新生代员工资质过剩感对越轨创新行为的影响
——一个被调节的多中介模型

马 丽1,2,3,王姜硕1

(1.燕山大学 经济管理学院;2.燕山大学 区域经济发展研究中心, 河北 秦皇岛 066004;3.天津师范大学 管理学院,天津 300382)

摘 要:随着数字经济蓬勃发展,新兴数字技术在传统领域的应用不断深入,给企业数字化转型带来巨大创新潜能和机会。新生代员工在创新过程中面临“创新悖论”,导致自发性越轨创新行为的发生。根据自我调节理论和自我一致性理论,基于332份调查问卷,构建一个被调节的多中介模型,探讨新生代员工资质过剩感对越轨创新的影响。结果表明,资质过剩感正向影响员工越轨创新行为;角色宽度自我效能感、消极情绪分别在认知和情绪路径上对资质过剩感与越轨创新间的关系起到部分中介作用;心理安全感正向调节角色宽度自我效能感、消极情绪与员工越轨创新间的关系。研究结果有助于厘清新生代员工资质过剩感与越轨创新间的作用机制和边界条件,为有效发挥新生代员工资质过剩感的作用、适当引导员工越轨创新行为、促进组织管理实践提供人力资源的辨识与思考。

关键词:资质过剩感;越轨创新;角色宽度自我效能;消极情绪;心理安全感

The Influence of the New Generation of Employees' Perceived Overqualification on Deviant Innovation Behavior: A Moderated Multiple-mediation Model

Ma Li1,2,3,Wang Jiangshuo1

(1.School of Economics and Management,Yanshan University;2.Research Center for Regional Economic Development,Yanshan University,Qinhuangdao 066004,China;3.School of Management,Tianjin Normal University,Tianjin 300382,China)

AbstractNowadays, the new generation of employees represented by the "post-90s" has become the backbone of enterprises, and they have become important human resources for the core competitiveness of enterprises. The new generation of "post-90s" tend to challenge convention, and question everything with innovative and critical thinking. With the changing supply and demand relationship in the labor market, they are more likely to experience a feeling of "overqualification". With the vigorous development of the digital economy, the application of emerging digital technologies in traditional fields continues to deepen, bringing enormous innovation potential and opportunities to enterprises in digital transformation. The new generation of employees is facing an "innovation paradox" , and in order to break through this barrier and the innovation bottlenecks, and give full play to their flexibility and creativity, some employees may resort to deviant methods to solve the dilemma of being "shackled", which will trigger spontaneous deviant innovation behavior.

Currently, most studies have focused on overqualification from a negative perspective, and believed that overqualification can easily lead to negative attitudes and behaviors, such as low job satisfaction, high turnover behavior and anti-productive behavior. However, it is worth noting that the complexity of overqualification and deviant innovation behaviors cannot be ignored. Overqualification could be a valuable resource, and it is of significance to further explore how to reduce the occurrence of negative behaviors and promote the transformation of redundant qualifications into innovative achievements through the rational allocation of resources and the induction of boundary conditions.

This empirical study aims to explore the influence mechanism of the new generation of employees perceived overqualification, role breadth self-efficacy and negative emotions on deviant innovation behavior in China. Following self-regulation theory and self-consistency theory, the study constructs a moderated mediation model from the perspective of individual perception and psychological motivation, with role breadth self-efficacy and negative emotions as mediator variables, and psychological security as a moderator variable. A questionnaire survey is conducted among 332 "post-90s" employees from the manufacturing industry, the Internet and the financial industry in Beijing, Hebei, Tianjin, etc. The hierarchical regression and Bootstrap procedures are used to test the moderated mediating model. It is found that (1) perceived overqualification positively affects employees' deviant innovation behavior; (2) role breadth self-efficacy and negative emotions partially mediate the relationship between overqualification and deviant innovation in cognitive and emotional perspectives respectively; (3) psychological security positively moderates the relationship between role breadth self-efficacy and employee deviant innovation; (4) psychological security positively moderates the relationship between negative emotions and employee deviant innovation.

The theoretical contributions of this study are mainly as follows. Firstly, following the self-regulation theory, this study reveals why the new generation of overqualified employees use deviant innovation as a way to prove their qualifications, reflect their self-worth, pursue career development, and increase innovation challenges. On the basis of analyzing their psychological needs and intrinsic motivation, this study creatively integrates ability, willingness and boldness into the same model. Secondly, this study focuses on the complexity of overqualification and deviant innovation behavior. It incorporates two seemingly contradictory but actually parallel perspectives, i.e., role breadth self-efficacy and negative emotions, into the theoretical model. It then integrates the generation and action paths of positive and negative aspects, which can not only depict the complexity of overqualification, but also coincide with the characteristics of deviant innovation with both "loyalty" and "rebellion". Thirdly, this study constructs a moderated mediation model by introducing psychological security, clarifying the boundary of the mechanism between overqualification and deviant innovation behavior. With the continuous changes and development of the internal and external environment, it is extremely important for employees to be bold when facing opportunities and challenges, especially when deviant innovation is highly risky and uncertain. Therefore, this study introduces this perception of environmental safety as a moderate variable in innovation. From the perspective of boldness, it provides an explanation mechanism that can transform supportive perceptions into specific innovative behaviors, helping to understand the behavioral tendencies of employees responding to different stimuli.

Key WordsPerceived Overqualification; Deviant Innovation;Role Breadth Self-efficacy; Negative Emotions; Psychological Security

DOI10.6049/kjjbydc.Q202207492

开放科学(资源服务)标识码(OSID):

中图分类号:F272.92

文献标识码:A

文章编号:1001-7348(2024)10-0140-10

收稿日期:2022-07-26

修回日期:2023-01-06

基金项目:河北省高等学校人文社会科学重点研究基地项目(JJ2205);河北省社会科学发展研究项目(20220101039)

作者简介:马丽(1976—),女,河北唐山人,博士,燕山大学经济管理学院、区域经济发展研究中心教授,天津师范大学管理学院教授,研究方向为组织行为学与人力资源管理;王姜硕(1998—),女,河北秦皇岛人,燕山大学经济管理学院硕士研究生,研究方向为组织行为学与人力资源管理。

湖北省科学技术协会 协办

0 引言

中共二十大报告指出,科技是第一生产力、人才是第一资源、创新是第一动力。创新驱动的本质是人才驱动,以“90后”为代表的新生代员工正成为企业的中坚力量[1],其职场地位和重要性日渐提升,成为企业核心竞争力的重要人力资源。近年来,随着数字技术的持续进步,在大数据、人工智能、物联网、5G通信、区块链等新兴技术共同驱动下,企业管理数字化、智能化发展节奏也相应提速,随之而来的发展不确定性以及员工具备的数字化思维将给组织管理者带来系统性、多层次的深远影响。

