This paper constructs a resilience governance research framework for global talent hubs and innovation centers, incorporating diversity, adaptability, mobility, and buffering capacity, by comparing the evolution of these hubs from the perspectives of innovation ecosystems and resilience. Additionally, it develops a resilience monitoring, prediction, and early warning system for these global talent hubs and innovation centers. The core cities of Beijing, Shanghai, and Guangzhou within the Greater Bay Area are chosen as the research subjects.Using methods such as literature research, comparative analysis, and systems analysis, this study analyzes the resilience exhibited by government, businesses, universities, and intermediary organizations in the governance of strategic pivot cities. It also examines the existing challenges and reasons based on the current development status and proposed countermeasures.The research findings indicate that while resilience governance in strategic pivot cities, as a new approach to urban risk management, has shown effectiveness, it still faces challenges in terms of diversity, adaptability, mobility, and buffering capacity. Further exploration in this area is warranted.
This paper provides a comprehensive and scientifically grounded approach to realizing China's development strategy of constructing world-class talent and innovation hubs through resilience monitoring, prediction, and early warning in the three major strategic focal cities of Beijing, Shanghai, and Guangzhou. It extends its scope from the city level to regional, and further to the national level, advocating for integrated governance of these strategic focal cities, thus offering practical insights into China's ambition to establish itself as a world-class hub for talent and innovation. Key recommendations include the establishment of a comprehensive policy framework using a "government + market" model, which aims to stimulate social participation in innovation and entrepreneurship activities and facilitate the free flow of technological resources across regions. For example, active promotion of collaboration between research institutions and enterprises, encouragement of knowledge, resource, and technology sharing, as well as driving innovation and technological progress, are crucial elements. Moreover, talent diversity and collaboration with universities, as indicated by the results of the resilience monitoring system's weighting, are set to become essential resources for the normal development of strategic focal cities in China's strategy of constructing world-class talent centers and innovation hubs. The normalization and dynamic monitoring of governance in these cities are vital safeguards for the sustainable development of China's world-class talent centers and innovation hubs.In summary, this research provides valuable insights and practical guidance for the realization of China's strategy to establish world-class talent centers and innovation hubs. It emphasizes the importance of resilience monitoring and governance, advocating for a holistic approach, from city to region, and ultimately at the national level.
建设世界重要人才中心和创新高地承载着中华民族复兴的重任。中共二十大报告指出,要加快建设世界重要人才中心和创新高地,深入实施科教兴国战略、人才强国战略和创新驱动发展战略,为2035年基本实现社会主义现代化打造人才基础,为2050年全面建成社会主义现代化强国提供人才支撑。萧鸣政[1]认为,人才高地表现为人才数量的高度聚集,是人才产出与人才发展环境高度匹配的核心区域;薄贵利[2]提出,世界级人才高地是指汇聚了一大批世界级创新创业人才,能够在世界新一轮科技革命、产业变革中引领和紧跟世界潮流、带动国家产业结构转型升级的人才密集区。世界重要人才中心和创新高地是全世界人才汇聚之地,尤其是世界级顶尖创新人才的聚集地,汇聚前沿性、原创性、颠覆性的世界级重大创新成果,在世界科技革命与产业转型升级中发挥关键性作用的特定区域。当前,全球正处于快速发展的新科技革命和产业变革时期,中国面临历史上罕见的机遇和严峻的挑战。2019年2月,中共中央、国务院发布的《粤港澳大湾区发展规划纲要》提出人才高地建设问题[3],明确了粤港澳大湾区打造人才高地的目标和方向。《中华人民共和国国民经济和社会发展第十四个五年规划和2035年远景目标纲要》明确提出,要支持北京、上海和粤港澳大湾区打造国际科技创新中心[4]。因此,采用战略支点城市研究中国如何建设世界重要人才中心和创新高地非常重要,本文选择北京、上海以及粤港澳大湾区的核心城市广州作为研究对象,这些城市在未来发展中将发挥重要作用。深入研究这些城市的发展情况,可以了解它们在人才吸引、创新生态建设、产业发展等方面的优势和挑战,并为全国其它城市的发展提供经验和借鉴。
实现世界重要人才中心和创新高地战略支点城市良性演化的关键问题是面对大量外部资源聚集带来的不确定性冲击,如何预防和应对本地城市可能出现的不良效应,并恢复到平衡状态。韧性理论为解决这一问题提供了新视角,它可以通过“识别韧性特征→建立韧性监测和预警体系→针对性设置改进策略”等步骤,增强城市承受冲击的能力,调整和保持系统平衡功能,推动其演化。
本文旨在借鉴韧性研究路线,在世界重要人才中心和创新高地演化规律的基础上,通过世界重要人才中心和创新高地的韧性监测、预警体系提升城市韧性,提高三大战略支点城市对外来创新资源的吸引力与包容性,优化内部环境,为中国建设世界重要人才中心和创新高地保驾护航。本文试图回答下列几个问题:①中国打造世界重要人才中心和创新高地的韧性特征是什么?如何更有效地测量?②从当前国际发展趋势来看,影响中国建设世界重要人才中心和创新高地韧性的因素有哪些?
