董事高管责任保险会影响企业创新持续性吗

刘永丽1,2,张方舒1

(1.郑州航空工业管理学院 商学院,河南 郑州 450046;2.航空经济发展河南省协同创新中心,河南 郑州 450046)

摘 要:随着康美药业等重大案件的司法实践以及注册制全面推行,我国资本市场整体诉讼风险不断提高,董责险的公司治理作用日益凸显。以2015—2021年沪深A股上市公司为样本,实证检验董责险对企业创新持续性的影响。结果表明:董责险对企业创新持续性具有促进作用;随着管理者权力增大,董责险对创新持续性的正向作用减弱;内部控制、融资约束在董责险与企业创新持续性间发挥多重链式中介效应;在财务困境、高知识产权保护水平及高政府补贴样本企业,董责险对企业创新持续性的促进作用更为显著。结论有助于中国上市公司在经济转型升级情境下,结合企业需求更好地利用董责险这一制度优化自身创新战略,进而提升企业创新持续性水平。

关键词:董事高管责任保险;企业创新持续性;管理者权力;内部控制;融资约束

Does the D&O Liability Insurance Affect the Persistence of Corporate Innovation?

Liu Yongli1,2,Zhang Fangshu1

(1.School of Business,Zhengzhou University of Aeronautics,Zhengzhou 450046,China;2.Collaborative Innovation Center of Aviation Economy Development of Henan Province,Zhengzhou 450046,China)

AbstractInnovation persistence is crucial for enterprises in the increasingly complex and variable external environment.On a micro-level,innovation persistence is the basis for enterprises to gain dynamic competitive advantages,while on a macro-level,it is the key to the implementation of their innovation-driven strategy in China.However,in the context of expanding economic globalization and open innovation,the lack of scientific and technological innovation has become one of the main constraints on the sustainable development of late-developing economies.How to maintain innovation continuity,enhance innovation momentum,and promote the overall effectiveness of the innovation system to continue to improve are the issues worthy of serious consideration in China.

There are many factors that determine the persistence of innovation.As an effective prior institutional arrangement and safeguard measure,D&O liability insurance can be used to reduce the failure of innovation decision-making by executives to enhance the risk-bearing ability of management,and it has a key impact on the choice of corporate strategy and the stable implementation of the strategy,which in turn positively impacts the persistence of innovation.However,in the existing research on the economic consequences of D&O liability insurance,few scholars have paid attention to the impact on innovation persistence.The managerial power determines the speed of response to environmental changes and the development of the firm's relationship network,while innovation persistence highly depends on managerial judgment and sustained attention,so it is necessary to examine the moderating role of managerial power in the relationship between D&O liability insurance and innovation persistence.Internal control influences the adaptability of strategic decisions,the speed and intensity of disruption,and closely relates to corporate innovation persistence strategies; meanwhile,financing constraints determine the allocation of innovation resources and the involvement in all aspects of the initiation and maintenance of innovation.Therefore,this study aims to explore the mediating path of D&O liability insurance affecting innovation persistence from the perspectives of internal control and financing constraints.In addition,there may be different impacts on firms' innovation persistence from different financial distress situations,different protection levels of intellectual property and government subsidies.In summary,this paper proposes research hypotheses and develops corresponding research models.To further verify the reliability of the hypotheses and models,this study selects the samples of Shanghai and Shenzhen A-share companies from 2015 to 2021,and obtains 14 228 valid observations after data processing.Empirical analyses such as descriptive statistics,regression analysis,endogeneity analysis and robustness tests are conducted using the software of Stata 16.0.

The results show that D&O liability insurance has a facilitating effect on firms' innovation persistence; the positive effect of D&O liability insurance on innovation persistence diminishes as managers' power increases; internal control and financing constraints play multiple serial mediated effects between &O liability insurance on innovation persistence; and the facilitating effect of D&O liability insurance on firms' innovation persistence is more significant in the samples of firms with financial distress,high levels of intellectual property rights protection and high levels of government subsidies.

There are three innovative aspects of this paper.Firstly,the impact of D&O liability insurance on corporate innovation persistence is analyzed from the perspective of D&O liability insurance,which extends the study of innovation persistence factors; secondly,the multiple serial mediation effect model is introduced to study the serial mediation effect of internal control and financing constraints,which further reveals the impact path of D&O liability insurance on corporate innovation persistence; thirdly,the moderating effect of managers' power is included,which enriches the influence of D&O liability insurance on corporate innovation persistence,and it is a useful addition to the research in the field of managerial power.The conclusion can help Chinese listed companies make better use of the D&O liability insurance system to optimize their corporate innovation strategies and enhance corporate innovation persistence in the context of economic transformation and upgrading.

Key WordsD&O Liability Insurance; Corporate Innovation Persistence; Managerial Power; Internal Control; Financing Constraints

收稿日期:2023-05-06

修回日期:2023-07-23

基金项目:河南省科技厅软科学项目(232400412059);河南省高校科技创新人才项目(人文社科类)(2020-CX-011)

作者简介:刘永丽(1977-),女,河南长葛人,博士,郑州航空工业管理学院商学院副教授、硕士生导师,航空经济发展河南省协同创新中心研究员,研究方向为高管团队特征、企业创新;张方舒(1997-),女,河南巩义人,郑州航空工业管理学院商学院硕士研究生,研究方向为高管背景特征、企业创新。

DOI10.6049/kjjbydc.2023050113

开放科学(资源服务)标识码(OSID):

中图分类号:F273.1

文献标识码:A

文章编号:1001-7348(2023)22-0107-12

0 引言

董事高管责任保险(以下简称“董责险”)是指专为公司董事及高级管理人员设计的职业保险,旨在为董事高管在公司经营管理过程中因行为不当或工作疏忽受到指控,需要承担个人赔偿责任时提供支持,保险机构将代替被保险人承担责任抗辩过程中的法律费用,并负责其应承担的民事赔偿[1]。相较于西方国家,我国董责险整体投保率较低。随着注册制全面推行,我国资本市场整体诉讼风险不断提高,董责险的公司治理作用日益凸显。董责险作为事前有效的制度安排和保障措施,能够降低企业管理层在创新决策中因失败带来的风险损失,提高管理者风险承受能力,激励管理者创新意愿,并持续推动企业创新行为。区别于传统技术创新(雷家骕和洪军,2012),企业创新持续性突出体现了创新进程与结果的持续性,强调企业持续创新,进而实现可持续发展。在经济全球化背景下,科技创新乏力已成为制约后发经济体可持续发展的主要问题。如何更好地促进企业创新持续性水平提升,是国家在科技创新、经济转型升级等方面亟待解决的重大问题。

