基于服务化的先进制造业全球价值链升级演进过程仿真研究

綦良群,燕 奇,王金石

(哈尔滨理工大学 经济与管理学院,黑龙江 哈尔滨 150080)

摘 要:运用系统动力学研究方法,构建基于服务化的先进制造业全球价值链升级演进模型,运用Vensim PLE软件进行系统仿真。研究发现:①技术创新能力、人力资本和资本存量均对基于服务化的先进制造业全球价值链攀升起重要推动作用;②先进制造企业服务化转型是实现全球价值链地位攀升的重要途径,技术创新是先进制造业向全球价值链上游攀升的主要推动力,人力资本是先进制造业向全球价值链下游攀升的主要推动力。研究结论有助于丰富先进制造业全球价值链升级演进研究的整体性和系统性,对于指导先进制造业通过服务化转型实现全球价值链升级具有一定借鉴意义。

关键词:服务化转型;先进制造业;全球价值链;系统动力学;演进过程

Evolution Process Simulation of Advanced Manufacturing GVC Upgrading Based on Servitization

Qi Liangqun, Yan Qi, Wang Jinshi

(School of Economics and Management, Harbin University of Science and Technology, Harbin 150080, China)

AbstractThe development level of advanced manufacturing industry is a significant factor to measure a country's comprehensive and core competitiveness. Although China is an important hub in the global value chain network, its advanced manufacturing industry demonstrates a low-end link in the global value chain system. In recent years, with the rapid economic development of emerging economies represented by China, global value chain differentiation has been increasingly prominent among the emerging economies. These phenomena challenge the leading position of developed countries in the division system of global value chain, that is, the global value chain is reconstructing. Therefore, China proposes to build a new development pattern of domestic and international double circulation and mutual promotion in order to promote the high-quality development of China's economy. Most scholars have deeply studied and analyzed the mechanism of servitization from different perspectives through theoretical and empirical studies. The research shows that servitization plays a positive role in promoting the transformation and upgrading of China's manufacturing industry, and it provides useful reference for the transformation and upgrading of China's advanced manufacturing industry,and helps the manufacturing industry to realize value co-creation and reconstruct competitive advantages. On the basis of meeting the daily production needs of the manufacturing industry, it continuously integrates services into the manufacturing of advanced manufactured products by enriching service content and innovating the form of services. At present, the academic and industrial circles have reached general consensus on solving the practical development dilemma of China's advanced manufacturing industry in the global value chain system by servitization.

Using the method of system dynamics, this paper establishes a servitization-based global value chain upgrading system for the advanced manufacturing industry, and then analyzes the internal mechanism of its upgrading development. First, the study analyzes the key dynamic factors affecting the upgrading and evolution of advanced manufacturing global value chain, and on this basis, establishes a key power subsystem to assist its development. Second, it combines the two centers of servitization and global value chain upgrading according to the relationship between the value chain and information flow among subsystems, builds a consequence diagram based on servitization in global value chain upgrading for advanced manufacturing industry and obtains feedback loops. It builds a stock flow diagram for the overall system based on the feedback loop. Third, Vensim PLE is used to build a servitization-based global value chain upgrading and evolution system dynamics model of advanced manufacturing industry, and then simulation is carried out to further verify the theoretical derivation.

The following conclusions are drawn. (1) Driven by technological innovation capability, servitization,human capital and capital stock, the position of advanced manufacturing industry in the global value chain is being upgraded year by year, and the speed to the upstream of the value chain is gradually accelerating, but the evolution speed to the downstream of the value chain is smaller than the former two. (2) China's advanced manufacturing industry can achieve a position rise in the global value chain status through servitization. Technological innovation capability is the main driving force for China's advanced manufacturing industry to climb upstream of the global value chain, and human capital is the main driving force for China's advanced manufacturing industry to climb downstream of the global value chain.

This paper provides a theoretical basis for the development of China's advanced manufacturing industry and the formulation of relevant policies by the government. It enriches the integrity and systematicness of the research in the evolution process of advanced manufacturing enterprises' global value chain upgrading. There is a certain significance for guiding advanced manufacturing industries to achieve global value chain upgrading through servitization. China's advanced manufacturing industry still needs to improve its technological innovation capability, and this process should focus on increasing the investment in scientific research and the training of innovative talents. At the same time, China should make greater efforts to develop information technology, actively promote the integration of service industry and manufacturing industry, and provide a solid foundation and guarantee for the servitization of advanced manufacturing industry.

Key WordsServitization Transformation;Advance Manfacturing; Global Value Chain; System Dynamics; Evolution Process

收稿日期:2022-07-06

修回日期:2022-09-26

基金项目:国家自然科学基金面上项目(72074062);教育部人文社会科学研究基金项目(19YJC790092);黑龙江省自然科学基金项目(LH2021G011)

作者简介:綦良群(1964—),男,吉林长春人,博士,哈尔滨理工大学经济与管理学院教授、博士生导师,研究方向为高技术产业发展战略与政策;燕奇(1998—),女,辽宁朝阳人,哈尔滨理工大学经济与管理学院硕士研究生,研究方向为高技术产业发展战略与政策;王金石(1992—),男,黑龙江哈尔滨人,哈尔滨理工大学经济与管理学院博士研究生,研究方向为高技术产业发展战略与政策。本文通讯作者:燕奇。

DOI10.6049/kjjbydc.2022070166

开放科学(资源服务)标识码(OSID):