国际上关于“世界重要人才中心”“创新高地”等的概念表述不多,但对于世界科学中心等相关表述的研究较多,国内外学者从定性和定量两个层面展开了研究。在定性层面,Bernal[5]从科学与经济相互促进的角度,探讨了世界科学中心分布和迁移情况;赵红州[6]根据时间表整理了世界科学中心迁移规律。此外,有学者从历史路径、演化趋势与特征出发,识别世界科学中心的成因(陈玲等,2023)。在定量层面,汤浅光朝[7]采用科学成果数量揭示1501—1950年间世界科学中心转移趋势。一些学者结合国际期刊论文计量分析,对科学中心迁移和多重科学中心现象进行了鉴别与深入分析[8]。此外,高水平科学家流动也被用来反映世界科学活动中心的形成及其迁移活动(韩芳等,2023)。在研究世界科技中心形成机制时,学者们普遍认为它们的形成和迁移是多种影响因素综合作用的结果。潘教峰等[9]创新性地提出了一种模型,即“五要素钻石模型”,用来解释影响世界科技中心转移的关键因素。这一模型包括经济繁荣、思想解放、教育兴盛、政府有力支持以及科技革命等5个关键因素,它们共同塑造世界科技中心的形成和迁移过程。梳理上述研究方法和模型,有利于更好地理解世界重要人才中心和创新高地演化过程,以及各种因素相互作用的重要影响,它们会共同推动世界重要人才中心和创新高地变迁。
“韧性”一词源自拉丁文中的“resilio”,意为反弹,在物理学中用来描述材料在外力作用下变形后恢复到初始状态的能力[10]。后由生态学家Holling[11]将这一概念应用于生态学研究。随着韧性研究领域从生态学拓展至其它学科,韧性理论经历了“工程韧性→生态韧性→适应韧性→演化韧性”的发展历程[12-15]。目前,已有学者关注世界重要人才中心和创新高地,如世界重要人才中心和创新高地的标准与路径[1]、评价[16]、保障机制[17]等,但鲜有研究探讨世界重要人才中心和创新高地遭受外界事件冲击后的恢复程度及演化路径,即世界重要人才中心和创新高地的韧性。世界重要人才中心和创新高地的韧性与区域发展韧性密切相关[18],中国建设世界重要人才中心和创新高地参与了区域发展演化的复杂动态过程,因此,研究世界重要人才中心和创新高地的韧性应与一般性区域发展韧性相结合。一般性区域发展韧性研究主要集中在以下方面:①从韧性内涵上看,Brown等[19]认为,区域韧性内涵包括对“短期”冲击的响应、“长期”依赖效应的影响以及刺激持续冲击下的演化革新能力;②从韧性特征上看,Wildavsky[20]提出区域发展包括动态平衡、扁平化、缓冲性、冗余度、兼容性、流动性等韧性特征;③在研究方法方面,董莹等[21]以武汉市为例构建医疗卫生服务供给—需求网络,运用复杂网络分析方法探索区域发展的复杂性特征和空间韧性;④从韧性分析框架和监测方法上看,洛克菲勒基金会与奥雅纳认为,韧性指标体系包括社会与经济、基建设施与生态体系、健康与福祉、领导与决策,强调区域发展过程中城市间相互耦合所产生的社会意义,以及相互之间达到持续协同韧性的效果[22]。这些观点为中国建设世界重要人才中心和创新高地提供了新视角,也为评估世界重要人才中心和创新高地的韧性提供了新思路。
综上所述,目前国内外已有大量关于世界重要人才中心和创新高地的研究,人才创新思维和能力的培养对建设世界重要人才中心和创新高地具有重要意义。可以利用国外学者对韧性概念的研究,将个体韧性特征及监测运用到人才培养和管理中。在世界重要人才中心和创新高地风险预警方面,对于人才流动预警的研究已取得突破性进展,同时,还存在提升空间:①缺乏应对外部不确定风险的相关研究;②囿于数据获取等因素,大部分预警数据来自统计年鉴;③缺乏多个城市发展情况的横向对比,测度对象大多为某个单一城市。如何在内、外部双重作用下,切实推进中国打造世界重要人才中心和创新高地,需构建更科学有效的量化体系。本文将通过对韧性概念的分析,设计中国打造世界重要人才中心和创新高地的韧性监测指标体系及预警、预测模型,以期为我国三个最具代表性战略支点城市发展提供一定的决策依据。
韧性化理念的解释源于外部环境的冲击,对于冲击这一概念的内涵,学者们缺乏统一定义,并且有关定义侧重于经济冲击[23]、灾害冲击与突发事件(蒋硕亮等,2022),因此,需要重新界定冲击的概念。本文在赵玉帛等[24]研究的基础上,基于研究主题,对冲击进行定义:不受世界重要人才中心和创新高地自身支配,具有强烈不确定性、破坏力大等特点的要素(如金融危机等)。对冲击进行有效管理和应对是世界重要人才中心和创新高地建设过程中面临的主要挑战之一。基于区域创新生态系统中的韧性研究(梁林等,2020),本文认为世界重要人才中心和创新高地的韧性表现为系统面临冲击与不确定扰动风险时,通过自适应、自学习、系统记忆及其它途径恢复到较高层次功能的能力。从概念界定、影响主体要素方面,对世界重要人才中心和创新高地韧性进行梳理,具体分析如下:
(1)从韧性理论视角看,世界重要人才中心和创新高地韧性与区域发展韧性密切相关,韧性研究对象从一般性区域发展限定为世界重要人才中心和创新高地这一特殊类型,其内涵界定可依据区域发展韧性概念进行外延上的限制。Martin等[25]、Simmie等[26]指出,演化韧性关注系统内部结构和组成部分在外界变化下的不断调整,强调韧性是系统的适应和重构演化过程,这更符合区域发展系统的特征。区域发展韧性最初被定义为区域发展在短期面对市场、竞争和环境等冲击时的吸收能力、抵抗能力和恢复其增长路径的能力。此后,有学者从演化经济地理学视角,在定义中补充了区域进行结构转型能力提升、建立新的区域发展路径的长期能力[27]。因此,世界重要人才中心和创新高地韧性的定义可解构为区域发展过程中面对外界冲击的抵御能力、获得抵抗外界扰动的吸收能力以及与地方相互作用促进发展的重构与转型能力。这些能力可以帮助世界重要人才中心和创新高地在遭受外部冲击时作出积极应对。在现代社会情境中,社会资本、都市文化、外界主体等多重结构性力量与世界重要人才中心和创新高地的交互作用,影响着世界重要人才中心和创新高地的要素、结构与功能。同时,应对外界干扰的过程就是对自身进行调整并将外部影响转化为内源动力的过程。抵御能力经受着直接冲击与干扰;吸收能力承担着分散与消解冲击的任务;重构能力表征受冲击时体系内组织再造与内部优化能力;转型能力则意味着系统以自组织和自学习的方式、自适应向全新状态进化的能力。抵御能力、吸收能力、重构能力与转型能力这4种能力相互补充、相互促进,合力形成系统韧性。在R-PAT模型[28]的基础上,构建风险—韧性(R-PART)模型(如图1所示)。在应对外界环境变化的过程中,系统需要克服各种阻力并进行适应性调节以实现动态平衡,从而维持其稳定性。
