By combing through the articles with the conclusion that carbon trading market construction has no positive effect on low-carbon technological innovation, this study analyzes the reasons for the inconsistency of the research conclusions: most of these articles are based on theoretical analysis, simulation game-based research methods, or a micro-perspective with enterprises as the main research body, and thus they are insufficient to comprehensively show the essence of the carbon emissions trading policy with Chinese characteristics. For example, Huang builds a game model from the aspects of allowance and carbon price, but does not consider the incentive support role of the carbon offset program "China Certified Emission Reduction (CCER)" on low-carbon technological innovation; the studies with enterprises as the main body of the research only explain whether the low-carbon technological innovation of some representative carbon enterprises has changed, and they consider neither the impact of the new environmental protection industry on carbon enterprises, nor the impact of the new environmental protection industry on carbon enterprises. The studies with enterprises as the main body only indicate if the low-carbon technological innovation of some representative carbon enterprises has changed, without considering the contribution of new environmental protection industries to carbon enterprises, and the conclusions of the studies are one-sided.
Thus relying on double externalities and cost-benefit theory, this paper explores the inevitability and source of motivation of low-carbon technological innovation by each carbon-emitting enterprise in response to carbon trading policy. Drawing on the panel data of 282 prefectural-level cities in China from 2006 to 2020, this study takes two batches of pilot cities of carbon trading in 2013 and 2016 as the treatment group, and uses the multi-temporal double-difference model empirical test to find that China's carbon trading policy significantly promotes low-carbon technological innovation, and the results are robust, providing a breakthrough for precisely realizing carbon peaking and carbon neutrality. This paper examines the mediating effect of the carbon trading market's impact on low-carbon technological innovation from the perspective of win-win administrative intervention and industrial structure, and confirms that the carbon trading market not only promotes low-carbon technological innovation, but also enhances the scale of state-owned enterprises, expands the government's regulation ability, incentivizes the upgrading of industrial structure, and improves people's well-being from the perspective of the linkage effect between the two. In terms of regional heterogeneity, the higher the degree of marketization, the more significant the promotion effect; and it can be incentivized by expanding the number and scale of industrial enterprises; China's regions have different resource environments and levels of economic development, and it is found that the pilot regions in eastern China have the strongest effect on low-carbon technological innovation, followed by the pilot regions in the west, and the pilot regions in central China have an average innovation effect.
