阻力类型、隐性知识转移中阻力类型、隐性知识转移低阻力类型、隐性知识转移零阻力类型,也充分证明了隐性知识高效转移对企业发展的重要性。
本文的贡献之处在于:隐性知识转移过程与显性知识转移过程存在显著不同,其中,隐性知识转移过程是一个表达与反馈相结合的两个主体间相互交流、相互启发、相互提升的双向转移过程。相较于传统的知识转移模型,具有自我迭代、正负反馈等显著非线性特征的蔡氏混沌模型更为适合研究隐性知识转移过程。本文通过构建具有非线性特征的蔡氏混沌隐性知识转移模型,填补了现有文献中传统线性知识转移模型不适用于研究兼有表达与反馈且双向交互隐性知识特征的转移活动的不足,为研究隐性知识转移提供了新思路。本文的不足之处在于没有选择实例进行实证研究,未来将进一步予以完善。
[1] 陈怀超, 卢彦丞, 丛贞, 等. 知识型服务企业员工与客户隐性知识共享的系统动力学研究[J]. 管理评论, 2020, 32(2): 127-138.
[2] SIEMENS W, SCHWARZER G, ROHE M S, et al. Reply to letter to the editor by Peters: knowledge transfer is the key[J].Journal of Clinical Epidemiology, 2021, 138(1): 235-236.
[3] BABIC T, MUSA Z. Knowledge transfer through recognition and implementation of the transformational team member Role[C]//2021 44th International Convention on Information, Communication and Electronic Technology (MIPRO). Opatija: IEEE, 2021: 765-770.
[4] DENNIS A, MICHAEL W, JOHN H. A process model of tacit knowledge transfer between sales and marketing[J].Industrial Marketing Management, 2021, 93(1): 259-269.
[5] NARENDRA U P, PRADEEP B S, PRABHAKAR M. Externalization of tacit knowledge in a knowledge management system using chat bots[C].//2017 3rd International Conference on Science in Information Technology (ICSI Tech). Bengaluru: Institute of Electrical and Electronics Engineers Inc, 2017: 613-617.
[6] ZHANG J H, YE J W, LI F F. Research on multi-case induced adaptation of explicit cases of tacit knowledge[J].Information Studies: Theory &Application, 2020,43(1): 98-103.
[7] 金胜勇, 杜坤. 基于过程分解的隐性知识转移影响因素分析[J].情报理论与实践, 2012, 35(4): 21-24.
[8] 施琴芬, 崔志明, 梁凯. 隐性知识转移的特征与模式分析[J].自然辩证法研究, 2004,20(2): 62-64,68.
[9] 高鹏, 安立仁. 隐性知识存在性表征及其传递过程模型[J].科研管理, 2015, 36(11): 131-138.
[10] RUMANTI A A, SAMADHI T M A A, WIRATMADJA I I. Impact of tacit and explicit knowledge on knowledge sharing at Indonesian small and medium enterprise[C].//2016 IEEE International Conference on Industrial Engineering and Engineering Management (IEEM). Bali: IEEE, 2016: 11-15.
[11] PERRONOSKI F L J. Managing peer-to-peer cooperation using knowledge-based trust and encouraging the willingness to share tacit knowledge[J].Open Journal of Business and Management, 2021, 9(3): 1246-1262.
[12] 晏自翔, 卞艺杰. 隐性知识转移匹配性分析及对策研究[J].情报理论与实践, 2017, 40(3): 48-52,59.
[13] HSSEINOIUN S, ABDULLAH R, JUSOH Y Y, et al. Information system success and knowledge grid integration in facilitating knowledge sharing among big data community[C]//2018 Fourth International Conference on Information Retrieval and Knowledge Management (CAMP). Kota Kinabalu: IEEE, 2018: 1-5.
[14] CHRISTIAN S, CONSTANCE H, GIANMARIO V. Transferring knowledge by transferring individuals: innovative technology use and organizational performance in multiunit firms[J].Organization Science, 2021, 33(1): 253-274.
[15] 蒋永康, 梅强. 基于鱼骨图和层次分析法的知识转移粘滞影响因素研究[J].科技管理研究, 2021, 41(10): 169-177.
[16] 张建华, 李方方, 刘艺琳,等. 融合TWD与FRS的隐性知识转移研究[J].计算机科学与探索, 2021, 16(1): 1-10.
[17] 任旭, 刘佳. 魅力型领导对项目团队内知识转移影响研究[J].科研管理, 2021, 42(6): 150-158.
[18] SUZUKI S, TAKEDA S, TANIDA R, et al. Knowledge transferred fine-tuning for anti-aliased convolutional neural network in data-limited situation[C]//2021 IEEE International Conference on Image Processing. Anchorage: IEEE, 2021: 864-868.
[19] NGUYEN L T, LEE K, SHIM B. Stochasticity and skip connection improve knowledge transfer[C]//2020 28th European Signal Processing Conference (EUSIPCO). Amsterdam: IEEE, 2021: 1537-1541.
[20] MARINHO A J, COUTO J. BIM's contribution to tacit knowledge sharing in construction projects-a systematic review[C]//2021 16th Iberian Conference on Information Systems and Technologies (CISTI). Chaves: IEEE, 2021: 1-7.
[21] CHUGH M, BHADORIA. R S. Analysis of the Indian IT sector-investigating the role of technology for software process improvement through knowledge management[C]//2021 10th IEEE International Conference on Communication Systems and Network Technologies (CSNT). Bhopal: IEEE, 2021: 815-820.