“90后”新生代多为独生子女,在备受关爱的背景下成长,具有良好的教育条件,相比于以往代际,其更漠视权威,创新意识和对新事物接受能力也更强[1]。尤其在数字经济时代推动下,信息传播与获取途径更加多样化,极大开阔了新生代的认知视野,使其面临更多机遇和挑战,因此对自我价值的实现也有着更高的期待。然而,随着高等教育的普及,接受高等教育的学生数量远多于市场工作岗位需求,这种教育与经济发展之间的不协调,造成人才供需失衡,从而使市场就业形势十分严峻[2]。劳动力市场供求关系变化导致越来越多的员工觉得自己被“大材小用”,有关报告显示,中国有高达84%的员工认为自身资质高于岗位要求[3],可见体验资质过剩已成为一种普遍现象。因此,有必要对新生代员工资质过剩感进行更为细致和深入的研究。

资质过剩感是指个体认为自身教育水平、经验、知识或能力超出工作的实际需求[4]。现有研究多从消极视角看待资质过剩感,认为资质过剩感易引发低工作满意度、高离职行为[5]、反生产行为[6]等负向态度和行为。也有部分学者从积极视角切入,如钟竞等(2021)认为资质过剩感可以促进创新、提升绩效等。以成就和自我实现为导向的新生代员工更具独立性和批判精神[2],相对而言更容易滋生资质过剩感,较高的资质过剩感意味着其认为自己丧失了符合自身预期和资质的工作机会,导致其形成一种对理想工作及与之相匹配的社会地位、资源被剥夺的认知与判断,从而诱发消极情绪。在心理学中,人们寻求自身最大化的积极体验、减少消极体验是最基本和不可改变的行为法则[7]。对当前工作状况的不满是员工实施创新行为以改变不良现状的重要原因,正如Schermuly等[8]基于资源保存理论指出,感知到资源被剥夺的员工,有动机保护其当前资源并获取新资源。在此基础上,Zhang等[9]指出,在资质过剩感研究中,个体自我调节潜能值得进一步探讨。

自我调节是指个体为实现目标,缩小现实与理想的差距,不断调整其认知、情绪和行为的过程。当资质过剩感员工产生消极情绪后,为避免情绪资源进一步损耗,个体会根据外部环境进行自我调整,采取建言、创新、工作重塑等行为改变现状,重新设计自己的工作内容和工作边界,规避负面心理体验[3]。自我调节系统的运作依赖于自我信念,而自我效能感对个体动机信念变化有很好的解释作用。角色宽度自我效能感作为一种特殊的自我效能,是员工能否承担超出其工作要求任务的一个重要预测因素[10],能够给予员工更大发挥空间,不被原有角色定义束缚,从而通过自我调节过程进行创新,提高任务的复杂性和多样性,改善工作环境,消减差异,缓解负面情绪。

由于创新的不确定性以及组织资源紧张等问题,员工的某些创新想法和行为可能不被企业接受。为突破这层障碍,破除创新瓶颈,使自身灵活性和创造性得到充分发挥,部分员工可能通过越轨的方式摆脱被束缚的困境。此外,社会和组织对创新的态度从过程控制逐渐转变为结果导向,这将进一步激化个体创新意识与组织规章制度之间的矛盾,由此越轨创新日益普遍[11-13]。越轨创新是指个体自发以隐蔽的方式实施未获组织支持但有利于组织创新绩效提升的创新行为[14]。越轨创新行为虽以越轨的方式展开,但并非越轨和创新的简单相加,而是以创新为目的、以越轨为手段的一种特殊创新行为[15]

创新意味着改变、付出和冒险,一旦失败可能遭遇一系列问题。因此,资质过剩感员工不仅受到实际拥有、应该得到等相关情感和认知反应之间比较的影响,还受到在组织中感受到的社会接受度的影响。越轨创新作为一种具有高不确定性的高风险行为,员工在实施越轨创新行为之前会对其结果和风险进行判断、预估,而心理安全感能够反映个体对其行为的风险承担倾向[16],通过对外界环境的感知影响个体判断,进而促使其调整自身行为。因此,本研究基于自我调节理论,构建角色宽度自我效能感和消极情绪的双中介模型,同时引入心理安全感作为调节变量,对资质过剩感影响新生代员工越轨创新的作用机制进行研究,以期为组织对资质过剩感员工的管理和员工冗余资质的创新转化提供参考借鉴。

1 理论基础与研究假设

1.1 资质过剩感与越轨创新

资质过剩感是指个体认为自身教育水平、经验、知识或能力超出工作的实际需求,是一种对人岗不匹配现象更具灵敏性和放大效应的感知[4]。需要强调的是,资质过剩感是一种过度自信的心理感知,个人往往倾向于高估自身能力和资质,即客观资质并不过剩的员工也可能产生资质过剩感[17]。特殊的成长背景造就独特的心理特质,相较于物质需求,新生代员工更加注重内在的自我体验[18],更容易滋生资质过剩感。当前新平台经济发展也给组织和个人带来新的挑战,这就要求员工以更灵活、更具创新性的姿态发挥自身主动性,提高自身和组织竞争力,以应对多元化、信息化、动态化的内外部环境。在这一过程中,员工对自我的要求不断提高,同时更加关注对工作的掌控感,因而会通过各种资源和渠道提升自身能力,实现个人价值和目标,增强工作获得感。

新生代员工更注重追求自我实现和个人成长,当其感知到自身需求与当前境况存在差异时,就会产生资质过剩感,且资质过剩感员工对待工作任务十分自信,往往认为任务缺乏挑战性,自身价值和能力超出当前实际工作所需,自身优势得不到充分发挥[19]。Parker[20]指出,个体有动机保持最佳刺激水平,因而对能力、自主性有基本需求,这可能刺激员工使用冗余资质提出创造性工作想法,积极扩大自身工作职责范围,实施角色外行为,以应对差异和不匹配,实现个人成长。此外,马蓓等[21]根据面子理论指出,个人有“想挣面子”和“怕丢面子”两种面子观。由于自身能力未得到充分发挥,没有展示出符合自身能力的公共形象,为“挣得面子”,资质过剩感员工试图通过实施创新行为,展示出与自我认知一致的个人能力,构建积极的自我形象。