The study proposes strengthening the government's macro-control and solidly promoting the institutional construction of carbon emissions trading markets in all regions of the country; it is also essential to gradually expand the coverage of carbon trading industries, adopt incentives according to local conditions, and combine a variety of economic means and regulatory tools to promote the green development of the economy and realize the construction of ecological civilization in the new stage of development.
中共二十大报告指出,坚持绿色低碳发展,推动建设一个清洁美丽的世界。建设生态文明是关系人民福祉、关乎民族未来的千年大计,是实现中华民族伟大复兴的重要战略任务。2020年,国家主席习近平在第七十五届联合国大会上作出庄严承诺:“中国将提高国家自主贡献力度,采取更加有力的政策和措施,二氧化碳排放力争2030年前达到峰值,努力争取2060年前实现碳中和。”中国政府采取了一系列加快发展方式绿色转型的重要措施,通过坚强有力的宏观政策发布,向世界彰显了推动构建地球生命共同体、建设清洁美丽世界的坚定决心。2011—2022年中共中央、国务院、国家发展和改革委员会、生态环境部、财政部等分别针对全国碳市场(试点)建设、碳排放权交易管理、配额总量设定与分配、核查指南等方面大规模征求意见并发布政策。截至2023年2月,中国碳交易市场已经覆盖电力、水泥、钢铁等20多个行业,碳配额累计成交量2.23亿吨,累计成交额105.9亿元人民币。相关研究表明,碳排放权交易(简称碳交易)成为中国实现碳达峰、碳中和的有效手段[1-3]。
然而,关于碳交易政策能否推动低碳技术创新,国内外研究众说纷纭。有研究认为,低碳技术创新是降低碳排放成本、改善环境的有效措施,理论上应该在保护经济发展的前提下,通过建立碳交易市场激发低碳技术创新[4]。但是,也有研究表明,碳交易市场限制企业碳排放,增大企业生产成本,从而抑制企业总体创新投入[5],甚至有研究指出碳交易市场建设对低碳技术创新没有任何正向作用。那么,碳交易政策实施在中国究竟能否激励低碳技术创新?如果可以,激励低碳技术创新包括哪些有效途径?探究这些问题对于促进中国经济高质量发展具有重要意义。
鉴于此,本文基于2006—2020年中国282个地级市面板数据,采用多时点双重差分模型,层层递进探究4个方面内容。首先,依托双重外部性和成本—收益理论,探讨在碳交易政策环境下各碳排企业开展低碳技术创新的必然性与动力源泉。其次,实证考察中国碳排放交易政策能否激励低碳技术创新,为精准实现碳达峰和碳中和提供突破口。再次,解析行政干预和产业结构的中介效应,揭示碳交易政策促进低碳技术创新的必要途径,为加快开发利用清洁能源等低碳技术创新提供新思路。最后,将市场发展程度与经济区域纳入研究框架,分析不同地区的异质性,为政府因地制宜营造低碳技术创新环境提供参考。
碳排放权交易是指在政府分配一定碳排放权的基础上,企业为满足生产需要与实现利润最大化,买卖二氧化碳、二氧化硫等温室气体,以及化学需氧量等水体污染物排放权的交易行为。碳交易最早起源于2005年欧盟碳市场,其也是当今全球公认的交易量最大的碳市场。碳交易政策已成为国内外市场化的碳减排手段,引起环境经济学家的广泛关注。有研究表明,碳交易政策对试点城市的工业碳排放和碳强度降低(李广明,2017)、污染物减排(任亚运,2019)、空气质量提升[6]、社会福利改善[7]、婴儿死亡率降低[8]等具有显著作用。随着碳交易政策的推行实施,企业为了降低碳排放成本,可能加大低碳技术研发创新或减少高碳排产品生产,从而减少碳排额购买量或卖出更多碳排额,以实现减排利润最大化。虽然低碳技术创新有利于营造良好的节能减排氛围,驱动低碳市场建设走向新阶段(Corsatea, 2014),但是,低碳技术创新面临投入成本高、资金占用量大、创新风险高、收益未知等负外部性,易造成企业低碳技术创新动力不足的问题[9]。因此,企业会考虑低碳技术创新的收益(转让低碳技术创新技术、出售碳排额、创新活动带来的税费减免等收益)是否大于成本(低碳技术创新研发成本、购买碳排额的成本等),再结合自身情况决定是否开展低碳技术创新。正因此,当前碳交易政策对低碳技术创新影响的研究结论尚不明确,国内外学者莫衷一是。比如,国外有学者围绕欧盟碳交易市场展开研究,认为碳交易市场建设会抑制企业总体创新活动,甚至造成重大损害[5]。但是,Bergek[10]提出相反结论,指出以碳排放交易市场为主的市场工具拥有更高标准和要求,对低碳技术创新的影响力比控制工具更强。
2011年中国发布碳排放交易试点政策之后,有大量学者针对中国碳交易政策开展相关研究,关于低碳技术创新的影响也出现了相似的分歧。Cong[11]研究发现中国碳交易政策的实施影响发电技术成本,激励发电行业技术创新;张婕[12-13]等使用我国上市公司数据或省级面板数据,验证了碳交易政策可推动低碳企业技术创新能力提升。虽然很多研究认为二者影响关系是积极的,但是也不乏学者有结论相反的研究发现。Liu[14]研究指出当前碳价本身未能有效刺激企业实现低碳技术创新;Huang[15]以深圳碳交易市场为例研究发现,碳交易有助于驱动短期煤电行业减排技术投资,但长期来讲存在激励不足的问题;沈洪涛等(2017)研究发现企业为了达到碳减排要求,会缩减生产规模,这对经济发展不利;Shi[2]研究指出,无论企业是否受到环境规制,都会因碳交易试点而显著抑制自身创新。有研究通过大量市场调研发现,企业直接从国外引入先进低碳技术的成本远小于企业自主研发[16]。
我国碳交易试点城市都是采用“历史排放法”衡量企业碳排放配额,即依据企业历史碳排放量分配全部或部分免费碳排额。这种易操作的配额方式对不同特征碳排企业的低碳技术创新带来不同影响,从“成本—收益”的角度来看,第一,对于有大量产能增长需要但未注重低碳技术创新的企业来说,碳交易政策实施会限制企业碳排额,导致新增产能排放需要额外购买碳排额,无形中增加碳排成本。企业为了提高利润,会将更多资金投向低碳技术创新研发与转化。第二,对于有大量产能增长需要且长期注重低碳技术创新的企业来说,碳交易政策落地前,企业已经从生产方式升级、技术更新改造、管理模式便利化等方面减少企业碳排放,导致以历史排放量为导向的碳配额较少,因此,会短期抑制企业低碳技术创新研发与转化,以保证企业能够获得尽可能多的碳配额。在碳交易政策落地后,企业再迅速恢复低碳技术研发与转化。第三,对于产能稳定且无创新的企业来说,企业自身不需要更多碳配额,但是,如果低碳技术创新研发带来的收益高于成本,那么,企业有动力推动低碳技术创新,否则对创新无影响。第四,对于产能稳定且长期有节能意识的企业来说,前期已使用低碳技术减少企业碳排放,造成企业碳配额较少,加之离创新瓶颈更近,继续开发减碳新技术的边际效应较低,企业会转向购买碳配额,减少低碳技术创新资金投入。与此同时,卖出碳排额的企业有更多资金投入低碳技术创新研发。在碳交易政策实施中,如果企业购买低碳技术使用权的利润大于购买碳配额的利润,就会激励专利发明者进一步研发低碳技术,产生正外部性的“创新补偿”,吸引更多企业开展低碳技术创新活动,形成良性循环。综上所述,碳交易政策实施后,大多数企业采取的决策有利于促进自身低碳技术创新,即使少部分企业存在抑制作用,也会通过购买碳排放额对低碳技术创新产生正外部性。