中图分类号:F403

文献标识码:A

文章编号:1001-7348(2024)01-0044-12

0 引言

先进制造业发展肩负着中国制造业新旧动能转换的重任,其发展水平是国家综合国力和核心竞争力的重要体现。中国虽然是传统全球价值链(简称GVC)网络的重要枢纽[1],但先进制造业在GVC体系中处于“微笑曲线”低端环节[2],以中国为代表的新兴经济体价值链分化现象在不同程度上动摇了发达国家在全球价值链分工体系中的主导地位,使全球价值链处于重构状态[3]。中共十九届五中全会提出“构建国内国际双循环相互促进的新发展格局,推动经济高质量发展”。多数学者认同服务化对我国制造企业转型升级具有正向促进作用[4-7],为中国先进制造业发展提供了有益借鉴。服务化有助于制造企业实现价值共创[8]、重构竞争优势[9],为企业提供针对性产品[10]、提高制造业服务水平[11],通过丰富服务内容、创新服务形式,在满足生产制造需求的基础上不断将服务融入先进产品制造,以服务化解决中国先进制造业在GVC体系中的现实发展困境,这在学术界和产业界已形成广泛共识。

已有研究证实服务化既能推动先进制造业GVC直接升级[12],又能通过价值链整合[13]、研发创新[14]等间接推动先进制造业GVC升级,且制造业服务化通过技术创新效应、规模经济效应、差异化竞争效应等机制推动GVC升级[15],但已有研究存在以下不足:一是忽略了服务化动态水平[16],采用直接消耗系数[17]、完全消耗系数[18]等指标开展实证研究,缺乏对服务要素消耗增量变化等动态性指标影响制造业价值增值过程的理论解释;二是多关注先进制造业GVC升级的单一特性,如采用GVC地位指数、出口技术复杂度[19]等单一指标反映GVC升级结果,缺乏对先进制造业GVC升级过程的探讨;三是认为先进制造业服务化与GVC升级是在国民经济系统视域下实现要素流动、消耗及增值的过程[16,20],存在技术创新驱动[14-15]、政策驱动[21]等共性动因,缺乏在系统视域下对服务化与先进制造业GVC升级关系的探讨。因此,以系统观分析先进制造业服务化与先进制造业GVC升级的协同演进过程,探寻如何依托关键要素循环推动我国先进制造业攀升高附加值环节,推动中国先进制造业全球价值链升级[22],已成为当前相关学者研究的重要课题。

系统动力学模型(SD模型)是一种基于因果关系的机理性模型,能够清晰表征复杂系统内部要素相互作用机理。因此,本文采用系统动力学方法,构建基于服务化的先进制造业全球价值链升级系统并揭示其内在机理,以期为我国先进制造业发展和国家相关政策制定提供理论依据。本文可能的创新点体现在:首先,分析影响先进制造业全球价值链升级演进的关键动力,在此基础上构建动力子系统;其次,将子系统联结起来绘制系统因果关系图,得到反馈回路,进一步绘制整体系统存量流图;最后,利用Vensim PLE软件构建基于服务化的先进制造业全球价值链升级演进系统动力学模型,并进行仿真模拟和理论推导。

1 理论分析

不同于传统制造业,先进制造业是应用现代化管理理念,将先进技术设备、数字化技术应用到研发生产销售全过程,从而实现绿色生产和高附加值生产的制造业的总称。借鉴张峰等[23]、张幸[24]的研究,按照国家统计局发布的《国民经济行业分类》标准,本文将先进制造业定义为“化学原料及化学制品制造业、医药制造业、通用设备制造业、专用设备制造业、交通运输设备制造业、电气机械和器材制造业、通信设备、计算机和其它电子设备制造业以及仪器仪表制造业”。

先进制造业服务化是指先进制造业借助生产性服务要素,尤其是知识密集型生产要素,通过技术和知识在技术装备中的物化,为先进制造企业向服务化型转型提供智力支持[25]。先进制造业服务化转型可以促进产业研发资源向后发行业流动,实现产业集群发展[26],优化资源配置,促进产品质量升级,并在全球范围内实现产业结构优化,提升产品附加值,提高顾客忠诚度和市场占有率,从而实现先进制造业全球价值链升级。GVC升级是内生与外生因素共同作用的结果[27],内生性因素主要是指传统贸易理论所侧重的技术水平、人力资本和物力资本等要素禀赋[28],外生性因素主要是指行业规模[29]、贸易与投资水平等具有国家特征的因素。其中,研发投入是影响先进制造业全球价值链升级的关键环节,R&D经费和人力资源投入对产业全球价值链升级发挥重要作用[30]

服务化对企业创新投入具有显著正向影响[31],先进制造业服务化通过研发创新这一中介渠道间接提高企业出口产品质量,并且不同类型生产性服务投入对企业出口质量的促进作用不同[32]。人力资本要素和技术要素是制造企业追求动态比较优势的关键,其中人力资本要素发挥中介作用[33]。人力资本要素与技术要素是影响先进制造业发展的决定性因素,社会经济发展模式及对外经济政策直接或间接影响中国先进制造业全球价值链攀升[34]。因此,本文重点探讨人力资本要素、技术要素在先进制造业服务化与先进制造业全球价值链升级过程中所发挥的不同作用。

1.1 因果关系分析

本文构建基于服务化的先进制造业GVC升级演进过程子系统,如图1~图6所示。

(1)技术创新子系统。如图1所示,该系统体现技术创新对基于服务化的先进制造业全球价值链升级演进过程的推动作用。在政府鼓励产业升级背景下,先发企业进行服务化转型,获得来自国家或社会的金融支持,满足相关生产性服务业或先进制造业市场需求。为适应快速变化的市场需求,后发企业会吸纳各大高校专业人才,与高校、创新服务机构或合作企业开展协同创新,并与金融服务机构开展合作以缓解资金压力,最终实现创新成果产出,增加新产品销售收入。通过这一良性反馈,领导者会继续加大科研经费投入,促进更多创新产出,最终实现先进制造业全球价值链升级。

图1 技术创新与先进制造业GVC升级因果关系
Fig.1 Causal relationship of technology innovation and advanced manufacturing GVC upgrading

(2)资本存量子系统。如图2所示,先进制造业开展创新活动的前提是要有资本,没有资本支持,任何计划都是纸上谈兵。资本通常来源于企业内部融资和外部融资,其中外部融资包括国内资本和国外资本。在政府政策支持下,大量资本涌入先进制造企业,为企业生产经营、人才培养、服务化转型、技术研发创新、信息交互平台建立、后期营销等提供资金支持,提高企业销售收入,使企业成功进行服务化转型,投资者或机构获得投资回报后会再次增加投资,由此形成系统正反馈循环,最终实现先进制造业GVC升级。