综上可知,感知资质过剩的新生代员工在认知资源、心理动机等方面具有充分储备,为实施创新活动提供了条件和路径。创新活动的风险较高,若提前将偏离性创新项目公之于众,可能使员工承受更大压力,失去探索性优势[11]。员工创新失败可能遭受组织惩罚,如减少创新资源供给,同时使员工自尊、面子受损。不被组织认可的创新想法并不意味着不正确或无意义,可能只是由于其表现出的边缘性、超前性、高难度和高不确定性而被拒绝。新生代员工不愿被动接受任务和工作环境,而是倾向于在工作过程中主动提高任务的多样性和复杂性(林世豪等,2022)。因此,员工会私下进行越轨创新,不将创新想法暴露在众人面前,待掌握充分证据证明自己的创新想法可行且有价值后,再向组织公开,以降低创新失败带来的负面影响,提高被组织接受和认可的可能性,这也是所谓的创新主张延迟公开优势[22]。基于此,本文提出如下假设:

H1:资质过剩感对越轨创新行为具有显著正向影响。

1.2 角色宽度自我效能感的中介作用

角色宽度自我效能感(Role-Breath Self-Efficacy,RBSE)是指员工对执行一系列超出规定技术要求的更宽泛、主动工作任务的感知能力或自信程度[23]。该定义更加强调员工的主动性和任务的广泛性,而不是局限于某一领域或任务。角色宽度自我效能感与员工的创新行为、主动行为以及其它角色外行为密切相关,强调“我能”的认知[23],能够使员工获得更多认知资源,更积极地参与到创造性活动中,是激发员工主动实施创造性行为的动力因素。王朝晖[19]认为,角色宽度自我效能构成员工创新行为的动机和认知机制,员工更期待承担与个人能力相匹配的工作,使自身才华和能力得到最大程度发挥与认可。

根据自我评价理论,资质过剩感员工认为自己具有超过组织或岗位要求的能力,人力资本起点较高。新生代员工不愿安于现状且充满信心,期待自己有更好的工作表现,这有助于增强自我效能感,从而激发员工的能动性。Chu等[10]指出,资质过剩感员工会寻求更广泛的工作任务,并在这一过程中依据自身剩余资质评估任务的可行性,从而具有较强的角色宽度自我效能感,这为完成工作职责外的任务提供了积极心理支持;Zhang等[9]认为资质过剩感员工会产生较强的角色宽度自我效能感,从而激发其实施主动性工作行为。

资质过剩感可能引发个体的消极情绪体验。考虑到离职等工作转换的潜在成本和个体构建积极自我形象的愿望,员工会通过调整现有工作边界或改变工作处境等角色外行为,拓宽角色宽度自我效能感,将外溢的资质延伸到角色之外的内容,以获得更丰富的工作资源,从而符合自身利益或兴趣[24]

由于越轨创新具有高风险和高不确定性,员工会承受极大的心理负担和压力。同时,越轨创新的隐蔽性使员工很难公开获得组织和同事的支持与帮助,因此需要员工具有强大的信念、勇气和能力。高角色宽度自我效能感员工拥有较为丰富的心理资源,愿意接受挑战和创造机会,在面临人岗不匹配问题时,能够更加有效地执行应对策略并快速采取行动,从而更好地消减差异。周燕等[25]指出,宽泛的角色宽度自我效能感有助于员工打破角色限制,积极进行越轨创新。

根据认知—情感系统理论(CAPS),较强的自我效能感使员工在工作中遇到阻碍和困难时不轻言放弃,反而能够极大刺激其实施越轨创新行为。因此,当个体拥有较强的角色宽度自我效能感时,会自发寻找额外信息,了解并开展工作领域之外的其它任务。同时,高角色宽度自我效能感员工十分自信,能够积极主动尝试新想法、新事物[10],相信即使未得到组织正式批准,没有相关资源加持,仍能超越常规角色和职责创造性地开展工作。基于上述分析,本文提出如下假设:

H2:角色宽度自我效能感在资质过剩感与越轨创新行为之间起中介作用。

1.3 消极情绪的中介作用

一直以来,情绪被认为是影响人们行为的关键要素,具有影响个体认知内容、信息加工方式的功能。人们通常使用情绪作为所处环境类型的信号,并通过这些信号引导自身思考和行动[26]。近年来,情绪在组织行为学领域逐渐受到重视,学者们开始研究情绪对工作绩效、生产力等工作变量的影响。由于新生代员工没有经受过太多挫折和失败,抗压能力较弱,情绪和心理易受到外界环境影响。当员工感到自身能力超出工作要求时,会将简单的工作内容和安排视作不被组织肯定和认可的表现,认为其资质被低估和忽视,可能产生更多消极情绪。赵李晶等[17]基于资源保存理论指出,产生资质过剩感的个体会认为自己有价值的资源(如时间、知识等)被无端耗费在当前工作岗位上,从而出现情绪耗竭等反应;Schermuly等[8]认为,员工有动机保护其当前资源并获取新资源,当个体在工作中失去资源时,更容易产生厌烦、愤怒等消极情绪。

情绪属于个人资源,消极情绪意味着对情绪资源的消耗。一定条件下,个体为减少消耗,消解负面情绪带来的不良体验,会被驱使采取某些行动[27],如可能通过采取建言、创新、工作重塑等行为改变现状、扭转局面,规避负面心理体验[3]。根据紧张理论,由于组织资源是有限的,员工通过常规渠道开展创新活动的可能性受到限制,由此产生结构性紧张。此时,基于自我证明等心理,员工可能通过其它非常规方法弥补正式组织资源的不足,继续实施自己的创新想法,以缓解结构性紧张以及由此带来的负面情绪[28]

情绪投入理论认为,个体体验到的情绪能够作为一种信息反映当前环境。消极情绪产生意味着个体对当前状态存在不满,需要聚焦细节信息进行系统性分析,找出问题并加以解决,从而在思维的流畅性和原创性上提高创造力[29]。于静静等[30]认为在情绪—信息理论视角下,消极情绪可以在支持性情景中提升创造力,促使个体产生与问题解决相关的创造性行为。同时,根据自我调节理论,为改善资质与工作不匹配带来的负面自我形象和不良体验,员工通常会对目标进行重估和调整,采取非常规和不符合伦理规范的方式[30],利用过剩资质完成更具挑战的任务,实施更多角色外行为,创造更高的绩效和价值,以将过剩资质转化为自身独有的竞争力,并得到组织认可。