从双重外部性理论的角度来看,经济学界普遍认为低碳技术创新会受到“经济—环境”市场失灵的外部性影响。一方面,工业企业污染排放存在负外部性,对低碳技术研发不利。我国碳配额与碳交易政策对排污企业提出较高要求,根据波特假说(Porter,1995),排污企业不得不控制排污量,探寻降低排污量的生产方式或技术,进而促进低碳技术创新。另一方面,低碳技术创新成果具有正外部性,但对低碳研发企业不利(Geroski,1995)。企业需要投入大量研发成本进行低碳技术创新,但创新成果往往极易被复制抄袭甚至成为公共知识。如果没有保障创新成果的有效手段,则研发企业无法获取全部研发收益,使得研发成本与研发收益不对等,导致企业丧失低碳技术创新动力。我国碳交易政策允许碳排企业购买碳抵消项目,以核证减排量(CCER)的碳抵消方式,按照比例抵消一定碳排放量。这项政策激励更多碳排企业购买低碳技术,一定程度上保护了低碳技术创新企业收益,打破外部性束缚,促进低碳技术创新。综上所述,中国碳交易政策可有效克服低碳技术创新的市场失效(Jaffe,2005),基于政策和市场工具的双重力量,可以激励低碳技术创新及成果转换与扩散。因此,本文提出如下假设:
H1:碳交易政策对低碳技术创新具有正向促进作用。
行政干预是指政府部门通过使用管控的方式约束碳排企业生产行为,这是技术创新中最传统有效的方式。低碳技术创新不仅是技术活动,还是一系列经济活动的组合。只有供给方与需求方主体匹配衔接,才能更好地促进创新成果产业化,以实现研发企业创新投入与创新产出对等。然而,要促进低碳技术创新供需对接,需要各级政府部门优化顶层设计,明确各利益主体的制度体系,实现配套政策协同;需要建设健全低碳技术创新市场环境,实现研发内容、要素价格、创新要素配置等方面供需均衡;需要发现或创造低碳技术创新及其产品的市场需求,引导企业、高校、科研机构等增加低碳技术创新供给。这些都离不开作为低碳技术创新供需主体“联络员”的政府部门的行政干预。另一方面,碳交易政策是“发令员”。国有企业作为国务院和地方政府出资经营控制的企业,会对碳交易政策率先作出响应。同时,各级政府对国有企业也有较强的控制能力,比如政府可以将碳排企业的履约行为与国企绩效考核挂钩[17]。国有企业一般与政府保持紧密关系,往往享有更多财政补贴、税收减免、碳配额等资源优势[18]。正因如此,为了保障经济平稳运营、获取更多利润与资源,一些企业逐渐转变为国有企业,扩大了国有企业规模,增强了行政干预能力。碳排放权交易在发展初期,可能面临运行效率低、发育缓慢的问题,即有些控排主体会投机取巧、偷偷排放(王为东,2020)。地方政府可以通过逐步增强行政干预能力,监督碳排企业的履约行为,保证各企业的超额碳排放量均实现碳交易。受到监管的控排企业会以利润最大化为导向,增加低碳技术创新投入,提高企业创新绩效[19]和高质量创新产出(郭研,2016),使碳排成本最小化。基于上述分析,本文提出如下假设:
H2:行政干预在碳交易政策与低碳技术创新之间发挥中介作用。
产业结构是指农业、工业和服务业在一国经济结构中所占比重,体现地区服务化水平与对化石能源的依赖程度。碳交易政策的实施效果与地区经济发展、产业结构等方面密切相关(刘佳明,2019)。不同行业按照排放基准线设定了不同碳配额,给各碳排企业带来巨大履约与成本压力,倒逼地区产业结构升级。一方面,碳交易政策可以引导企业战略转型(杜莉,2012),追求利润最大化的企业会逐步推动结构性升级,创新发展附加值更高的高技术低碳产品,实现低碳技术创新。另一方面,无法承担成本增加的高碳排企业不得不缩小生产规模,同时,以低碳产业、固碳产业、清洁能源产业为代表的新型环保产业蓬勃发展,逐步增加市场份额,优化社会产业结构。碳交易政策也会促进碳规划(赵黎明,2016)、碳金融[20]、碳交易培训、碳核证等与碳市场建设相关的第三产业发展,进而促进地区产业结构高级化[21]。因此,碳交易政策在激发企业低碳技术创新活力的同时,引导企业战略转型为低碳环保企业,带来低碳转型红利,推动全社会产业结构升级(杨大光,2012)。客观条件下,低碳技术创新在产业结构高级化地区更活跃。当越来越多的资金流入到从事低碳技术研发与转型的新型环保产业时,低碳技术和生产效率将不断被改进提升,未来会有更多红利继续投入到新一轮低碳技术创新中,从而更有动力改进生产技术,形成良性循环。产业结构高级化的城市基础设施与设备更加完善,有利于提高小企业间专业化分工协作能力,促进小企业与大企业有机联合,共同提高效率且降低市场成本,进而提高城市绿色全要素生产率(郭沛,2022)和低碳技术创新水平[22]。基于上述分析,本文提出如下假设:
H3:产业结构在碳交易政策与低碳技术创新之间发挥中介作用。
碳交易政策本质上是以政府环境规制为主导、市场工具为基础的制度安排,二者共同对低碳技术创新产生重要影响(王为东,2020)。碳交易政策的落地紧密联系着碳资产的场内市场交易和场外市场交易,而市场环境优劣直接影响碳交易政策实施效果。场内外交易需要规范化的交易制度,促进碳资产自由交易;需要合法化的交易场地,实现场外供需双方协商签订碳资产交易合同,保障碳交易政策稳健安全运行;需要自由便利的市场环境,实现碳资产和碳信用衍生品畅通交易与流转。在市场发展程度较高的地区,碳交易政策与低碳技术创新的关系会有更好的表现:一是完全竞争市场环境有利于促进企业间良性竞争,弱化创新要素、资源、知识等壁垒,增强企业间学习合作、资源共享,促进生产技术、低碳技术、管理方法不断优化,增强低碳技术创新动力;二是市场化程度高有利于政府适当放权管理,促进企业完善内部结构与发展战略,降低信息不对称带来的创新风险;三是市场发展程度高的地区可以更好地开展碳金融等衍生品交易活动,为企业赢得更多创新融资途径,增强低碳技术创新意愿[23]。综上所述,地方政府积极发挥市场作用有助于促进资本流向碳减排相关企业,提高高技术产业创新绩效(戴魁早,2013)和新能源企业创新能力(齐绍洲,2017),不断促进低碳技术迭代升级,推动高能耗企业向低能耗企业转型。当前中国各区域经济发展不平衡不充分,导致各地区市场发展程度不均衡,存在较大空间分布差异,不同地区发挥的作用也不同。基于上述分析,本文提出如下假设:
H4:碳交易政策对低碳技术创新的促进效应在市场发展程度不同的城市存在异质性。
碳交易试点政策于2013、2016年分两批发布,而多时点DID可以有效评估某一政府政策在不同时期的渐进实施效果。因此,本文采用多时点DID研究碳排放交易政策实施对试点地区与非试点地区低碳技术创新是否存在差异化影响。
Yit=β0+β1DIDit+αXit+γi+θt+εit
(1)
DIDit=treatmenti*postit
(2)