针对企业创新持续性驱动机制,国内外学者主要基于3种理论视角进行归因解释。基于研发投入沉淀成本视角的研究强调,沉没成本可以构建企业进入与退出创新的壁垒;基于动态收益递增视角的研究强调,企业以积累知识技术为基础,形成良性创新循环;基于成功孕育成功视角的研究强调,过去的成功创新能够促使企业更有动机在未来获得持续性创新收益。总体来看,大多数研究从企业内外部因素视角切入,探讨企业创新持续性的影响因素。内部因素方面,学者们主要关注企业自身特征、组织管理模式以及知识技术[2]。此外,高管会对企业持续创新产生重大影响,如高管股权激励、高管认知度和独特视角。外部影响因素方面,多数研究发现,市场、环境、政策等与创新持续性具有显著相关性。董责险这一制度安排在资本市场、人力资源实践及企业决策机制中发挥重要作用。现有研究基于管理层激励假说、外部监督假说和道德风险假说,探讨了董责险的需求动因与治理职能(胡国柳和康岚,2014),并依据董责险特征,深入分析其与企业风险承担、企业创新[3-4]、企业战略激进度间的关系。凌士显与白锐锋[4]研究表明,董责险的引入不但不会产生激励作用,反而会抑制企业创新。也有学者认为,董责险的引入时间越长,越有利于企业创新[5]。由此可见,现有研究较少关注董责险对企业创新持续性的影响。本文探讨董责险对企业创新持续性的影响,有助于中国企业在经济转型升级情境下,结合自身需求更好地利用董责险这一制度安排,优化自身创新战略,进而提升创新持续性水平。

本文基于2015—2021年我国沪深A股上市公司数据,探讨董责险对企业创新持续性的影响。由于管理者有权决定企业对环境变化的应对速度及企业关系网络发展,而企业持续创新高度依赖于管理者的判断,故需要考察管理者权力在董责险对企业创新持续性影响过程中的调节作用。内部控制能够影响战略决策的适应性、破坏速度及强度,与企业创新战略的持续性具有密切关系,而融资约束能够决定创新资源配置及其参与创新的各环节。因此,本文基于内部控制与融资约束视角,探究董责险影响企业创新持续性的中间路径,并从财务困境、知识产权保护水平、政府补贴水平等维度,探讨董责险对企业创新持续性的影响差异。

本文的创新性体现在以下方面:第一,从董责险视角探讨其对企业创新持续性的影响,以拓展创新持续性影响因素研究。已有文献主要从组织内部和外部环境视角进行探究,尚未关注董责险这一保险制度因素。本文基于董责险视角探讨现有企业创新持续性影响因素,有助于创新驱动发展。第二,采用多重链式中介效应模型,引入内部控制和融资约束的链式中介效应,进一步揭示董责险对企业创新持续性的影响路径。第三,引入管理者权力的调节效应,丰富董责险对企业创新持续性影响的情景因素。管理者权力在企业获得可持续竞争优势过程中发挥关键作用,本文探讨管理者权力的调节作用机制,是对该领域研究的有益补充。

1 理论分析与研究假设

1.1 董责险与企业创新持续性

从外部监督假说角度看,引入董责险有助于提升内部控制质量并缓解融资约束,进而强化企业战略实施的稳定性与研发状态的连续性,最终强化企业创新持续性。我国董责险赔付案例较少,保险公司会全面、综合评估投保企业风险水平,据此为投保企业定制保单[5],设置条款以约束管理者行为。为降低潜在赔偿风险,保险公司会高度关注上市公司内部控制缺陷,以积极的监督推动投保公司提升内部控制质量[5-6],减少财务重述行为并改善会计信息质量(张十根和王信平,2021;王岚和顾海荣,2022),有助于企业获得投资者和银行等外源融资者的信任,缓解融资约束压力,为持续创新提供资金保障,从而提高创新战略实施的稳定性。此外,外界对董责险的理赔较为关注,申请理赔董责险可能会激发市场对公司的负面评价。因此,引入董责险的公司会自发提升自身治理水平,完善内控体系。复杂动荡的外部环境不利于企业战略稳定性,如知识产权保护水平、政府补贴水平以及企业内部财务状况可能对战略执行产生影响。内部控制系统能够识别战略决策与整体目标间的偏差,并缓解环境动荡带来的负面影响,尤其可以管控风险阈值和长效风险[7],以防止战略失控。高质量内部控制机制能够有效强化战略实施的稳定性并促进创新战略实施,从而强化企业创新持续性。

从管理者激励假说角度看,首先,董责险会转移高管职业风险,确保战略实施的稳定性,增强战略执行力,从而强化企业创新持续性。购买董责险会产生风险兜底效应[8],从而吸引有胆识、有决心的优秀管理者。在风险松绑的情况下,优秀的经理人会更加关注创新的积极结果,充分利用现有资源处理紧急或不可预测的状况,确保创新战略实施的稳定性,增强企业创新战略调整能力,从而强化创新持续性。其次,董责险能够提高高管风险承担能力、战略差异度和战略柔性,有利于企业技术知识拓展。董责险能够提升管理层风险承担水平,激励管理层以提升企业价值为目标制定战略决策,同时提升企业战略激进度[9],从而强化企业对进攻型战略和差异化战略的选择倾向[9-10]。具有高战略差异度的企业致力于探索新技术、产品和市场,能够获取更多异质性知识,拓展自身知识边界(何郁冰等,2021),进而降低后续创新路径调整难度与创新中断风险[11-12]。但差异化战略未经检验,通常具有较高的不确定性风险[13],因而需要具有冒险精神的高管推动战略决策实施。董责险能够降低高管对风险的厌恶程度,促使企业采取差异化战略提升战略柔性,并通过吸收新知识、新技术实现内部知识积累与转化,通过培育多样化技术能力发挥知识累积效应[14],以缓解外界冲击,从而强化企业创新持续性。综上分析,本文提出如下假设:

H1:董责险能够强化企业创新持续性。

1.2 管理者权力的调节作用

管理者是董责险的具体运用对象,董责险对企业创新持续性的影响是否受管理者权力的影响?管理者权力是指管理者有能力使自身意志在公司战略决定中得以贯彻[15]。在制定战略决策时,管理者的态度会因其拥有的权力水平而异。在管理者权力分散的情况下,其他董事和高管能够对董事长特别是担任总经理的董事长进行制衡,从而抑制其机会主义行为(卢馨等,2014)。不一致的意见得到充分讨论,能够帮助企业更好地制定有利于自身发展的决策。董责险认购能够强化高管风险承担倾向,有助于企业提升内部控制质量。由此,高管愿意实施风险较高的差异化战略,制定有利于企业持续创新的战略决策(戴雨晴和李心合,2021)。

当管理者权力较大时,管理者对企业经营的话语权增大。管理者权力理论认为,两权分离和委托代理问题并存,管理者权力能够压制不一致的意见,同时会压制其他控制权较小的管理者,进而影响其决策参与过程。由此,管理者可能通过权力追求个人利益最大化。企业引入董责险这一风险转移与补偿机制,可能诱发高权力管理者的潜在道德风险,强化管理者自利倾向,进而扭曲董责险的风险承担激励机制。因此,发生非有效创新投资的概率提升,进而阻碍企业获取多领域知识技术,导致企业难以实施差异化战略,最终弱化董责险对创新持续性的正向影响。因此,本文提出如下假设:

H2:随着管理者权力增大,董责险对创新持续性的正向作用减弱。

1.3 内部控制与融资约束的多重链式中介作用

内部控制是指对企业经营管理与战略计划进行有效控制,促使企业有效完成战略目标,董责险对企业内部控制完善发挥促进作用。为了降低巨额赔偿风险,保险公司通过外部监督促使上市公司优化内部控制制度、完善治理机制[16]。内部控制集战略导向、风险控制于一体,可以确保高管行为与企业经营始终最大程度地维护相关者利益[17]。完善的内控制度能够及时识别、分析战略执行过程中的风险因素,延缓战略决策的破坏速度(朱丹和周守华,2018),从而强化战略实施的稳定性与企业创新持续性。由此可知,内部控制在董责险与企业创新持续性间发挥中介作用。

融资约束是指企业没有充足的外部资金用于投资活动,董责险可以帮助企业缓解融资约束。首先,认购董责险后,保险公司会对投保企业进行综合风险评估和后续监督。一方面,这一行为能够向外界发出积极的公司治理信号[18];另一方面,保险费率与风险密切相关,公司投保保费和责任限额可以在一定程度上反映公司治理风险,有助于缓解外部利益相关者的投资顾虑和信息不对称问题[19]。这种效应能够提升企业信誉度与外源融资可得性,缓解企业融资约束。其次,董责险的兜底效应和外部监督效应能够促进企业信用评级提升(胡国柳和谭露,2018),降低企业获得银行贷款的难度,进而缓解融资约束,为企业战略实施提供资金保障,最终强化创新持续性。因此,融资约束在董责险与企业创新持续性间发挥中介作用。

现有研究表明,内部控制与融资约束存在紧密关联。在第三方监督机构保险公司的监督下,企业健全内部控制制度,能够及时识别战略决策与整体目标间的偏离,避免战略失控,从而强化创新持续性。高质量内部控制制度能够抑制管理者侵占、大股东掏空等机会主义行为,通过缓解信息不对称和委托代理问题提升财务报告透明度,在帮助企业获取资金的同时降低融资成本[20],缓解融资约束[21],为企业战略实施提供资金保障,进而驱动企业开展更多研发创新活动,增强持续创新动力。由此可见,董责险可以改善企业内部控制质量,并通过改善内部控制质量影响融资约束,进而强化企业创新持续性。综上所述,本文提出如下假设:

H3:内部控制、融资约束在董责险与企业创新持续性之间发挥多重链式中介效应。

2 研究设计

2.1 样本选择

本文初始样本为2015—2021年我国沪深A股上市公司,按以下标准对样本进行筛选:①剔除ST、*ST类样本;②剔除金融保险行业样本;③剔除相关财务数据缺失样本。最终,得到14 228个样本观测值。为避免异常值对回归结果的影响,本文对连续变量进行上下1%的缩尾处理。董责险相关数据和专利申请数据来源于中国研究数据服务平台(CNRDS),内部控制数据来源于深圳迪博数据库,其它数据来自于国泰安金融数据库(CSMAR)。

2.2 变量定义

2.2.1 被解释变量

企业创新持续性(IIP/OIP)。借鉴Triguero & Córcoles[22]、何郁冰等(2017)的研究成果,本文从创新投入与创新产出角度对企业创新持续性进行界定,采用创新投入(产出)的环比增长率乘以当期创新投入(产出)规模度量,投入视角是基于研发投入进行计量,产出视角是基于专利数据进行计量。本文参考何郁冰等(2017)的方法,将以上指标本期数据与前一期数据相结合(合并为一期数据),以此度量企业创新持续性。

企业创新持续性(创新投入)公式如下:

IIPt=

(1)

企业创新持续性(创新产出)公式如下:

OIPt=

(2)

其中,IINOIN分别表示企业研发投入和专利申请数。IIPOIP值越大,企业创新持续性水平越高。

2.2.2 解释变量

董责险(DOI)。参考胡国柳和李小倩[23]的做法,本文将董责险认购与否设定为虚拟变量(DOI),以此对董责险加以衡量。如果上市公司在公告中明确表示购买责任保险,则虚拟变量(DOI)赋值为1,否则为0。在未发布任何关于停止购买董责险公告的情况下,该公司被默认为继续投保。

2.2.3 调节变量

管理者权力(Power)。参考卢锐[24]的研究成果,本文以Power作为标识,构建管理者权力综合评价指标体系,具体如下:①以董事长和总经理两职合一(Power1)为虚拟变量,若董事长、总经理两职合一,则赋值为1,否则赋值为0;②以股权制衡度(Power2)为虚拟变量,若第一大股东持股比例除以第二至十大股东持股比例之和小于1,则赋值为1,否则赋值为0;③以任职时间(Power3)为虚拟变量,若董事长或总经理在首次公开募股之前和之后4年在职,则赋值为1,否则赋值为0。其中,积分变量(Power)是上述3个变量相加,即Power=Power1+Power2+Power3,Power越大,管理者权力越大。

2.2.4 中介变量

内部控制(Index)。参考卢宏亮等[25]的研究成果,本文采用深圳迪博数据库发布的内部控制指数衡量上市公司内部控制质量。本文将这一指数除以100进行标准化处理,以此衡量内部控制程度。

融资约束(FC)。参照Kaplan&Zingales[26]、魏志华等[27]的研究成果,本文通过构建5因子KZ指数测量企业融资约束程度。具体而言,以各年度经营性现金流/期初总资产、现金股利/期初总资产、现金持有/期初总资产、资产负债率和托宾Q值5项指标进行度量。如果企业前3项指标各低于其中位数,则kz值取1,否则取0;如果后两项指标各高于其中位数,则kz值取1,否则取0。随后,令KZ=kz1+kz2+kz3+kz4+kz5,基于排序逻辑回归,将KZ指数作为因变量对上述5个指标进行回归,估算各变量回归系数,并以此计算融资约束KZ指数。KZ指数越大,说明上市公司所受融资约束越强。

2.2.5 控制变量

借鉴已有研究成果[2],本文选择如下变量作为控制变量:企业年龄(Age)、财务杠杆(Lev)、企业成长性(Tobin's Q)、盈利能力(ROA)、无形资产比率(RIA)、流动负债比率(CLR)、管理费用率(Mfee)、管理层持股比例(Mshr)、董事会人数(Board)、董事会持股数量(BOwner),并控制行业(Industry)和年份(Year)。具体变量定义如表1所示。