    图1 世界重要人才中心和创新高地韧性能力解构
Fig.1 Deconstruction of resilience capacity in global talent hubs and innovation highlands
(2)从创新生态主体视角看,世界重要人才中心和创新高地的韧性被理解为一种新概念,用于理解和应对风险与冲击。这种韧性建立在注重冲击抵御能力的基础上,强调政府、企业、高校、中介机构等创新主体在面对冲击和干扰时的主观能动作用。在世界重要人才中心和创新高地建设过程中,这些主体通过积累经验、制度安排及法律法规,持续学习和不断进行自我适应,最终保障世界重要人才中心和创新高地更加稳定和可持续发展。
当世界重要人才中心和创新高地遭受外部环境冲击时,首先显现的是抵御能力,也称为缓冲性,其可以缓解外部冲击带来的不利影响。其次,世界重要人才中心和创新高地面对外部冲击的不利影响时,通过各种要素的流动(流动性),持续吸纳外部创新资源(多样性),应对冲击和挑战。最后,通过自学习和自适应提高韧性,演化到更高阶段(进化性)。因此,可以识别世界重要人才中心和创新高地的四维韧性特征:多样性、进化性、流动性和缓冲性。四维韧性特征相互关联,共同构成世界重要人才中心和创新高地的韧性,帮助其应对外部冲击,适应外界变化并实现持续创新和发展。
2.2.1 吸收能力——多样性
在创新生态视角下,基于梁林等(2020)的韧性研究分析生物多样性,创新物种愈多,系统内“创新基因库”愈大,系统物种多样性是系统演化的前提(李万等,2014)。在韧性理论视角下,多样性表征系统吸收撞击的能力。多样性可以分散外部冲击的影响,而相对单一的产业结构,面临冲击与干扰时缓冲余地不足,继而加大衰退风险(见图2)。
    图2 两种视角下世界重要人才中心和创新高地多样性特征阐释
Fig.2 Elaboration of diversity characteristics in global talent hubs and innovation highlands from two perspectives
2.2.2 转型能力——进化性
在创新生态视角下,世界重要人才中心和创新高地的演化过程指物种、种群、群落等随外界环境而变化,通过优化系统内部创新环境对创新要素聚集和分配进行动态调整与优化,促进整个系统功能提升,呈现螺旋式增长趋势。在韧性理论视角下,进化性表征系统重建与组织转型能力,其演化水平经历引入、成长、成熟、转折四个阶段,当系统遭受冲击、干扰时,持续的自调整、自适应,使得系统能够转型成功,进入下一循环(见图3)。
    图3 两种视角下世界重要人才中心和创新高地进化性特征阐释
Fig.3 Elaboration of evolutionary characteristics in global talent hubs and innovation highlands from two perspectives
2.2.3 重构能力——流动性
在创新生态视角下,各创新主体间存在相互制约和协同演化关系,并形成具有自身特色的组织结构与运行机制。人才流、资金流、技术流和其它创新要素高速运转,推动世界重要人才中心和创新高地内部循环发展[29]。在韧性理论视角下,流动性表征系统的恢复与修复能力。通过元素快速响应并动员资源,弥补世界重要人才中心和创新高地受到冲击后所产生的种种差距(见图4)。
    图4 两种视角下世界重要人才中心和创新高地流动性特征阐释
Fig.4 Elaboration of mobility characteristics in global talent hubs and innovation highlands from two perspectives
2.2.4 抵御能力——缓冲性
在创新生态视角下,缓冲性源于系统内部资源冗余、结构复杂。系统通过内部创新资源积累实现多元连接,促进创新能力提升。在韧性理论视角下,缓冲性表征系统抵御能力。通过分析系统应对冲击过程中存在的问题及原因,提出一种新的基于韧性概念的抗冲击模型——弹性缓冲器模型。缓冲性的含义是指系统应该有资源冗余,这些冗余超过系统本身的某种需要,由此提供足够的“弹药”抵御冲击风险(见图5)。
    图5 两种视角下世界重要人才中心和创新高地缓冲性特征阐释
Fig.5 Elaboration of resilience characteristics in global talent hubs and innovation highlands from two perspectives
3.1.1 多样性维度指标分析
对应单一物种—种群—种群网络的进化线路,可以从人才个体、组织、产业3个层次考虑主体多样性问题。从个体层次看,人才多样性保证人才教育背景、价值观念等方面的差异性,从而有利于促进知识交流[30]。在组织层次上,组织多样性确保组织间直接竞争较弱,相互间知识排他性较弱,因而更有利于知识溢出与资源组合[31]。从产业层次看,外部性理论认为多元化的产业结构、充满活力的创业氛围等因素,可以确保区域面对外部冲击时具有较强的抵御能力和复苏能力(孙久文等,2017)。因此,将韧性多样性维度指标划分为人才、高校与产业。
3.1.2 进化性维度指标分析
世界重要人才中心和创新高地的进化通过强化创新资源配置能力实现,创新资源配置能力可由创新投入产出比衡量[32]。人才个体具有较强异质性,使得不同群体间学习差异较大,因此,需要融合人才多样性发展战略。通常情况下,人力、资金和实物是主要投入指标,基础创新与应用创新为主要产出指标[33]。在现有研究中,对创新资源要素进行分析时多采用单一维度指标,难以全面反映创新活动综合情况,且不能有效评价创新资源配置效率[34]。因此,本文将投入指标划分为人力、资金、物力,将产出指标划分为基础创新、应用创新。
3.1.3 流动性维度指标分析
以流空间理论(由流动要素组成的空间形式)为基础,创新要素可分为人口流、资金流、商品流和信息流[35]。目前,大多数流空间研究都采用单一类型流数据(廖创场等,2023)。有必要将流型与各种要素相结合进行综合分析,以更全面地揭示世界重要人才中心和创新高地各生产要素间相互联系的关系以及对区域内经济发展产生影响的作用机理。因此,将流动性指标划分为人口流、资金流、货物流。
3.1.4 缓冲性维度指标分析