其中,i表示地区,t表示年份;Yit是被解释变量,表示地区的低碳技术创新;DIDit是核心解释变量,treatmenti是政策实施对象的虚拟变量,postit是政策实施时间的虚拟变量;Xit是控制变量,γi是个体固定效应,θt是时间固定效应,εit是误差扰动项。
3.2.1 被解释变量
本文用被解释变量Yit表示低碳技术创新,并基于创新专利特点,从绿色发明专利申请量(greenzl)和绿色实用新型专利申请量(greenxxzl)两个方面反映低碳技术创新,有助于提高实证结果的稳健性。
3.2.2 核心解释变量
核心解释变量DIDit为描述地区i在时期t是否实施碳排放交易政策的虚拟变量。2013年中国建立第一批碳排放权交易试点地区,包括北京市、天津市、广东省、上海市和深圳市;2014年重庆市和湖北省相继成为碳排放权交易试点地区;2016年四川省和福建省被纳入第二批碳排放权交易试点地区,累计9个试点地区。本文将落实试点政策的9个地区设置为处理组,赋值为1;其它省市作为控制组,赋值为0。
3.2.3 控制变量
低碳技术创新能力与地区经济发展情况有很强的相关性,所以,非常有必要控制处理组与控制组在经济发展方面的异质性,以避免模型中存在遗漏变量偏差。本文借鉴前人研究的权威做法,选取控制变量主要包括:①经济发展水平(lnpgdp),其可以反映地区整体经济状况,高发展水平地区一般拥有更优质的资源条件,可以通过规模效应全面支持技术创新(王国印,2011),采用地区人均GDP的对数值衡量;②经济聚集程度(rkmd),其可以影响地方生产效率和经济增长速度,刺激绿色专利技术创新(邵帅,2016),人口密度是反映经济聚集程度的最好体现(章元,2008),本文采用年末人口总量与地区面积的比值度量;③清洁能源供给(lnslfd),其可以评估地区现有绿色创新发展能力,并影响未来低碳专利创新,采用水力发电量的对数值表示;④能源强度(co2),反映地区使用煤炭、燃油等原材料的强度,在碳中和与碳达峰的重要使命下,使用的能源强度越高,就越需要激励低碳创新能力,采用二氧化碳排放总量衡量;⑤科研投入程度,包括R&D投入强度(rdqd)和科技人力资本(rdrs)两部分,R&D投入强度(rdqd)对高技术产业绿色创新具有重要作用,R&D经费支出是必要前期投入[24],采用研究与试验发展(R&D)经费支出占地区GDP的比值测算。科技人力资本(rdrs)是聚集科研从业人员的重要手段,能促进科研活动,对地区创新带来重大贡献(钱晓烨,2010),采用研究与试验发展(R&D)人员全时当量衡量。
3.2.4 其它变量
其它变量包括:①行政干预,指地方政府借助政权力量进行管控,相比非国有企业,政府对国有企业的管控能力更强,因此国有企业占比(gyqy)可以较好反映行政干预(Zhao,2016);②产业结构高级化(inc),反映产业结构的服务化倾向,产业结构升级有利于促进形成技术创新效率空间溢出效应(赵庆,2018),本文采用第三产业产值与第二产业产值的比值衡量(干春晖,2011);③市场发展程度,参考吴茵茵[17]的做法,使用市场化指数(marketindex)、工业企业数量对数值(lnqys)两项指标衡量市场化程度,以确保使用的数据具有稳健性。其中,市场化指数是樊纲指数。
本文选取2006—2020年中国30个省级行政区(不包括西藏、港澳台地区)282个地级市面板数据作为研究样本,数据特征如表1所示。低碳专利创新数据来源于国家知识产权数据库,并利用WIPO的国际专利分类绿色清单进行匹配;排放量来源于中国碳排放核算数据库;其它数据来源于各省市统计年鉴和历年《中国统计年鉴》《中国城市统计年鉴》《中国工业统计年鉴》《中国能源统计年鉴》。
表1 主要变量描述性统计结果
Table 1 Descriptive statistical results of main variables
变量类型变量名称变量符号 样本量均值标准差最小值最大值被解释变量绿色发明专利申请量(件)greenzl4 221306.8421 156.595024 051绿色实用新型专利申请量(件)greenxxzl4 221271.088804.795013 047解释变量 是否实施碳交易政策DID4 230——————01控制变量 经济发展水平lnpgdp4 2212.9554.0181.28912.223经济聚集程度(人/km2)rkmd4 207484.321643.5035.7148 830.145清洁能源供给lnslfd4 2014.6351.874-3.5078.172能源强度(万t)CO24 221233.218940.7351.84522 861.189R&D投入强度rdqd4 2210.3750.7930.0026.440科技人力资本(人年)rdrs4 221140 367.1156 636.251 209872 238其它变量 国有企业占比gyqy3 9390.5290.1700.2160.894产业结构高级化inc4 2210.9510.5320.0945.348市场化指数marketindex4 2217.0931.8262.37211.934工业企业数量的对数lnqys4 2206.5091.1170.6939.384
本文依据地方政府碳市场启动时期,将样本分为前后两个阶段,2006年—X年为非试点时期,X年—2020年为试点时期,其中,X为地区试点启动年份,即2013、2014或2016年。从整体上看,各省份从试点前2010年到试点后2020年绿色专利申请总量都有较大幅度增长,其中,广东省增长幅度最大,如图1所示。
图1 各省市(自治区)绿色专利情况
Fig.1 Status of green patents in various provinces and municipalities
将政策试点地区纳入处理组,其它省级行政区的城市纳入控制组。比较绿色专利申请量可知,两组平均绿色专利申请量随年份不断增长,如图2所示。同时,试点地区的平均绿色专利申请量一直明显高于非试点地区,并且试点地区呈指数化增长,非试点地区以低斜率的线性化增长,两组平均绿色专利申请量的差异随着时间快速扩大。从省级层面来看,各试点地区也呈现试点前线性化、试点后指数化的陡峭增长趋势,说明选取的试点地区具有典型性。然而,2020年绿色专利申请量有明显降低,可能是由于新冠疫情影响企业经济发展。
图2 处理组与控制组绿色专利情况比较
Fig.2 Comparison of green patents between the processing and the control groups
式(1)多时点DID的基准回归结果如表2所示,所有回归结果都控制了地区固定效应。为使双重差分的估计结果更准确,本文依次运用不加控制变量、引入控制变量、加入控制年份效应变量三种模型进行估计。表2中列(1)(4)是不添加控制变量的基准模型,列(2)(5)均添加控制变量,列(3)(6)均在地区固定效应的基础上添加时间固定效应。各模型的DID系数均在5%显著性水平下大于0,说明碳交易政策对促进低碳技术创新具有显著影响。在引入控制变量的双向固定效应DID模型中,碳交易政策实施能够平均提升255.7884件绿色发明专利、157.1206件绿色实用新型专利。因此,假设H1得证。
表2 碳交易政策对低碳技术创新影响的基准回归结果
Table 2 Benchmark regression results of the impact of carbon trading policies on low-carbon technological innovation