图2 资本存量与先进制造业GVC升级因果关系
Fig.2 Causal relationship of capital stock and advanced manufacturing GVC upgrading

(3)人力资本子系统。如图3所示,专业人才储备是先进制造企业全球价值链升级的基础,优化人才结构对先进制造企业产业升级具有积极影响。国家政策扶持促使先进制造企业进行服务化转型,更多高校开设先进制造业相关专业,先进制造企业转型升级迫切需要更多高技术人才。学校为企业提供大量人力资源,在企业研发设计、生产管理、市场营销等环节发挥重要作用,能够提升先进制造业内部利润,先进制造业以此吸纳更多专业人才并形成有益循环,进而促进先进制造业全球价值链升级。

图3 人力资本与先进制造业GVC升级因果关系
Fig.3 Causal relationship of human capital and advanced manufacturing GVC upgrading

(4)服务化转型子系统。如图4所示,全球价值链高附加值环节在价值链两端,即研发端与营销端,而制造环节属于低附加值环节,先进制造业通过服务化转型向全球价值链两端攀升。随着经济快速发展,我国不断进行基础设施建设,提高社会运输效率,大力发展信息技术,不断完善金融服务,为我国先进制造业服务化转型提供资金支持,以缓解融资压力,让先进制造业专注于研发创新并进行服务化转型,转型升级可为更多人提供就业岗位,间接促进社会进步和消费升级,进一步推动先进制造业全球价值链升级经济发展。

图4 服务化转型与先进制造业GVC升级因果关系
Fig.4 Causal relationship of servitization and advanced manufacturing GVC upgrading

(5)社会环境子系统。如图5所示,社会环境包括对外开放程度、贸易摩擦、先进制造业税收优惠、环境约束以及激烈的市场竞争。首先,对外开放能够吸引外商投资,缓解国内先进制造业融资压力,为先进制造业服务化转型和研发创新提供资金支持;其次,对外开放虽然有助于国外高级服务要素涌入国内市场,降低交易成本,但不利于先进制造业服务化转型,同时也会与本土生产性服务业及相关制造行业产生竞争;再次,对外开放能够引进国外先进技术和优秀人才,提高企业全要素生产率,为企业研发创新提供方向。单边主义和霸权主义盛行、新冠肺炎疫情暴发会影响国际关系,加剧贸易摩擦,影响我国外商投资和先进技术引进,并加剧国际市场竞争。环境约束倒逼先进制造业技术升级,国家为促进先进制造业发展,会提供科研经费和税收优惠,减缓先进制造业资金压力,促进更多制造业向先进制造业转型,实现全球价值链升级。

图5 社会环境与先进制造业GVC升级因果关系
Fig.5 Causal relationship of social environment and advanced manufacturing GVC upgrading

基于对上述5个子系统的因果关系分析,本文按照价值链和信息流关系,构建基于服务化的先进制造业全球价值链升级因果关系模型,如图6所示。

图6 总系统与先进制造业GVC升级因果关系
Fig.6 Causal relationship of overall model and advanced manufacturing GVC upgrading

1.2 因果回路

先进制造业全球价值链升级演进系统的诸多因素共同作用于先进制造业全球价值链升级,而先进制造业价值链升级又会反过来影响系统内部变量,形成众多因果回路图,主要反馈回路如下:

(1)先进制造业全球价值链升级→+社会经济增长→+运输设施建设/信息技术发展/金融机构支持→+服务化转型→+市场需求→+科研经费投入→+行业人才培养/高校人才培养/外来人才引进/工资增长→+高素质专业人才数→+技术创新→+创新成果→+销售收入→+利润→+国内资本投入→+资本存量→+先进制造业全球价值链升级。

(2)先进制造业全球价值链升级→+社会经济增长→+运输设施建设/信息技术发展/金融机构支持→+服务化转型→+人才需求→+行业人才培养/高校人才培养/外来人才引进/工资增长→+高素质专业人才数→+技术创新→+创新成果→+销售收入→+利润→+国内资本投入→+资本存量→+先进制造业全球价值链升级。

(3)技术创新→+创新成果→+销售收入→+利润→+国内资本投入→+资本存量→+先进制造业全球价值链升级→+社会经济增长→+运输设施建设/信息技术发展/金融机构支持→+服务化转型→+市场需求→+科研经费投入→+行业人才培养/高校人才培养/外来人才引进/工资增长→+高素质专业人才数→+技术创新。

(4)服务化转型→+市场需求→+科研经费投入→+行业人才培养/高校人才培养/外来人才引进/工资增长→+高素质专业人才数→+技术创新→+创新成果→+销售收入→+利润→+国内资本投入→+资本存量→+先进制造业全球价值链升级→+社会经济增长→+运输设施建设/信息技术发展/金融机构支持→+服务化转型。

(5)资本存量→+先进制造业全球价值链升级→+社会经济增长→+运输设施建设/信息技术发展/金融机构支持→+服务化转型→+市场需求→+科研经费投入→+行业人才培养/高校人才培养/外来人才引进/工资增长→+高素质专业人才数→+技术创新→+创新成果→+销售收入→+利润→+国内资本投入→+资本存量。

(6)高素质专业人才数→+技术创新→+创新成果→+销售收入→+利润→+国内资本投入→+资本存量→+先进制造业全球价值链升级→+社会经济增长→+运输设施建设/信息技术发展/金融机构支持→+服务化转型→+人才需求→+行业人才培养/高校人才培养/外来人才引进/工资增长→+高素质专业人才数。

1.3 系统流图

为揭示系统各要素间的逻辑关系和系统内反馈形式,本文在因果关系的基础上,基于代表性、重点性、可获性和精简性原则,根据系统动力学原理选取相关变量,利用Vensim软件绘制先进制造业全球价值链升级系统流图,如图7所示。