一般来说,世界重要人才中心和创新高地资源可以分为经济、自然、社会、科技和知识5类(宋洋,2017)。从经济发展看,发达经济体系更能吸引新兴产业与创新人才集聚[36]。因此,世界重要人才中心和创新高地有利于推动区域创新系统形成与发展。从社会管理角度看,包容、开放与多元社会文化更适宜人类生活,更吸引创造阶层聚集[37]。从社会治理角度看,政府在提供公共服务时应注重与当地居民之间的沟通和交流(王烨,2020)。从自然环境来看,良好的自然生态环境更容易吸引人才聚集[38]。从科技与知识发展来看,技术积累是一个渐进的过程,无数企业技术积累构成区域技术积累,促进地区发展与创新,在这一进程中,知识积累发挥重要作用[39]。因此,将缓冲性指标划分为经济、自然、社会、科技和知识5类。
基于世界重要人才中心和创新高地韧性特征与指标分析,以科学性、可比性、可用性、绝对数与相对数相结合的原则,梳理和借鉴关于城市创新网络与世界重要人才中心和创新高地韧性的文献[40],建立世界重要人才中心和创新高地韧性监测指标体系,如表1所示。二级指标大多属常规指标,可直接计算求得。考虑到中国经济发展水平与发达国家之间存在一些差距,因此,在一级指标筛选时采用较为保守的方法。特殊指标解释如下:①产业分布是指各产业分布状况,分为第一产业、第二产业和第三产业;②高校分布是指各类高校数量层次分布,采用本科、高职高专以及民办其它高等教育机构所占比重衡量;③行政垄断水平,指政府对市场的干预程度,采用国有经济固定资产投资额占全社会固定资产投资总额的比重衡量(白明等,2006)。
表1 世界重要人才中心和创新高地韧性监测指标体系
Table 1 Resilience monitoring indicator system for global talent hubs and innovation highlands
    维度一级指标 二级指标指标属性数据来源 多样性人才多样性就业人员高职以上学历分布正向指标《中国劳动统计年鉴》高校多样性高校分布正向指标《全国高等学校名单》产业多样性产业分布正向指标《中国统计年鉴》进化性创新人力投入专业技术人员数正向指标《中国科技统计年鉴》R&D人员全时当量正向指标《中国科技统计年鉴》创新资金投入R&D经费内部支出正向指标《中国科技统计年鉴》地方财政科技经费支出正向指标《中国城市统计年鉴》创新实物投入研究与试验发展仪器和设备支出正向指标《中国科技统计年鉴》基础创新产出SCI论文数正向指标中国知网CSSCI论文数正向指标中国知网发表科技论文数正向指标《中国科技统计年鉴》应用创新产出专利授权量正向指标《中国科技统计年鉴》发明专利申请数正向指标《中国科技统计年鉴》流动性人口流铁路客运量正向指标《中国统计年鉴》航空客运量正向指标《中国统计年鉴》公路客运量正向指标《中国统计年鉴》资金流固定资产投资正向指标《中国城市统计年鉴》当年实际使用外资金额正向指标《中国统计年鉴》货物流铁路货运量正向指标《中国统计年鉴》航空货运量正向指标《中国统计年鉴》公路货运量正向指标《中国统计年鉴》缓冲性知识资源每万人累计发表CSSCI论文数正向指标中国知网每万人累计发表SCI论文数正向指标中国知网每万人累计发表科技论文数正向指标《中国科技统计年鉴》技术资源每万人累计发明专利数正向指标《中国科技统计年鉴》每万人累计专利授权量正向指标《中国科技统计年鉴》经济资源人均年末金融机构存款余额正向指标《中国城市统计年鉴》人均年末金融机构贷款余额正向指标《中国城市统计年鉴》人均GDP正向指标《中国城市统计年鉴》自然环境资源人均水资源正向指标《中国水利统计年鉴》人均绿地面积正向指标《中国城市统计年鉴》每万人工业废水排放量逆向指标《中国城市统计年鉴》每万人工业二氧化硫排放量逆向指标《中国城市统计年鉴》社会环境资源每万人公共图书馆藏书数量正向指标《中国劳动统计年鉴》每万人医院数量正向指标《中国城市统计年鉴》行政垄断水平正向指标《中国固定资产投资统计年鉴》
4.1.1 多样性监测模型
多样性指数主要衡量系统内部结构的复杂程度。辛普森多样性指数与香农—威纳多样性指数是目前普遍采用的多样性指数。其中,香农—威纳指数由于计算简单且具有良好的稳定性,一直受到广泛关注并用于物种多样性研究。因此,本文使用香农—威纳指数构建多样性维度监测模型,如式(1)所示。
![]()
(1)
其中,pi表示种类i的数量在总数中的占比,n为种类数目,在各类数量比重均等的情况下,香农—威纳指数H达到极大值lnn。
4.1.2 进化性监测模型
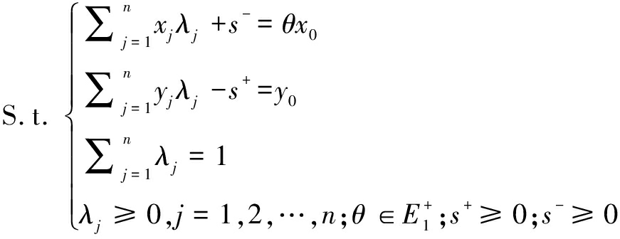
进化性反映网络资源分配效率,DEA-Malmquist对多投入多产出的决策单元进行效率评价,本文采用EA-Malmquist指数下的投入导向BCC模型进行研究,构建进化性维度的监测模型,如式(2)所示。
min[θ-ε(eTs-+eTs+)]

(2)
其中,θ为边际效率值,xj、yj分别为投入变量与产出变量,s+表示投入松弛变量,s-表示产出松弛变量。设θ*、λ*、s*+、s*-为模型的最优解。当θ*=1、s*+=0、s*-=0时,DEA有效,当任意一个条件不满足时,DEA无效。
4.1.3 流动性监测模型
传统流动性测度大多直接针对存量要素进行,而从韧性视角考察世界重要人才中心和创新高地韧性的流动性维度,应更注重创新要素流动速度。本文将人口流、资金流、货物流3个指标作为输入和输出进行分析比较,借鉴具有速度特征的动态综合评价模型[41]对其进行评价,构建流动性维度监测模型。
4.1.4 缓冲性监测模型
缓冲性维度本质上体现世界重要人才中心和创新高地的资源富裕水平。常见的资源富裕度评价法有因子分析法、聚类分析法、层次分析法、灰色关联度法等,这些分析方法大多采用问卷形式进行数据收集,存在一定主观性,而基于熵权和序关系建立的组合赋权法可有效避免上述不足。因此,本文运用熵权TOPSIS方法,构建缓冲性维度监测模型。
已有研究测量系统的韧性值,多采用各维度韧性值总和或者各维度韧性值乘积的方法。虽简单易行,但对于区域内不同资源富集区位条件的城市而言,其在该领域中的发展水平仅是衡量区域整体创新能力的主要依据之一。而世界重要人才中心和创新高地韧性各特征维度间存在非线性复杂耦合关系,为了更好地揭示系统韧性内在机理,需要从多维角度对其进行综合评估。因此,借鉴系统耦合协调度计算方法(汤铃等,2010),构建世界重要人才中心和创新高地韧性值监测模型,如式(3)所示。

(3)
式中,H表示多样性维度值;Q表示进化性维度值;D表示流动性维度值;B表示缓冲性维度值;K表示调节系数,K=4;C为协调程度;T为综合水平;α=β=γ=λ=0.25;R表示韧性测度值,其数值越大表示越接近最优水平。