变量 绿色发明专利(greenzl)(1)(2)(3)绿色实用新型专利(greenxxzl)(4)(5)(6)DID810.765***357.307***255.788***657.695***226.646***157.121***(46.422)(44.389)(46.095)(35.981)(34.801)(35.144)lnpgdp-60.762***-51.910-6.875-53.193(6.713)(66.881)(5.263)(50.992)rkmd-0.141*-0.136*-0.359***-0.321***(0.075)(0.074)(.059)(0.057)CO20.343***0.337***0.219***0.210***(0.013)(0.014)(0.011)(0.010)lnslfd223.320***169.745***123.143***103.277***(22.760)(25.999)(17.844)(19.823)rdqd193.444***321.052***-92.497***12.678(40.315)(42.611)(31.608)(32.488)rdrs0.001***0.001***0.002***0.001***(0.0002)(0.0002)(0.0001)(0.0001)常数项226.554***-854.854***-628.088***205.957***-428.327***-320.611***(11.731)(100.203)(113.963)(9.092)(78.560)(86.889)年份固定否否是否否是地区固定是是是是是是样本数4 2214 1874 1874 2214 1874 187豪斯曼检验1.33114.34***123.88*** 0.80138.68***176.34***
注:***、**、*分别表示1%、5%、10%的显著性水平,下同;从豪斯曼检验结果来看,应该采用双向固定效应模型
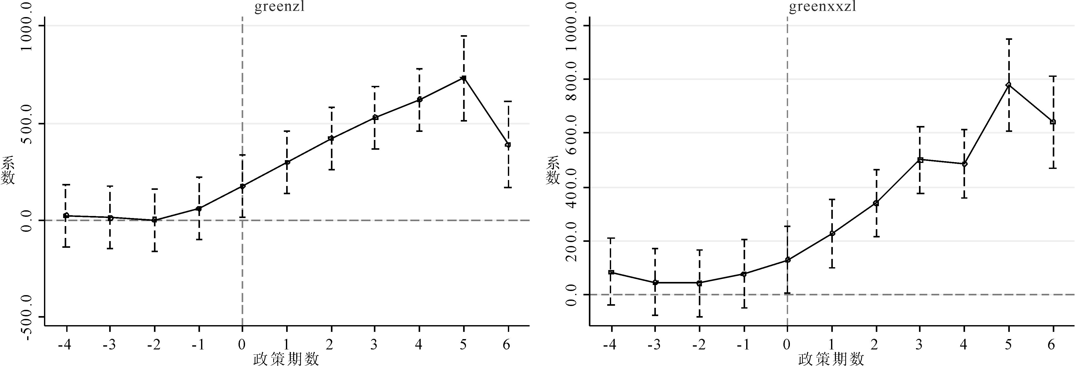
平行趋势检验是指,如果存在试点政策的冲击,那么,在碳交易政策实施前,试点城市(处理组)和非试点城市(控制组)的低碳技术创新变化趋势应该一致,在碳交易政策实施后,试点城市和非试点城市之间的趋势应该发生明显变化。图2中已经显示出这种趋势。然而,因为试点城市的启动时间不同,分布在2013、2014和2016年,若直接使用图2中两组的平均值绘制趋势图,则不能使平行趋势得到更合理和精确的检验(Gentzkow,2006)。所以,本文利用事件分析法进一步作平行趋势检验(Jacobson,1993)。如图3所示,系数βk在政策启动实施的前6年均在较低水平下呈平缓波动趋势,且均未通过显著性检验(交互项系数置信区间与0轴相交),即试点城市与非试点城市在政策实施前无显著差异,而2013年以后,试点城市低碳技术创新显著增加,且估计系数βk在1%显著性水平下为正,意味着平行趋势假设成立。
图3 DID模型的平行趋势检验结果
Fig.3 Parallel trend test results of DID model
从动态视角看,本文发现试点地区可能存在预期政策效应[12]。因为碳交易市场启动前两年的估计系数βk在8%显著性水平下为正,虽未通过5%的显著性检验,但也表现出低碳专利创新增长趋势。根据“信号—预期”理论(Dekker,2012),可以解释该预期政策效应产生的原因,在碳交易试点正式启动前,各试点地区已经作了较长时间的工作部署,比如2010年前平均每年发布一项有关碳交易的政策,2011年出台4项政策,这一系列政策信号都影响了企业低碳技术创新预期,激励各工业企业和科技公司提前投入绿色创新研发,以积极应对市场变化。同时,随着各地方政府对碳交易市场政策信息对称性、交易流动性、监管核查处罚、二级市场缺失等方面的逐步完善(齐邵洲,2018),促使碳交易更活跃,对企业低碳技术创新的激励效果更显著。
平行趋势检验初步验证了碳交易政策对低碳技术创新具有推动作用。但是,其它不可观测因素也可能随年份对试点地区的特征变量产生影响。对此,借鉴La Ferrara(2012)、Cai(2016)等研究,采用非参数置换检验方法。本文通过安慰剂检验回归估计结果的显著性是否受到不可观测因素的影响:①从282个城市中随机抽取50个城市作为碳交易试点地区,即伪处理组,其它所有未被抽取的城市作为伪控制组;②随机选取样本期内某一年份作为政策起始年份,并得到安慰剂检验的交叉项;③为防止小概率事件干扰估计结果,将上述过程重复回归500次,再统计与绘制虚拟政策回归系数的t值分布图,如图4所示。结果显示,绝大多数抽样样本的t值都小于1.96,基准回归结果通过了安慰剂检验。这说明碳交易政策对试点地区低碳技术创新的促进作用比较稳健,未因遗漏变量导致模型识别偏误。
图4 安慰剂检验结果
Fig.4 Placebo test results
为了确保回归结果的稳健性,避免因研究方法的特殊性而导致分析结果存在差异,本文分别采用多时点双重差分倾向得分匹配模型(PSM-DID)和合成控制双重差分模型(SCM-DID)对基准回归模型的稳健性进行检验。PSM-DID稳健性检验要求处理组和控制组具有同质性。采用Logit模型,以是否为对照组作为因变量,所有控制变量作为相应的匹配变量,分别采用半径匹配和核匹配进行样本匹配。从匹配数据的回归结果来看,无论采用何种匹配方法,核心解释变量都在5%显著性水平上为正(见表3)。因此,本文基准回归模型具有稳健性。
表3 PSM-DID稳健性检验结果(N=3 879)
Table 3 PSM-DID robustness test results(N=3 879)
变量 绿色发明专利(greenzl)(1)半径匹配(2)核匹配绿色实用新型专利(greenxxzl)(3)半径匹配(4)核匹配DID296.681***296.681***161.510***161.510***(51.640)(51.639 9)(36.450 1)(36.450 1)常数项-6.1e+02***-6.1e+02***-2.6e+02***-2.6e+02***(106.089)(106.089)(74.883)(74.883)控制变量是是是是年份固定是是是是个体固定是是是是
对于合成控制双重差分,借鉴Abadie(2003)的合成控制法思想,计算试点地区与非试点地区的结果变量的最小距离作为权重;根据相应权重加权构造出合成地区的虚拟绿色发明专利申请量和绿色实用新型专利申请量;运用传统DID的估计方法进行政策效应评估。SCM-DID的估计结果如图5-图6所示,对比控制组和对照组可以看出,从2013年起绿色发明专利和绿色实用新型专利都呈现显著上升趋势,证实了基准回归的稳健性。虽然绿色实用新型专利的平行趋势较好,但是,绿色发明专利的平行趋势不太明显,这可能是由于2011年国家批准碳交易后、各省市行动前,各试点地区已经开始部署低碳发展战略,提前促进市场较好发展。总体上看,碳交易政策推动低碳技术创新具有很好的稳健性。
图5 绿色发明专利合成双重差分趋势
Fig.5 Dual differential trends of green invention patent synthesis
图6 绿色实用新型专利合成双重差分趋势