综上,在一定条件下,消极情绪能够对创造力起到促进作用,从而正向推动创新行为。李海等[31]基于阴阳观视角指出,消极情绪虽不利于个体认知灵活性的提高,但由于消极情绪能够向个体传达现实环境与理想状态之间的差异,个体迫切想要改变现状,导致情绪波动更大,更有可能扩展看待问题的角度,从而产生创新性想法,激发创造力。新生代员工更注重追求自我实现和自我提升,在一定环境下,面对因资质过剩感产生的消极情绪,新生代员工不会回避或者一蹶不振,而是会主动寻找改变现有局势的方法和机会,甚至以冒险、越轨的方式调整和改变不利环境,进行越轨创新,以期提升自身成就感和价值感。基于此,本文提出如下假设:

H3:消极情绪在资质过剩感与越轨创新行为之间起中介作用。

1.4 心理安全感的调节作用

心理安全感是员工的一种心理认知,是指个体感知到自己在工作中能够自由表达,即使参与有风险的行动,也不需要担心自身行为对形象、地位、事业产生负面影响或受到惩罚[32]。当员工感受到组织中的人际关系是互相帮助、相互信赖的,预估其开展表现自我的行动不会受到他人嘲讽和误会时,会产生较强的心理安全感。心理安全感能够反映个体心理状态,高心理安全感能让员工放下担忧和不安,主动采取行动,寻找缓解自身困境的方式和方法,从而削弱消极体验。

资质过剩感员工并不完全置身于社会真空中,也被嵌入到同事、组织等各种关系环境中。因此,其不仅受到自身实际拥有、应该得到等相关情感和认知反应之间比较的影响,还受到在组织中感受到社会接受度的显著影响。心理安全感强的个体感受到组织支持后,能够进一步明确目标,积极进行自我调节,提升创造力,表现出更高的工作参与意愿。因此,本研究从心理安全感角度探讨其对资质过剩感员工越轨创新行为的内在调节机制。

资质过剩感通过情绪和认知路径对员工行为产生影响,而心理安全感能够潜移默化地调节两条路径上的加工过程。在高角色宽度自我效能感员工认为自己“能做”的基础上,激发创造力还需要一定机会,即员工能感知到在组织中“被支持做”。在注重集体主义的中国文化情境下,员工能否感知到安全,与同事、领导、周围环境保持良好关系的心理感知,以及组织创新氛围、容错程度等宽容的支持性环境是驱动员工实施主动性行为的重要要素[33]。高资质过剩感员工会因其过高的资质未被满足而产生负面情绪,此时需要有利于创新的情景,才能使其创新资质被激活[34]。心理安全感作为员工的心理变量,其产生通常需要和谐包容的环境,且对待错误与差异需要给予支持与尊重,这种轻松的氛围能够缓解高资质过剩感员工的消极情绪,同时能够激发其发挥自身优势进行创新。已有研究表明,当员工存在不满情绪、对改变当前工作状态有迫切需求且实施该行为是有意义且安全的,就会表现出建设性而非破坏性行为[35]。在缺乏心理安全感的状态下,即使对当前工作状态感到不满,渴望打破和改变现状,但由于员工认为组织中没有容错氛围,会采取“鸵鸟策略”,而不是通过变革和创新改变当前的不利环境[35]

越轨创新作为一种“亦正亦邪”的高风险和高收益行为,其成功可以给组织带来额外利益,但若失败,则会给员工带来一系列负面影响,如上级的批评惩罚、同事的冷嘲热讽、个人形象声誉受损以及巨大的心理压力等。由于越轨创新充满不确定性,员工会事先判定现有情形和条件是否有利于实施该行为,以及开展越轨创新行为是否值得。因此,尽管越轨创新可以让员工充分展示自己的能力,得到认可,但并非所有具备创新能力的员工都会选择实施该行为。只有当员工认为越轨创新是必要且有意义的、创新失败的后果是自身可以承受的,且不会受到同事和组织排斥、惩罚等负面问题影响时,才会选择进行越轨创新。

高心理安全感员工在面对组织资源与个人期望不匹配困境时,更愿意通过自身创造力克服当前障碍和约束,激发个体积极性和主动性。高心理安全感能够通过个人成长整合模型中的自主、能力和归属促进员工越轨创新行为。其中,自主是指员工可以根据自身想法自主开展活动;能力是指组织为员工提供安全、安心的环境以及个人成长发展与展示自我的机会,也是组织对员工能力肯定和认可的一种方式;归属是指组织氛围使员工在情感上更加依赖和信任组织,让员工对组织有归属感。根据社会交换理论,心理安全感强的员工对组织有较高的依赖性和归属感,愿意为组织实施越轨创新行为,以推动组织的变革性进步或带来额外效益。因此,心理安全感可以通过滋养个体的自主、能力和归属需求激发员工越轨创新行为。

心理安全感的高低对员工实施越轨创新行为具有不同程度的影响。低心理安全感员工会因担忧越轨创新的高风险性给自己带来不利影响而减少该行为,而高心理安全感员工对外部环境的控制力更强,更容易开展越轨创新活动。由此,本文提出如下假设。

H4a:心理安全感对角色宽度自我效能感与越轨创新间关系具有调节作用,员工心理安全感越高,其正向调节作用越强;

H4b:心理安全感对消极情绪与越轨创新间关系具有调节作用,员工心理安全感越高,其正向调节作用越强。

本文理论模型如图1所示。

图1 理论模型
Fig.1 Theoretical model

2 研究方法

2.1 研究样本

本研究通过问卷调查法收集数据,研究对象为北京、河北、天津、江苏等地的“90后”新生代员工,被调查行业主要涉及制造业、互联网、金融业等。在正式调查前,进行预测试,以校验问卷信效度。正式调查通过线上线下相结合的方式开展,线下问卷发放对象主要为“90后”MBA学生,通过在课堂上现场分发和回收纸质问卷;线上主要采用滚雪球的抽样方式,发放时侧重“90后”年轻员工群体。共发放问卷479份,根据年龄变量剔除非“90后”填写和填写模糊的问卷147份,最终得到有效问卷332份。其中,年龄在25岁以下59人(17.8%),25~28岁179人(53.9%),29~32岁94人(28.3%);男性160人,占48.2%;学历以本科和研究生为主,本科占52.7%,硕士和博士研究生共占39.8%;科研/技术类岗位员工250人,占比75.3%。

2.2 研究工具

为确保研究效度,本研究选取国内外成熟量表。除消极情绪量表采用Likert七点评分(1~7表示从“完全不符合”到“完全符合”)外,其余变量均采用Likert五点评分(1~5表示从“完全不符合”到“完全符合”)。

(1)资质过剩感。采用Maynard等(2006)编制的量表,共包含9个题项,题项示例如“比我学历低的人也可以做好我目前的工作”等。该量表的Cronbach's α系数为0.875。