灰色GM(1,1)模型适用于小样本预测且具有较高精准度,已被广泛应用于社会学领域。因此,本文选择灰色GM(1,1)模型作为中国建设世界重要人才中心和创新高地韧性预测模型,如式(4)所示。
x(0)(k+1)=x(1)(k+1)-x1(k)
(4)
设原始序列为:
x(0)=
{x(0)(1),x(0)(2),x(0)(3),…,x(0)(n)}
其中,k=1,2,3…n,a为发展灰数,b为内生控制变量。
(1)定义警戒度。从增强韧性视角,对世界重要人才中心和创新高地进行预警研究,既要从韧性四维度协调程度入手,还应考虑每个维度的独立发展程度。熵权TOPSIS法建立在多目标决策分析的基础上,通过测度目标与理想解之间的接近度,对研究对象进行评价。本文采用熵权TOPSIS法确定三大城市创新网络韧性预警值,计算过程如下。
构建加权矩阵:

(5)
其中,vij=xij*wj,wj表示第j项指标权重。
计算正、负理想值:
V+=(v1+,v2+,…,vn+)={maxvij|j=j1,minvij|j∈J2}
V-=(v1-,v2-,…,vn-)={minvij|j=j1,maxvij|j∈J2}
其中,J1表示效益型指标集合,J2表示成本型指标集合。
确定城市与正、负理想解之间的距离:
![]()
(6)
![]()
(7)
计算第i座城市与理想解之间的相对贴近度,即预警值:
![]()
(8)
其中,0≤δ≤1,对δi的结果进行排序,其数值越大表示越接近最优水平。
(2)预警区间划分。基于创新领域专家咨询,参照有关预警研究进行分区[42],对世界重要人才中心和创新高地进行韧性警戒等级划分,包括无警、轻警、中警、重警、巨警5个等级(见表2)。
表2 预警等级划分
Table 2 Warning levels
    预警等级巨警重警中警轻警无警δ值 [0,20%)[20%,40%)[40%,60%)[60%,80%)[80%,1]代表符号∗×!#√
根据2010年发布的《全国城镇体系规划(2010—2020年)》,北京、上海和广州被确定为国家中心城市,其城市影响力得到进一步提升,为建设成为世界重要人才中心和创新高地战略支点城市奠定了坚实基础。为了确保数据选取的时间跨度超过3年,本文选择三大战略支点城市(北京、上海和广州)2013-2021年数据作为研究基础。数据主要来源于《中国统计年鉴》《中国城市统计年鉴》《中国劳动统计年鉴》《中国固定资产投资统计年鉴》《中国科技统计年鉴》等。对于一些难以获得的数据,采用移动平均法进行补充。此外,相关互联网数据通过中国知网、Web of Science数据库等获取。以上数据源可以提供关于世界重要人才中心和创新高地战略支点城市的人才、经济、科技等方面数据,用于测度中国建设世界重要人才中心和创新高地韧性值。
世界重要人才中心和创新高地战略支点城市4个维度的指标权重通过熵权法测算(见表3)。首先,根据监测模型,计算战略支点城市各维度及整体韧性值;其次,根据各指标权重确定不同警情等级阈值并进行量化处理;最后,对世界重要人才中心和创新高地韧性4个维度计算值进行预处理。在此基础上,构建世界重要人才中心和创新高地风险评价指标体系并确定其权重。将韧性4个维度的数值代入公式(5)—(8),得出韧性警戒度数值。
表3 世界重要人才中心和创新高地战略支点城市韧性监测指标动态权重
Table 3 Dynamic Weights of resilience monitoring indicators for strategic pivot cities in global talent hubs and innovation highlands
    维度一级指标二级指标权重201320142015201620172018201920202021多样性人才多样性就业人员高职以上学历分布0.3130.2980.3020.2900.2470.2670.2920.2770.255高校多样性高校分布0.3020.3060.3520.3540.3040.3630.3640.3780.362产业多样性产业分布0.3850.3970.3460.3560.4490.3700.3440.3450.383进化性创新人力投入专业技术人员数0.1380.1320.1500.1200.1340.1350.1100.1580.176R&D人员全时当量0.0790.080.0970.1050.1110.0980.1040.1000.099创新资金投入R&D经费内部支出0.0980.0890.1030.1140.1210.1320.1190.1110.089地方财政科技经费支出0.0770.0810.0900.0960.0910.1040.0810.0790.082创新实物投入研究与试验发展仪器和设备支出0.1250.1520.0810.0750.0710.0540.1190.0580.066基础创新产出SCI论文数0.0960.0950.0910.1030.0980.1120.1100.1140.103CSSCI论文数0.0950.0960.1000.1170.1290.1290.1070.1090.099发表科技论文数0.1250.1070.1230.1150.1200.1250.1160.1480.119应用创新产出专利授权量0.0790.0700.0620.1020.0660.0580.0590.0640.066专利申请数0.0890.0960.1030.0520.0590.0540.0750.0600.062流动性人口流铁路客运量0.1020.1100.1280.1420.2000.2240.2290.2470.235航空客运量0.0930.0910.0910.0810.1020.0940.0810.1050.098公路客运量0.0930.1170.1280.1210.1040.0990.1010.0840.101资金流固定资产投资0.0850.0780.0920.0960.0790.0580.0520.0490.056当年实际使用外资金额0.1030.1150.1300.1060.1330.1180.1180.1640.107货物流铁路货运量0.2830.2100.2000.1910.1120.1440.2230.1470.199航空货运量0.1470.1400.1240.1090.1270.1180.1150.1170.156公路货运量0.0930.1310.1070.1550.1530.1460.0820.0870.097缓冲性知识资源每万人累计发表CSSCI论文数0.0710.0710.0670.0870.0710.0610.0740.0680.062每万人累计发表SCI