表1 变量定义

Tab.1 Variable definitions

变量类型变量名称变量符号变量说明被解释变量创新投入持续性IIP企业创新投入环比增长率和当期创新投入的积+1,取自然对数创新产出持续性OIP企业创新产出环比增长率和当期创新产出的积+1,取自然对数解释变量董责险DOI若购买董责险,其值取1,否则取0调节变量管理者权力Power管理者权力积分变量,即Power=Power1+Power2+Power3中介变量内部控制Index迪博数据库公布的内部控制指数除以100融资约束FC构建5因子KZ指数控制变量企业年龄AgeLn(当前年度-企业成立年份+1)财务杠杆Lev公司年末负债总额/资产总额企业成长性Tobin's Q托宾Q值:市值A/资产总计盈利能力ROA公司年末净利润/总资产无形资产比率RIA无形资产净额/资产总计流动负债比率CLR流动负债/负债总额管理费用率Mfee企业当年管理费用占主营业务收入的比例管理层持股比例Mshr管理层持股总数/总股董事会人数Board董事会人数的自然对数董事会持股BOwner董事会持股数量的自然对数年度Year年度虚拟变量行业Industry根据行业类别设定行业虚拟变量,其中制造业按照行业种类设置行业虚拟变量

2.3 模型构建

(1)为了检验董责险对企业创新持续性的影响,本文构建模型如式(3)所示。

IIPi,t/OIPi,t=α0+α1DOIi,t+α2Controli,t+∑Year+∑Industry+εi,t

(3)

式中,下标i表示企业个体,t表示研究年份,IIPOIP分别为创新投入持续性和创新产出持续性,DOI为董责险,Control为影响企业创新持续性的控制变量,YearIndustry分别为年度固定效应、行业固定效应。如果α1显著为正,说明董责险对企业创新持续性具有促进作用。

(2)为了检验管理者权力在董责险与企业创新持续性关系中的调节作用,本文构建模型如式(4)所示。

IIPi,t/OIPi,t=φ0+φ1DOIi,t+φ2Poweri,t+φ3DOIi,t×Poweri,t+φ4Controli,t+∑Year+∑Industry+εi,t

(4)

式中,Power代表管理者权力,如果交互项DOI×Power的回归系数φ3显著,表明管理者权力在董责险与企业创新持续性间发挥显著调节作用。

(3)本文采用多重中介模型分析董责险对企业创新持续性的作用机制。多重中介模型包含链式多重、并行多重、复合式多重、多元多重中介模型,既可同时对显变量与潜变量进行处理,也可对多个中介变量与自变量、因变量间的关系进行分析。参考柳士顺与凌文辁[28]的研究成果,本文建立多重链式中介模型(见图1),并在式(3)的基础上,构建以下模型:

图1 多重链式中介效应

Fig.1 Multiple chain mediation effect

Indexi,t=β0+β1DOIi,t+β2Controli,t+∑Year+∑Industry+εi,t

(5)

FCi,t=γ0+γ1DOIi,t+γ2Indexi,t+γ3Controli,t+∑Year+∑Industry+εi,t

(6)

IIPi,t/OIPi,t=η0+η1DOIi,t+η2Indexi,t+η3FCi,t+η4Controli,t+∑Year+∑Industry+εi,t

(7)

独立中介效应路径为“董责险—内部控制—创新持续性”与“董责险—融资约束—创新持续性”,记为独立中介效应1与独立中介效应2,效应值分别为β1η2γ1η3;链式中介效应路径为“董责险—内部控制—融资约束—创新持续性”,效应值为β1γ2η3。本文采用新的中介效应检验方法(温忠麟和叶宝娟,2014)实证检验多重链式中介效应,如果β1η2γ1η3均显著,则独立中介效应显著;如果至少一个不显著,则采用Bootstrap法检验系数乘积;如果β1γ2η3均显著,则链式中介效应显著,反之采用Bootstrap法检验系数乘积。

3 实证分析

3.1 描述性统计

变量描述性统计结果如表2所示。其中,创新投入持续性(IIP)和创新产出持续性(OIP)的均值分别为19.09、4.53,标准差分别为1.410和1.553,说明样本公司间创新持续性差异较为显著。董责险(DOI)均值0.11,说明11%的上市公司已选购董责险,投保企业数量较少。内部控制(Index)均值为6.22,标准差为1.488,说明样本公司内部控制水平存在较大差异。融资约束(FC)均值为0.83,标准差为2.217,说明我国上市公司融资约束水平差异较大。管理者权力(Power)均值为1.29,标准差为0.857,说明不同企业间管理者权力差异较小。

表2 变量描述性统计结果

Tab.2 Descriptive statistics of the variables

变量样本量均值标准差最小值中位数最大值IIP142 2819.091.41015.3419.0223.13OIP14 2284.531.5530.294.588.53DOI14 2280.110.3160.000.001.00Power14 2281.290.8570.001.003.00Index14 2286.221.4880.006.578.10FC14 2280.832.217-5.891.115.64Age14 2282.980.2752.203.003.53Lev14 2280.420.1890.070.410.90Tobin's Q14 2282.161.3850.851.728.69ROA14 2280.040.073-0.300.040.23RIA14 2280.050.0420.000.040.27CLR14 2280.830.1550.340.871.00Mfee14 2280.080.0620.010.070.37Mshr14 22814.1218.5550.002.7265.81Board14 2282.110.1941.612.202.64BOwner14 22813.117.1480.0016.4120.51

3.2 单变量分析

根据企业是否认购董责险,本文将样本分为两组并对两组样本进行均值差异T检验,以分析企业创新持续性和其它主要变量在两组样本中的分布差异,表3为单变量分析结果。由表3可知,在认购董责险样本中,IIP均值和OIP均值分别高于未认购董责险样本中的相应值,两者均值差异检验结果在1%水平上显著,初步表明认购董责险对企业创新持续性具有促进作用。此外,在认购董责险样本中,Index均值高于未认购董责险样本的相应值,均值差异检验结果显著,初步证明认购董责险能够提高企业内部控制质量。

表3 单变量分析结果

Tab.3 Results of the univariate analysis

变量DOI=0样本量均值最小值最大值DOI=1样本量均值最小值最大值均值差异IIP12 63019.0115.3423.131 59819.7415.3423.13-0.733∗∗∗OIP12 6304.480.298.531 5984.930.298.53-0.459∗∗∗Power12 6301.310.003.001 5981.200.003.000.114∗∗∗Index12 6306.220.008.101 5986.290.008.10-0.074∗FC12 6300.79-5.895.641 5981.15-5.895.64-0.364∗∗∗Age12 6302.962.203.531 5983.082.203.53-0.118∗∗∗Lev12 6300.410.070.901 5980.480.070.90-0.065∗∗∗Tobin's Q12 6302.180.858.691 5982.000.858.690.179∗∗∗ROA12 6300.04-0.300.231 5980.03-0.300.230.005∗∗RIA12 6300.050.000.281 5980.050.000.28-0.006∗∗∗CLR12 6300.830.341.001 5980.780.341.000.049∗∗∗Mfee12 6300.090.010.371 5980.070.010.370.015∗∗∗Mshr12 63014.950.0065.811 5987.620.0065.817.327∗∗∗Board12 6302.111.612.641 5982.141.612.64-0.031∗∗∗BOwner12 63013.400.0020.511 59810.800.0020.512.601∗∗∗