Fig.6 Dual differential trends of green utility model patent synthesis
碳交易政策可以促进低碳技术创新,那么,试点地区如何驱动低碳技术创新?在政府政策的指导下,各城市采取的应对形式各有不同,有的发挥行政干预作用,有的通过调节地区产业结构引导落实,这些方式是否成为试点政策推动低碳技术创新的中间路径?为探究这一问题,本文从经济与管理共赢的角度构建中介效应模型,如式(3)所示。

(3)
5.1.1 行政干预的中介效应检验
从政策实施的角度来说,各级政府在落实一项好政策时,需要精准高效实施,才能将政策效果充分发挥出来。但是,在自由市场下,想要协调控制好个体经营户、私营企业、民营企业、国有企业等单位并不是一件容易的事情,这就需要受地方政府较强管控的国有企业发挥效用,起到榜样引领作用。同时,中共十九大报告指出,营造公平竞争的市场环境,有效发挥市场机制的作用,激发微观经济主体的活力与创造力。因此,本文选取国有企业占比(gyqy)衡量行政干预力度。表4回归结果显示,无论是绿色发明专利还是绿色实用新型专利,行政干预均在5%水平下显著为正,说明行政干预在碳交易政策与低碳技术创新间具有中介作用,因此,假设H2得证。
表4 行政干预与产业结构的中介效应检验结果
Table 4 Test results of the mediating effect between administrative intervention and industrial structure
变量绿色发明专利(greenzl)国有企业产业结构绿色实用新型专利(greenxxzl)国有企业产业结构β1385.150***447.613***233.860***290.160***(57.744)(57.456)(40.007)(39.259)β20.070***0.071**0.070*** 0.071**(0.008)(0.031)(0.008)(0.031)β'1336.484***402.228***215.324*** 268.251***(57.983)(54.042)(40.314)(38.128)β3693.682***635.541***264.218***306.805***(110.527)(27.057)(76.847)(19.089)部分中介效应48.666***108.222**18.536***21.910**总效应385.150***382.414***233.860*** 290.160***Sobel检验(5.033)(2.302)(3.183)(2.289)
注:Sobel检验结果为t检验的取值,此处Sobel检验值均大于0.05显著性水平下的Z值1.65,因此,存在部分中介效应
5.1.2 产业结构的中介效应检验
根据资源配置理论,经济环境因素是政府政策运行的必要条件。本文采用产业结构高级化作为衡量产业结构效应的代理变量。回归结果如表4所示,无论是绿色发明专利创新还是绿色实用新型专利创新,产业结构在5%水平下均显著为正,中介效应分别占比28.30%和7.55%,表明产业结构在碳交易政策与低碳技术创新间具有部分中介效应,因此,假设H3得证。
5.1.3 行政干预与产业结构的联动效应
根据经济与管理结合的观点,行政干预可以有效激励规划与落实地方产业结构升级,促进产业结构高级化,推动地方经济增长,实现双向共赢,进一步提高第三产业规模。碳交易市场的顺利实施一方面要依靠地方政府的精准落实,另一方面需要提高服务业水平。表5显示,碳交易市场的行政干预效应和产业结构效应存在显著联动效应,说明加强政府管控,可以更好地调控市场经济发展走向,带动服务业发展,促进第三产业升级。这进一步说明碳交易政策能够提高低碳技术创新的原因主要在于,碳交易政策能提升行政干预能力,激活服务业市场,从而激发提升碳交易市场工作效率和降低资金成本的愿望,最终促进低碳技术创新。
表5 行政干预与产业结构的联动效应(N=3 907)
Table 5 Linkage effect of administrative intervention and industrial structure(N=3 907)
变量产业结构(inc)绿色发明专利(greenzl)绿色实用新型专利(greenxxzl)gyqy0.448***268.133425.717***(0.073)(187.252)(148.988)inc569.994***227.199***(42.407)(33.742)DID239.394***128.480***(44.905)(35.729)常数项0.691***-1 150.418***-694.043***(0.059)(152.238)(121.129)
在碳交易政策试点过程中,虽然政府可以通过行政干预和优化产业结构推动碳交易政策实施,进而提高其对低碳技术创新的促进作用,但是,同一项政策可能在不同试点地区产生不同效果。从政策试点环境的角度来看,政策环境是影响政策实施的自然条件和社会条件的总和,具有差异性、多样性、动态性等复杂特征。一方面低碳技术创新建立在城市市场发展程度的基础上,不同地区的供需结构和入市壁垒不同,市场发展程度也不同;另一方面,城市所在经济区域不同,资源配置情况存在较大差异,低碳技术创新能力也不同。因此,市场发展程度和经济区域是影响碳交易政策对低碳技术创新促进效应的重要因素。
5.2.1 基于市场发展程度的异质性分析
已有研究发现,高市场发展程度对减少碳排放具有促进作用[25],但不同市场发展程度对低碳技术创新的具体作用有待考证。理论上,市场发展程度越高,越有利于提高碳交易市场活跃度,从而提高碳交易政策实施对低碳技术创新的促进作用。本文选取工业企业数量、市场化指数作为市场发展程度的代理变量,在基准回归的基础上添加交互变量,开展异质性分析。工业企业数量和市场化指数越大,市场发展程度越高。
表6结果表明:第一,用工业企业数量衡量市场发展程度时,DIDit*lnqys的交互项系数在5%水平下显著为正,表明碳交易政策对绿色发明专利和绿色实用专利的促进作用在工业企业数量较多(市场发展程度高)的地区更显著,如列(1)和列(4)所示。DIDit系数降低且显著为负,说明在市场发展程度较低的地区,碳交易政策对低碳技术创新的促进作用不明显,甚至可能抑制低碳技术创新。这是因为在低市场化地区实施碳交易政策,不仅难以促进企业间碳交易,还可能造成企业为了避免碳排放而减少或停止生产等抑制经济活动的负面影响。第二,用市场化指数衡量市场发展程度时,DIDit*marketindex的交互项系数在5%水平下显著为正,DIDit系数降低且显著为负,如列(3)和列(4)所示。该结果与使用工业企业数量作为代理变量的结果一致,故研究结论具有稳健性。综上所述,在市场发展程度高的地区,碳交易政策对低碳技术创新具有更好的促进作用;在市场发展程度低的地区,碳交易政策的促进作用不显著,若在低市场化地区强制实施碳交易政策,则可能产生相反效果。因此,假设H4得证。
表6 市场发展程度的异质性检验结果
Table 6 Heterogeneity test results of market development