论文数0.0700.0680.0730.0750.0690.0690.0660.0660.060每万人累计发表科技论文数0.0980.0780.0930.0950.0870.0910.0930.0960.092技术资源每万人累计发明专利数0.0810.0840.0640.0520.0690.0590.0710.0680.073每万人累计专利授权量0.0660.1410.0870.0500.0570.0600.0510.0770.079经济资源人均年末金融机构存款余额0.0680.0580.0650.0730.0710.0670.0650.0710.065人均年末金融机构贷款余额0.0530.0490.0580.0650.0630.0600.0590.0670.069人均GDP0.0480.0420.0460.0470.0400.0400.0550.0580.056自然环境资源人均水资源0.0630.0490.0590.0720.0570.0780.0530.0610.057人均绿地面积0.0650.0600.0730.0570.0670.0520.0500.0680.058每万人工业废水排放量0.0730.0750.1040.1020.0850.0870.0780.0820.081每万人工业二氧化硫排放量0.0810.0660.0550.0470.0810.0620.0400.0420.044社会环境资源每万人公共图书馆藏书数量0.0660.0520.0600.0560.0640.0720.0660.0530.056每万人医院数量0.0380.0350.0390.0390.0350.0650.0660.0620.064行政垄断水平0.0580.0720.0580.0840.0850.0810.1140.0610.074
(1)监测结果静态排序。2013-2021年三大城市总体韧性值排序依次为上海、北京、广州(见表4)。这与相关研究存在一定差异(三大城市创新效率排名为北京、上海、广州)。监测结果表明,上海整体韧性值为0.587,排名第一,在进化性、流动性和缓冲性方面表现卓越,尤其是在进化性上位列第一,显示出上海的强劲韧性。北京保持了较高的整体韧性,在多样性、进化性、缓冲性维度上表现均衡,整体韧性平均值为0.571,排名第二,反映了北京在人才创新领域的稳健性。广州在多样性、进化性和流动性方面相对较弱,但在缓冲性上表现稳定,整体韧性平均值为0.530,排名第三,仍然有强劲竞争力。
表4 2013—2021年世界重要人才中心和创新高地战略支点城市四维度及整体韧性值
Table 4 Four-dimensional and overall resilience values of strategic pivot cities in global talent hubs and innovation highlands from 2013 to 2021
    城市韧性维度韧性值201320142015201620172018201920202021平均值排名北京多样性0.8410.8190.8230.8090.7590.7900.8060.8040.8120.807 01进化性0.9490.977110.9180.9820.8390.9120.9520.947 72流动性0.0170.0240.0200.0290.0290.0270.0150.0160.0180.021 73缓冲性0.4460.4420.4410.4530.4470.4640.4890.4990.5040.456 02整体 0.5540.5630.4790.7650.3870.7540.2850.6060.7480.571 22上海多样性0.8070.7820.8270.8100.7670.7960.8070.8060.8060.800 92进化性1110.9440.9961110.9960.992 91流动性0.0250.0350.0290.0410.0410.0390.0220.0230.0240.031 01缓冲性0.5370.4930.4920.4790.4540.4110.4250.4520.4600.467 01整体 0.7020.6430.7480.5630.5660.5930.4460.5070.5180.587 31广州多样性0.747 0.722 0.754 0.729 0.693 0.718 0.739 0.731 0.731 0.729 23进化性0.4770.4950.6350.7420.6070.7940.76110.9230.714 93流动性0.0240.0340.0280.0400.0400.0380.0210.0230.0260.030 42缓冲性0.3560.3300.3150.3270.2790.2880.3300.3630.3640.328 03整体 0.4880.4500.5230.6620.3160.5040.4750.6760.6810.530 63
(2)韧性演变趋势。从表4可以看出,2013—2021年世界重要人才中心和创新高地的战略支点城市在多个关键韧性维度上呈现出明显演变,北京整体韧性值2013年为0.554,然后逐年波动,但总体呈现上升趋势,尤其在2016—2018年之间取得显著增长,2021年整体韧性值为0.748,平均排名第二,反映出城市在整体韧性方面的相对强劲表现。上海在2013—2021年间整体韧性相对稳定,总体呈上升趋势,尤其在2017—2021年之间整体韧性从0.566增至0.681,平均排名第一,表现出城市的卓越韧性。广州在2013—2021年整体韧性上升趋势明显,从0.316增至0.681,平均排名第三,表现出城市在韧性方面的逐步提升。
运用世界重要人才中心和创新高地韧性预测模型,对2023—2025年间三大城市韧性值进行预测,结果如表6所示,2023—2025年北京、上海和广州呈上升趋势,广州总体韧性值或于2025年超过上海,2025年韧性排名调整为广州、上海、北京。这与统计年鉴资料中所反映的北京、上海与广州等城市GDP差距加大态势形成鲜明对比,究其原因,主要在于韧性不同于单纯的经济总量对比,韧性得分由多种因素共同影响。
运用世界重要人才中心和创新高地韧性预警模型,对2013—2021、2023—2025年三大城市韧性警情进行分析,结果如表5、表6所示。从警情趋势角度来看,北京在2013—2015年经历了严重警情,自2016年起逐渐回归至中等警情水平,并且2023—2025年期间仍然保持中等警情水平,表明其警情逐渐趋于稳定。上海市2013—2018年期间一直维持在中等或轻微警情状态,2019年升至严重警情状态,2020—2021年重新回归至中等警情状态,2023—2025年期间再次进入严重警情状态。广州2013—2015年期间经历了严重警情,2016—2021年在严重和中等警情之间波动,2023—2025年期间稳定在中等警情状态,呈现趋稳态势。