注:*、**、*** 表示在 10%、5%、1% 水平上显著,下同

3.3 回归分析

本文采用F检验对固定效应模型与混合回归模型进行选择。在此基础上,本文先利用LM统计量确定是混合效应还是随机效应,再采用Hausman检验方法对固定效应和随机效应进行比较。根据比较结果,本文采用固定效应模型,并将时间效应、行业效应纳入回归模型。

(1)董责险影响企业创新持续性回归结果。由表4可知,董责险与企业创新投入(产出)持续性的回归系数为0.519(0.393),且在1%水平上显著为正。这一结果表明,董责险能够发挥激励与监督作用,促进董事高管风险承担水平与企业创新战略差异度提升,进而为企业战略实施提供保障,促使创新项目按计划实施,最终强化企业创新持续性。由此,假设H1得到验证。

表4 董责险与企业创新持续性回归结果

Tab.4 Regression results of D&O liability insurance and enterprise innovation sustainability

变量(1)(2)(3)(4)IIPIIPOIPOIPDOI0.733∗∗∗0.519∗∗∗0.459∗∗∗0.393∗∗∗(15.90)(13.55)(10.12)(9.90)Age-0.143∗∗∗-0.145∗∗∗(-3.53)(-3.15)Lev2.036∗∗∗1.880∗∗∗(27.54)(23.85)Tobin's Q-0.103∗∗∗-0.120∗∗∗(-10.75)(-11.91)ROA4.956∗∗∗4.046∗∗∗(26.55)(19.83)RIA-1.217∗∗∗-0.530∗(-3.95)(-1.66)CLR-0.523∗∗∗-0.096(-7.03)(-1.15)Mfee-1.968∗∗∗-1.051∗∗∗(-8.12)(-3.86)Mshr-0.013∗∗∗-0.007∗∗∗(-19.99)(-9.66)Board0.582∗∗∗0.492∗∗∗(10.20)(7.65)BOwner0.026∗∗∗0.017∗∗∗(13.69)(8.03)YearYESYESYESYESIndustryYESYESYESYESCons17.726∗∗∗16.836∗∗∗3.654∗∗∗2.658∗∗∗(150.75)(77.03)(28.30)(10.67)N14 22814 22814 22814 228F值68.90141.6890.82114.46Adj. R20.110.290.140.24

(2)管理者权力的调节作用回归结果。由表5可知,董责险与管理者权力的交互项(DOI×Power)对企业创新投入(产出)持续性影响的回归系数为-0.085(-0.074),在5%(10%)水平上显著。由此,假设H2得到验证。

表5 管理者权力的调节作用回归结果

Tab.5 Moderating effect of managerial power

变量(1)(2)IIPOIPDOI0.621∗∗∗0.482∗∗∗(8.90)(7.62)Power0.073∗∗∗0.028∗(5.67)(1.86)DOI×Power-0.085∗∗-0.074∗(-2.01)(-1.76)ControlYESYESYearYESYESIndustryYESYESCons16.736∗∗∗2.620∗∗∗(76.19)(11.20)N14 22814 228F值136.17116.97Adj. R20.290.24

(3)内部控制与融资约束的多重链式中介作用回归结果。由表6可知,董责险(DOI)对内部控制(Index)的影响系数为0.159,在1%水平上显著为正,表明董责险有助于企业内部控制水平提升。列(2)中,董责险(DOI)和内部控制(Index)对融资约束(FC)的影响系数在1%水平上分别为-0.104、-0.041,说明董责险和内部控制能够显著缓解企业融资约束。列(3)(4)显示,融资约束会弱化企业创新持续性,董责险和内部控制对企业创新持续性发挥促进作用。

表6 内部控制与融资约束的多重链式中介作用的回归结果

Tab.6 Regression results on the multiple chain mediating effects of internal control and financing constraints

变量(1)(2)(3)(4)IndexFCIIPOIPDOI0.159∗∗∗-0.104∗∗∗0.487∗∗∗0.366∗∗∗(4.00)(-2.66)(13.10)(9.40)Index-0.041∗∗∗0.133∗∗∗0.123∗∗∗(-4.36)(16.29)(14.04)FC-0.104∗∗∗-0.068∗∗∗(-15.05)(-8.37)ContolYESYESYESYESYearYESYESYESYESIndustryYESYESYESYESCons7.281∗∗∗-1.931∗∗∗15.635∗∗∗1.607∗∗∗(29.09)(-7.42)(70.35)(6.31)N14 22814 22814 22814 228F值38.55362.73154.00119.06Adj.R20.180.580.320.26

基于投入视角对企业创新持续性进行度量时,独立中介效应1与独立中介效应2分别为0.021、0.011;基于产出视角对企业创新持续性进行度量时,独立中介效应1与独立中介效应2分别为0.020、0.007,董责险对创新投入(产出)持续性的链式中介效应为0.000 7(0.000 4)。由此可知,内部控制产生的中介效应和融资约束产生的中介效应较为接近,均强于内部控制与融资约束联动产生的链式中介效应。从创新投入(产出)创新持续性看,总体中介效应为0.032 7(0.027 4),董责险对企业创新投入(产出)持续性的总效应为0.519(0.393)。以上结果表明,董责险可以通过优化内部控制、缓解融资约束两个渠道强化企业创新持续性,且内部控制的中介效应较强。

为了对复杂中间路径进行验证,本文进一步使用结构方程模型检验多重链式中介作用,并采用非参数Bootstrapping方法调整估计偏差[29]。由表7、表8可知,从创新投入(产出)持续性看,直接效应为0.486 5(0.366 2),置信区间不包含0,表明董责险对企业创新持续性发挥显著直接效应。上述3个中介效应系数的置信区间均不包括0,3种中介作用均为董责险对公司创新持续性的重要机制。以上分析结果验证了内部控制、融资约束在董责险与企业创新持续性间发挥多重链式中介效应。由此,假设H3通过验证。

表7 中介效应检验的Bootstrap分析结果(创新投入持续性)

Tab.7 Bootstrap analysis of the mediating effect test(input of innovation persistence)

创新投入持续性效应值Bootstrap Boot标准误BC [95% Conf. Interval]上限下限直接效应0.486 50.038 50.459 10.540 0董责险→内部控制→创新持续性0.021 20.003 70.015 20.027 1董责险→融资约束→创新持续性0.010 80.004 00.003 30.015 0董责险→内部控制→融资约束→创新持续性0.000 70.000 20.000 50.000 9总效应0.519 20.036 80.493 60.574 3

表8 中介效应检验的Bootstrap分析结果(创新产出持续性)

Tab.8 Bootstrap analysis of the mediating effect test(output of innovation persistence)

创新投入持续性效应值Bootstrap Boot标准误BC [95% Conf. Interval]上限下限直接效应0.366 20.066 90.271 10.455 7董责险→内部控制→创新持续性0.019 70.003 50.015 10.024 8董责险→融资约束→创新持续性0.007 10.002 80.002 10.010 4董责险→内部控制→融资约束→创新持续性0.000 40.000 10.000 30.000 6总效应0.393 40.066 20.291 90.473 5