(2)角色宽度自我效能感。采用Parker等(2006)编制的量表,共包含7个题项,题项示例如“我会在自己的工作领域中设计新的工作流程”等。该量表的Cronbach's α系数为0.885。

(3)消极情绪。Watson(1988)设计的PANAS量表将情绪划分为积极情绪和消极情绪,两个维度各有10个题项。本研究采用其中的消极情绪分量表,共包括10个题项,题项都是描述内心感受的一些形容词,如“沮丧的、厌烦的、易怒的”等。该量表的Cronbach's α系数为0.817。

(4)心理安全感。采用Edmondson(1999)编制的量表,共包含7个题项,题项示例如“在组织中,员工做冒险的事是安全的”等。该量表的Cronbach's α系数为0.880。

(5)越轨创新。采用Criscuolo等(2013)开发的越轨创新行为量表,共包括5个题项,题项示例如“在所从事的主要工作之外,我喜欢思考一些新的想法”等。该量表的Cronbach's α系数为0.879。上述量表的信度系数均高于统计学建议标准,即α>0.7,具有较高的测量信度。

(6)控制变量。为避免无关因素对研究变量间因果关系的干扰,参考以往研究,本文选取性别、年龄、受教育程度、岗位性质作为控制变量。

3 实证分析

3.1 验证性因子分析与共同方法偏差检验

首先对5个变量间的区分效度进行验证性因子分析,结果如表1所示。可以发现,五因素模型拟合良好且优于其它模型(χ2/df=1.168,RMSEA=0.023,CFI=0.986,NFI=0.942,RFI=0.935),表明变量间的区分效度较高。

表1 验证性因子分析结果
Table 1 Confirmatory factor analysis

模型χ2dfχ2/dfRMSEACFINFIRFI五因子模型(PO;RB;NE;PS;BO)289.1552651.0910.0170.9950.9420.935四因子模型(PO+RB;NE;PS;BO)393.4272691.4630.0370.9740.9220.913三因子模型(PO+RB;NE;PS+BO)588.162722.1620.0590.9330.8830.871二因子模型(PO+RB+NE;PS+BO)787.7622742.8750.0750.8910.8430.828一因子模型(PO+RB+NE+PS+BO)1 337.4362754.8630.1080.7750.7340.71

注:N=332,PO=资质过剩感,RB=角色宽度自我效能感,NE=消极情绪,PS=心理安全感,BO=越轨创新

为降低共同方法偏差,本研究通过匿名测量、部分项目反向等方法进行控制。对研究数据进行Harman单因素检验,未旋转的探索性因子分析结果提取出特征值大于1的因子共5个,最大因子方差解释率为24.67%(小于40%),表明不存在严重的共同方法偏差。

3.2 描述性统计与相关性分析

由表2可知,资质过剩感与越轨创新显著正相关(r=0.693,p<0.01),资质过剩感与角色宽度自我效能感(r=0.773,p<0.01)、消极情绪(r=0.546,p<0.01)均显著正相关,越轨创新与消极情绪(r=0.502,p<0.01)、角色宽度自我效能感(r=0.730,p<0.01)之间均存在显著正相关关系。相关假设得到初步验证。

表2 变量均值、标准差与相关系数
Table 2 Mean values, standard deviations and correlation coefficients of variables

变量1234567891.性别12.年龄0.06613.受教育程度0.0780.153**14.岗位性质0.077-0.310**-0.01315.资质过剩感0.051-0.128*0.0060.210**16.角色宽度自我效能感0.029-0.1070.0350.246**0.773**17.消极情绪0.013-0.0840.0860.162**0.546**0.514**18.心理安全感0.021-0.0890.0470.287**0.497**0.426**0.329**19.越轨创新0.021-0.0410.0730.223**0.693**0.730**0.502**0.757**1均值1.520 2.770 2.380 1.250 3.265 3.236 4.027 3.110 3.063 标准差0.500 1.326 0.713 0.432 0.708 0.770 0.666 0.810 0.893

注:*表示p<0.05,**表示p<0.01

3.3 多重共线性诊断

为保证结果的可靠性,在进行回归分析前,本研究使用SPSS软件对变量进行多重共线性检验,结果如表3所示。结果显示,VIF值均小于3,说明不存在严重的多重共线性。

表3 多重共线性诊断
Table 3 Multicollinearity diagnosis

变量容差VIF资质过剩感0.3462.889角色宽度自我效能感0.3892.569消极情绪0.6781.475心理安全感0.7451.342

3.4 中介作用检验

运用SPSS软件,采用层级回归方法对角色宽度自我效能感、消极情绪的中介效应进行检验,结果如表4所示。由M6可知,控制性别、岗位性质等变量后,资质过剩感与越轨创新行为显著正相关(β=0.859,p<0.001),H1通过验证。由M2可知,资质过剩感与角色宽度自我效能感显著正相关(β=0.822,p<0.001),H2通过验证。由M7可知,纳入角色宽度自我效能感后,角色宽度自我效能感对越轨创新具有显著正向作用(β=0.541,p<0.001),且资质过剩感对越轨创新的影响程度较M6有所下降(β=0.414,p<0.001),表明角色宽度自我效能感在资质过剩感与员工越轨创新之间起部分中介作用,H3通过验证。同样,根据M4、M6、M8的回归结果可知,消极情绪在资质过剩感与越轨创新之间起部分中介作用,H4a、H4b均通过验证。

表4 中介效应检验结果
Table 4 Results of mediating effect test

变量角色宽度自我效能感M1M2消极情绪M3M4越轨创新M5M6M7M8控制变量性别0.015-0.032-0.02-0.031-0.006-0.056-0.038-0.049年龄-0.0250.009-0.027-0.0060.0130.0480.0430.049受教育程度0.0480.0340.090.0810.0920.0770.0590.059岗位性质0.414***0.167*0.226*0.0750.4750.217*0.1260.2*自变量资质过剩感0.822***0.503***0.859***0.414***0.747***中介变量角色宽度自我效能感0.541***消极情绪0.222***R20.0640.6060.0360.3080.0560.4960.5820.515△R20.0640.5430.0360.2720.0560.4410.0860.019F5.546100.3243.08629.0194.8264.23575.4457.578

注:N=332,***表示p<0.001,**表示p<0.01,*表示p<0.05

为进一步验证角色宽度自我效能感、消极情绪在资质过剩感与员工越轨创新之间的平行中介作用,运用SPSS插件Process宏程序进行Boostrap检验,将随机抽样次数设置为5 000次,置信区间设为95%,结果如表5所示。结果显示,资质过剩感对越轨创新的直接效应值为0.362,95%置信区间为[0.223,0.503],不包含0,直接效应显著存在,H1得到进一步验证。在两条间接路径中,“资质过剩感→角色宽度自我效能感→越轨创新”的95%置信区间为[0.298,0.556],不包含0,中介效应显著,H2得到进一步支持;“资质过剩感→消极情绪→越轨创新”的95%置信区间为[0.005,0.147],不包含0,中介效应显著,H3得到验证。