表5 2013—2021年世界重要人才中心和创新高地战略支点城市韧性警戒值
Table 5 Resilience alert values of strategic pivot cities in global talent hubs and innovation highlands from 2013 to 2021
    城市警戒值201320142015201620172018201920202021警情变化备注北京0.2580.3630.3170.5240.4620.5980.4950.5980.554×-×-×-!-!-!-!-!-!举牌警告上海0.5030.4670.4740.6090.5040.4980.3410.5290.426!-!-!-#-!-!-×-!-!一般关注广州0.2700.3040.3450.4610.3910.5120.4150.6460.456×-×-×-!-×-!-!-#-!举牌警告
表6 2023—2025年世界重要人才中心和创新高地战略支点城市韧性预测值及警戒值
Table 6 Resilience predicted values and alert values of strategic pivot cities in global talent hubs and innovation highlands from 2023 to 2025
    城市预测值202320242025警戒值202320242025警情变化备注北京0.6590.6320.6060.6470.6920.738!-!-!一般关注上海0.8390.8280.8170.4620.4550.449×-×-×举牌警告广州0.7570.8000.8430.6220.6720.724!-!-!一般关注
本研究基于韧性理念,建立世界重要人才中心和创新高地战略支点城市韧性监测、预测与预警体系,并对战略支点城市韧性进行测度和预警,得出如下主要结论:①从韧性视角出发,提出中国打造世界重要人才中心和创新高地的韧性化思路,识别出多样性、进化性、流动性、缓冲性4个纬度;②构建世界重要人才中心和创新高地韧性监测、预测、预警体系,实现中国建设世界重要人才中心和创新高地韧性测度;③以三大战略支点城市为研究对象,研究发现当前三大战略支点城市都存在发展不均衡的现象;④预测结果显示2023—2025年北京、上海与广州之间的韧性差异明显减小。
本文界定了世界重要人才中心和创新高地韧性的概念,并从韧性理论、创新生态主体两个角度对世界重要人才中心和创新高地韧性的内涵作进一步阐释,将韧性理论引入到世界重要人才中心和创新高地研究中,丰富了中国建设世界重要人才中心和创新高地理论。本文对世界重要人才中心和创新高地韧性特征进行探讨,这些特征能够反映世界重要人才中心和创新高地战略支点城市对外部环境的适应能力以及未来发展潜力。
(1)应以“政府+市场”模式构建完善的政策体系,激发社会力量参与创新创业活动,促进科技资源在区域间自由流动。对于北京而言,发展过程中需要聚焦短板,实现政府引导与市场机制的有机结合,构建全面完善的政策框架。政府可以提供政策引导、资源支持和市场监管,同时,发挥市场机制的作用,激励社会力量参与创新创业活动。为了实现科技资源自由流动,政府可以采取措施打破区域之间的壁垒和限制,积极促进科研机构与企业之间的合作,鼓励知识、资源和技术共享,推动创新和科技进步。同时,建立公平竞争的市场环境,打破体制机制桎梏。在政府主导下推进“互联网+”智慧政务平台建设,通过数字化和信息化手段,提高政府服务效率和质量。北京在知识创新领域具有重要优势和丰富资源,政府可以加大对高等教育和科研机构的支持力度,鼓励科研成果转化为实际生产力,推动创新产业发展。
(2)从韧性监测体系权重结果看,人才与高校多样性占比较大,广州应发挥自身优势,将高等院校发展列为重点,利用丰富的科研资源等,为广大科研人员提供与各领域专业人才合作的机会。同时,建立开放的合作机制,促进高校与企业、科研机构之间的合作和交流,优化创新生态系统。提供具有竞争力的薪酬和福利待遇,包括优厚的工资、住房补贴、教育支持、医疗保健等,吸引世界顶尖创新人才,增强多样性。此外,可以提供创新项目的资金支持,促进创意转化为实际成果。建立国际化的人才招聘和交流平台,与世界一流大学、研究机构和科技企业建立合作关系,开展人才互访和合作研究。吸引全球优秀的科研人才和创新团队到广州工作与开展合作,通过多样化的人才团队带来不同的思维方式、文化背景和专业技能,推动创新和创业的多元化发展,促进广州在创新创业领域取得更显著成果。
(3)中国建设世界重要人才中心和创新高地战略支点城市治理需要开展常态化、动态化监测。预警分析结果显示上海发展后劲相对弱一些,可以通过创新驱动和转型升级增强发展后劲。政府可以继续加大对科技创新的支持,鼓励企业加大研发投入,提高技术创新能力。此外,政府还可以推动产业结构优化升级,加强对战略性新兴产业的扶持,为经济发展注入新动力。广州多样性存在一定劣势,在人才方面丰富度不高,政府可以加大对外籍人才的引进和留用力度,提供更具吸引力的待遇和福利。此外,广州可以积极推动文化多样性和跨国交流,吸引更多国际学生和研究人才到广州学习与工作,提高城市国际化程度。北京发展存在不平衡,需要补齐短板,并避免过分重视劣势而忽略原有优势。政府可以推动城市发展均衡性,加大基础设施建设和公共服务投入,改善城市整体发展环境。同时,政府可以支持和培育新兴产业,发挥北京在知识创新领域的关键作用。总体而言,对于北京、上海、广州这样的重要城市,持续监测和预警分析尤为重要,可以及时发现存在的问题和潜在风险,并采取对应解决方案。通过政府支持和引导,这些城市可以进一步优化发展环境,吸引更多人才和创新资源,实现可持续发展,并建设成为世界重要人才中心和创新高地。
[1] 萧鸣政,应验,张满.人才高地建设的标准与路径——基于概念、特征、结构与要素的分析[J].中国行政管理,2022,38(5):50-56.
[2] 薄贵利.论打造世界级和国家级人才高地[J].中国行政管理,2019,35(6):6-11.
[3] 省委、省政府印发关于贯彻落实《粤港澳大湾区发展规划纲要》的实施意见[N]. 南方日报,2019-07-05(A04).