总体来看,创新投入持续性、创新产出持续性的直接效应分别为0.486 5、0.366 2,总体中介效应分别为0.032 7、0.027 2,总效应系数分别为0.519 2、0.393 4,总体中介效应占总效应的比重分别为6.3%、6.9%,与直接效应之比分别为6.7%、7.4%。由此说明,董责险通过内部控制和融资约束这两个中介变量对企业创新投入(产出)持续性产生影响,且中介效应小于直接效应。

4 内生性分析与稳健性检验

4.1 内生性分析

(1)本文使用PSM最近邻匹配方法,寻找与购买董责险企业相匹配的样本,平衡性检验结果如表9所示。在匹配到较好的平衡数据后,对匹配后样本再次进行检验。

表9 平衡性检验结果

Tab.9 Balance test results

变量匹配前后实验组均值控制组均值偏差(%)偏差减少幅度(%)T值P值Top1匹配前32.8732.274.21.610.108匹配后32.8832.314.04.61.100.272SOE匹配前0.490.2844.617.560.000匹配后0.490.490.499.10.110.915ROA匹配前0.030.04-6.8-2.520.012匹配后0.030.03-0.592.3-0.150.882Occupy匹配前0.010.014.31.640.101匹配后0.010.01-0.783.0-0.200.844Lev匹配前0.480.4134.713.030.000匹配后0.480.474.686.71.300.194Mfee匹配前0.070.09-26.2-9.400.000匹配后0.070.07-2.590.7-0.720.473Inde匹配前0.380.387.62.920.004匹配后0.380.38-1.579.7-0.410.680Mcomp匹配前14.7814.4246.318.610.000匹配后14.7814.780.199.90.020.986BOwner匹配前7.6214.96-43.8-15.020.000匹配后7.627.84-1.397.0-0.430.666BOwner匹配前2.142.1116.16.100.000匹配后2.142.132.186.90.590.558

(2)本文采用Heckman两阶段回归方法检验董责险对企业创新持续性的影响,参考胡国柳和谭露(2018)等的研究成果,以控股股东权力(Balance,第2~5大股东持股数与第一大股东持股数的比值)、两职合一(CEO,当上市公司董事长与总经理为同一人时,赋值为1,否则为0)和权益账面价值比重(BV,权益账面价值与总资产的比值)作为第一阶段外生变量,回归结果见表10。

表10 内生性检验结果

Tab.10 Enendogeneity test results

变量PSM检验(1)(2)IIPOIPHeckman两阶段模型第一阶段(3)DOI第二阶段(4)(5)IIPOIPDOI0.301∗∗∗0.232∗∗∗0.513∗∗∗0.388∗∗∗(5.73)(4.22)(13.23)(9.60)BV3.094(0.29)Balance0.186∗∗∗(7.09)CEO-0.095∗∗∗(-2.59)ControlYESYESYESYESYESimr0.1360.100(1.40)(0.87)YearYESYESYESYESYESIndustryYESYESYESYESYESCons18.616∗∗∗3.276∗∗∗-5.73116.401∗∗∗2.329∗∗∗(31.68)(5.13)(-0.53)(44.79)(5.48)N2 6072 60714 01114 01114 011F值30.5732.73142.39113.13Adj. R20.280.290.290.24Pseudo R20.157 9

上述结果均支持本文研究结论。

4.2 稳健性检验

(1)本文采用变量替换方法对回归结果进行稳健性检验。以发明专利申请数量(PIN)代替专利申请数量(OIN)衡量企业创新持续性(OIV),计算方法如式(8)所示。

(8)

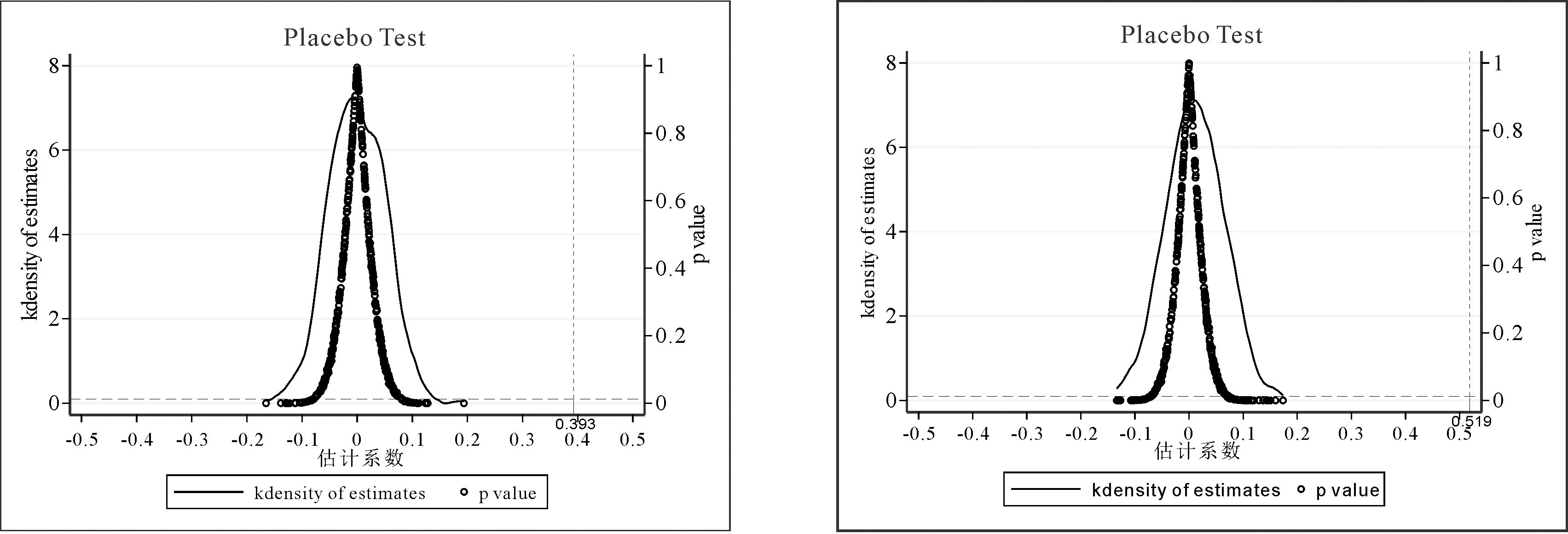
(2)本文采用安慰剂检验方法随机产生认购董责险企业名单,并对随机过程进行500次处理,以排除其它不可观测因素的影响。

(3)考虑到企业创新具有投入大、周期长、风险高等特点,以及董责险对企业创新持续性的影响具有时滞性等情况,本文将董责险滞后一期进行回归检验。

稳健性检验结果见表11、图2和图3。由此可知,结果通过稳健性检验。

图2安慰剂检验结果(被解释变量为创新投入持续性) 图3 安慰剂检验结果(被解释变量为创新产出持续性)

Fig.2 Placebo test results(innovation input Fig.3 Placebo test results(innovation output persistence as the explained variable) persistence as the explained variable)

表11 替换被解释变量、滞后一期回归结果

Tab.11 Regression results with replacement of explanatory variables and one-period lag