变量 绿色发明专利(greenzl)(1)(2)绿色实用新型专利(greenxxzl)(3)(4)DID-1 319.341***-230.935-1 140.396***-284.922(218.536)(269.367)(166.067)(205.365)lnqys2.95120.206***(9.987)(7.589)DID*lnqys236.370***195.069***(32.021)(24.333)marketindex-30.4234.276(22.775)(17.363)DID*marketindex56.159*49.686**(30.058)(22.916)常数项-721.794***-452.899**-518.188***-391.080***(131.074)(198.776)(99.604)(151.546)控制变量是是是是年份固定是是是是地区固定是是是是观测值4 1864 1874 1864 187
5.2.2 基于经济区域的异质性分析
有研究指出,中国四大经济区域的绿色创新存在显著差异(孙博文,2022),东部地区的创新效率高于中西部地区(史修松,2009)。一般而言,绿色创新能力强的区域有更充足优质的资源要素,有利于通过碳交易政策促进低碳技术创新。参考赵滨元(2022)的研究,本文划分东部、中部、西部和东北四大经济区域,并考察不同区域的低碳技术创新能力差异。由于东北地区没有试点城市,此处不进行异质性分析。根据表7的回归结果可知:①东部地区和西部地区碳交易市场的低碳技术创新效应显著,并且东部地区碳交易市场的低碳技术创新效应最强,西部地区次之,这与东西部地区试点城市的市场发展程度高、经济发展规模大和行政干预能力强有关;②相比东西部地区,中部地区的低碳创新效果不显著,原因可能是该区域只有湖北省一个试点省份,样本特征不够明显,且湖北省地级市较多,而当前碳市场试点未在湖北省所有地级市精准执行。综上,假设H4得证。
表7 中国经济区域异质性检验结果
Table 7 Test results of regional heterogeneity in China's economy
变量 绿色发明专利(greenzl)东部地区中部地区西部地区绿色实用新型专利(greenxxzl)东部地区中部地区西部地区DID428.910***-6.832209.422***184.653**18.089165.437***(109.806)(52.569)(75.591)(86.842)(36.590)(53.108)常数项-287.636-759.349***-12.822-151.42013.071-75.229(250.773)(203.768)(242.720)(198.326)(141.830)(170.528)控制变量控制控制控制控制控制控制年份固定效应是是是是是是地区固定效应是是是是是是观测值1 2681 1951 2441 2681 1951 244
中国落实2030年碳达峰、2060年碳中和的目标,需要各行各业的共同努力,大力实施低碳技术创新。碳交易政策对试点地区低碳技术创新具有重要影响,本文采用2006—2020年中国282个地级市面板数据,运用多时点双重差分模型,分析碳交易政策对低碳技术创新的影响。结果表明:①总体来说,碳交易政策显著提升低碳技术创新水平;②从行政干预和产业结构共赢的视角,分析碳交易政策对低碳技术创新影响的中介效应,并讨论二者的联动效应,证实碳交易市场不仅促进低碳技术创新,还能提高政府行政干预能力,刺激产业结构升级,增进人民生活福祉,激励低碳技术创新;③区域异质性方面,市场化程度越高的地区,促进作用越显著,可以通过扩大工业企业数量和规模的方式增强激励效应。中国幅员辽阔,不同区域的资源环境、经济发展水平有所不同,目前东部试点地区的低碳技术创新效应最强,其次是西部试点地区,而中部试点地区的创新效应不显著。
梳理研究结论为“碳交易市场建设对低碳技术创新没有正向作用”的文献,探析本文研究结论与其不一致的原因:这些文献大多采用以理论分析、模拟博弈为主的研究方法或以企业为研究主体的微观视角,无法全方位展现中国碳排放权交易政策的影响效应。例如,肖汉杰(2019)从津贴、碳价等方面构建博弈模型,但未考虑碳抵消项目“中国核证减排量CCER”对低碳技术创新的激励作用。以企业为主体的研究,只能检测部分代表性碳排企业的低碳技术创新是否在政策前后有较大变化,难以考虑相应地区新型环保产业对碳排企业的贡献程度,导致研究结论具有片面性。
本文研究创新主要体现在以下3个方面:①研究视角方面,当前少有研究阐明碳交易政策如何影响低碳技术创新,本文从理论和实证角度阐明行政干预与产业结构联动共赢的中介效应、试点地区市场发展程度的异质性,揭示研究主体的影响途径和引起差异的原因,为该领域研究提供了理论支撑和经验证据;②研究数据方面,一方面,既往碳交易市场研究数据主要选取第一批碳交易试点城市,本文将第二批碳交易试点城市面板数据也纳入研究,使得研究数据更全面、样本量更大、时间范围更宽;另一方面,相关研究多聚焦于碳减排行业企业等微观层面,这很难从宏观层面把握碳交易政策对低碳技术创新影响的整体效用,也有研究从省级层面展开,但试点样本最多为8个,对于适用条件严格的PSM-DID模型很不友好,本文采用282个地级市作为研究样本,使得研究更具科学性和普遍适用性;③研究模型方面,以往研究大多采用单期双重差分模型[26]或合成控制法(王为东,2020)展开研究,这都要求各试点地区的政策启动时间具有一致性,但碳交易试点分为两批且启动时间不同,因此本文采用多时期双重差分模型进行研究,采用合成控制DID和PSM-DID模型进行稳健性检验,使得研究结论更加可靠。
本文研究结论对发展与完善碳排放交易市场、促进地区低碳创新、提高绿色生产规模和效率等具有重要政策启示:
(1)扎实推进全国各地区碳排放权交易市场制度建设。发挥碳交易市场与地区高度市场化的共同作用,各地方政府应处理好市场与管控的角色定位,科学清晰地界定市场与政府的行为边界,充分发挥行政干预与市场化的功能,最大程度实现创新激励效应。地方政府充分发挥各地区资本、自然资源、技术、劳动力等多方面优势,不断深化调整区域产业结构,采取更多促进区域技术创新协同发展的政策工具,加强区域性服务市场、共享市场平台等基础建设,降低企业创新成本,激发各区域低碳技术创新活力。建设全国碳市场的同时同步建设CCER制度,激励相关企业购买可用于抵消自身碳排的核证量,促进更多专业化创新低碳技术的绿色企业诞生,强化绿色交易市场的协同分工。
(2)逐步扩大碳交易行业覆盖范围,因地制宜采取激励措施。在系统总结碳排放交易试点地区成功经验的基础上,将相关政策又快又好地推向全国市场。全国碳排放权交易市场建设应在宏观上把握各区域特点与差异,因地制宜进行宏观调控。同时,加快推进全国碳排放权交易市场覆盖各行各业。中央与地方碳交易政策应保持协调一致、公开透明,积极组织产学研一体化,有目标地持续推进企业、高校、研究所共同开展低碳技术创新。
(3)联合多种经济手段和规制工具,并行激励低碳技术创新发展。探索碳交易市场更好激励低碳技术创新的有效手段,建立长效机制,最大程度实现碳交易政策的促进作用。发挥行政干预和产业结构在各地区碳交易市场领域的重要作用,为低碳技术创新持续提供动力,促进经济绿色发展。
[1] LINNENLUECKE M K, SMITH T, MCKNIGHT B. Environmental finance: a research agenda for interdisciplinary finance research[J]. Economic Modelling,2016,59(5):124-130.