表5 总效应、直接效应与中介效应分解
Table 5 Breakdown of total effect, direct effect, and mediating effect

路径效应值BootSE95%置信区间下限上限效应占比(%)直接效应0.362 0.070 0.223 0.503 42PO-RB-BO0.422 0.065 0.298 0.556 49PO-NE-BO0.075 0.037 0.005 0.147 9总效应0.859 0.044 0.772 0.945

3.5 调节效应检验

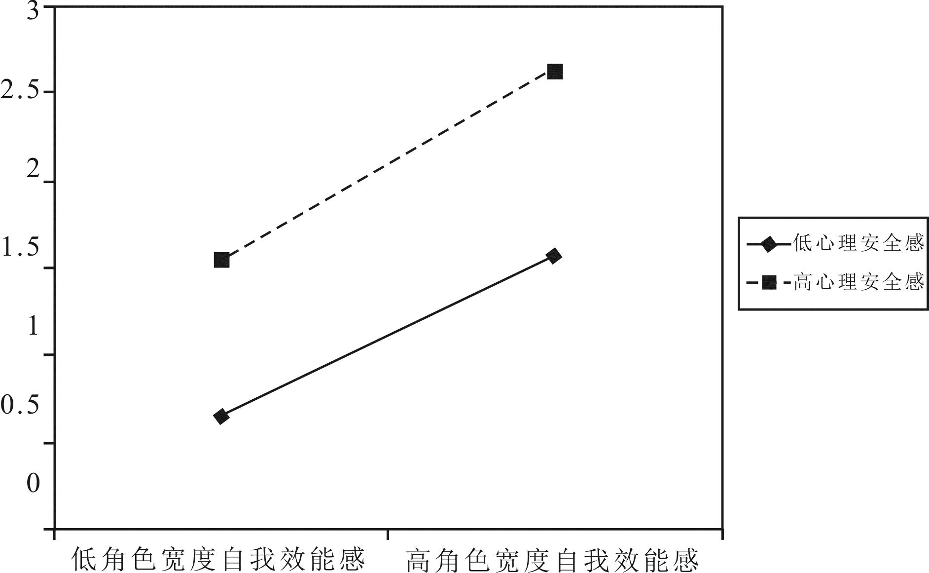
运用SPSS26.0软件,采用层级回归分析方法检验心理安全感在角色宽度自我效能感与员工越轨创新、消极情绪与员工越轨创新之间的调节作用,结果如表6所示。结果显示,角色宽度自我效能感对越轨创新具有正向影响(β=0.833,p<0.001),模型中纳入角色宽度自我效能感与心理安全感的交互项(β=0.111,p<0.001)后,回归方程显著,说明心理安全感在角色宽度自我效能感与越轨创新之间起正向调节作用,H4a得到验证。为进一步检验心理安全感的调节效应,进行简单斜率分析,如图2所示。在高心理安全感影响下,角色宽度自我效能感对员工越轨创新的正向作用增强,说明心理安全感正向调节二者间的关系。

表6 调节效应检验结果
Table 6 Results of moderating effect test

变量越轨创新M9M10M11M12M13M14M15性别-0.006-0.019-0.0110-0.0050-0.002年龄0.0130.0330.030.0240.030.0270.024受教育程度0.0920.0520.0270.0280.0340.0140.015岗位性质0.475***0.13-0.098-0.1160.33**-0.0060.008角色宽度自我效能感0.833***0.589***0.594***消极情绪0.64***0.383***0.404***心理安全感0.589***0.624***0.734***0.732***角色宽度×心理安全感0.111**消极情绪×心理安全感0.159**R20.0560.5390.7810.7820.2760.6460.654△R20.0560.4830.2420.0050.220.3710.008F4.8276.23193.581170.3424.83299.02387.641

注:N=302,***表示p<0.001,**表示p<0.01

图2 心理安全感对角色宽度自我效能感与越轨创新间关系的调节效应
Fig.2 Moderating effect of psychological security on the relationship between role breadth self-efficacy and deviant innovation

由表6可知,消极情绪对越轨创新具有正向影响(β=0.64,p<0.001),模型中纳入消极情绪与心理安全感的交互项(β=0.159,p<0.001)后,回归方程显著,说明心理安全感在消极情绪与员工越轨创新之间起正向调节作用,H4b得到验证。进一步进行简单斜率分析,如图3所示。在高心理安全感影响下,消极情绪对员工越轨创新的正向作用增强,表明心理安全感正向调节二者间的关系。

图3 心理安全感对消极情绪与越轨创新间关系的调节效应
Fig.3 Moderating effect of psychological security on the relationship between negative emotions and deviant innovation

3.6 被调节的中介效应

为验证H4,本研究利用Process宏程序进行Bootstrapping检验。Edwards&Lambert(2007)强调,在检验被调节的中介效应时,中介作用和调节作用同时发生,应将被调节的中介模型看作一个整体进行分析。因此,本研究借助Hayes(2013)开发的Process宏(Model 14)对不同程度心理安全感下,角色宽度自我效能感、消极情绪对越轨创新的间接效应进行Bootstrap检验,重复抽样5 000次后,结果如表7所示。结果显示,低心理安全感下,消极情绪对越轨创新的间接效应为0.023,95%置信区间包含0,间接效应不显著;高心理安全感下,消极情绪对越轨创新的间接效应为0.174,95%置信区间值为[0.096,0.262],间接效应显著。因此,随着心理安全感从低到高,间接效应从不显著变为显著,95%置信区间逐步扩大,H4得到验证。

表7 有调节的中介效应检验结果
Table 7 Test results of moderated mediating effect

变量指标EffectBootSEBootLLCIBootULCI角色宽度自我效能感eff1(M-1SD)0.3330.5410.230.441eff2(M)0.4120.0490.320.513eff3(M+1SD)0.4910.0620.3780.621消极情绪eff1(M-1SD)0.0230.034-0.040.096eff2(M)0.0980.0290.0470.16eff3(M+1SD)0.1740.0410.0960.262