图7 系统流图
Fig.7 Flow chart of system

2 模型构建与检验

2.1 指标测度与方程设定

基于变量数据一致性和可获取性等原则,本文将基于服务化的先进制造业全球价值链升级模型运行时间设定为2011-2030年。在模型中,设定初始时间2011年为1,设定结束时间2030为20。本文数据主要来源于《中国统计年鉴》、WTO数据库、TiVA数据库、国家统计局网站和中国经济社会大数据研究平台,对数据进行标准化处理并设计面板回归方程计算相关参数。

(1)先进制造业GVC指数。本文采用全球价值链指数变化表征先进制造业全球价值链升级,参考Koopman等[35]、Antras &Chor[36]提出的价值链地位指数及价值链上游度和下游度指数,主要指标测度方法如式(1)。

(1)

其中,r代表国家,i代表产业,IVirFVirEir分别表示ri产业的国内间接附加值、国外附加值和出口附加值总额,IVir/Eir表示某国全球价值链上游参与度,FVir/Eir表示某国全球价值链下游参与度。

(2)方程设定。本文系统模型主要包括5个状态变量、5个速率变量以及22个辅助变量。对于核心变量先进制造业全球价值链攀升水平,本文主要从价值链上游度、价值链下游度和价值链地位3个维度度量,部分变量用表内函数表示,主要方程如表1所示。

2.2 有效性检验

为检验仿真模型的真实性,基于数据可获取性原则,本文对2011-2018年数据进行检验。通过查阅相关文献资料,一般认为系统动力学模型误差范围在10%以内有效。本文选取先进制造业全球价值链GVC地位、GVC上游度和GVC下游度3个变量检验模型真实性,仿真有效性检验结果如表2所示。从中可见,除2015年和2016年数据外,其余数据均在误差范围内,因此认为本文参数设定合理,接近真实水平。

3 仿真结果输出与分析

3.1 仿真结果分析

本文对基于服务化的先进制造业全球价值链升级演进过程进行研究,仿真结果如图8所示。由图8可知,先进制造业全球价值链地位呈逐年递增趋势,具有线性变化特征,说明在多种动力因素共同推动下,先进制造业全球价值链地位逐渐攀升,且攀升速度较为均匀。先进制造业全球价值链上游度随时间变化增长速度逐渐加快,可能是因为一旦突破技术瓶颈和发达国家技术封锁,我国先进制造业技术创新能力将会逐渐超越发达国家,成为新的创新领头羊,并会吸引全球创新人才大量聚集,实现更多创新成果产出,给投资者足够的收益回报,进而吸引更多投资者入驻。在充足的资金支持下,创新成果增加,形成良性循环,从而向全球价值链上游高端环节攀升。先进制造业全球价值链随时间推移向全球价值链下游度演进,变化幅度小于全球价值链上游参与度,呈现先慢后快趋势,可能是因为全球价值链下游为营销和服务环节,对高素质人才需求较大,当前人力资源水平与服务化水平远未达到要求,因此向全球价值链下游攀升速度较慢,一旦人才培养和服务化转型走上正轨,将快速向全球价值链下游攀升。

表1 变量类型与函数关系式
Table 1 Variable types and function relational expressions

变量名称类型函数关系式GVC地位攀升水平状态变量INTEG(价值链攀升增量,0.162 392 174)GVC上游度攀升水平状态变量INTEG(价值链攀升增量,0.490 172 676)GVC下游度攀升水平状态变量INTEG(价值链攀升增量,0.266 807 339)技术创新能力状态变量INTEG(技术创新能力增量,0.215 152 178)服务化水平状态变量INTEG(服务化水平增量,0.007 901 222)资本存量水平状态变量INTEG(资本存量增量,0.770 045 823)人力资本状态变量INTEG(人力资本增量,0.037 256 4)GVC地位攀升增量速率变量人力资本*0.013 956 3+DELAY1(技术创新能力*0.001 188 5+服务化水平*0.061 033 2,1)+资本存量*0.001 188 5+0.001 866 51GVC上游度攀升增量速率变量人力资本*0.001 133 5+DELAY1(技术创新能力*0.095 479 3+服务化水平*0.000 528 49,1)+资本存量水平*-0.030 922 2+0.005 051 21GVC下游度攀升增量速率变量人力资本*-0.080 962 5+DELAY1(技术创新能力*0.006 964 1+服务化水平*-0.045 040 4,1)+资本存量水平*0.002 269 1+0.002 491 58技术创新能力增量速率变量产学研研发合作水平*0.001 080 92+R&D经费投入*0.002 561 64+人力资本*0.010 488 4-先进技术引进*0.007 241 3+市场竞争程度*0.020 045+环境约束*0.023 786 3+0.020 733 8服务化水平增量速率变量信息技术发展*0.008 333 51+服务要素引进*0.007 966 71+运输设施建设*0.001 040 9+金融机构支持*0.002 550 59资本存量增量速率变量国内资本投入*0.054 193 6+国家科研经费支持*0.004 062 25+外商直接投资*0.007 103+金融机构支持*0.368 23-税收优惠+0.125 709人力资本增量速率变量R&D经费投入*0.007 263 57-工资增长水平*0.008 579 29+校园人才培养*0.007 055 79+人才引进*0.025 487 2+0.025 469 8对外开放程度辅助变量经济发展水平*0.065 963 1+贸易摩擦*1.004 43+0.265 941人才引进辅助变量0.023 568 4*对外开放程度+0.684 584 76经济发展水平辅助变量GVC攀升水平*-0.973 953+0.322 819R&D经费投入辅助变量资本存量水平*-0.167 945+服务化水平*0.065 200 6+ 0.884 481先进技术引进辅助变量对外开放程度*0.000 230 4+贸易摩擦*4.46e-007+1.01e-005国内资本投入辅助变量-1.28e-006*销售收入+服务化水平*-0.157 978+0.596 092信息技术发展辅助变量经济发展水平*1.492 22+0.673 477运输设施建设辅助变量经济发展水平*-0.103 991+0.091 603 2金融机构支持辅助变量经济发展水平*0.341 824+0.109 405国家科研经费支持辅助变量经济发展水平*-0.064 717 7+0.030 055 5外商直接投资辅助变量对外开放程度*0.446 014+贸易摩擦*-0.025 432 2-0.162 556市场竞争程度辅助变量对外开放程度*0.413 821+贸易摩擦*-0.127 466+0.627 697市场营销程度辅助变量资本存量水平*0.041 219 1+0.004 114 1服务要素引进辅助变量对外开放程度*-0.414 378+0.789 434销售收入辅助变量技术创新能力*1.265 77+市场营销*-14.314+0.315 987