[2] SHI B B, FENG C, QIU M, et al. Innovation suppression and migration effect: the unintentional consequences of environmental regulation[J].China Economic Review,2018,49(6):1-23.
[3] 宋弘,孙雅洁,陈登科.政府空气污染治理效应评估——来自中国“低碳城市”建设的经验研究[J].管理世界,2019,35(6):95-108,195.
[4] 卢娜,王为东,王淼,等.突破性低碳技术创新与碳排放:直接影响与空间溢出[J].中国人口·资源与环境,2019,29(5):30-39.
[5] GRUBB M, AZAR C, PERSSON U M. Allowance allocation in the European emissions trading system: a commentary[J]. Climate Policy,2005,5(1): 127-136.
[6] WOLFF, HENDRIK. Keep your clunker in the suburb: low-emission zones and adoption of green vehicles[J]. The Economic Journal,2014,124(578):481-512.
[7] SHINICHIRO F, TOSHIHIKO M, YUZURU M. Gains from emission trading under multiple stabilization targets and technological constraints[J]. Energy Economics,2015,48(8):306-315.
[8] GEHRSITZ M. The effect of low emission zones on air pollution and infant health[J]. Journal of Environmental Economics and Management,2017, 83(6):121-144.
[9] 汪明月,刘宇,史文强,等.碳交易政策下低碳技术异地协同共享策略及减排收益研究[J].系统工程理论与实践,2019,39(6):1419-1434.
[10] BERGEK A, BERGGREN C. The impact of environmental policy instruments on innovation: a review of energy and automotive industry studies[J]. Ecological Economics,2014, 106(9): 112-123.
[11] CONG R G, WEI Y M. Potential impact of ( CET ) carbon emissions trading on China's power sector: a perspective from different allowance allocation options[J]. Energy,2010,35(9):3921-3931.
[12] ZHANG Y J, WEI S, LIN J. Does China's carbon emissions trading policy improve the technology innovation of relevant enterprises[J]. Business Strategy and the Environment,2020,29(3):872-885.
[13] 张婕,王凯琪,张云.碳排放权交易机制的减排效果——基于低碳技术创新的中介效应[J].软科学,2022,36(5):102-108.
[14] LIU J Y, RICHARD T W, ZHANG Y J. Has carbon emissions trading reduced PM2.5 in China[J]. Environmental Science & Technology, 2021,55 (10):6631-6643.
[15] HUANG Y, LIU L, MA X,et al. Abatement technology investment and emissions trading system: a case of coal-fired power industry of Shenzhen China[J]. Clean Technologies and Environmental Policy,2015,17(3):811-817.
[16] 张海军,段茂盛,李东雅.中国试点碳排放权交易体系对低碳技术创新的影响——基于试点纳入企业的实证分析[J].环境经济研究,2019,4(2):10-27.
[17] 吴茵茵,齐杰,鲜琴,等.中国碳市场的碳减排效应研究——基于市场机制与行政干预的协同作用视角[J].中国工业经济,2021,39(8):114-132.
[18] 李晖.碳排放权交易能促进企业创新吗——基于中国碳交易试点覆盖企业的检验[J].系统工程,2022,40(6):11-22.
[19] 白旭云,王砚羽,苏欣.研发补贴还是税收激励——政府干预对企业创新绩效和创新质量的影响[J].科研管理,2019,40(6):9-18.
[20] 王凤荣,李安然,高维妍.碳金融是否促进了绿色创新水平——基于碳排放权交易政策的准自然实验[J].兰州大学学报(社会科学版),2022,50(6):59-71.
[21] 刘满凤,程思佳.碳排放权交易促进地区产业结构优化升级了吗[J].管理评论,2022,34(7):33-46.
[22] 李丫丫,秦帅.低碳技术创新与中国绿色经济增长:中介机制与异质性特征[J].科技与经济,2022,35(3):31-35.
[23] 崔艳娟,李延喜,陈克兢.外部治理环境对盈余质量的影响:自然资源禀赋是“诅咒”吗[J].南开管理评论,2018,21(2):172-181,191.
[24] 杜可,陈关聚,梁锦凯.异质性环境规制、环境双元战略与绿色技术创新[J].科技进步与对策,2023,40(8):130-140.
[25] ZHU J M, FAN Y C, DENG X H, et al. Low-carbon innovation induced by emissions trading in China[J]. Nature Communications,2019,35(1):4088-4098.
[26] 郭红欣,张乐权,吴斯玥.碳排放权交易对中国低碳技术创新的影响研究:基于碳排放权交易试点的准自然实验[J].环境科学与技术,2021,44(12):230-236.