4 结论与讨论

4.1 研究结论

本研究从个体感知、心理动机视角出发,探讨新生代员工资质过剩感对越轨创新行为的影响机制,并采用层次回归方法进行实证分析,得到以下主要结论:首先,资质过剩感对越轨创新行为具有显著正向作用。其次,角色宽度自我效能感和消极情绪在资质过剩感与员工越轨创新间关系中起部分中介作用。最后,心理安全感在角色宽度自我效能感、消极情绪对越轨创新的影响过程中发挥调节作用。在高心理安全感状态下,员工的消极情绪得到缓解,同时能够激发其发挥自身优势进行创新,此时心理安全感的调节效应更显著,越轨创新行为更易被激发。

4.2 理论贡献

(1)证实了资质过剩感对越轨创新的正向影响,为资质过剩感与越轨创新行为相关研究提供了新的解释框架。资质过剩感作为当下管理实践中普遍存在的现象,以往研究多表明员工只能被动接受资质过剩感造成的负面影响[5-6],忽视了员工的主动性和创造性,而本研究立足于新生代员工的特点和时代特征,从创新主体的主观感知出发,探讨越轨创新行为的发生路径。新生代员工不拘泥于常规、喜欢质疑,具有批判性特质,这正是越轨创新行为开展的动力源泉。因此,本研究在自我调节框架下,对创新者窘境进行阐释,试图理解新生代资质过剩感员工为何将越轨创新作为证明自身资质、体现自我价值、追求职业发展、开展创新挑战的平台,并在分析其心理需求和内在动机的基础上,进一步拓宽了蒋瑜洁[36]的理论框架,将资质过剩感员工“能做、愿做、敢做”整合到同一模型中,深化了越轨创新驱动因素的研究,丰富了资质过剩感的研究视角。

(2)揭示了角色宽度自我效能感和消极情绪的中介作用,丰富了资质过剩感对员工越轨创新关系影响路径的研究。以往研究更多关注单一视角的促进作用,忽略了资质过剩感与越轨创新行为的复杂性,同时现有文献较少涉及消极情绪对主动性角色外行为的促进作用。因此,本文将越轨创新的促进作用扩展到个人消极情绪领域,丰富了越轨创新行为前因变量的研究。此外,进一步阐明了资质过剩感可以使个体同时产生积极和消极体验,二者共同刻画出资质过剩感的复杂性,而这又与越轨创新兼具“忠诚”和“叛逆”色彩的特点相契合。本研究同时纳入角色宽度自我效能感和消极情绪这两种看似矛盾,实则并行不悖的视角,将积极面和消极面的产生及作用路径进行整合,既全面分析了越轨创新行为的形成机制,又响应了资质过剩感需要从积极和消极效应进行更多整合性研究的呼吁[37]

(3)通过引入心理安全感,构建有调节的中介模型,阐明了诱发越轨创新行为的边界机制。随着内外部环境不断变化和发展,员工面临机遇和挑战时“敢不敢”显得极为重要,尤其是越轨创新具有高风险性和高不确定性,个体在实施过程中会面临高风险和高成本,因此个体对组织容错氛围的感知将在很大程度上影响员工是否实施越轨创新行为。心理安全感作为越轨创新行为的“催化剂”,员工可以通过对越轨创新结果和风险的判断,调整自身行为。在高心理安全感下,开展越轨创新活动的可行性更高,员工不必过多考虑创新风险,可以大胆、专一地尝试新思路和新方法。因此,本研究将心理安全感这一感知环境安全程度的因素作为调节变量引入创新领域,从“我敢”层面提供一种将支持性感知转化为具体创新行为的解释机制,有助于理解处于不同刺激下员工表现出的行为倾向。同时,将个体心理因素与外部环境感知、行为结果有机结合,既延伸了心理安全感的认知范围,又为越轨创新提供了新颖的探索视角。

4.3 管理启示

以往研究大多从负面角度探讨资质过剩感,认为组织应避免聘用资质过剩感员工,但这样的观点有其片面性和局限性。

(1)组织要辩证对待资质过剩感和越轨创新。对于可能体验到资质过剩的员工要给予理解和关注,避免采用强硬手段约束员工行为。越轨创新作为一把“双刃剑”,虽然可能与组织目标、战略不一致,从而增加组织管理成本,但一旦取得成功就会获得意想不到的效果和回报。因此,组织及管理者应采用循循善诱的方式,使员工能够更好地发挥和利用自身冗余资质,实现个人和组织的双赢。企业可以通过提供富有挑战性的任务和机会等措施,引导员工通过正式渠道光明正大地开展创新活动,在不妨碍组织获得创新利益的同时,又能适当控制越轨创新行为带来的风险。

(2)有利于企业了解新生代员工特质,促使企业通过精细化管理正视员工心理状态上的波动。新生代员工情绪状态往往不稳定,当员工出现负面情绪时,组织不必一味打压,而应反省自身流程化管理和创新政策是否过于古板、闭塞,阻碍了员工积极变革的步伐和发展,从而通过理性、包容的态度,给予资质过剩感员工更多认可和鼓励,增强员工的自我效能感,避免因认可与评价不足诱发员工的消极情绪和行为。通过深入挖掘新生代员工的潜力,充分调动其主观能动性和积极性,使其给组织带来效益,提升组织核心竞争力。

(3)在高心理安全感氛围下,员工认为自己的失败、错误能够被组织理解和包容,因而能够更自由地发挥潜能,这种心理安全感促使其产生更强的创新动机。因此,资源匮乏的组织可以通过营造鼓励创新、包容失败的环境,制定科学的创新激励政策,鼓励员工不断学习并为其提供施展才华的机会和平台,激发其潜力和创造性,引导员工利用冗余资质开展与组织发展方向一致的创新活动,从而提升组织创新绩效。

4.4 不足与展望

第一,本研究采用横截面数据,这会影响对变量间因果关系的判断,未来可通过多种数据来源或考虑分时点测量、纵向追踪等方式进一步明确资质过剩感与越轨创新的因果关系,以提高研究结果的准确性。第二,本研究未充分考虑越轨创新这一复杂行为背后可能存在的跨层次特性。越轨创新活动涉及个体、团队、组织多层次的跨层影响,越轨创新行为也会随着外部环境变化而发生变化。未来可考虑将组织及外部环境因素纳入模型,探讨越轨创新活动形成的动态效应,从而实现对越轨创新行为形成过程的系统考量。第三,本研究只讨论了员工资质过剩感诱发的工作行为以及越轨创新行为的形成机制,并未对越轨创新这一“亦黑亦白”行为的后果进行深入探究。未来可深入分析越轨创新活动对组织的影响,如组织绩效等,从而形成一个连贯的影响机制研究。

参考文献:

[1] 侯烜方,刘蕴琦,黄蓉,等.新生代员工工作价值观对越轨创新的影响机制:标新立异还是阳奉阴违[J].科技进步与对策,2021,38(14):143-150.