表2 2011-2018年基于服务化的先进制造业全球价值链测量误差
Table 2 Measurement deviations of servitization-based advanced manufacturing GVC from 2011-2018

年份GVC地位真实值GVC地位模拟值绝对误差值(%)GVC上游度真实值GVC上游度模拟值绝对误差值(%)GVC下游度真实值GVC下游度模拟值绝对误差值(%)20110.1620.1620.000.4900.4900.000.2670.2670.0020120.1880.1757.800.5120.4924.050.2530.2644.2620130.1980.1876.240.5210.4925.750.2480.2615.0320140.2120.2016.510.5320.4957.570.2390.2576.7920150.2560.22820.250.5670.49913.580.2130.25215.6220160.2550.23611.930.5630.50511.540.2110.24614.2520170.2350.2443.660.5480.5136.850.2240.2406.6720180.2420.2606.880.5580.5226.850.2230.2334.39

先进制造业在全球价值链升级演进过程中,技术创新能力、服务化水平、资本存量和人力资本也随之增长(限于篇幅,不再一一列示)。其中,技术创新能力增长幅度较大,资本存量水平、人力资本和服务化水平增长幅度较小,可能是因为一旦突破技术瓶颈,技术创新能力厚积薄发,将会迎来一段高速增长期,并产出大量创新成果,吸引大量投资,使先进制造业资本存量大幅度提升;而人力资本通常具有滞后性,有需求才有培养,高素质人才培养需要很长时间,因此人力资本增长幅度较小;服务化水平与技术创新能力、资本存量及人力资本水平息息相关,三者共同作用于服务化水平提升。

图8 先进制造业全球价值链仿真结果
Fig.8 Simulation result of advanced manufacturing GVC

3.2 全球价值链升级演进敏感性分析

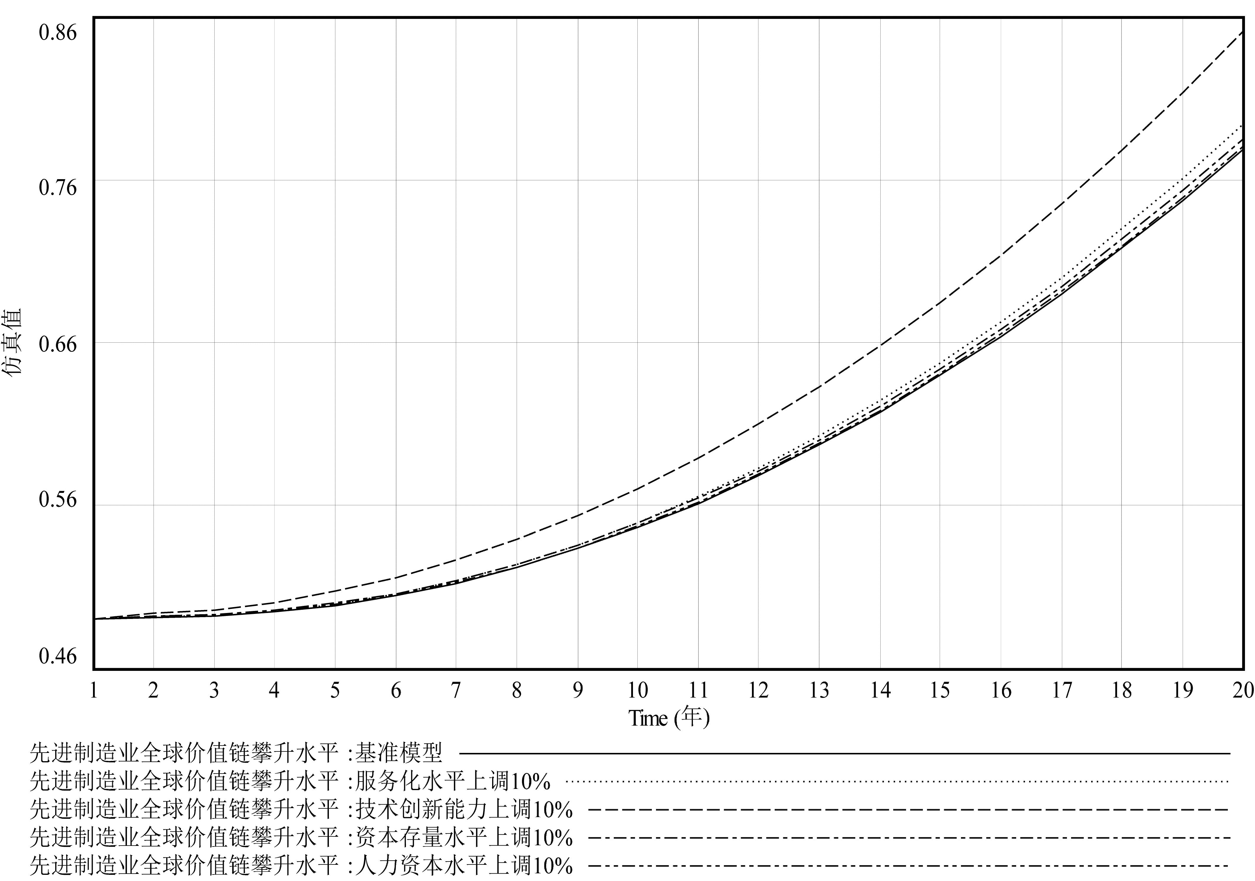
为揭示基于服务化的先进制造业全球价值链攀升机理,本文基于系统动力模型参数,分析不同动力因素对先进制造业全球价值链的影响。同时,对动力因素灵敏度进行考察,以提高政策制定的有效性。进一步,将服务化转型、技术创新、人力资本和资本存量4个推动先进制造业全球价值链攀升的动力因素分别上调10%,探究先进制造业全球价值链攀升内在机理,仿真结果如图9-图11所示。