变量(1)(2)(3)(4)(5)(6)(7)OIVOIVIndexFCOIVIIPOIPDOI0.510∗∗∗0.632∗∗∗0.159∗∗∗-0.104∗∗∗0.487∗∗∗(9.56)(7.52)(4.00)(-2.66)(9.21)Power0.023(1.15)DOI×Power-0.102∗(-1.82)Index-0.041∗∗∗0.099∗∗∗(-4.36)(8.49)FC-0.062∗∗∗(-5.72)L1DOI0.617∗∗∗0.470∗∗∗(11.47)(8.76)ControlYESYESYESYESYESYESYESYearYESYESYESYESYESYESYESIndustryYESYESYESYESYESYESYESCons1.541∗∗∗1.511∗∗∗7.281∗∗∗-1.931∗∗∗0.684∗∗16.997∗∗∗2.189∗∗∗(4.83)(4.86)(29.09)(-7.42)(2.07)(67.60)(7.58)N14 22814 22814 22814 22814 22810 94010 940F值57.4444.8738.55362.7358.11113.5794.39Adj. R20.130.130.180.580.140.290.25

5 进一步分析

我国上市公司财务困境、知识产权保护水平和政府补贴水平具有较大差异。因此,不同企业间董责险对企业创新持续性的促进作用可能存在差异。

5.1 按财务困境状况分类

财务困境是指企业不能承担到期债务或盈利能力受到影响,接近破产的情况(祝继高等,2015)。本文使用Altman[30]的Z-Score模型评价企业财务困境,Z值越大,表示该公司处于财务困境的可能性越小,以均值为标准将样本分为处于财务困境、未处于财务困境两组。由表12可知,处于财务困境的样本中,董责险的回归系数较大,显著性较强且通过了组间差异检验。由此可知,董责险能够发挥风险松绑效应,通过转移管理者的责任成本,极大地消除管理者对企业财务困境的顾虑,促使高管通过积极履职优化企业创新战略,确保企业创新战略稳定实施,从而强化企业创新持续性。

表12 按财务困境程度分类

Tab.12 Classification by degrees of financial distress

变量IIP(1)(2)未处于财务困境处于财务困境OIP(3)(4)未处于财务困境处于财务困境DOI0.340∗∗∗0.544∗∗∗0.1280.457∗∗∗(5.00)(12.32)(1.59)(10.08)ControlYESYESYESYESYearYESYESYESYESIndustryYESYESYESYESCons16.155∗∗∗17.872∗∗∗1.262∗∗∗3.553∗∗∗(44.92)(66.70)(2.70)(11.84)N4 15110 0774 15110 077F值61.4999.8933.0780.87Adj. R20.340.290.220.24经验P值0.0119∗∗0.000∗∗∗

5.2 按知识产权保护水平分类

本文采用《中国分省份市场化指数报告(2021)》和《中国分省份市场化指数报告(2018)》(王小鲁等,2019)中的各地区知识产权保护指数度量上市公司所在省份知识产权保护水平,将样本分为高知识产权保护水平组和低知识产权保护水平组。由表13可知,高知识产权保护组中,董责险的回归系数较大,显著性较强且通过了组间差异检验。由此可知,知识产权制度能够保障创新主体的投资回报,进而强化持续创新动力[31]。同时,在公平竞争环境中,企业能够通过知识产权质押融资等途径获得创新资源支持(王钰和胡海青,2021),进而激发创新行为。对于引入董责险的企业而言,董责险可以有效缓解其管理者在制定重要决策时面临的压力。当知识产权保护水平较高时,高管创新意愿增强,创新战略差异度提升,有助于企业战略稳定实施,进而强化企业创新持续性。

表13 按知识产权保护水平分类

Tab.13 Classification by levels of intellectual property protection

变量IIP(1)(2)高知识产权保护水平低知识产权保护水平OIP(3)(4)高知识产权保护水平低知识产权保护水平DOI0.544∗∗∗0.275∗∗∗0.418∗∗∗0.180∗∗(12.67)(3.58)(9.09)(2.38)ControlYESYESYESYESYearYESYESYESYESIndustryYESYESYESYESCons17.595∗∗∗15.770∗∗∗2.874∗∗∗2.093∗∗∗(65.91)(41.12)(9.29)(4.72)N102104018102104018F值101.3350.3885.5539.86Adj. R20.290.320.250.25经验P值0.002 2∗∗∗0.007 0∗∗∗

5.3 按政府补贴水平分类

参考杨洋等[32]的研究成果,本文对补贴的原始数值取对数处理,以此度量上市公司政府补贴水平。当企业政府补贴水平高于样本中位数时,将其划归高政府补贴企业,否则为低政府补贴企业。由表14可知,高水平政府补贴样本中,董责险的回归系数较大,显著性较强且通过了组间差异检验。一方面,政府补贴能够直接给予企业资金补偿,从而降低创新中断风险[33]。另一方面,政府补贴能够向外界传递看好公司发展前景的积极信号,有助于缓解企业融资约束,促使企业加大创新投入。同时,接受资金支持的企业,其后续创新会受到政府监管,加上保险公司的监督,有助于企业完善内部控制体系,避免战略失控,从而强化企业创新持续性。

表14 按政府补贴水平分类

Tab.14 Classification by levels of government subsidies

变量IIP(1)(2)高政府补贴低政府补贴OIP(3)(4)高政府补贴低政府补贴DOI0.560∗∗∗0.343∗∗∗0.410∗∗∗0.203∗∗∗(7.21)(5.30)(5.17)(2.88)ControlYESYESYESYESYearYESYESYESYESIndustryYESYESYESYESCons17.383∗∗∗16.569∗∗∗3.535∗∗∗1.858∗∗∗(45.46)(46.99)(8.09)(4.32)N4 5404 5414 5404 541F值51.6460.0436.0739.89Adj. R20.300.320.230.24经验P值0.031 3∗∗0.050 3∗

6 结语

6.1 研究结论

本文以2015—2021年沪深A股上市公司为研究样本,探讨董责险对企业创新持续性的影响,得出如下主要结论:董责险对企业创新持续性发挥促进作用;随着管理者权力增大,董责险对创新持续性的正向影响减弱;内部控制、融资约束在董责险与企业创新持续性间发挥多重链式中介效应。进一步分析发现,在财务困境、高知识产权保护水平及高政府补贴样本中,董责险对企业创新持续性的促进作用更显著。

6.2 管理启示

(1)相关机构应制定“本土化”制度和条款。鉴于成本问题以及股权结构本土化上限要求,我国上市公司面临的股东诉讼风险较小,对董责险的需求动力不足。因此,政府、企业和保险公司应结合市场现状制定董责险规章制度,完善董责险各个环节,包括承保前中后的审查、监督和偿付,使其在条款定制上更加契合我国国情,以帮助企业利用董责险强化创新持续性。