[2] 丁秀玲,王慧,赵李晶.员工资质过剩的成因、影响及管理策略——高质量发展语境的审视[J].江海学刊,2019,62(2):238-242.

[3] LIN B,LAW K S,ZHOU J.Why is underemployment related to creativity and OCB? a task crafting explanation of the curvilinear moderated relations[J].Academy of Management Journal,2017,60(1):156-177.

[4] MAYNARD D C,TAYLOR E B,HAKEL M D.Applicant overqualification: perceptions,predictions,and policies of hiring managers[J].Organizational Behavior and Dynamics,2009(1):13-38.

[5] HARARI M B,MANAPRAGADA A,VISWESVARAN C.Who thinks they're a big fish in a small pond and why does it matter? a meta-analysis of perceived overqualification[J].Journal of Vocational Behavior, 2017, 102:28-47.

[6] LIU S, MO W. Perceived overqualification: a review and recommendations for research and practice[J].Research in Occupational Stress &Well Being,2012,10(1):1-42.

[7] ALICKE MD, SEDIKIDES C. Self-enhancement and self-protection: what they are and what they do[J]. European Review of Social Psychology,2009,20(1):1-48.

[8] SCHERMULY C C, CREON L, GERLACH P, et al. Leadership styles and psychological empowerment: a meta-analysis[J]. Journal of Leadership &Organizational Studies,2022,29(1):73-95.

[9] ZHANG M J, LAW K S, LIN B. You think you are big fish in a small pond? perceived overqualification,goal orientations,and proactivity at work[J].Journal of Organizational Behavior,2016,37(1):61-84.

[10] CHU F, LIU S, GUO M, et al. I am the top talent: perceived overqualification, role breadth self-efficacy, and safety participation of high-speed railway operators in China[J]. Safety Science, 2021, 144:105476.

[11] 黄玮,项国鹏,杜运周,等.越轨创新与个体创新绩效的关系研究——地位和创造力的联合调节作用[J].南开管理评论,2017,20(1):143-154.

[12] 王弘钰,崔智淞,邹纯龙,等.忠诚还是叛逆?中国组织情境下的员工越轨创新行为[J].心理科学进展,2019,27(6):975-989.

[13] TENZER H, YANG P. Personality,values,or attitudes? individual-level antecedents to creative deviance[J]. International Journal of Innovation Management,2019,23(2):1950009.

[14] AUGSDORFER P .Bootlegging and path dependency[J]. Research Policy,2005,34(1):1-11.

[15] 江依.员工越轨创新行为研究综述及其展望[J].科技管理研究,2018,38(10):131-139.

[16] FRAZIER M L, FAINSHMIDT S, KLINGER R L, et al. Psychological safety: a meta-analytic review and extension[J]. Personnel Psychology,2017,70(1):113-165.

[17] 赵李晶,张正堂,宋锟泰,等.基于资源保存理论的资质过剩与员工时间侵占行为关系研究[J].管理学报,2019,16(4):506-513.

[18] 张君,孙健敏,尹奎.90后新生代员工的特征:基于社会表征的探索[J].企业经济,2019,29(8):111-117.

[19] 王朝晖.员工资质过剩感与创新行为关系研究:社会认知理论的视角[J].科技与经济,2019,32(3):65-69.

[20] PARKER S K, BINDL U K, STRAUSS K. Making things happen: a model of proactive motivation [J].Journal of Management,2010,36(4):827-856.

[21] 马蓓,胡蓓,侯宇. 资质过高感对员工创造力的U型影响——能力面子压力的中介作用[J]. 南开管理评论,2018,21(5):150-161.

[22] MAINEMELIS C. Stealing fire: creative deviance in the evolution of new ideas[J].Academy of Management Review,2010,35(4):558-578.

[23] AXTELL C M,HOLMAN D J,UNSWORTH K L,et al. Shopfloor innovation: facilitating the suggestion and implementation of ideas[J]. Journal of Occupational and Organizational Psychology,2000,73(3):265-285.

[24] ZHANG F, PARKER S K. Reorienting job crafting research: a hierarchical structure of job crafting concepts and integrative review[J]. Journal of Organizational Behavior,2019,40 (2):126-146.

[25] 周燕,钱慧池.工作嵌入对知识型员工越轨创新行为的影响——建设性责任知觉与角色宽度自我效能的链式中介作用[J].科技进步与对策,2021,38(16):142-150.

[26] 黄杜鹃,许广永,魏巍.上下级关系矛盾体验对员工越轨创新行为的双刃剑效应研究[J].科技进步与对策,2024,41(2):141-150.

[27] ISRAEL SANCHEZ-CARDONA, VERA M, MARTíNEZ-LUGO M, et al. When the job does not fit: the moderating role of job crafting and meaningful work in the relation between employees perceived overqualification and job boredom[J].Journal of Career Assessment,2020,28(2):257-276.

[28] 王弘钰,邹纯龙,崔智淞.差序式领导对员工越轨创新行为的影响:一个有调节的中介模型[J].科技进步与对策,2018,35(9):131-137.

[29] GEORGE J M, ZHOU J. Dual tuning in a supportive context: joint contributions of positive mood, negative mood, and supervisory behaviors to employee[J].Academy of Management Journal,2007,50(3):605-622.

[30] 于静静,苑玲玲,蒋守芬.包容型领导对员工创造力的影响研究——心理契约的中介作用[J].经济问题,2023,45(2):94-101.

[31] 李海,熊娟,朱金强.情绪对个体创造力的双向影响机制——基于阴阳观的视角[J].经济管理,2016,38(10):100-113.

[32] KAHN W A. Psychological conditions of personal engagement and disengagement at work[J].Academy of Management Journal,1990,33(4):692-724.

[33] NANYANGWE C N, WANG H, CUI Z. Work and innovations: the impact of self-identification on employee bootlegging behaviour[J]. Creativity and Innovation Management,2021,30(4): 713-725.

[34] 梁昊,李锡元,舒熳.资质过剩对员工创新行为的影响——一个跨层的调节模型[J].软科学,2019,33(2):122-125.

[35] 鞠芳辉,谢子远,季晓芬.善待员工的工作不满:工作不满与员工创新性的关系实证研究[J].中国工业经济,2008,25(6):108-117.

[36] 蒋瑜洁,徐永恒.何为越轨创新:文献综述与研究展望[J].科技进步与对策,2023,40(5):150-160.

[37] 李朋波,陈黎梅,褚福磊,等.我是高材生:资质过剩感及其对员工的影响[J].心理科学进展,2021,29(7):1313-1330.

(责任编辑:陈 井)