图9 先进制造业全球价值链地位动力因素敏感性分析
Fig.9 Sensitivity analysis of dynamic factors of advanced manufacturing GVC status

图10 先进制造业全球价值链上游度动力因素敏感性分析
Fig.10 Sensitivity analysis of dynamic factors of advanced manufacturing GVC upstreamness

由图9~图11可知,服务化水平上调对先进制造业全球价值链地位攀升的影响作用最大。影响先进制造业全球价值链向上游攀升的动力因素呈现以下关系:技术创新能力>服务化转型>人力资本>资本存量,其中前两者明显有利于先进制造业向全球价值链上游攀升;影响先进制造业全球价值链向下游攀升的动力因素呈如下关系:人力资本>服务化转型>资本存量>技术创新能力。由上述仿真结果可知:①服务化转型在先进制造业全球价值链攀升过程中起重要推动作用,其对先进制造业全球价值链地位影响最大;②技术创新能力对先进制造业全球价值链上游度影响最大,通常技术水平越高,越容易向全球价值链上游攀升,本文预测结果符合一般规律;③对先进制造业全球价值链下游度影响最大的是人力资本,即专业高素质人力资本能够减少对国外高级服务要素的依赖,促进先进制造业与生产性服务业融合,从而向全球价值链下游环节攀升。

图11 先进制造业全球价值链下游度动力因素敏感性分析
Fig.11 Sensitivity analysis of dynamic factors of advanced manufacturing GVC downstreamness

对服务化水平影响先进制造业全球价值链地位攀升进行分析,分别将其上调10%、20%、30%和40%,仿真结果如图12和表3所示。可以看出,随着服务化比重的逐渐增大,先进制造业全球价值链地位不断提升。这表明,先进制造企业服务化水平越高,全球价值链地位攀升速度越快,同时也说明我国先进制造业服务化程度较低,需要继续进行服务化转型。

本文对服务化水平和技术创新能力影响先进制造业全球价值链上游度进行复合模拟,具体包括5种情形设定:①创新能力上调40%;②创新能力上调30%,服务化水平上调10%;③创新能力上调20%,服务化水平上调20%;④创新能力上调10%,服务化水平上调30%;⑤服务化水平上调40%,仿真结果如图13所示。

由图13可知,创新能力上调40%对先进制造业全球价值链上游度攀升的影响作用大于其它方案,说明我国要向全球价值链上游位置攀升,先进制造业技术创新投入远远不够,亟需提高自主创新能力;与此同时,合理分配服务化转型投入与技术创新投入,多角度多层次进行改革创新更能促进全球价值链攀升。

图12 全球价值链地位敏感性分析结果
Fig.12 Sensitivity analysis results of GVC status

图13 全球价值链上游度敏感性分析结果
Fig.13 Sensitivity analysis results of GVC upstreamness

进一步,本文对先进制造业全球价值链下游度以及服务化水平与人力资本进行协同分析,将两者组合情况划分为5种:①服务化水平上调40%;②人力资本水平上调10%,服务化水平上调30%;③人力资本水平上调20%,服务化水平上调20%;④人力资本水平上调30%,服务化水平上调10%;⑤人力资本水平上调40%,仿真结果如图14所示。

由图14可知,人力资本上调40%可以有效促进先进制造业向全球价值链下游环节攀升,通过培养行业内所需人才提升国内先进制造业服务化水平,同时说明我国先进制造业缺乏高素质专业人才,亟需培养相关专业人才并引进国内外专业人才,为我国先进制造业全球价值链升级提供源源不断的动力。

表3 全球价值链地位敏感性分析变化率对比
Table 3 Comparison of rates of change in GVC status sensitivity analysis

方案变化程度原仿真值变更后仿真值平均变化率(%)方案1服务化水平不变 0.535 0250.535 0250.00方案2服务化水平上调10%0.535 0250.544 0711.69方案3服务化水平上调20%0.535 0250.553 1173.38方案4服务化水平上调30%0.535 0250.562 1635.07方案5服务化水平上调40%0.535 0250.571 2106.76

图14 全球价值链下游度敏感性分析结果
Fig.14 Sensitivity analysis results of GVC downstreamness

3.3 动力因素敏感性分析

图15-图17和表4为基于服务化的先进制造业全球价值链升级演进动力因素的敏感性分析。经费投入对技术创新能力影响最大,其次为人力资本,再次为产学研合作水平,环境约束与技术引进对技术创新能力的影响基本相当。产学研合作可以提高先进制造业技术创新能力,先进技术引进和环境约束对企业技术创新能力的促进作用不明显,说明技术创新的关键仍取决于企业自身拥有的高素质专业人才及预备投入的创新资金,充足的资金支持与高素质专业人才是创新成果产出的重要支撑。高级服务要素引进可以显著提高先进制造业服务化水平,其次为信息技术发展,说明高信息化水平对服务化水平提升具有较大促进作用。资金支持对服务化水平的促进作用较小,而运输设施建设对先进制造业服务化水平的提升作用不明显,说明先进制造业服务化资金支持可以满足其基本需求。信息化发展程度不足说明我国信息服务业与先进制造业融合水平较低,今后应大力促进信息化数字化发展。从人力资本敏感性分析可知,经费投入对人力资本的促进作用最大,说明企业人力资本更多来源于企业自身,外来人才及新进毕业生与企业适配度不高,而工资增长对先进制造业人力资本无促进作用。通过对资本存量进行敏感性分析可知,先进制造业融资更多依赖于金融机构和国内资本,国外资本及国家经费支持对先进制造业资本增长的作用有限。