[22] COSTA C, PERES P. A model for knowledge management in the e-learning and innovation unit on the polytechnic of porto[C]//2021 16th Iberian Conference on Information Systems and Technologies (CISTI). Chaves: IEEE, 2021: 1-5.
[23] MOHAMED A W, ABUTARBOUSH H F, HADI A A, et al. Gaining-sharing knowledge based algorithm with adaptive parameters for engineering optimization[J].IEEE Access, 2021, 9(1): 65934-65946.
[24] KRULL E, SMITH P, HUSTED K. Knowledge sharing in road mapping: toward a multilevel explanation[J].IEEE Transactions on Engineering Management, 2022,69(1): 67-80.
[25] LUCA D, ALBERTO F, ARMANDO P, et al. The role of external embeddedness and knowledge management as antecedents of ambidexterity and performances in Italian SMEs[J].IEEE Transactions on Engineering Management, 2019, 68(2): 360-369.
[26] NAIR S R, PILLAI K G, DEMIRBAG M. Reaping benefits from knowledge transfer-the role of confidence in knowledge[J].Journal of Knowledge Management, 2021, 25(5): 1059-1080.
[27] WIRATMADJA I I, TAHIR N. Supplier development program through knowledge sharing effectiveness: a mentorship approach[J].IEEE Access, 2021, 9: 13464-13475.
[28] AHEDO V, SANTOS J I, GALAN J M. Knowledge transfer in commercial feature extraction for the retail store location problem[J].IEEE Access, 2021, 9: 132967-132979.
[29] ROY R, SARKAR S. Knowledge transfer in the precommercialization phase of a new industry: star scientists' (im) mobility in the presence of a potential lead user[J].IEEE Transactions on Engineering Management,2023,70(10):3373-3384.
[30] AGARWAL U A, ANANTATMULA V. Psychological safety effects on knowledge sharing in project teams[J].IEEE Transactions on Engineering Management,2023,70(11):3876-3886.
[31] NIKOLAOS P, MARIA T, ANASTASIOS T. Probabilistic knowledge transfer for lightweight deep representation learning[J].IEEE Transactions on Neural Networks and Learning Systems, 2020, 32(5): 2030-2039.
[32] POTLURI R M, ANJAM M. Knowledge transfer in UAE higher education institutions during Covid-19 pandemic: learners' cannot learn surgery by watching[C]//2021 2nd International Conference on Computation, Automation and Knowledge Management (ICCAKM). Dubai: IEEE, 2021: 25-30.
[33] SAMOILA C, URSUTIU D. Correlations determined by remote experiment used for knowledge transfer[J].IEEE Transactions on Education, 2021, 64(23): 18-23.
[34] LAKOFF G, JOHNSON M. Metaphors we live by[M].Chicago: University of Chicago press, 1980: 10.
[35] 黄华新. 认知科学视域中隐喻的表达与理解[J].中国社会科学, 2020,41(5): 48-64,205.
[36] MADAN, RABINDER N. Chua's circuit: a paradigm for chaos[M].River Edge: World Scientific Publishing Company, 1993.
[37] MATSUMOTO, TAKASHI. A chaotic attractor from chua's circuit[J].IEEE Transactions on Circuits and Systems, 1984, 31(12): 1055-1058.
[38] 吴小桔, 吴洁, 李鹏, 等. 产业联盟企业知识转移博弈分析[J].统计与决策, 2017,33(4): 180-183.
[39] 董坤, 许海云, 崔斌. 知识流动研究述评[J].情报学报, 2020, 39(10): 1120-1132.
[40] 刘春艳. 创意团队隐性知识转移绩效影响因素的实证研究[J].数理统计与管理, 2016, 35(3): 391-402.
[41] 严贝妮, 李宇佳. 基于认知结构的图书馆隐性知识转移研究[J].情报理论与实践, 2015, 38(10): 89-94.
[42] 卢艳秋, 孙丹丹, 赵彬. 代际知识转移的关键影响因素识别研究[J].情报科学, 2020, 38(10): 90-96.
[43] 张向先, 李昆, 郭顺利. 企业研发团队隐性知识转移绩效的影响因素及实证研究——基于知识生态的视角[J].情报理论与实践, 2016, 39(10): 57-64.
[44] HARDY G H, WRIGHT E M. An introduction to the theory of numbers[M].Oxford: Clarendon Press, 1979.
[45] JEFFREYS H, JEFFREYS B S. Methods of Mathematical Physics[M].Cambridge: Cambridge University Press, 1988.
[46] 包伯成. 混沌电路导论[M].北京: 科学出版社, 2013.
[47] 王向阳, 郗玉娟, 谢静思. 基于区域创新系统的知识转移模型研究[J].图书情报工作, 2017, 61(17): 13-20.
[48] 李春发, 赵乐生. 激励机制影响新创企业知识转移的系统动力学分析[J].科技进步与对策, 2017, 34(13): 128-135.
[49] 马鸿佳, 宋春华, 毕强. 基于创业生态系统的多层级知识转移模型研究[J].图书情报工作, 2016, 60(14): 16-23.
[50] 张紫璇, 陈怀超, 吕妍妍. 知识异质性对集群企业知识共享绩效的影响研究——有中介的调节模型[J].软科学, 2021, 35(10): 79-84.