[4] 宁吉喆.“十四五”规划的重要意义及其与2035年远景目标的内在逻辑[J].人民论坛,2020,29(34):6-10.
[5] BERNAL J D. Science in history [M]. London: Watts, 1954.
[6] 赵红州.科学能力学引论[M].北京:科学出版社,1984.
[7] YUASA M. Center of scientific activity: its shift from the 16th to the 20th century [J].Japanese Studies in the History of Science,1962,27(4):35-45.
[8] 张振伟,黄露,谭龙,等.我国距全球科学中心还有多远——基于CELL、NATURE和SCIENCE期刊文章的计量分析[J].中国软科学,2022,37(6):1-20.
[9] 潘教峰,刘益东,陈光华,等.世界科技中心转移的钻石模型——基于经济繁荣、思想解放、教育兴盛、政府支持、科技革命的历史分析与前瞻[J].中国科学院院刊,2019,34(1):10-21.
[10] 孙继平,韦素琼,游小珺.外部冲击下台资产业的战略耦合与本地发展韧性——来自永福高山茶产业的实证[J].地理研究,2023,42(5):1200-1214.
[11] HOLLING C S. Resilience and stability of ecological systems[J]. Annual Review of Ecology and Systematics, 1973, 4(1): 1-23.
[12] HOLLING C S. Resilience of ecosystems: local surprise and global change[J]. Cambridge: Cambridge University Press, 1985,5(2): 1-23.
[13] GUNDERSON L H, HOLLING C S. Panarchy: understanding transformations in human and natural systems[J]. Washington: Island Press, 2003,3(5): 16-20.
[14] MASTEN A S, BEST K M, NORMAN G. Resilience and development: contributions from the study of children who overcome adversity[J]. Development &Psychopathology, 1990, 2(4): 425-444.
[15] MARTIN R, SUNLEY P. On the notion of regional economic resilience: conceptualization and explanation[J]. Journal of Economic Geography, 2015, 15(1): 1-42.
[16] 王亚航,张向前.世界重要人才中心和创新高地评价指标体系构建[J].科技管理研究,2023,43(2):83-90.
[17] 高悦,张向前.建设世界重要人才中心和创新高地的保障机制研究[J].科技和产业,2022,22(7):179-185.
[18] 何宪,李志刚,吴江,等.“强化现代化建设人才支撑的战略性地位”笔谈[J].西南交通大学学报(社会科学版),2023,24(1):1-21.
[19] BROWN R,KALAFSKY R V,MAWSONS,et al.Shocks,uncertainty and regional resilience:the case of Brexit and Scottish SMEs[J].Local Economy,2020,35(7):655-675.
[20] WILDAVSKY A B.Searching for safety(Vol.10)[M].New Jersey:Transaction Publishers,1988.
[21] 董莹,罗静,王玉霞,等.供需关联视角下特大城市医疗卫生服务网络及其空间韧性——基于武汉市街道尺度的考察[J].经济地理,2022,42(10):61-71.
[22] MCINROY N,LONGLANDS S.Productive local economies:cresating resilient place[M].Manchester,UK:Centre for Local Economic Strategies,2010.
[23] 黄琼,崔子怡.中国城市韧性发展水平测度、差异分解与动态演变及障碍因子识别[J].统计与决策,2023,39(13):106-111.
[24] 赵玉帛,张贵,王宏.数字经济产业创新生态系统韧性理念、特征与演化机理[J].软科学,2022,36(6):1-15.
[25] MARTIN R. Regional economic resilience, hysteresis and recessionary shocks[J]. Journal of Economic Geography, 2012, 12(1): 1-32.
[26] SIMMIE J, MARTIN R. The economic resilience of regions: towards an evolutionary approach[J]. Cambridge Journal of Regions, Economy and Society, 2010, 3(1): 27-43.
[27] BOSCHMA R. Towards an evolutionary perspective on regional resilience[J]. Regional Studies, 2015, 49(5): 733-751.
[28] 资明贵,周怡,罗静,等.山区乡村地域系统韧性测度及影响因素研究——以大别山区罗田县为例[J].地理科学进展,2022,41(10):1819-1832.
[29] 储节旺,吴蓉,李振延.数智赋能的创新生态系统构成及运行机制研究[J].情报理论与实践,2023,46(3):1-8.
[30] DURANTION G,PUGA D.Nursery cities: urban diversity,process innovation,and the life cycle of products [J].The American Economic Review,2001,91(5):1454-1477.
[31] 张少峰,徐梦苏,朱悦,等.技术创新、组织韧性与制造企业高质量发展[J].科技进步与对策,2023,40(13):81-92.
[32] 李万君,龚璇,李艳军.种子企业技术创新投入产出分析:政府支持下异质组织创新绩效的考察[J].当代经济管理,2022,44(7):40-48.
[33] 颜莉.我国区域创新效率评价指标体系实证研究[J].管理世界,2012,28(5):174-175.
[34] 胡雅蓓,夏勇.生态位视角下创新型产业集群竞争力测度研究[J].统计与信息论坛,2024,39(1):30-43.
[35] 王垚,钮心毅,宋小冬.“流空间”视角下区域空间结构研究进展[J].国际城市规划,2017,32(6):27-33.
[36] FLORIDA R.Cities and the creative class[J].City &Community,2010,2(1):3-19.
[37] 马双,汪怿.人才政策对人才跨区域流动的影响——以长三角城市群为例[J].中国人口科学,2023,37(1):101-113.
[38] 王营,冯佳浩.政府环境信息公开的绿色创新效应研究[J].科研管理,2023,44(6):117-125.
[39] 谢友柏.再论设计科学——关于我国科技创新、人才和知识的思考[J].上海交通大学学报(哲学社会科学版),2022,30(4):57-69.
[40] 梁林,段世玉,李妍.中国南北差距现象能得到改善吗——基于三大重点城市群创新网络韧性监测和比较[J].中国科技论坛,2022,38(7):106-117.
[41] 刘微微,石春生,赵圣斌.具有速度特征的动态综合评价模型[J].系统工程理论与实践,2013,33(3):705-710.
[42] 查成伟,陈万明,唐朝永,等.区域人才聚集预警模型研究——以江苏省为例[J].科技进步与对策,2014,31(16):152-156.