表4 技术创新敏感性分析结果
Table 4 Sensitivity analysis of technological innovation

Time (年)基准模型环境约束上调10%产学研合作上调10%技术引进上调10%经费投入上调10%人力资本上调10%10.215 1520.215 1520.215 1520.215 1520.215 1520.215 15220.240 0690.240 0710.240 1070.240 0690.240 2620.240 10830.265 0370.265 0410.265 1130.265 0370.265 4230.265 12240.290 0570.290 0630.290 1710.290 0570.290 6340.290 19350.315 1280.315 1360.315 280.315 1270.315 8950.315 32260.340 2490.340 260.340 440.340 2490.341 2050.340 50870.365 4210.365 4340.365 650.365 4210.366 5640.365 75180.390 6430.390 6580.390 910.390 6420.391 9720.391 0590.415 9140.415 9320.416 2190.415 9140.417 4280.416 404100.441 2350.441 2550.441 5780.441 2350.442 9330.441 814110.466 6050.466 6270.466 9860.466 6050.468 4860.467 28120.492 0240.492 0480.492 4430.492 0230.494 0860.492 8130.517 4910.515 170.517 9480.517 490.519 7330.518 375140.543 0060.543 0340.543 5010.543 0050.545 4270.544 003150.568 5690.568 5990.569 1020.568 5680.571 1670.569 685160.594 1790.594 2110.594 7510.594 1780.596 9540.595 421170.619 8360.619 8710.620 4460.619 8350.622 7860.621 21180.645 540.645 5770.646 1880.645 5390.648 6650.647 051190.671 2910.671 3290.671 9770.671 2890.674 5880.672 944200.697 0870.697 1280.697 8110.697 0860.700 5560.698 89

图15 服务化水平敏感性分析
Fig.15 Sensitivity analysis of servitization level

图16 资本存量水平敏感性分析
Fig.16 Sensitivity analysis of capital stock level

图17 人力资本水平敏感性分析
Fig.17 Sensitivity analysis of human capital level

4 研究结论与政策建议

4.1 研究结论

本文构建基于服务化的先进制造业全球价值链升级演进过程模型,运用系统动力学方法进行仿真分析,得出以下结论:

(1)在技术创新能力、服务化转型、人力资本和资本存量的推动下,先进制造业全球价值链地位逐年上升,价值链上游环节攀升速度加快,价值链下游环节演进速度则不及前两者。

(2)先进制造企业通过服务化转型实现全球价值链地位攀升,技术创新能力是先进制造业向全球价值链上游攀升的主要推动力,人力资本是先进制造业向全球价值链下游攀升的关键因素。对先进制造业全球价值链地位进行分析发现,服务化水平越高,先进制造业全球价值链地位提升越快,同时说明我国先进制造业服务化程度还有很大进步空间,距离拐点还有很长一段距离。对全球价值链上游度敏感性进行分析发现,5种情形中技术创新能力上调40%对全球价值链上游度影响作用最大,因此我国应加大技术创新投入,促进本国中间品出口,向全球价值链上游攀升。对全球价值链下游度敏感性进行分析发现,人力资本上调幅度越大,全球价值链下游度下降越快,即高素质人力资本可使我国先进制造业减少对国外高级服务要素的依赖,因此我国应加强相关专业人才培养。

4.2 政策建议

根据上述结论,本文提出以下政策建议:

(1)加速生产性服务要素流动,推动先进制造业及相关行业协同发展。我国先进制造业应不断提升对外开放水平,以本土先进制造业服务化转型过程中对生产性服务要素需求增大为契机,牵引国内外生产性服务要素的高质量供给,充分吸收国内外服务化转型经验,完善各类政策工具,促进先进制造业与生产性服务业深度融合,打造先进制造业人才供给全面提升的环境,满足服务化推动先进制造业全球价值链升级过程中不同阶段和不同环节对高素质人力资本的需求,实现生产性服务要素的加速流动,推动我国先进制造业服务化转型及相关行业协同发展。

(2)以服务化转型促进行业内相关人才培养,完善先进制造业技术创新体系,加速先进制造业GVC升级。先进制造企业应以服务化转型为契机,加大专项科研经费投入,培育技术创新人才和服务创新人才。加强高校、专业研究机构技术创新、服务创新合作,打造技术创新与服务创新产业联盟,完善行业创新要素扩散体系,加快技术创新、服务创新流通效率,在吸收消化国内外高质量生产性服务要素的同时不断加强本土生产性服务要素供给,充分利用和创造各类政策工具,提升先进制造企业动态能力,加速实现先进制造业GVC升级。

(3)深化先进制造业与金融服务业互动融合,优化营商环境,为先进制造业全球价值链升级提供便利条件。先进制造业进行技术创新及服务化转型的资金主要来源于金融机构支持,其次为国内资本投入,因此国家需要建立健全先进制造业金融服务体系,增加中长期贷款发放比例,提高银行长期信贷比重,完善融资担保体系,为先进制造业转型升级提供充足的资金支持;同时,扩大对外开放,吸引外商投资,合理引导市场竞争,激发先进制造业开展服务化转型或技术创新热情,实现我国先进制造业全球价值链升级。

4.3 不足与展望

本研究在统一系统视域下分析先进制造业服务化过程和GVC升级过程,囿于数据可得性限制,未对服务异质性和行业异质性进行划分,未来将细化本文研究,进一步分析不同服务要素在基于服务化的先进制造业全球价值链升级中可能出现的差异性演进规律。此外,由于相关统计年鉴部分数据缺失,本文选择替代数据,使研究结论存在一定局限,未来随着相关统计数据的不断完善,将对研究结论的真实性和有效性进行检验。

参考文献:

[1] XIN LI,BO MENG,AND ZHI WANG. Recent patterns of global production and GVC participation[R].Global Value Chain Development Report, 2019.