(2)企业需要对高管权力进行监督,提高内部控制质量并重视融资约束问题。管理者权力负向调节董责险对企业创新持续性的促进作用,内部控制、融资约束是董责险影响企业创新持续性的重要路径。企业应赋予管理层适度的权力,并通过引入董责险这一外部监督机制,避免高管利用权力进行寻租活动。内部控制不仅能够提高会计信息质量,而且可以对战略决策风险进行动态管控,从而缓解企业融资约束。因此,企业应发挥董责险对融资约束的缓解作用,实现外部治理机制与内部治理相结合。

(3)企业应选择合理的激励方式预防财务困境。为预防财务困境,企业应提前采取激励措施。董责险不仅发挥能够激励与监督作用,而且具备风险管理职能。当企业面临财务困境时,董责险可以发挥激励作用,缓解高管个人职业风险,促使高管站在企业生存发展的角度进行创新决策,从而帮助企业摆脱困境。

(4)各地政府需要制定差异化知识产权保护政策和补贴机制。在高知识产权保护水平、高政府补贴样本中,董责险对企业创新持续性的促进作用更显著。在知识产权保护方面,各地政府需要因地制宜,促进企业知识产权成果市场化。为发挥政府补贴对企业创新持续性的作用,政府应制定针对性补贴机制,如加大对成长期企业的补贴力度。此外,企业应密切关注创新补贴政策,提高自身获得资助的可能性。

6.3 不足与展望

本文存在如下不足:首先,受数据来源限制,对保险保费、赔偿限额、费率等指标未进行拓展研究。未来需要细化董责险指标,进一步探讨其对创新持续性的影响。其次,高新技术企业是推动我国创新发展的重要创新主体,未来可以进一步考察董责险对高新技术企业的影响,或探讨不同行业分类下董责险对企业创新持续性的作用机制。最后,由本文2011—2021年数据可知,尽管认购董责险的公司数量每年增长,但仅占整体样本数量的11%,实证样本量不足。随着监管力度加大,认购董责险的企业数量将不断增加,未来研究可以有效解决认购样本量不足的问题。

参考文献:

[1] 李从刚,许荣.保险治理与公司违规——董事高管责任保险的治理效应研究[J].金融研究,2020,42(6):188-206.

[2] 赵炎,齐念念,孟庆时.技术整合能力、绿色专利质量与企业持续性创新[J].科技进步与对策,2023,40(8):11-21.

[3] 凌士显,白锐锋.董事责任保险、董事会治理与企业创新[J].科技进步与对策,2018,35(10):100-106.

[4] 凌士显,刘澳.董事高管责任保险、管理层激励与企业创新——基于A股上市公司的实证研究[J].金融监管研究,2020,9(9):50-65.

[5] 刘斌,付景涛,胡国柳.董事高管责任保险、产权与内部控制构建[J].科研管理,2021,42(7):171-178.

[6] YUAN R,SUN J,CAO F.Directors' and officers' liability insurance and stock price crash risk[J].Journal of Corporate Finance,2016,37:173-192.

[7] 赵燕,梁中.差异化战略与企业高质量发展——内控机制的风险应对及阈值管理[J].中国流通经济,2022,36(11):92-102.

[8] 胡国柳,胡珺.董事高管责任保险与企业风险承担:理论路径与经验证据[J].会计研究,2017,38(5):40-46,96.

[9] 邢斐,周泰云.董事高管责任保险与企业战略[J].保险研究,2020,41(11):32-46.

[10] 胡国柳,王禹.董事高管责任保险与企业差异化战略[J].商业经济与管理,2019,39(11):55-69.

[11] HALL B H.The financing of research and development[J].Oxford Review of Economic Policy,2002,18(1):35-51.

[12] 徐鹏,王瑞康.战略差异度会影响企业创新吗[J].软科学,2022,36(2):43-49.

[13] DENRELL J.Should we be impressed with high performance[J].Journal of Management Inquiry,2005,14(3):292-298.

[14] MALERBA F,ORSENIGO L.Technological regimes and sectoral patterns of innovative activities[J].Industrial&Corporate Change,1997,6(1):83-117.

[15] FINKELSTEIN S.Power in top management teams:dimensions,measurement,and validation[J].Academy of Management journal,1992,35(3):505-538.

[16] 高挺,张雨雪,许海平.董事高管责任保险与企业内部控制质量——基于A股上市公司的经验证据[J].金融监管研究,2021,10(5):33-48.

[17] 刘永丽,程晨,贾涵涵.高管团队重组、内部控制质量与双元创新[J].会计研究,2022,43(3):93-106.

[18] 赵国宇,梁慧萍.董事高管责任保险促进企业创新吗——基于信贷寻租与融资约束的视角[J].外国经济与管理,2022,44(3):103-117.

[19] 杨筝,张荻.董事高管责任保险、信息不对称与债务融资成本[J].财会月刊,2022,43(17):50-59.

[20] 李莉,张迪.内部控制、管理层能力与融资约束[J].技术经济,2019,38(10):10-16.

[21] 宋蔚蔚,王敏嘉.大股东股权质押、内部控制与融资约束[J].财会通讯,2022,43(20):70-74.

[22] TRIGUERO A,CORCOLES D.Understanding innovation:an analysis of persistence for Spanish manufacturing firms[J].Research Policy,2013,42(2):340-352.

[23] 胡国柳,李小倩.外部监督抑或机会主义:董事高管责任保险与企业金融化[J].财经论丛,2023,39(4):58-68.

[24] 卢锐.管理层权力、薪酬差距与绩效[J].南方经济,2007,26(7):60-70.

[25] 卢宏亮,马泽恩,许潇月.儒家文化、内部控制与企业商业信用融资[J].经济与管理评论,2023,39(2):83-94.

[26] KAPLAN S N,ZINGALES L.Do investment-cash flow sensitivities provide useful measures of financing constraints[J].The quarterly journal of economics,1997,112(1):169-215.

[27] 魏志华,曾爱民,李博.金融生态环境与企业融资约束——基于中国上市公司的实证研究[J].会计研究,2014,35(5):73-80,95.

[28] 柳士顺,凌文辁.多重中介模型及其应用[J].心理科学,2009,32(2):433-435,407.

[29] MACKINNON D P,LOCKWOOD C M,WILLIAMS J.Confidence limits for the indirect effect:distribution of the product and resampling methods[J].Multivariate behavioral research,2004,39(1):99-128.

[30] ALTMAN E I.Financial ratios,discriminant analysis and the prediction of corporate bankruptcy[J].The Journal of Finance,1968,23(4):589-609.

[31] HABIB M,ABBAS J,NOMAN R.Are human capital,intellectual property rights,and research and development expenditures really important for total factor productivity? an empirical analysis[J].International Journal of Social Economics,2019,46(6):756-774.

[32] 杨洋,魏江,罗来军.谁在利用政府补贴进行创新——所有制和要素市场扭曲的联合调节效应[J].管理世界,2015,31(1):75-86,98.

[33] KVETON V,HORAK P.The effect of public R&D subsidies on firms' competitiveness:regional and sectoral specifics in emerging innovation systems[J].Applied Geography,2018,94:119-129.

(责任编辑:张 悦)