[2] 熊彬,范亚亚.东亚区域价值链背景下中国制造业分工地位及提升路径研究[J].软科学,2020,34(2):80-85.

[3] 戴翔,宋婕.“一带一路”有助于中国重构全球价值链吗[J].世界经济研究,2019,38(11):108-121,136.

[4] SOUSA R,DA SILVEIRA G J C. Capability antecedents and performance outcomes of servitization differences between basic and advanced services[J]. International Journal of Operations &Production Management, 2017, 37(4):444-467.

[5] 陈启斐,刘志彪.反向服务外包对我国制造业价值链提升的实证分析[J].经济学家,2013(11):68-75.

[6] 杨慧,宋华明,俞安平.服务型制造模式的竞争优势分析与实证研究——基于江苏200家制造企业数据[J].管理评论,2014,26(33):89-99.

[7] 姜铸,李宁.服务创新、制造业服务化对企业绩效的影响[J].科研管理,2015,36(5):29-37.

[8] VILJAKAINEN A,TOIVONEN M.The futures of magazine publishing:servitization and co-creation of customer value[J]. Futures,2014,64(11):19-28.

[9] 韩霞,吴玥乐.价值链重构视角下航空制造业服务化发展模式分析[J].中国软科学,2018,33(3):166-173.

[10] FORNASIERO R, CARPANZANO E. Advances in customer-oriented manufacturing and value chain management[J]. International Journal of Computer Integrated Manufacturing, 2017,30(7):677-679.

[11] AICHAGUI V,JOHANSSON E,NINA LOFBERG, et al. Servitization in SME manufacturing firms: a one-way road[C]// International Research Symposium on Service Excellence in Management,2015.

[12] 刘斌,魏倩,吕越,等.制造业服务化与价值链升级[J].经济研究,2016,51(3):151-162.

[13] 孙明哲,綦天熠.先进制造业服务化推动GVC升级机理及影响因素研究[J].商业研究,2021,64(5):28-34.

[14] 吴云霞,马野驰.制造业投入服务化对价值链升级的影响——基于参与度和分工地位的双重视角[J].商业研究,2020,63(2):62-72.

[15] 杜新建.制造业服务化对全球价值链升级的影响[J].中国科技论坛,2019,35(12):75-82,90.

[16] 綦良群,王金石,崔月莹,等.中国装备制造业服务化水平测度——基于价值流动视角[J].科技进步与对策,2021,38(14):72-81.

[17] 戴翔,李洲,张雨.服务投入来源差异、制造业服务化与价值链攀升[J].财经研究,2019,45(5):30-43.

[18] 尹伟华,全球价值链视角下中国制造业出口服务化水平测度研究[J].当代财经,2020,41(6):114-125.

[19] 陈虹,王蓓.生产性服务化对制造业出口技术复杂度提升的影响研究——来自中国的经验分析[J].经济问题探索,2021,42(9):117-129.

[20] 李优树,唐家愉.终端市场转移趋势下“一带一路”区域价值链与中国全球价值链升级研究[J].经济问题,2020,42(6):1-7,40.

[21] 郑国姣,常冉.中国装备制造业服务化与绿色全要素生产率研究——基于新型国际分工下的GVC视角[J].技术经济与管理研究,2019,40(10):3-8.

[22] 张彦.RCEP区域价值链重构与中国的政策选择——以“一带一路”建设为基础[J].亚太经济,2020,222(5):14-24.

[23] 张峰,史志伟,宋晓娜,等.先进制造业绿色技术创新效率及其环境规制门槛效应[J].科技进步与对策,2019,36(12):62-70.

[24] 张幸,钟坚,王欢芳.中国先进制造业与现代服务业融合水平测度及影响因素研究[J].财经理论与实践,2022,43(3):135-141.

[25] 陈爱贞,刘志彪.决定我国装备制造业在全球价值链中地位的因素——基于各细分行业投入产出实证分析[J].国际贸易问题,2011,37(4):115-125.

[26] LIU M C. Manufacturing servitization and revitalizing industrial clusters: a case study of Taiwan's LIIEP,China[J]. Journal of the Asia Pacific Economy, 2015,20(3):423-443.

[27] BOFFA MAURO,JANSEN MARION,SOLLEDER OLGA. Participating to compete: do small firms in developing countries benefit from global value chains[J]. Economies,2021,9(1):12.

[28] MAREL E. Positioning on the global value chain map: where do you want to be[J]. Journal of World Trade,2015,49(6):915-949.

[29] GUANIE LIM. Value chain upgrading: evidence from the Singaporean aquaculture industry[J]. Marine Policy, 2016,63:191-197.

[30] 张鹏杨,唐宜红.FDI如何提高我国出口企业国内附加值——基于全球价值链升级的视角[J].数量经济技术经济研究,2018,35(7):79-96.

[31] 黄蕙萍,尹慧.我国战略性新兴产业全球价值链升级影响因素分析[J].科技管理研究,2016,36(10):19-24.

[32] 袁征宇,王思语,郑乐凯.制造业投入服务化与中国企业出口产品质量[J].国际贸易问题,2020,45(10):82-96.

[33] 苏杭,郑磊,牟逸飞.要素禀赋与中国制造业产业升级——基于WIOD和中国工业企业数据库的分析[J].管理世界,2017,33(4):70-79.

[34] 许晨,王今朝,金志达.中国在国际贸易体系转型过程中的战略政策探索——基于全球价值链批判视角[J].经济学家,2022,34(4):79-88.

[35] KOOPMAN R, POWERS W, WANG Z, et al.Give credit where credit is due: tracing value added in global production chains [R].NBER Working Paper,2010:16426.

[36] ANTRIS P D, CHOR. Organizing the global value chain[J]. Economictrica,2013,81(6): 2127-2204.

(责任编辑:王敬敏)